FEM Analysis and Sensor-Based Measurement Scheme of Current Distribution for Grounding Electrode
Abstract
1. Introduction
2. Current Distribution Calculation Model for Frozen Soil
3. Calculation and Analysis of Current Distribution
3.1. Frozen Soil Model Setup
3.2. Calculation of Electric Field
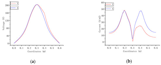
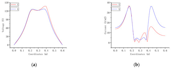
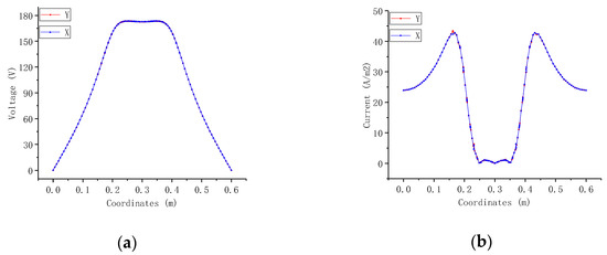
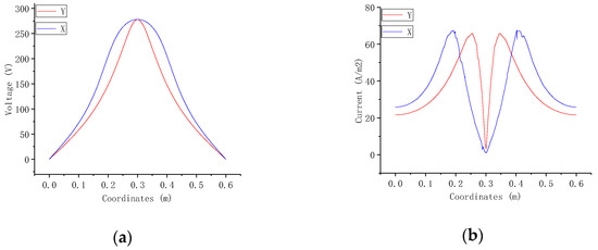
3.3. Current Density and Potential Distribution
3.3.1. Three-layer Soil Model
3.3.2. Mixed-Layer Soil Model
4. Grounding Electrode Current Distribution Measurement
4.1. A “Drainage Wire”-Based Measurement Scheme
4.2. Measurement Setup
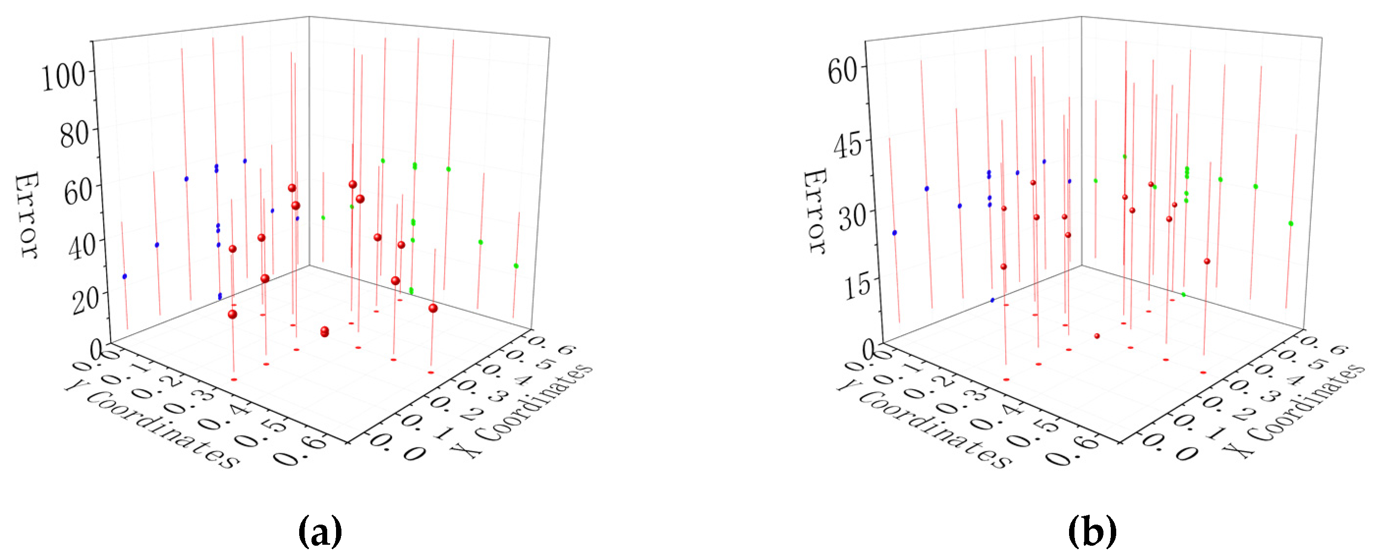
4.3. Analysis of Measurement Data
5. Conclusions
- (1)
- According to the special geological conditions of frozen soil and considering the difference in soil resistivity at different depths, this paper established a three-layer soil model and a mixed-layer soil model, using the finite element Galerkin method to study the dispersion characteristics of different grounding electrodes. The results show that the best to worst order of the dispersion characteristics of the three grounding electrodes is as follows: ring-shaped, cross-shaped, and linear. Furthermore, under the same conditions, the current and voltage in the soil around the ring-shaped grounding electrode are 35–40% lower than those of the linear grounding electrode.
- (2)
- Based on the simulation results, we built a grounding electrode simulation experiment platform in the laboratory. Then, we proposed a measurement scheme based on a “drainage wire” with a Hall sensor and designed and manufactured a grounding electrode current measurement device. The weak DC in soil around the grounding electrode can be measured in the laboratory, and the error can be compared with simulated data. It is found that the error is always maintained at about 10%, which confirms the feasibility of the scheme and the reliability of the measuring device.
Author Contributions
Funding
Conflicts of Interest
References
- Alassi, A.; Banales, S.; Ellabban, O.; Adam, G.; Maclver, C. HVDC Transmission: Technology Review, Market Trends and Future Outlook. Renew. Sustain. Energy Rev. 2019, 112, 530–554. [Google Scholar] [CrossRef]
- Bhuvaneswan, G.; Mahanta, B.C. Analysis of Converter Transformer Failure in HVDC Systems and Possible Solutions. IEEE Trans. Power Deliv. 2009, 24, 814–821. [Google Scholar] [CrossRef]
- Jiang, W.; Wu, G.N.; Wang, H.L. Calculation of DC grounding current distribution by UHVDC mono-polar operation with a ground return. In Proceedings of the Transmission & Distribution Conference & Exposition, Chicago, IL, USA, 21–24 April 2008. [Google Scholar]
- Sima, W.X.; Luo, D.H.; Yuan, T.; Liu, S.W.; Peng, Q.J.; Zhou, F.R. The influence of the vertical drop of the ground surface on the grounding resistance measurement of the grounding grid and the improvement measures. High Volt. Technol. 2018, 5, 1490–1498. (In Chinese) [Google Scholar]
- Liu, L.G.; Yu, Z.B.; Wang, Z.Z.; Li, M.; Wang, X.L. Analysis of the Monitoring Data of UHVDC Grounding Current Interference in a Buried Pipeline. IEEE Trans. Appl. Supercond. 2019. [Google Scholar] [CrossRef]
- Zhang, Y.; Dong, J.H.; Dong, X.G.; Wang, Y.S. Analysis of freezing and thawing of slope improved by soil nailing structure in seasonally frozen soil region. Rock Soil Mech. 2017, 38, 574–582. [Google Scholar]
- Zhang, B.; Zeng, R.; He, J.; Zhao, J.; Li, X.; Wang, Q.; Cui, X. Numerical analysis of potential distribution between ground electrodes of the HVDC system considering the effect of deep earth layers. IET Gener. Transm. Distrib. 2008, 2, 185–191. [Google Scholar] [CrossRef]
- Liu, L.G.; Ma, C.L. Calculation of ground potential distribution in multi-layer soil of DC transmission grounding electrode based on the finite element method. Power Syst. Protect. Control 2015, 18, 7–11. (In Chinese) [Google Scholar]
- Yang, W.Y.; Liu, J.; Wang, J.Y.; Shen, M.; Wang, X.F.; Li, Z.; Li, X.H. On-line monitoring of ground electrode of the HVDC transmission system. High Volt. Eng. 2006, 9, 15–17. (In Chinese) [Google Scholar]
- Zhang, Z.L.; Dan, Y.H.; Zou, J.; Liu, G.H.; Gao, C.F.; Li, Y.Q. Research on Discharging Current Distribution of Grounding Electrodes. IEEE Access 2019, 7, 59287–59298. [Google Scholar] [CrossRef]
- Teng, Y.; Wen, X.S.; Cai, H.S.; Jia, L.; Liu, G.; Hu, S.M.; Lu, H.L. Analysis on structural parameters and electrical performance of DC deep well-grounding electrode. J. Eng. 2019, 16, 2366–2370. [Google Scholar] [CrossRef]
- Zhou, L.J.; He, J.; Xu, H.; Wang, P.C.; Chen, Y.; Chen, S.X. Simulation of the impact of vertical grounding electrode on impulse grounding resistance of substation grounding network. In Proceedings of the IEEE International Conference on Integrated Circuits & Microsystems, Nanjing, China, 8–11 November 2017. [Google Scholar]
- Villas, J.E.T.; Portela, C.M. Calculation of electric field and potential distributions into soil and air media for a grounding electrode of an HVDC system. IEEE Trans. Power Deliv. 2003, 18, 867–873. [Google Scholar] [CrossRef]
- Xu, T.; Xu, Z.; Zhang, Z.R.; Zhou, Z.C.; Shen, Y. Calculation of current Field of circular grounding electrode for UHVDC transmission. High Volt. Eng. 2012, 6, 1445–1450. (In Chinese) [Google Scholar]
- Tomaskovicova, S.; Ingeman-Nielsen, T.; Christiansen, A.V.; Brandt, I.; Dahlin, T.; Elberling, B. Effect of electrode shape on grounding resistances—Part 2: Experimental results and cryospheric monitoring. Geophysics 2016, 81, WA169–WA182. [Google Scholar] [CrossRef]
- Zou, J.; Zeng, R.; He, J.L.; Guo, J.; Gao, Y.Q.; Chen, S.M. Numerical Green’s function of a point current source in horizontal multilayer soils by utilizing the vector matrix pencil technique. IEEE Transac. Magn. 2004, 40, 730–733. [Google Scholar] [CrossRef]
- Gouda, O.E.; El-Saied, T.; Salem, W.A.A.; Khater, A.M.A. Evaluations of the apparent soil resistivity and the reflection factor effects on the grounding grid performance in three-layer soils. IET Sci. Meas. Technol. 2019, 13, 572–581. [Google Scholar] [CrossRef]
- Dan, Y.H.; Zhang, Z.L.; Li, Y.Q.; Deng, J.; Zou, J. Novel Grounding Electrode Model with Axial Construction Space Consideration. Energies 2019, 12, 4765. [Google Scholar] [CrossRef]
- Zeng, R.; He, J.L.; Gao, Y.Q.; Zou, J.; Guan, Z.C. Grounding resistance measurement analysis of grounding system in vertical-layered soil. IEEE Trans. Power Deliv. 2004, 19, 1553–1559. [Google Scholar] [CrossRef]
- Choi, J.H.; Lee, B.H. An analysis on the Frequency-dependent grounding impedance based on the ground current dissipation of counterpoises in the two-layered soils. J. Electrost. 2012, 70, 184–191. [Google Scholar] [CrossRef]
- Tu, Y.P.; He, J.L.; Zeng, R. Lightning Impulse Performances of Grounding Devices Covered With Low-Resistivity Materials. IEEE Trans. Power Deliv. 2006, 21, 1706–1713. [Google Scholar] [CrossRef]
- Yutthagowith, P. Rogowski coil with a non-inverting integrator used for impulse current measurement in high-voltage tests. Electr. Power Syst. Res. 2016, 139, 101–108. [Google Scholar] [CrossRef]
- Yutthagowith, P.; Leelachariyakul, B. A Rogowski coil with an active integrator for measurement of long duration impulse currents. In Proceedings of the International Conference on Lightning Protection (ICLP), Shanghai, China, 11–18 October 2014. [Google Scholar]
- Ming, L.; Xin, Z.; Liu, W.; Loh, P.C. Structure and modeling of four-layer screen-returned PCB Rogowski coil with very few turns for high-bandwidth SiC current measurement. IET Power Electron. 2020, 13, 765–775. [Google Scholar] [CrossRef]
- Zhou, M.; Wang, J.G.; Cai, L.; Fan, Y.D.; Zheng, Z.N. Laboratory Investigations on Factors Affecting Soil Electrical Resistivity and the Measurement. IEEE Trans. Ind. Appl. 2015, 51, 5358–5365. [Google Scholar] [CrossRef]
- Seladji, S.; Cosenza, P.; Tabbagh, A.; Ranger, J.; Richard, G. The effect of compaction on soil electrical resistivity: A laboratory investigation. Eur. J. Soil Sci. 2010, 61, 1043–1055. [Google Scholar] [CrossRef]

















| Grounding Electrode | Radius (m) | Length/ Thickness (m) | Buried Depth (m) | Model Size (m) | Injection Current (A) | 
|---|---|---|---|---|---|
| Linear | 0.002 | 0.2 | 0.05 | 0.6 × 0.6 × 0.4 | 10 | 
| Cross-shaped | 0.002 | 0.2 | 0.05 | 0.6 × 0.6 × 0.4 | 10 | 
| Ring-shaped | 0.1 | 0.002 | 0.05 | 0.6 × 0.6 × 0.4 | 10 | 
| Item | Relative Dielectric Constant | Conductivity (S/m) | 
|---|---|---|
| 15 | 0.04 | |
| 15 | 0.016 | |
| 15 | 0.000043 | |
| Grounding electrode | 1 | 59,900,000 | 
| Item | Relative Dielectric Constant | Conductivity (S/m) | 
|---|---|---|
| 15 | 0.04 | |
| 15 | 0.087 | |
| 15 | 0.000043 | |
| 15 | 0.016 | |
| Grounding electrode | 1 | 59,900,000 | 
| Soil Moisture Content (%) | Soil Resistivity (Ω·m) | 
|---|---|
| 0 | 23K | 
| 25 | 115 | 
| 50 | 63 | 
| 75 | 40 | 
| 100 | 25 | 
| Measuring Point (m) | X Coordinate (A/m2) | Y Coordinate (A/m2) | ||
|---|---|---|---|---|
| Simulation Value | Measured Value | Simulation Value | Measured Value | |
| 0 | 23.8 | 20.5 | 23.7 | 20.9 | 
| 0.1 | 31.8 | 27.4 | 31.8 | 28.4 | 
| 0.2 | 54.4 | 49.9 | 54.2 | 49.5 | 
| 0.3 | 2.3 | 1.9 | 1.2 | 0.9 | 
| 0.4 | 56.1 | 50.1 | 55.3 | 50.2 | 
| 0.5 | 29.7 | 27.6 | 30.8 | 28.5 | 
| 0.6 | 23.7 | 21.2 | 23.7 | 21.1 | 
| Measuring Point (m) | X Coordinate (A/m2) | Y Coordinate (A/m2) | ||
|---|---|---|---|---|
| Simulation Value | Measured Value | Simulation Value | Measured Value | |
| 0 | 23.9 | 20.8 | 23.9 | 20.7 | 
| 0.1 | 31.7 | 28.4 | 31.7 | 28.0 | 
| 0.2 | 25.6 | 22.7 | 25.7 | 22.4 | 
| 0.3 | 0.04 | 0.03 | 0.04 | 0.03 | 
| 0.4 | 30.7 | 26.5 | 29.8 | 27.8 | 
| 0.5 | 30.7 | 27.1 | 30.8 | 28.1 | 
| 0.6 | 23.9 | 20.1 | 23.9 | 21.7 | 
| Measuring Point (m) | X Coordinate (A/m2) | Y Coordinate (A/m2) | ||
|---|---|---|---|---|
| Simulation Value | Measured Value | Simulation Value | Measured Value | |
| 0 | 14.4 | 12.9 | 12.7 | 11.2 | 
| 0.1 | 21.6 | 18.8 | 20.4 | 18.1 | 
| 0.2 | 47.0 | 42.5 | 47.2 | 42.9 | 
| 0.3 | 4.4 | 3.9 | 1.0 | 0.85 | 
| 0.4 | 46.9 | 42.6 | 23.6 | 22.4 | 
| 0.5 | 21.0 | 18.9 | 10.2 | 9.4 | 
| 0.6 | 14.4 | 12.9 | 6.9 | 6.2 | 
| Measuring Point (m) | X Coordinate (A/m2) | Y Coordinate (A/m2) | ||
|---|---|---|---|---|
| Simulation Value | Measured Value | Simulation Value | Measured Value | |
| 0 | 14.9 | 13.9 | 13.6 | 12.1 | 
| 0.1 | 22.6 | 20.8 | 22.2 | 20.8 | 
| 0.2 | 20.7 | 19.1 | 21.9 | 20.4 | 
| 0.3 | 2.8 | 2.5 | 3.0 | 2.5 | 
| 0.4 | 23.8 | 21.5 | 11.0 | 9.9 | 
| 0.5 | 22.6 | 20.9 | 10.0 | 8.9 | 
| 0.6 | 15.1 | 14.2 | 6.9 | 6.2 | 
| Publisher’s Note: MDPI stays neutral with regard to jurisdictional claims in published maps and institutional affiliations. | 
© 2020 by the authors. Licensee MDPI, Basel, Switzerland. This article is an open access article distributed under the terms and conditions of the Creative Commons Attribution (CC BY) license (http://creativecommons.org/licenses/by/4.0/).
Share and Cite
Zhu, L.; Jiang, H.; Yang, F.; Luo, H.; Li, W.; Han, J. FEM Analysis and Sensor-Based Measurement Scheme of Current Distribution for Grounding Electrode. Appl. Sci. 2020, 10, 8151. https://doi.org/10.3390/app10228151
Zhu L, Jiang H, Yang F, Luo H, Li W, Han J. FEM Analysis and Sensor-Based Measurement Scheme of Current Distribution for Grounding Electrode. Applied Sciences. 2020; 10(22):8151. https://doi.org/10.3390/app10228151
Chicago/Turabian StyleZhu, Li, Hui Jiang, Fan Yang, Hanwu Luo, Wenzhen Li, and Jianjun Han. 2020. "FEM Analysis and Sensor-Based Measurement Scheme of Current Distribution for Grounding Electrode" Applied Sciences 10, no. 22: 8151. https://doi.org/10.3390/app10228151
APA StyleZhu, L., Jiang, H., Yang, F., Luo, H., Li, W., & Han, J. (2020). FEM Analysis and Sensor-Based Measurement Scheme of Current Distribution for Grounding Electrode. Applied Sciences, 10(22), 8151. https://doi.org/10.3390/app10228151
 
        


 
       