Effects of a Wearable Carriage Aid on Whole-Body Physiological Measures and Balance
Abstract
1. Introduction
2. Materials and Methods
2.1. Participants
2.2. Task Description
2.3. Independent Variables
2.4. Procedures and Data Collection
2.5. Dependent Variables
2.6. Statistical Analysis
3. Results
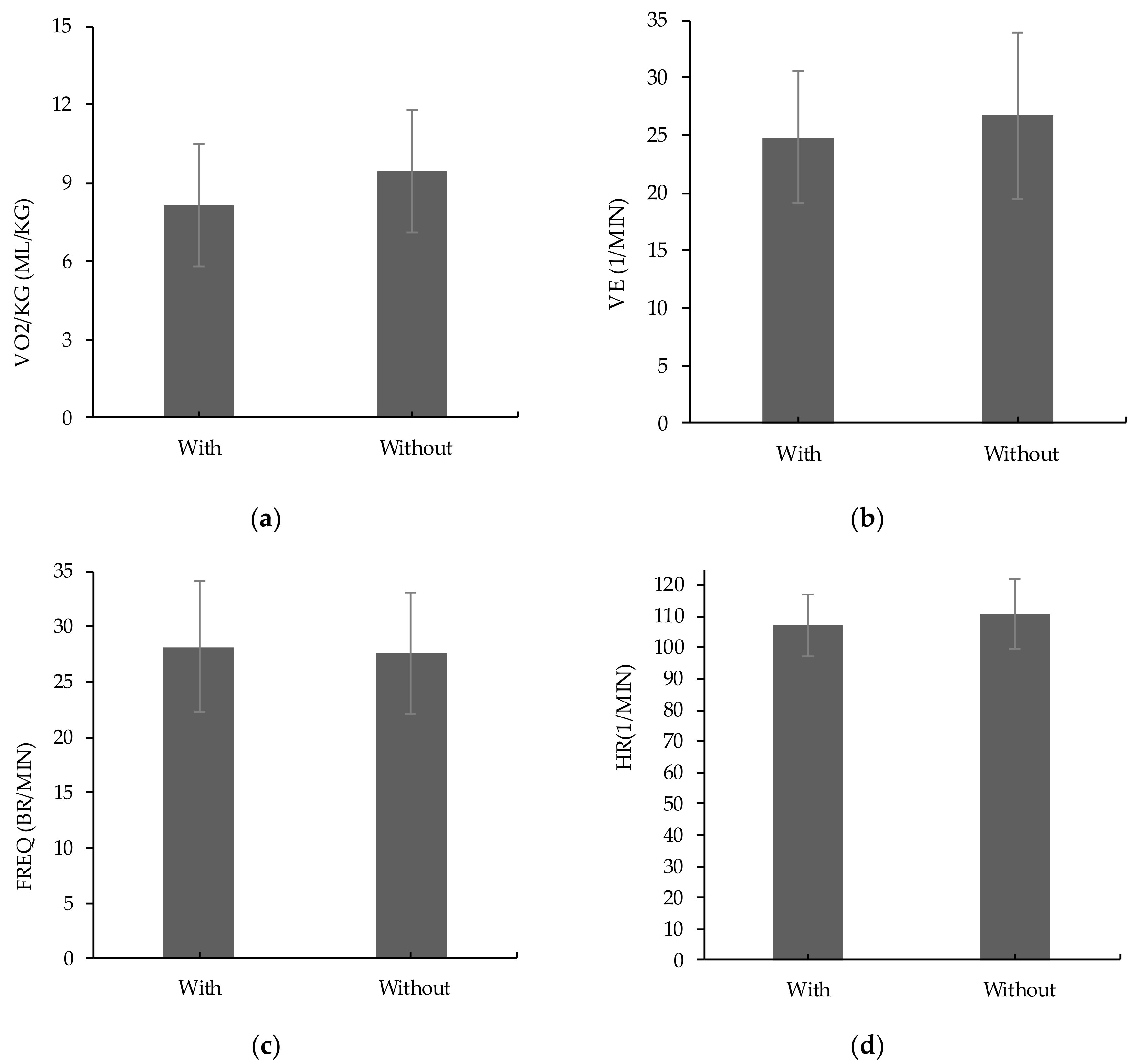
3.1. Physiological Measures
3.2. Perceived Postural Instability
4. Discussion
5. Conclusions
Author Contributions
Funding
Acknowledgments
Conflicts of Interest
References
- Rajesh, R. Manual Material Handling: A Classification Scheme. Procedia Technol. 2016, 24, 568–575. [Google Scholar] [CrossRef]
- Texas Department of Insurance. Manual material handling. Int. J. Sci. Res. 2009, 2, 153–154. [Google Scholar]
- Huysamen, K.; De Looze, M.; Bosch, T.; Ortiz, J.; Toxiri, S.; O’Sullivan, L.W. Assessment of an active industrial exoskeleton to aid dynamic lifting and lowering manual handling tasks. Appl. Ergon. 2018, 68, 125–131. [Google Scholar] [CrossRef] [PubMed]
- Alabdulkarim, S.; Kim, S.; Nussbaum, M.A. Effects of exoskeleton design and precision requirements on physical demands and quality in a simulated overhead drilling task. Appl. Ergon. 2019, 80, 136–145. [Google Scholar] [CrossRef] [PubMed]
- Lee, H.; Kim, W.; Han, J.; Han, C. The technical trend of the exoskeleton robot system for human power assistance. Int. J. Precis. Eng. Manuf. 2012, 13, 1491–1497. [Google Scholar] [CrossRef]
- Viteckova, S.; Kutilek, P.; Jirina, M. Wearable lower limb robotics: A review. Biocybern. Biomed. Eng. 2013, 33, 96–105. [Google Scholar] [CrossRef]
- De Looze, M.P.; Bosch, T.; Krause, F.; Stadler, K.S.; O’Sullivan, L.W. Exoskeletons for industrial application and their potential effects on physical work load. Ergonomics 2016, 59, 671–681. [Google Scholar] [CrossRef]
- Bosch, T.; Van Eck, J.; Knitel, K.; De Looze, M. The effects of a passive exoskeleton on muscle activity, discomfort and endurance time in forward bending work. Appl. Ergon. 2016, 54, 212–217. [Google Scholar] [CrossRef]
- Ciriello, V.M.; Snook, S.H.; Hashemi, L.; Cotnam, J. Distributions of manual materials handling task parameters. Int. J. Ind. Ergon. 1999, 24, 379–388. [Google Scholar] [CrossRef]
- Jaenen, S. Identification of common military tasks. Optim. Oper. Phys. Fit. 2009, 8, 1–6. [Google Scholar]
- Golriz, S.; Walker, B. Can load carriage system weight, design and placement affect pain and discomfort? A systematic review. J. Back Musculoskelet. Rehabil. 2011, 24, 1–16. [Google Scholar] [CrossRef] [PubMed]
- Davis, M.A.; Onega, T.; Weeks, W.B.; Lurie, J.D. Where the United States Spends Its Spine Dollars. Spine 2012, 37, 1693–1701. [Google Scholar] [CrossRef] [PubMed]
- Meislin, R.J.; Sperling, J.W.; Stitik, T.P. Persistent shoulder pain: Epidemiology, pathophysiology, and diagnosis. Am. J. Orthop. 2005, 34, 5–9. [Google Scholar] [PubMed]
- Alabdulkarim, S.; Farhan, A.M.; Ramadan, M.Z. Development and Investigation of a Wearable Aid for a Load Carriage Task. Int. J. Environ. Res. Public Health 2020, 17, 749. [Google Scholar] [CrossRef]
- Muslim, K.; Nussbaum, M.A. The effects of a simple intervention on exposures to low back pain risk factors during traditional posterior load carriage. Appl. Ergon. 2017, 59, 313–319. [Google Scholar] [CrossRef] [PubMed]
- Faul, F.; Erdfelder, E.; Buchner, A.; Lang, A.-G. Statistical power analyses using G*Power 3.1: Tests for correlation and regression analyses. Behav. Res. Methods 2009, 41, 1149–1160. [Google Scholar] [CrossRef]
- Gao, Z.G.; Sun, S.Q.; Goonetilleke, R.S.; Chow, D.H.K. Effect of an on-hip load-carrying belt on physiological and perceptual responses during bimanual anterior load carriage. Appl. Ergon. 2016, 55, 133–137. [Google Scholar] [CrossRef]
- Kudryk, I.A. A Biomechanical Analysis of a Specialized Load Carriage Technique and the Development of an Assistive Load Carriage Device. Master’s Thesis, Queen’s University, Kingston, ON, Canada, 2008. [Google Scholar]
- Driscoll, T.; Jacklyn, G.; Orchard, J.; Passmore, E.; Vos, T.; Freedman, G.; Lim, S.; Punnett, L. The global burden of occupationally related low back pain: Estimates from the Global Burden of Disease 2010 study. Ann. Rheum. Dis. 2014, 73, 975–981. [Google Scholar] [CrossRef]
- Chiou, S.; Bhattacharya, A.; Lai, C.-F.; Succop, P.A. Effect of environmental and task risk factors on workers’ perceived sense of postural sway and instability. Occup. Ergon. 1998, 1, 81–93. [Google Scholar]
- Simeonov, P.; Hsiao, H.; Powers, J.; Ammons, D.; Amendola, A.; Kau, T.-Y.; Cantis, D. Footwear effects on walking balance at elevation. Ergonomics 2008, 51, 1885–1905. [Google Scholar] [CrossRef]
- Gregorczyk, K.N.; Hasselquist, L.; Schiffman, J.M.; Bensel, C.K.; Obusek, J.P.; Gutekunst, D.J. Effects of a lower-body exoskeleton device on metabolic cost and gait biomechanics during load carriage. Ergonomics 2010, 53, 1263–1275. [Google Scholar] [CrossRef] [PubMed]
- Baltrusch, S.J.; Van Dieën, J.H.; Bruijn, S.M.; Koopman, A.S.; Van Bennekom, C.A.M.; Houdijk, H. The effect of a passive trunk exoskeleton on metabolic costs during lifting and walking. Ergonomics 2019, 62, 903–916. [Google Scholar] [CrossRef] [PubMed]
- Theurel, J.; Desbrosses, K.; Roux, T.; Savescu, A. Physiological consequences of using an upper limb exoskeleton during manual handling tasks. Appl. Ergon. 2018, 67, 211–217. [Google Scholar] [CrossRef] [PubMed]
- Schiffman, J.M.; Gregorczyk, K.N.; Bensel, C.K.; Hasselquist, L.; Obusek, J.P. The effects of a lower body exoskeleton load carriage assistive device on limits of stability and postural sway. Ergonomics 2008, 51, 1515–1529. [Google Scholar] [CrossRef] [PubMed]
- Kim, S.; Nussbaum, M.A.; Esfahani, M.I.M.; Alemi, M.M.; Jia, B.; Rashedi, E. Assessing the influence of a passive, upper extremity exoskeletal vest for tasks requiring arm elevation: Part II—“Unexpected” effects on shoulder motion, balance, and spine loading. Appl. Ergon. 2018, 70, 323–330. [Google Scholar] [CrossRef]
- Iida, H.; Yamamuro, T. Kinetic analysis of the center of gravity of the human body in normal and pathological gaits. J. Biomech. 1987, 20, 987–995. [Google Scholar] [CrossRef]
- Dominelli, P.B.; Render, J.N.; Molgat-Seon, Y.; Foster, G.E.; Romer, L.M.; Sheel, A.W. Oxygen cost of exercise hyperpnoea is greater in women compared with men. J. Physiol. 2015, 593, 1965–1979. [Google Scholar] [CrossRef]
- Topin, N.; Mucci, P.; Hayot, M.; Prefaut, C.; Ramonatxo, M. Gender Influence on the Oxygen Consumption of the Respiratory Muscles in Young and Older Healthy Individuals. Int. J. Sports Med. 2003, 24, 559–564. [Google Scholar] [CrossRef]
- Bastien, G.J.; Willems, P.A.; Schepens, B.; Heglund, N.C. Effect of load and speed on the energetic cost of human walking. Eur. J. Appl. Physiol. 2005, 94, 76–83. [Google Scholar] [CrossRef]



| Response | Transformation | Device | Load | Device*Load |
|---|---|---|---|---|
| VO2/kg (mL/kg) | -- | <0.0001 (0.38) | <0.0001 (0.58) | 0.64 (0.005) |
| VE (1/min) | sqrt | 0.027 (0.06) | <0.0001 (0.40) | 0.938 (0.0002) |
| Freq (br/min) | -- | 0.243 (0.03) | <0.0001 (0.26) | 0.843 (0.00) |
| HR (bpm) | -- | 0.020 (0.12) | <0.0001 (0.51) | 0.94 (0.00) |
| PI | -- | <0.0001 (0.34) | <0.0001 (0.45) | 0.262 (0.028) |
Publisher’s Note: MDPI stays neutral with regard to jurisdictional claims in published maps and institutional affiliations. |
© 2020 by the authors. Licensee MDPI, Basel, Switzerland. This article is an open access article distributed under the terms and conditions of the Creative Commons Attribution (CC BY) license (http://creativecommons.org/licenses/by/4.0/).
Share and Cite
Alabdulkarim, S.A.; Farhan, A.M.; Ramadan, M.Z. Effects of a Wearable Carriage Aid on Whole-Body Physiological Measures and Balance. Appl. Sci. 2020, 10, 8076. https://doi.org/10.3390/app10228076
Alabdulkarim SA, Farhan AM, Ramadan MZ. Effects of a Wearable Carriage Aid on Whole-Body Physiological Measures and Balance. Applied Sciences. 2020; 10(22):8076. https://doi.org/10.3390/app10228076
Chicago/Turabian StyleAlabdulkarim, Saad A., Abdulsalam M. Farhan, and Mohamed Z. Ramadan. 2020. "Effects of a Wearable Carriage Aid on Whole-Body Physiological Measures and Balance" Applied Sciences 10, no. 22: 8076. https://doi.org/10.3390/app10228076
APA StyleAlabdulkarim, S. A., Farhan, A. M., & Ramadan, M. Z. (2020). Effects of a Wearable Carriage Aid on Whole-Body Physiological Measures and Balance. Applied Sciences, 10(22), 8076. https://doi.org/10.3390/app10228076

