Synthesis and Use of Zwitterion Bearing Sulfonyl(trifluoromethane sylfonyl)imide Anion as Additive for Polymer Electrolytes
Abstract
1. Introduction
2. Materials and Methods
2.1. Materials
2.2. Synthesis of Potassium ((2-(1H-imidazol-1-yl)ethyl) sulfonyl)-(trifluoromethane sulfonyl)imide (Potassium Im-2C-STFSI)
2.3. Synthesis of ((2-(3-(cyanomethyl)-1H-imidazol-3-ium-1-yl)ethyl)sulfonyl) ((trifluoromethane sulfonyl)imide (Called ZN)
2.4. Preparation of Electrolytes
2.5. Methods
3. Results
3.1. Thermal Properties
3.2. Dissociation State of Lithium Salts
3.3. Ionic Conductivity
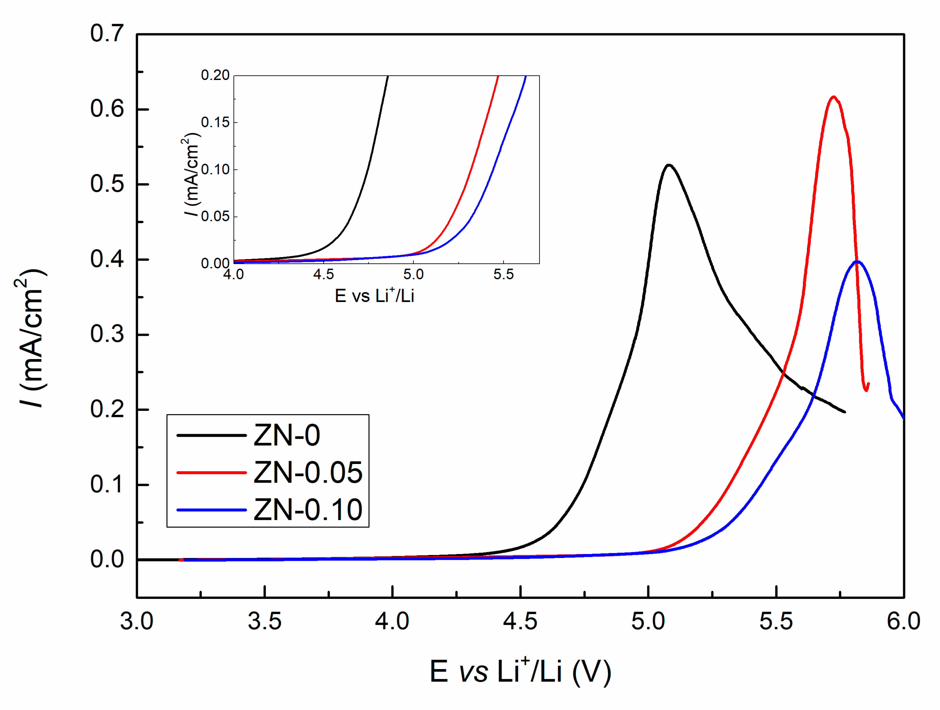
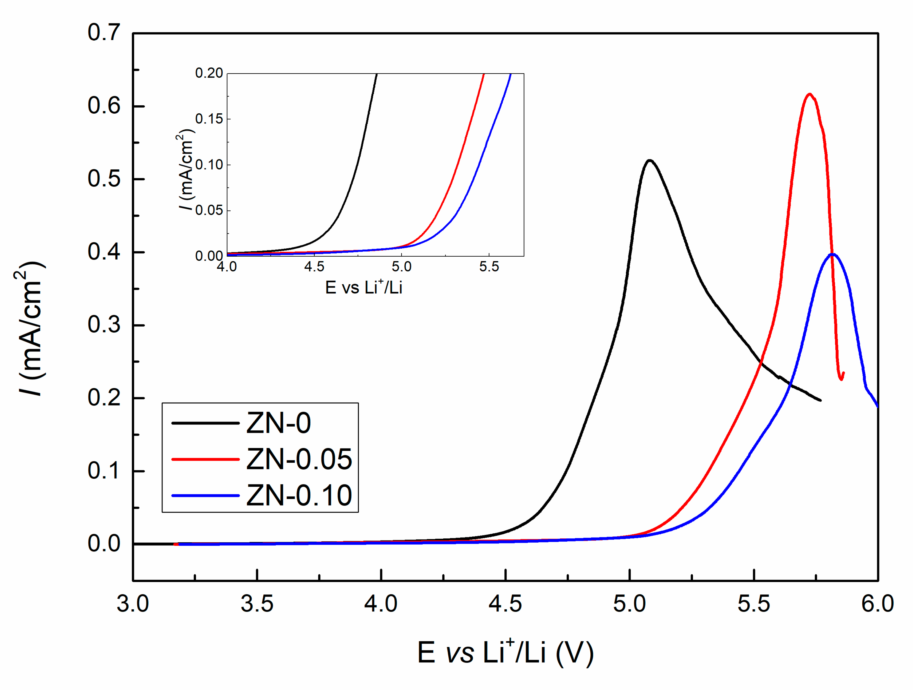
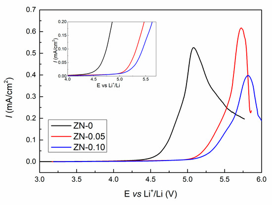
3.4. Electrochemical Stability
4. Conclusions
Author Contributions
Funding
Conflicts of Interest
References
- Bruce, P.G.; Vincent, C.A. Polymer electrolytes. J. Chem. Soc. Faraday Trans. 1993, 89, 3187–3203. [Google Scholar]
- Meyer, W.H. Polymer electrolytes for lithium-ion batteries. Adv. Mater. 1998, 10, 439–448. [Google Scholar] [PubMed]
- Hallinan, D.T., Jr.; Balsara, N.P. Polymer electrolytes. Annu. Rev. Mater. Res. 2013, 43, 503–525. [Google Scholar]
- Long, L.; Wang, S.; Xiao, M.; Meng, Y. Polymer electrolytes for lithium polymer batteries. J. Mater. Chem. A 2016, 4, 10038–10069. [Google Scholar]
- Zhang, Q.; Lui, K.; Ding, F.; Lui, X. Recent advances in solid polymer electrolytes for lithium batteries. Nano Res. 2017, 10, 4139–4174. [Google Scholar]
- Phan, T.N.T.; Issa, S.; Gigmes, D. Poly(ethylene oxide)-based block copolymer electrolytes for lithium metal batteries. Polym. Int. 2019, 68, 7–13. [Google Scholar] [CrossRef]
- Armand, M. Polymer solid electrolytes—An overview. Solid State Ion. 1983, 9-10, 745–754. [Google Scholar]
- Fenton, D.E.; Parker, J.M.; Wright, P.V. Complexes alkali metal ions with poly(ethylene oxide). Polymer 1973, 14, 589. [Google Scholar]
- Xia, Y.Y.; Fujieda, T.; Tatsumi, K.; Prosini, P.P.; Sakai, T. Thermal and electrochemical stability of cathode materials in solid polymer electrolyte. J. Power Sources 2001, 92, 234–243. [Google Scholar] [CrossRef]
- Prosini, P.P.; Passerini, S. The role of conductive carbon in PEO-based composite cathodes. Eur. Polym. J. 2001, 37, 65–69. [Google Scholar] [CrossRef]
- Croce, F.; Persi, L.; Scrosati, B.; Serraino-Fiory, F.; Plichta, E.; Hendrickson, M.A. Role of the ceramics fillers in enhancing the transport properties of composite polymer electrolytes. Electrochim. Acta 2001, 46, 2457–2461. [Google Scholar]
- Croce, F.; Appetecchi, G.B.; Persi, L.; Scrosati, B. Nanocomposite polymer electrolytes for lithium batteries. Nature 1998, 394, 456–458. [Google Scholar]
- Capiglia, C.; Mustarelli, P.; Quartarone, E.; Tomasi, C.; Magistris, A. Effects of nanoscale SiO2 on the thermal and transport properties of solvent-free, poly(ethylene oxide) (PEO)-based polymer electrolytes. Solid State Ion. 1999, 118, 73–79. [Google Scholar]
- Fedeli, E.; Garcia-Calvo, O.; Thieu, T.; Phan, T.N.T.; Gigmes, D.; Urdampilleta, I.; Kvasha, A. Nanocomposite solid polymer electrolytes based on semi-interpenetrating hybrid polymer networks for high performance lithium metal batteries. Electrochim. Acta 2020, 353, 136481. [Google Scholar] [CrossRef]
- Shin, J.H.; Henderson, W.A.; Passerini, S. Ionic liquids to the rescue? Overcoming the ionic conductivity limitations of polymer electrolytes. Electrochem. Commun. 2003, 5, 1016–1020. [Google Scholar]
- Widstrom, M.D.; Ludwig, K.B.; Matthews, J.E.; Jarry, A.; Erdi, M.; Cresce, A.V.; Rubloff, G.; Kofinas, P. Enabling high performance all-solid-state lithium metal batteries using solid polymer electrolytes plasticized with ionic liquid. Electrochim. Acta 2020, 345, 136156. [Google Scholar] [CrossRef]
- Kim, G.T.; Appetecchi, G.B.; Alessandrini, F.; Passerini, S. Solvent-free, PYR1ATFSI ionic liquid-based ternary polymer electrolyte systems: I. Electrochemical characterization. J. Power Sources 2007, 171, 861–869. [Google Scholar] [CrossRef]
- Ohno, H.; Yoshizawa-Fujita, M.; Ogihara, W. A new type of polymer gel electrolyte: Zwitterionic liquid/polar polymer mixture. Electrochim. Acta 2003, 48, 2079–2083. [Google Scholar] [CrossRef]
- Tiyapiboonchaiya, C.; Pringle, J.M.; Sun, J.Z.; Byrne, N.; Howlett, P.C.; Macfarlane, D.R.; Forsyth, M. The zwitterion effect in high-conductivity polyelectrolyte materials. Nat. Mater. 2004, 3, 29–32. [Google Scholar] [CrossRef] [PubMed]
- Suematsu, M.; Yoshizawa-Fujita, M.; Zhu, H.; Forsyth, M.; Takeoka, Y.; Rikukawa, M. Effect of zwitterions on electrochemical properties of oligoether-based electrolytes. Electrochim. Acta 2015, 175, 209–213. [Google Scholar] [CrossRef]
- Yamaguchi, S.; Yoshizawa-Fujita, M.; Zhu, H.J.; Forsyth, M.; Takeoka, Y.; Rikukawa, M. Improvement of charge/discharge properties of oligoether electrolytes by zwitterions with an attached cyano group for use in lithium-ion secondary batteries. Electrochim. Acta 2015, 186, 471–477. [Google Scholar] [CrossRef]
- Byrne, N.; Howlett, P.C.; MacFarlane, D.R.; Forsyth, M. The zwitterion effect in ionic liquids: Towards practical rechargeable lithium-metal batteries. Adv. Mater. 2005, 17, 2497–2501. [Google Scholar] [CrossRef]
- Wohde, F.; Bhandary, R.; Moldrickx, J.M.; Sundermeyer, J.; Schonhoff, M.; Roling, B. Li+ ion transport in ionic liquid-based electrolytes and the influence of sulfonate-based zwitterion additives. Solid State Ion. 2016, 284, 37–44. [Google Scholar] [CrossRef]
- Lind, F.; Rebollar, L.; Bengani-Lutz, P.; Asatekin, A.; Panzer, J.M. Zwitterion-Containing Ionogel Electrolytes. Chem. Mater. 2016, 28, 8480–8483. [Google Scholar] [CrossRef]
- Horiuchi, S.; Zhu, H.J.; Forsyth, M.; Takeoka, Y.; Rikukawa, M.; Yoshizawa-Fujita, M. Synthesis and evaluation of a novel pyrrolidinium-based zwitterionic additive with an ether side chain for ionic liquid electrolytes in high-voltage lithium-ion batteries. Electrochim. Acta 2017, 241, 272–280. [Google Scholar] [CrossRef]
- Yamaguchi, S.; Yoshizawa-Fujita, M.; Takeoka, Y.; Rikukawa, M. Effect of a pyrrolidinium zwitterion on charge/discharge cycle properties of Li/LiCoO2 and graphite/Li cells containing an ionic liquid electrolyte. J. Power Sources 2016, 331, 308–314. [Google Scholar] [CrossRef]
- Narita, A.; Shibayama, W.; Ohno, H. Structural factors to improve physico-chemical properties of zwitterions as ion conductive matrices. J. Mater. Chem. 2006, 16, 1475–1482. [Google Scholar] [CrossRef]
- Ho, H.T.; Rollet, M.; Phan, T.N.T.; Gigmes, D. “Michael addition” reaction onto vinyl sulfonyl(trifluoromethylsulfonyl) imide: An easy access to sulfonyl(trifluoromethylsulfonyl)imide-based monomers and polymers. Eur. Polym. J. 2018, 107, 74–81. [Google Scholar] [CrossRef]
- Nguyen, D.Q.; Hwang, J.; Lee, J.S.; Kim, H.; Lee, H.; Cheong, M.; Lee, B.; Kim, H.S. Multi-functional zwitterionic compounds as additives for lithium battery electrolytes. Electrochem. Commun. 2007, 9, 109–114. [Google Scholar] [CrossRef]
- Zuo, X.X.; Deng, X.; Ma, X.D.; Wu, J.H.; Liang, H.Y.; Nan, J.M. 3-(Phenylsulfonyl)propionitrile as a higher voltage bifunctional electrolyte additive to improve the performance of lithium-ion batteries. J. Mater. Chem. A 2018, 6, 14725–14733. [Google Scholar] [CrossRef]







| Sample | Mass of PEGDM (g) | Mass of LiTFSI (g) | Mass of ZN Zwitterion (mg) | Volume of Acetonitrile (mL) | ZN wt% in Electrolyte (%) |
|---|---|---|---|---|---|
| ZN-0 | 3.0 | 1.24 | 0.0 | 2.0 | 0 |
| ZN-0.05 | 3.0 | 1.24 | 75.1 | 2.0 | 1.74 |
| ZN-0.10 | 3.0 | 1.24 | 150.1 | 2.0 | 3.41 |
| ZN-0.15 | 3.0 | 1.24 | 225.2 | 2.0 | 5.03 |
| Sample | Tg (°C) | Tm (°C) | T at 10 wt% Loss (°C) | DTAmax (°C) 1 | R600 °C (wt%) 2 |
|---|---|---|---|---|---|
| ZN zwitterion | 12 | 166 | 287 | 310 | 21 |
| ZN-0 | −56 | 20 | 241 | 405 | 3 |
| ZN-0.05 | −55 | / | 238 | 396 | 4 |
| ZN-0.10 | −53 | / | 245 | 397 | 6 |
| ZN-0.15 | −53 | / | 270 | 400 | 8 |
Publisher’s Note: MDPI stays neutral with regard to jurisdictional claims in published maps and institutional affiliations. |
© 2020 by the authors. Licensee MDPI, Basel, Switzerland. This article is an open access article distributed under the terms and conditions of the Creative Commons Attribution (CC BY) license (http://creativecommons.org/licenses/by/4.0/).
Share and Cite
Fedeli, E.; Kvasha, A.; Gigmes, D.; Phan, T.N.T. Synthesis and Use of Zwitterion Bearing Sulfonyl(trifluoromethane sylfonyl)imide Anion as Additive for Polymer Electrolytes. Appl. Sci. 2020, 10, 7724. https://doi.org/10.3390/app10217724
Fedeli E, Kvasha A, Gigmes D, Phan TNT. Synthesis and Use of Zwitterion Bearing Sulfonyl(trifluoromethane sylfonyl)imide Anion as Additive for Polymer Electrolytes. Applied Sciences. 2020; 10(21):7724. https://doi.org/10.3390/app10217724
Chicago/Turabian StyleFedeli, Elisabetta, Andriy Kvasha, Didier Gigmes, and Trang N. T. Phan. 2020. "Synthesis and Use of Zwitterion Bearing Sulfonyl(trifluoromethane sylfonyl)imide Anion as Additive for Polymer Electrolytes" Applied Sciences 10, no. 21: 7724. https://doi.org/10.3390/app10217724
APA StyleFedeli, E., Kvasha, A., Gigmes, D., & Phan, T. N. T. (2020). Synthesis and Use of Zwitterion Bearing Sulfonyl(trifluoromethane sylfonyl)imide Anion as Additive for Polymer Electrolytes. Applied Sciences, 10(21), 7724. https://doi.org/10.3390/app10217724

