Dynamic Decoupling and Trajectory Tracking for Automated Vehicles Based on the Inverse System
Abstract
1. Introduction
2. Coupling Mechanism of 4WID Vehicle
3. Methodology
3.1. Decoupling of Dynamics
3.1.1. Proof of Reversibility
| Algorithm 1. Interactor Algorithm |
| 1: Defining the superscript , which means taking the derivative for k-th component is the order when control input firstly appears, and the derivative is noted as |
| 2: For |
| 3: Defining a criterion vector , and is null when |
| 4: Calculating the rank of the Jacobian matrix |
| 5: If |
| 6: |
| 7: End If |
| 8: End For |
| 9: If |
| 10: The system is reversible. |
| 11: End If |
3.1.2. Definition of the Inverse System
3.1.3. Neural Networks Training
- The equivalent steering angle is constrained according to the real-time speed.
- The vehicle speed is always positive.
3.1.4. Design of the Trajectory Tracking Controller
3.2. The Desired Vehicle States
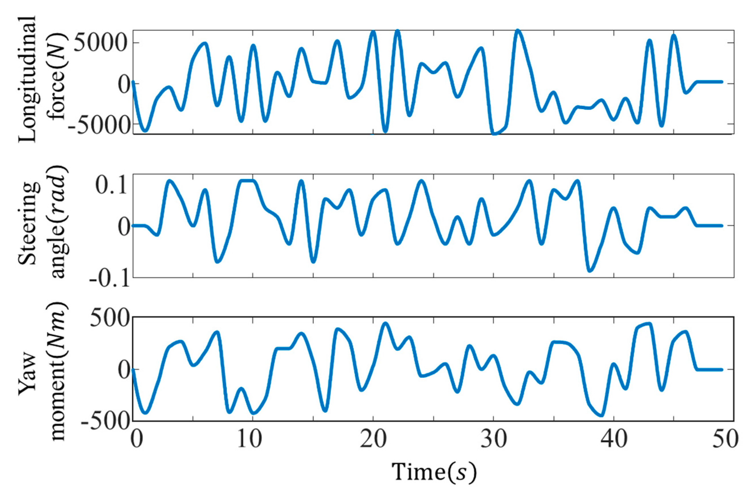
4. Simulation Results and Analysis
4.1. Verification of the Inverse System Models
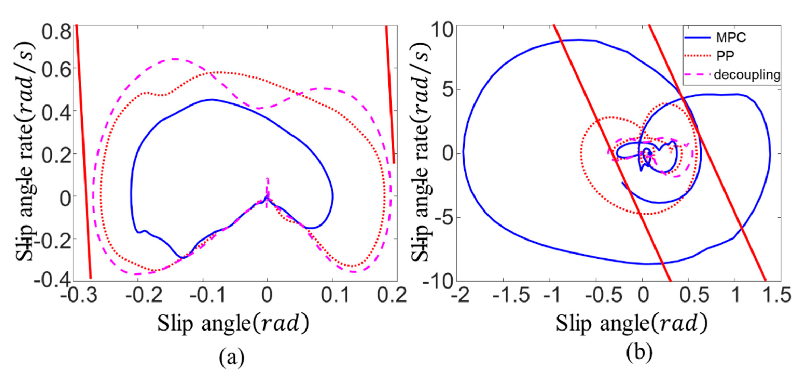
4.2. Verification of Tracking Performance
4.2.1. Scenario 1: Lane Change with Deceleration on Dry Road Surface
4.2.2. Scenario 2: Turn Left with Deceleration at Crossing
4.2.3. Scenario 3: Lane Change with Deceleration/Acceleration on a Wet Road Surface
5. Conclusions
Author Contributions
Funding
Conflicts of Interest
Appendix A
| Definition | Symbol | Unit |
|---|---|---|
| Vehicle mass | ||
| Vehicle inertia on yaw direction | ||
| Longitudinal speed/acceleration (in ) | / | |
| Lateral speed/acceleration (in ) | / | |
| Longitudinal force vector on tire (in ) | ||
| Lateral force vector on tire (in ) | ||
| Distance from c.g. to the front/rear axle | / | |
| Length of wheelbase | ||
| Longitudinal force on each tire (in tire coordinate) | ||
| Lateral force on each tire (in tire coordinate) | ||
| Front wheel steering angle on the left/right | / | |
| Equivalent steering angle | ||
| Slip angle of the front/rear wheel | / | |
| Speed angle of the front/rear wheel | / | |
| Cornering stiffness of the front/rear wheel | / | |
| Yaw angle of vehicle body (in ) | ||
| Total input longitudinal force on vehicle c.g. | ||
| Total input yaw moment on vehicle c.g. | ||
| Longitudinal force distribute rate on front/rear wheel | / | - |
| Aerodynamic drag coefficient | ||
| Control error on longitudinal/lateral/yaw directions | ||
| Tracking error on longitudinal/lateral |
| Parameters | Definition | Value |
| Vehicle mass | 1370 | |
| Horizontal distance from c.g. to front tires | 1.11 | |
| Horizontal distance from c.g. to rear tires | 1.67 | |
| The resistance coefficient of air | 0.35 | |
| cornering stiffness of front tires | 67553 | |
| cornering stiffness of rear tires | 49506 | |
| Yaw inertia | 2315.3 |
References
- Xu, S.; Peng, H. Design, Analysis, and Experiments of Preview Path Tracking Control for Autonomous Vehicles. IEEE Trans. Intell. Transp. Syst. 2020, 21, 48–58. [Google Scholar] [CrossRef]
- Wang, Y.; Shao, Q.; Zhou, J. Longitudinal and lateral control of autonomous vehicles in multi-vehicle driving environments. IET Intell. Transp. Syst. 2020, 14, 924–935. [Google Scholar] [CrossRef]
- Chen, T.; Chen, L.; Xu, X.; Cai, Y. Simultaneous path following and lateral stability control of 4WD-4WS autonomous electric vehicles with actuator saturation. Adv. Eng. Softw. 2019, 128, 46–54. [Google Scholar] [CrossRef]
- Samuel, M.; Hussein, M.; Mohamad, M. A Review of some Pure-Pursuit based Path Tracking Techniques for Control of Autonomous Vehicle. Int. J. Comput. Appl. 2016, 135, 35–38. [Google Scholar] [CrossRef]
- Wang, R.; Ye, Q.; Cai, Y. Analyzing the influence of automatic steering system on the trajectory tracking accuracy of intelligent vehicle. Adv. Eng. Softw. 2018, 121, 188–196. [Google Scholar] [CrossRef]
- Thrun, S.; Montemerlo, M.; Dahlkamp, H. Stanley: The Robot That Won the DARPA Grand Challenge. J. Field Robot. 2006, 23, 661–692. [Google Scholar] [CrossRef]
- Falcone, P.; Borrelli, F.; Asgari, J. Predictive active steering control for autonomous vehicle systems. IEEE Trans. Control Syst. Technol. 2007, 15, 566–580. [Google Scholar] [CrossRef]
- Yu, Z.; Zhang, R.; Xiong, L. Robust hierarchical controller with conditional integrator based on small gain theorem for reference trajectory tracking of autonomous vehicles. Veh. Syst. Dyn. 2019, 57, 1143–1162. [Google Scholar] [CrossRef]
- Talvala, K.L.; Kritayakirana, K.; Gerdes, J.C. Pushing the limits: From lanekeeping to autonomous racing. Annu. Rev. Control. 2011, 35, 137–148. [Google Scholar] [CrossRef]
- Ni, J.; Hu, J. Dynamics control of autonomous vehicle at driving limits and experiment on an autonomous formula racing car. Mech. Syst. Signal Process. 2017, 90, 154–174. [Google Scholar] [CrossRef]
- Brown, M.; Funke, J.; Erlien, S.M. Safe driving envelopes for path tracking in autonomous vehicles. Control Eng. Pract. 2017, 61, 307–316. [Google Scholar] [CrossRef]
- Ji, J.; Khajepour, A.; Melek, W.W. Path planning and tracking for vehicle collision avoidance based on model predictive control with multiconstraints. IEEE Trans. Veh. Technol. 2017, 66, 952–964. [Google Scholar] [CrossRef]
- Turri, V.; Carvalho, A.; Tseng, H.E. Linear model predictive control for lane keeping and obstacle avoidance on low curvature roads. In Proceedings of the 16th international IEEE conference on intelligent transportation systems (ITSC 2013), The Hague, The Netherlands, 6–9 October 2013; pp. 378–383. [Google Scholar]
- Attia, R.; Orjuela, R.; Basset, M. Combined longitudinal and lateral control for automated vehicle guidance. Veh. Syst. Dyn. 2014, 52, 261–279. [Google Scholar] [CrossRef]
- Kanayama, Y.; Kimura, Y.; Miyazaki, F. A stable tracking control method for an autonomous mobile robot. In Proceedings of the IEEE International Conference on Robotics and Automation, Cincinnati, OH, USA, 13–18 May 1990; pp. 384–389. [Google Scholar]
- Menhour, L.; Dandreanovel, B.; Fliess, M. Coupled nonlinear vehicle control: Flatness-based setting with algebraic estimation techniques. Control Eng. Pract. 2014, 22, 135–146. [Google Scholar] [CrossRef]
- Gao, Y.; Gray, A.; Tseng, H.E. A tube-based robust nonlinear predictive control approach to semiautonomous ground vehicles. Veh. Syst. Dyn. 2014, 52, 802–823. [Google Scholar] [CrossRef]
- Brown, M.; Gerdes, J.C. Coordinating tire forces to avoid obstacles using nonlinear model predictive control. IEEE Trans. Intell. Veh. 2020, 5, 21–31. [Google Scholar] [CrossRef]
- Marino, R.; Scalzi, S. Asymptotic sideslip angle and yaw rate decoupling control in four-wheel steering vehicles. Veh. Syst. Dyn. 2010, 48, 999–1019. [Google Scholar] [CrossRef]
- Zhang, H.; Zhao, W. Decoupling control of steering and driving system for in-wheel-motor-drive electric vehicle. Mech. Syst. Signal Process. 2018, 101, 389–404. [Google Scholar] [CrossRef]
- Wang, C.; Zhao, W.; Luan, Z. Decoupling control of vehicle chassis system based on neural network inverse system. Mech. Syst. Signal Process. 2018, 106, 176–197. [Google Scholar] [CrossRef]
- Hu, C.; Wang, R.; Yan, F. Should the desired heading in path following of autonomous vehicles be the tangent direction of the desired path. IEEE Trans. Intell. Transp. Syst. 2015, 16, 3084–3094. [Google Scholar] [CrossRef]
- Li, B.; Du, H.; Li, W. Trajectory control for autonomous electric vehicles with in-wheel motors based on a dynamics model approach. IET Intell. Transp. Syst. 2016, 10, 318–330. [Google Scholar] [CrossRef]
- Ge, S.S.; Cui, Y.J. Dynamic motion planning for mobile robots using potential field method. Auton. Robot. 2002, 13, 207–222. [Google Scholar] [CrossRef]
- Lin, F.; Zhang, Y.; Zhao, Y. Trajectory Tracking of Autonomous Vehicle with the Fusion of DYC and Longitudinal–Lateral Control. Chin. J. Mech. Eng. 2019, 32, 16. [Google Scholar] [CrossRef]
- Wu, J.; Cheng, S.; Liu, B. A Human-Machine-Cooperative-Driving Controller Based on AFS and DYC for Vehicle Dynamic Stability. Energies 2017, 10, 1737. [Google Scholar] [CrossRef]
- Zhang, R.; Ma, Y.; Li, Z. Energy dissipation based longitudinal and lateral coupling control for intelligent vehicles. IEEE Intell. Transp. Syst. Mag. 2018, 10, 121–133. [Google Scholar] [CrossRef]
- Li, L.; Li, H.; Zhang, X. Real-time tire parameters observer for vehicle dynamics stability control. Chin. J. Mech. Eng. 2010, 23, 620–626. [Google Scholar] [CrossRef]
- Krantz, S.G.; Parks, H.R. The Implicit Function Theorem ||. Modern Birkhäuser Classics. In History, Theory, and Applications; Birkhäuser/Springer: Basel, Switzerland, 2013. [Google Scholar]
- Liang, Y.; Li, Y.; Yu, Y. Integrated lateral control for 4WID/4WIS vehicle in high-speed condition considering the magnitude of steering. Veh. Syst. Dyn. 2019, 1711–1735. [Google Scholar] [CrossRef]
- Wang, W.; Dai, X. Dynamic decoupling for general nonlinear systems based on interactor inversion algorithm. In Proceedings of the 2008 Chinese Control and Decision Conference, Shandong, China, 2–4 July 2008; pp. 5079–5084. [Google Scholar]
- Li, J.; Li, S.; Chen, X. RBFNDOB-based neural network inverse control for non-minimum phase mimo system with disturbances. ISA Trans. 2014, 53, 983–993. [Google Scholar] [CrossRef]
- Ren, Y.; Zheng, L.; Khajepour, A. Integrated model predictive and torque vectoring control for path tracking of 4-wheel-driven autonomous vehicles. IET Intell. Transp. Syst. 2019, 13, 98–107. [Google Scholar] [CrossRef]
- Sadler, R.; Pizarro, J.; Turchan, B. Exploring the spatial-temporal relationships between a community greening program and neighborhood rates of crime. Appl. Geogr. 2017, 83, 13–26. [Google Scholar] [CrossRef]
- Ding, S.; Liu, L.; Zheng, W. Sliding mode direct yaw-moment control design for in-wheel electric vehicles. IEEE Trans. Ind. Electron. 2017, 64, 6752–6762. [Google Scholar] [CrossRef]












| Unit | Decoupling Control | MPC | PP | |
|---|---|---|---|---|
| 0.1054 | 0.0113 | 0.0296 | ||
| −0.0090 | −0.1795 | −0.0399 | ||
| 0.0033 | 0.0110 | 0.1164 | ||
| 0.0011 | 0.0036 | 0.0002 | ||
| 0.0382 | 0.0127 | 0.0386 |
Publisher’s Note: MDPI stays neutral with regard to jurisdictional claims in published maps and institutional affiliations. |
© 2020 by the authors. Licensee MDPI, Basel, Switzerland. This article is an open access article distributed under the terms and conditions of the Creative Commons Attribution (CC BY) license (http://creativecommons.org/licenses/by/4.0/).
Share and Cite
Yu, Y.; Li, Y.; Liang, Y.; Zheng, L.; Yang, W. Dynamic Decoupling and Trajectory Tracking for Automated Vehicles Based on the Inverse System. Appl. Sci. 2020, 10, 7394. https://doi.org/10.3390/app10217394
Yu Y, Li Y, Liang Y, Zheng L, Yang W. Dynamic Decoupling and Trajectory Tracking for Automated Vehicles Based on the Inverse System. Applied Sciences. 2020; 10(21):7394. https://doi.org/10.3390/app10217394
Chicago/Turabian StyleYu, Yinghong, Yinong Li, Yixiao Liang, Ling Zheng, and Wei Yang. 2020. "Dynamic Decoupling and Trajectory Tracking for Automated Vehicles Based on the Inverse System" Applied Sciences 10, no. 21: 7394. https://doi.org/10.3390/app10217394
APA StyleYu, Y., Li, Y., Liang, Y., Zheng, L., & Yang, W. (2020). Dynamic Decoupling and Trajectory Tracking for Automated Vehicles Based on the Inverse System. Applied Sciences, 10(21), 7394. https://doi.org/10.3390/app10217394

