Sign in to use this feature.

Years

Between: -

Subjects

remove_circle_outline
remove_circle_outline
remove_circle_outline
remove_circle_outline
remove_circle_outline
remove_circle_outline
remove_circle_outline
remove_circle_outline
remove_circle_outline

Journals

remove_circle_outline
remove_circle_outline
remove_circle_outline
remove_circle_outline
remove_circle_outline
remove_circle_outline
remove_circle_outline
remove_circle_outline
remove_circle_outline
remove_circle_outline
remove_circle_outline

Article Types

Countries / Regions

remove_circle_outline
remove_circle_outline
remove_circle_outline
remove_circle_outline
remove_circle_outline
remove_circle_outline

Search Results (2,409)

Search Parameters:
Keywords = automated vehicles

Order results
Result details
Results per page
Select all
Export citation of selected articles as:
19 pages, 2856 KB  
Article
Applying Dual Deep Deterministic Policy Gradient Algorithm for Autonomous Vehicle Decision-Making in IPG-Carmaker Simulator
by Ali Rizehvandi, Shahram Azadi and Arno Eichberger
World Electr. Veh. J. 2026, 17(1), 33; https://doi.org/10.3390/wevj17010033 - 9 Jan 2026
Abstract
Automated driving technologies have the capability to significantly increase road safety by decreasing accidents and increasing travel efficiency. This research presents a decision-making strategy for automated vehicles that models both lane changing and double lane changing maneuvers and is supported by a Deep [...] Read more.
Automated driving technologies have the capability to significantly increase road safety by decreasing accidents and increasing travel efficiency. This research presents a decision-making strategy for automated vehicles that models both lane changing and double lane changing maneuvers and is supported by a Deep Reinforcement Learning (DRL) algorithm. To capture realistic driving challenges, a highway driving scenario was designed using the professional multi-body simulation tool IPG Carmaker software, version 11 with realistic weather simulations to include aspects of rainy weather by incorporating vehicles with explicitly reduced tire–road friction while the ego vehicle is attempting to safely and perform efficient maneuvers in highway and merged merges. The hierarchical control system both creates an operational structure for planning and decision-making processes in highway maneuvers and articulates between higher-level driving decisions and lower-level autonomous motion control processes. As a result, a Duel Deep Deterministic Policy Gradient (Duel-DDPG) agent was created as the DRL approach to achieving decision-making in adverse driving conditions, which was built in MATLAB version 2021, designed, and tested. The study thoroughly explains both the Duel-DDPG and standard Deep Deterministic Policy Gradient (DDPG) algorithms, and we provide a direct performance comparative analysis. The discussion continues with simulation experiments of traffic complexity with uncertainty relating to weather conditions, which demonstrate the effectiveness of the Duel-DDPG algorithm. Full article
(This article belongs to the Section Automated and Connected Vehicles)
Show Figures

Figure 1

14 pages, 498 KB  
Article
Intrusion Detection for Internet of Vehicles CAN Bus Communications Using Machine Learning: An Empirical Study on the CICIoV2024 Dataset
by Hop Le and Izzat Alsmadi
Future Internet 2026, 18(1), 42; https://doi.org/10.3390/fi18010042 - 9 Jan 2026
Abstract
The rapid integration of connectivity and automation in modern vehicles has significantly expanded the attack surface of in-vehicle networks, particularly the Controller Area Network (CAN) bus, which lacks native security mechanisms. This study investigates machine learning-based intrusion detection for Internet of Vehicles (IoV) [...] Read more.
The rapid integration of connectivity and automation in modern vehicles has significantly expanded the attack surface of in-vehicle networks, particularly the Controller Area Network (CAN) bus, which lacks native security mechanisms. This study investigates machine learning-based intrusion detection for Internet of Vehicles (IoV) environments using the CICIoV2024 dataset. Unlike prior studies that rely on highly redundant traffic traces, this work applies strict de-duplication to eliminate repetitive CAN frames, resulting in a dataset of unique attack signatures. To ensure statistical robustness despite the reduced data size, Stratified K-Fold Cross-Validation was employed. Experimental results reveal that while traditional models like Random Forest (optimized with ANOVA feature selection) maintain stability (F1-Macro ≈ 0.64), Deep Learning models fail to generalize (F1-Macro < 0.55) when denied the massive redundancy they typically require. These findings challenge the “near-perfect” detection rates reported in the literature, suggesting that previous benchmarks may reflect data leakage rather than true anomaly detection capabilities. The study concludes that lightweight models offer superior resilience for resource-constrained vehicular environments when evaluated on realistic, non-redundant data. Full article
Show Figures

Figure 1

15 pages, 2681 KB  
Article
Strategic Vertical Port Placement and Routing of Unmanned Aerial Vehicles for Automated Defibrillator Delivery in Mountainous Areas
by Abraham Mejia-Aguilar, Giacomo Strapazzon, Eliezer Fajardo-Figueroa and Michiel J. van Veelen
Drones 2026, 10(1), 38; https://doi.org/10.3390/drones10010038 - 7 Jan 2026
Viewed by 22
Abstract
Out-of-hospital cardiac arrest (OHCA) is a major cause of death during mountain activities in the Alpine regions. Due to the time-critical nature of these emergencies and the logistical challenges of remote terrain, emergency medical services (EMS) are investigating the use of unmanned aerial [...] Read more.
Out-of-hospital cardiac arrest (OHCA) is a major cause of death during mountain activities in the Alpine regions. Due to the time-critical nature of these emergencies and the logistical challenges of remote terrain, emergency medical services (EMS) are investigating the use of unmanned aerial vehicles (UAVs) to deliver automated external defibrillators (AEDs). This study presents a geospatial strategy for optimising AED delivery by UAVs in mountainous environments, using the Province of South Tyrol, Italy, as a model region. A Geographic Information System (GIS) framework was developed to identify suitable sites for vertical drone ports based on terrain, infrastructure, and regulatory constraints. A Low-Altitude-Flight Elevation Model (LAFEM) was implemented to generate obstacle-avoiding, regulation-compliant 3D flight paths using least-cost path analysis. The results identified 542 potential vertical-port locations, covering approximately 49% of South Tyrol within ten minutes of flight, and demonstrated significant time savings for AED delivery in field tests compared with manual and Euclidean routing. These findings show that integrating GIS-based vertical-port placement and terrain-adaptive UAV routing can substantially improve AED accessibility and response times in mountainous regions. The LAFEM model aligns with U-space airspace regulations and supports safe, automated AED deployment for improved outcomes in OHCA emergencies. Full article
Show Figures

Figure 1

13 pages, 4494 KB  
Article
Direct UAV-Based Detection of Botrytis cinerea in Vineyards Using Chlorophyll-Absorption Indices and YOLO Deep Learning
by Guillem Montalban-Faet, Enrique Pérez-Mateo, Rafael Fayos-Jordan, Pablo Benlloch-Caballero, Aleksandr Lada, Jaume Segura-Garcia and Miguel Garcia-Pineda
Sensors 2026, 26(2), 374; https://doi.org/10.3390/s26020374 - 6 Jan 2026
Viewed by 144
Abstract
The transition toward Agriculture 5.0 requires intelligent and autonomous monitoring systems capable of providing early, accurate, and scalable crop health assessment. This study presents the design and field evaluation of an artificial intelligence (AI)–based unmanned aerial vehicle (UAV) system for the detection of [...] Read more.
The transition toward Agriculture 5.0 requires intelligent and autonomous monitoring systems capable of providing early, accurate, and scalable crop health assessment. This study presents the design and field evaluation of an artificial intelligence (AI)–based unmanned aerial vehicle (UAV) system for the detection of Botrytis cinerea in vineyards using multispectral imagery and deep learning. The proposed system integrates calibrated multispectral data with vegetation indices and a YOLOv8 object detection model to enable automated, geolocated disease detection. Experimental results obtained under real vineyard conditions show that training the model using the Chlorophyll Absorption Ratio Index (CARI) significantly improves detection performance compared to RGB imagery, achieving a precision of 92.6%, a recall of 89.6%, an F1-score of 91.1%, and a mean Average Precision (mAP@50) of 93.9%. In contrast, the RGB-based configuration yielded an F1-score of 68.1% and an mAP@50 of 68.5%. The system achieved an average inference time below 50 ms per image, supporting near real-time UAV operation. These results demonstrate that physiologically informed spectral feature selection substantially enhances early Botrytis cinerea detection and confirm the suitability of the proposed UAV–AI framework for precision viticulture within the Agriculture 5.0 paradigm. Full article
(This article belongs to the Special Issue AI-IoT for New Challenges in Smart Cities)
Show Figures

Figure 1

31 pages, 2120 KB  
Article
Secure TPMS Data Transmission in Real-Time IoV Environments: A Study on 5G and LoRa Networks
by D. K. Niranjan, Muthuraman Supriya and Walter Tiberti
Sensors 2026, 26(2), 358; https://doi.org/10.3390/s26020358 - 6 Jan 2026
Viewed by 104
Abstract
The advancement of Automotive Industry 4.0 has promoted the development of Vehicle to Vehicle (V2V) and Internet of Vehicles (IoV) communication, which marks the new era for intelligent, connected and automated transportation. Despite the benefits of this metamorphosis in terms of effectiveness and [...] Read more.
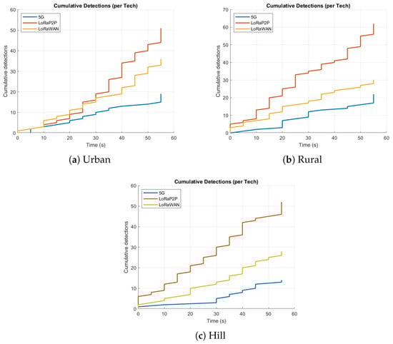
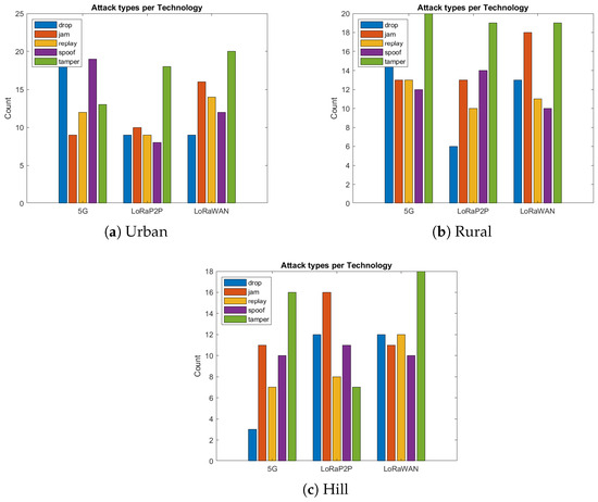
The advancement of Automotive Industry 4.0 has promoted the development of Vehicle to Vehicle (V2V) and Internet of Vehicles (IoV) communication, which marks the new era for intelligent, connected and automated transportation. Despite the benefits of this metamorphosis in terms of effectiveness and convenience, new obstacles to safety, inter-connectivity, and cybersecurity emerge. The tire pressure monitoring system (TPMS) is one prominent feature that senses tire pressure, which is closely related to vehicle stability, braking performance and fuel efficiency. However, the majority of TPMSs currently in use are based on the use of insecure and proprietary wireless communication links that can be breached by attackers so as to interfere with not only tire pressure readings but also sensor data manipulation. For this purpose, we design a secure TPMS architecture suitable for real-time IoV sensing. The framework is experimentally implemented using a Raspberry Pi 3B+ (Raspberry Pi Ltd., Cambridge, UK) as an independent autonomous control unit (ACU), interfaced with vehicular pressure sensors and a LoRa SX1278 (Semtech Corporation, Camarillo, CA, USA) module to support low-power, long-range communication. The gathered sensor data are encrypted, their integrity checked, source authenticated by lightweight cryptographic algorithms and sent to a secure server locally. To validate this approach, we show a three-node exhibition where Node A (raw data and tampered copy), B (unprotected copy) and C (secure auditor equipped with alerting of tampering and weekly rotation of the ID) realize detection of physical level threats at top speeds. The validated datasets are further enriched in a MATLAB R2024a simulator by replicating the data of one vehicle by 100 virtual vehicles communicating using over 5G, LoRaWAN and LoRa P2P as communication protocols under urban, rural and hill-station scenarios. The presented statistics show that, despite 5G ultra-low latency, LoRa P2P consistently provides better reliability and energy efficiency and is more resistant to attacks in the presence of various terrains. Considering the lack of private vehicular 5G infrastructure and the regulatory restrictions, this work simulated and evaluated the performance of 5G communication, while LoRa-based communication was experimentally validated with a hardware prototype. The results underline the trade-offs among LoRa P2P and an infrastructure-based uplink 5G mode, when under some specific simulation conditions, as opposed to claiming superiority over all 5G modes. In conclusion, the presented Raspberry Pi–MATLAB hybrid solution proves to be an effective and scalable approach to secure TPMS in IoV settings, intersecting real-world sensing with large-scale network simulation, thus enabling safer and smarter next-generation vehicular systems. Full article
(This article belongs to the Section Internet of Things)
Show Figures

Figure 1

26 pages, 4199 KB  
Article
Analyzing the Impact of Different Lane Management Strategies on Mixed Traffic Flow with CAV Platoons
by Zhihong Yao, Yumei Wu, Jinrun Wang, Yi Wang, Gen Li and Yangsheng Jiang
Systems 2026, 14(1), 55; https://doi.org/10.3390/systems14010055 - 6 Jan 2026
Viewed by 75
Abstract
Mixed traffic flow composed of connected and automated vehicles (CAVs) and human-driven vehicles (HDVs) represents a core characteristic of intelligent transportation systems. However, its operational efficiency is significantly constrained by lane management strategies and CAV cooperative driving behaviors. To investigate this, a cellular [...] Read more.
Mixed traffic flow composed of connected and automated vehicles (CAVs) and human-driven vehicles (HDVs) represents a core characteristic of intelligent transportation systems. However, its operational efficiency is significantly constrained by lane management strategies and CAV cooperative driving behaviors. To investigate this, a cellular automata-based simulation model is developed that integrates multiple car-following rules, a lane-changing strategy, and a platoon coordination mechanism. Through a systematic comparison of 13 lane management strategies in one-way two-lane and three-lane configurations, this study analyzes the influence mechanisms of lane allocation and cooperative driving on traffic flow, considering fundamental diagram characteristics, operating speed, CAV degradation behavior, and maximum platoon size. The results indicate that the performance of different strategies exhibits phased evolution with increasing CAV penetration rates. At low penetration rates, providing relatively independent space for HDVs effectively suppresses random disturbances and improves throughput. At medium to high penetration rates, dedicated CAV lanes—especially those with spatial continuity—enable cooperative platoons to fully leverage their advantages, leading to significant improvements in traffic capacity and operational stability. These findings demonstrate an optimal alignment between cooperative driving mechanisms and lane configurations, offering theoretical support for highway lane management in mixed traffic environments. Full article
Show Figures

Figure 1

21 pages, 4547 KB  
Article
Attention-Gated U-Net for Robust Cross-Domain Plastic Waste Segmentation Using a UAV-Based Hyperspectral SWIR Sensor
by Soufyane Bouchelaghem, Marco Balsi and Monica Moroni
Remote Sens. 2026, 18(1), 182; https://doi.org/10.3390/rs18010182 - 5 Jan 2026
Viewed by 178
Abstract
The proliferation of plastic waste across natural ecosystems has created a global environmental and public health crisis. Monitoring plastic litter using remote sensing remains challenging due to the significant variability in terrain, lighting, and weather conditions. Although earlier approaches, including classical supervised machine [...] Read more.
The proliferation of plastic waste across natural ecosystems has created a global environmental and public health crisis. Monitoring plastic litter using remote sensing remains challenging due to the significant variability in terrain, lighting, and weather conditions. Although earlier approaches, including classical supervised machine learning techniques such as Linear Discriminant Analysis (LDA) and Support Vector Machine (SVM), applied to hyperspectral and multispectral data have shown promise in controlled settings, they often may face challenges in generalizing across diverse environmental conditions encountered in real-world scenarios. In this work, we present a deep learning framework for pixel-wise segmentation of plastic waste in short-wave infrared (900–1700 nm) hyperspectral imagery acquired from an Unmanned Aerial Vehicle (UAV). Our architecture integrates attention gates and residual connections within a U-Net backbone to enhance contextual modeling and spatial-spectral consistency. We introduce a multi-flight dataset spanning over 9 UAV missions across varied environmental settings, consisting of hyperspectral cubes with centimeter-level resolution. Using a leave-one-out cross-validation protocol, our model achieves test accuracy of up to 96.8% (average 90.5%) and a 91.1% F1 score, demonstrating robust generalization to unseen data collected in different environments. Compared to classical models, the deep network captures richer semantic representations, particularly under challenging conditions. This work offers a scalable and deployable tool for automated plastic waste monitoring and represents a significant advancement in remote environmental sensing. Full article
Show Figures

Figure 1

28 pages, 3171 KB  
Article
The Implementation of Automated Guided Vehicles to Logistics Processes in a Production Company—Case Study
by Iveta Kubasáková, Jaroslava Kubáňová and Dominik Benčo
Sustainability 2026, 18(1), 538; https://doi.org/10.3390/su18010538 - 5 Jan 2026
Viewed by 101
Abstract
The automation of logistics processes in companies is an essential part of the modernization and advancement of companies around the world. This article deals with the issue of deploying a selected type of automated guided vehicle (AGV) in very specific conditions. AGV is [...] Read more.
The automation of logistics processes in companies is an essential part of the modernization and advancement of companies around the world. This article deals with the issue of deploying a selected type of automated guided vehicle (AGV) in very specific conditions. AGV is suitable for optimizing the circular supply chain in specific conditions of a manufacturing company. The deployment of AGVs is governed by the production needs of the section in question. The selection criterion was therefore the quantity of products that needed to be transported on the selected route. The article uses a new calculation of AGV requirements based on the saturation of individual components from the picking location to the assembly line. The ratio indicator was considered: driving time per shift, depending on the length of working time. Based on this calculation, the most effective option was applied from the individual solutions. Based on our calculation, we arrived at a requirement for three AGVs, plus a reserve, i.e., four. Our selected calculations were applied to the FRONT and TOP positions, where a decision was made between the option of using under-run AGVs or a truck. The decision was made based on the saturation level, and the result is described at the end of the discussion. The AGV is one of the tools for sustainable supply chain management in a company. However, it is important to evaluate the total cost of ownership, including lower labour costs, less risk of damage to goods, higher productivity, and long service life of the trucks. Thanks to these factors, AGVs often prove to be economically advantageous. Full article
(This article belongs to the Special Issue Sustainable Operations, Logistics and Supply Chain Management)
Show Figures

Figure 1

19 pages, 2688 KB  
Article
Framework for the Development of a Process Digital Twin in Shipbuilding: A Case Study in a Robotized Minor Pre-Assembly Workstation
by Ángel Sánchez-Fernández, Elena-Denisa Vlad-Voinea, Javier Pernas-Álvarez, Diego Crespo-Pereira, Belén Sañudo-Costoya and Adolfo Lamas-Rodríguez
J. Mar. Sci. Eng. 2026, 14(1), 106; https://doi.org/10.3390/jmse14010106 - 5 Jan 2026
Viewed by 287
Abstract
This article proposes a framework for the development of process digital twins (DTs) in the shipbuilding sector, based on the ISO 23247 standard and structured around the achievement of three levels of digital maturity. The framework is demonstrated through a real pilot cell [...] Read more.
This article proposes a framework for the development of process digital twins (DTs) in the shipbuilding sector, based on the ISO 23247 standard and structured around the achievement of three levels of digital maturity. The framework is demonstrated through a real pilot cell developed at the Innovation and Robotics Center of NAVANTIA—Ferrol shipyard, incorporating various cutting-edge technologies such as robotics, artificial intelligence, automated welding, computer vision, visual inspection, and autonomous vehicles for the manufacturing of minor pre-assembly components. Additionally, the study highlights the crucial role of discrete event simulation (DES) in adapting traditional methodologies to meet the requirements of Process digital twins. By addressing these challenges, the research contributes to bridging the gap in the current state of the art regarding the development and implementation of Process digital twins in the naval sector. Full article
Show Figures

Figure 1

28 pages, 24254 KB  
Article
Enhancing Port Security: A Dual-Stage Multimodal Agent for Reducing False Alarms in Human–Vehicle Interaction Detection
by Yujun Liu, Kan Xia, Haidong Ren and Der-Horng Lee
Appl. Sci. 2026, 16(1), 527; https://doi.org/10.3390/app16010527 - 5 Jan 2026
Viewed by 95
Abstract
In the field of port security, traditional human–vehicle interaction conflict (HVIC) alarm algorithms predominantly rely on the bounding box overlap ratio. This criterion often fails in complex industrial environments, leading to excessive false positives caused by stationary vehicles, perspective distortion, and boarding/alighting activities. [...] Read more.
In the field of port security, traditional human–vehicle interaction conflict (HVIC) alarm algorithms predominantly rely on the bounding box overlap ratio. This criterion often fails in complex industrial environments, leading to excessive false positives caused by stationary vehicles, perspective distortion, and boarding/alighting activities. To address this limitation, this study proposes a dual-stage intelligent agent architecture designed to minimize false alarms. The system integrates YOLOv8 as a front-end lightweight detector for real-time candidate screening and Qwen2.5-VL, a domain-adaptive multimodal large model, as the back-end semantic verifier. A comprehensive dataset comprising one million port-specific images and videos was curated to support a novel two-phase training strategy: image pretraining for object recognition followed by video fine-tuning for temporal logic understanding. The agent dynamically interprets alarm events within their spatiotemporal context. Field trials at an operational wharf demonstrate that the proposed agent achieves an alarm precision of 95.7% and reduces false positives by over 50% across major error categories. This approach offers a highly reliable, automated solution for industrial security monitoring. Full article
Show Figures

Figure 1

31 pages, 7679 KB  
Article
Comparing Driver Behaviour with Measured Speed—An Innovative Approach to Designing Transition Zones for Smart Cities
by Stanisław Majer and Alicja Sołowczuk
Sustainability 2026, 18(1), 494; https://doi.org/10.3390/su18010494 - 4 Jan 2026
Viewed by 281
Abstract
Speed limits are widely used in transition zones between rural and urban areas, where road and environmental conditions change and drivers are expected to reduce their speed. These locations often generate particularly complex driver behaviour in response to applied traffic calming measures (TCMs). [...] Read more.
Speed limits are widely used in transition zones between rural and urban areas, where road and environmental conditions change and drivers are expected to reduce their speed. These locations often generate particularly complex driver behaviour in response to applied traffic calming measures (TCMs). Previous studies have mainly focused on the effectiveness of individual TCMs in reducing speed; however, analyses directly comparing drivers’ declared behaviours with actual measured speeds remain limited. The aim of this study was to assess the effectiveness of selected TCMs—chicanes, central island, refuges island, and dynamic speed feedback signs (DSFSs)—across 26 transition zones, taking into account land-use characteristics, driver fixation points, and the road’s visual perspective. To evaluate consistency or discrepancies, the declared behaviours of survey respondents assessing these locations were compared with speed measurements collected from other drivers travelling through the same zones. The analyses help define the relationship between drivers’ perception and their actual behaviour, identifying which TCMs, when combined with specific road-environment features, are most effective in achieving the target speed of 50 km/h in built-up areas. The most effective chicanes proved to be those with the greatest width (2.5 m), i.e., almost equal to the width of a traffic lane, as well as those with a width of 2.0 m combined with a change in pavement surface from asphalt to stone paving, or those located upstream of a road section characterised by high curvature and limited visibility. In contrast, symmetrical islands, even with a width of 3.0 m, were found to be completely ineffective. The findings support the development of more effective transition-zone design principles and provide guidance for future mobility strategies, including the integration of automated vehicles in smart cities. Full article
(This article belongs to the Special Issue Smart Cities with Innovative Solutions in Sustainable Urban Future)
Show Figures

Figure 1

16 pages, 2231 KB  
Article
DeFiTrustChain: A DeFi-Enabled NFT and Escrow Framework for Secure Automotive Supply Chains in Smart Cities
by Archana Kurde, Sushil Kumar Singh and Aziz Alotaibi
Sensors 2026, 26(1), 315; https://doi.org/10.3390/s26010315 - 3 Jan 2026
Viewed by 194
Abstract
The rising usage of IoT devices in everyday life has formed smart cities that require the adoption of decentralized systems for a secure and transparent mechanism to manage asset exchange across automotive supply chains. Several existing Blockchain-based models built on public chains focus [...] Read more.
The rising usage of IoT devices in everyday life has formed smart cities that require the adoption of decentralized systems for a secure and transparent mechanism to manage asset exchange across automotive supply chains. Several existing Blockchain-based models built on public chains focus on traceability while overlooking scalability limits, transaction fees, conditional payment trust, or real-time delivery validation. We introduce DeFiTrustChain, a DeFi-enabled framework that combines free NFTs, escrow-based automation, and IoT verification within a Hyperledger Fabric network. It represents each vehicle using a unique NFT to capture the details of manufacturing and ownership, along with immutable asset verification. The payment release between stakeholders is governed by a dedicated escrow contract responsible for IoT-based delivery confirmation. The proposed framework ensures authenticated access and prevents identity misuse through integration of the Fabric Certificate Authority. The experimental results demonstrate the coherent and dependable execution of NFT creation, escrow enforcement, and IoT-triggered validation, with low local transaction processing time and consistent behavior across peers. Full article
(This article belongs to the Special Issue Technological Advances for Sensing in IoT-Based Networks)
Show Figures

Figure 1

27 pages, 914 KB  
Article
Reinforcement Learning for Lane-Changing Decision Making in Autonomous Vehicles: A Survey
by Ammar Khaleel and Áron Ballagi
Smart Cities 2026, 9(1), 9; https://doi.org/10.3390/smartcities9010009 - 3 Jan 2026
Viewed by 172
Abstract
Autonomous lane-changing is one of the most critical and complex tasks in automated driving. Recent progress in reinforcement learning (RL) has shown strong potential to help autonomous vehicles (AVs) make safe and flexible lane-change decisions in real time under uncertain traffic conditions. In [...] Read more.
Autonomous lane-changing is one of the most critical and complex tasks in automated driving. Recent progress in reinforcement learning (RL) has shown strong potential to help autonomous vehicles (AVs) make safe and flexible lane-change decisions in real time under uncertain traffic conditions. In the current studies, there is a lack of a common structure that links RL algorithms, simulation tools, and performance evaluation methods. This paper presents a detailed examination of RL-based lane-changing systems in AVs, tracing their development from early rule-based models to modern learning-based approaches. It introduces a clear classification of lane-changing types—discretionary, mandatory, cooperative, and emergency—and connects each to the most suitable RL methods, including value-based, policy-based, actor–critic, model-based, and hybrid algorithms. Each method is examined for its performance, safety, and computational demands. Furthermore, it reviews major simulation environments, such as SUMO, CARLA, and SMARTS, and summarizes key evaluation measures related to safety, efficiency, comfort, and real-time performance. The comparison shows open research challenges, including model adaptation, safety assurance, and transfer from simulation to real-world driving. Finally, it outlines promising directions for future work, such as cooperative decision-making, safe and explainable RL, and lightweight models for real-time use. This review provides a clear foundation and practical guide for developing reliable and understandable RL-based lane-changing systems for future intelligent transportation. Full article
(This article belongs to the Section Smart Urban Mobility, Transport, and Logistics)
Show Figures

Figure 1

23 pages, 3599 KB  
Article
Efficient Path Planning for Port AGVs Using Event-Triggered PPO–EMPC
by Zhaowei Zeng and Yongsheng Yang
World Electr. Veh. J. 2026, 17(1), 19; https://doi.org/10.3390/wevj17010019 - 30 Dec 2025
Viewed by 176
Abstract
In the centralized scheduling mode of automated container terminals, Automated Guided Vehicles (AGVs) often experience decision-making delays caused by system information-processing bottlenecks, which significantly affect path-planning efficiency and are particularly evident in sudden-traffic scenarios. To address this issue, this paper incorporates the artificial [...] Read more.
In the centralized scheduling mode of automated container terminals, Automated Guided Vehicles (AGVs) often experience decision-making delays caused by system information-processing bottlenecks, which significantly affect path-planning efficiency and are particularly evident in sudden-traffic scenarios. To address this issue, this paper incorporates the artificial potential field (APF) into the cost function of Model Predictive Control (MPC) and develops a dual-trigger mechanism for lane-change and lane-return MPC obstacle-avoidance framework (Event-Triggered Model Predictive Control, EMPC). This framework integrates an obstacle-triggered local optimization mechanism and a lane-change trigger, enabling AGV to perform autonomous and dynamically responsive local obstacle avoidance, thereby improving local path-planning efficiency. Furthermore, a Proximal Policy Optimization (PPO)-based strategy is introduced to adaptively adjust the obstacle-weighting parameters within the EMPC cost function, enhancing both obstacle-avoidance and lane-keeping performance. Under multi-lane overtaking conditions, a lane-change trigger—implemented as a dual-phase “lane-change–return” mechanism—is employed, in which lateral optimization is activated only during critical phases, reducing online computational load by at least 28% compared with conventional MPC strategies. The experimental results demonstrate that the proposed PPO–EMPC architecture exhibits high robustness, real-time performance, and scalability under dynamic and partially observable environments, providing a practical and generalizable decision-making paradigm for cooperative AGV operations in automated container terminals. Full article
(This article belongs to the Special Issue Research on Intelligent Vehicle Path Planning Algorithm)
Show Figures

Figure 1

25 pages, 2615 KB  
Article
Research on Low-Cost Non-Contact Vision-Based Wheel Arch Detection for End-of-Line Stage
by Zhigang Ding, Mingsheng Lin, Yi Ding, Yun Li and Qincheng Zhang
Sensors 2026, 26(1), 234; https://doi.org/10.3390/s26010234 - 30 Dec 2025
Viewed by 236
Abstract
To address the collaborative requirements of high precision, high efficiency, low cost, and non-contact measurement for wheel arch detection in the calibration of Advanced Driver Assistance Systems (ADAS) during vehicle production, this study proposes a monocular machine vision-based detection methodology. The hardware system [...] Read more.
To address the collaborative requirements of high precision, high efficiency, low cost, and non-contact measurement for wheel arch detection in the calibration of Advanced Driver Assistance Systems (ADAS) during vehicle production, this study proposes a monocular machine vision-based detection methodology. The hardware system incorporates an industrial camera, priced at approximately 1000 CNY, and a custom light source. The YOLOv5s model is employed for rapid localization of the wheel hub, while the MSER algorithm, in conjunction with Canny edge detection, is utilized for robust feature extraction of the wheel arch. A geometric computation model, referenced to the wheel hub, is subsequently established to quantify the wheel arch height. Experimental results indicate that, for seven vehicle models, the method achieves an average absolute error (MAE) of ≤0.25 mm, with a maximum error of ≤0.545 mm and a single measurement time of ≤3.2 s, making it suitable for a 60 JPH production line. Additionally, under lighting conditions ranging from 500 to 1500 lux and dust concentrations of ≤10 mg/m3, the MAE fluctuation remains within ≤0.08 mm, ensuring consistent measurement accuracy. This methodology offers a cost-effective, reliable, and fully automated solution for wheel arch detection in ADAS calibration, demonstrating strong adaptability to production lines and considerable potential for industrial applications. Full article
Show Figures

Figure 1

Back to TopTop