Air Changes for Healthy Indoor Ambiences under Pandemic Conditions and Its Energetic Implications: A Galician Case Study
Abstract
Featured Application
Abstract
1. Introduction
2. Materials
2.1. Climatic Data
2.2. School Buildings
2.3. Internal Heat Gains
2.4. HVAC System Set Point Temperature
3. Methods
3.1. ISO 13790 Standard
3.2. Calculation Process: Number of Iterations
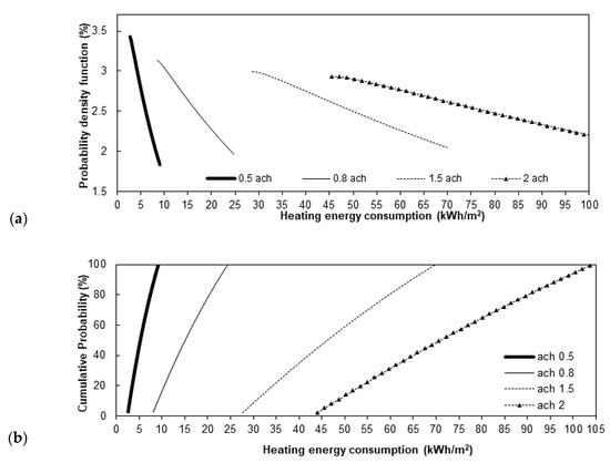
4. Results and Discussion
5. Conclusions
Author Contributions
Funding
Acknowledgments
Conflicts of Interest
References
- Orosa, J.A.; Oliveira, A.C. An indoor air perception method to detect fungi growth in flats. Expert Syst. Appl. 2012, 39, 3740–3746. [Google Scholar] [CrossRef]
- ASHRAE Indications Reoupening Schools and Universities. Available online: https://www.ashrae.org/technical-resources/reopening-of-schools-and-universities (accessed on 22 September 2020).
- REHVA CO2 Sensor. Available online: https://www.rehva.eu/fileadmin/user_upload/REHVA_COVID-19_guidance_document_V3_03082020.pdf (accessed on 22 September 2020).
- How Covid Travels in Classrooms. Available online: https://cse.umn.edu/college/news/new-study-explores-how-coronavirus-travels-indoors (accessed on 22 September 2020).
- WHO. World Health Organization. Schools. Available online: https://www.who.int/publications/m/item/key-messages-and-actions-for-covid-19-prevention-and-control-in-schools (accessed on 22 September 2020).
- Nematchoua, M.K.; Mempouo, B.; Tchinda, R.; Costa, A.M.; Orosa, J.A.; Raminosoa, C.R.R.; Mamiharijaona, R. Resource potential and energy efficiency in the buildings of Cameroon: A review. Renew. Sustain. Energy Rev. 2015, 50, 835–846. [Google Scholar]
- Nematchoua, M.K.; Tchinda, R.; Orosa, J.A. Thermal comfort and energy consumption in modern versus traditional buildings in Cameroon: A questionnaire-based statistical study. Appl. Energy 2014, 114, 687–699. [Google Scholar] [CrossRef]
- Peng, L.L.H.; Jim, C.Y. Green-Roof Effects on Neighborhood Microclimate and Human Thermal Sensation. Energies 2013, 6, 598–618. [Google Scholar] [CrossRef]
- Jim, C.Y. Thermal performance of climber greenwalls: Effects of solar irradiance and orientation. Appl. Energy 2015, 154, 631–643. [Google Scholar] [CrossRef]
- Setiawan, A.F.; Tzu-Ling, H.; Chun-Ta, T.; Chi-Ming, L. The Effects of Envelope Design Alternatives on the Energy Consumption of Residential Houses in Indonesia. Energies 2015, 8, 2788–2802. [Google Scholar] [CrossRef]
- Parra, J.; Guardo, A.; Egusquiza, E.; Alavedra, P. Thermal Performance of Ventilated Double Skin Façades with Venetian Blinds. Energies 2015, 8, 4882–4898. [Google Scholar] [CrossRef]
- ASHRAE Handbook: HVAC Fundamentals; Spanish Edition, Editorial Index; ASHRAE: Atlanta, GA, USA, 2013; pp. 1–197.
- ISO 13790. Thermal Performance of Buildings-Calculation of Energy Use for Space Heating and Cooling; ISO/DIS 13790:2008; International Organization for Standardization: Geneva, Switzerland, 2008. [Google Scholar]
- International Energy Agency (IEA). Welcome to the International Energy Agency’s Energy in Buildings and Communities Programme. Available online: https://www.iea-ebc.org (accessed on 8 October 2020).
- Haarhoff, J.; Mathews, E.H. A Monte Carlo method for thermal building simulation. Energy Build. 2006, 38, 1395–1399. [Google Scholar] [CrossRef]
- Keirstead, J.; Shah, N. Calculating minimum energy urban layouts with mathematical programming and Monte Carlo analysis techniques. Comput. Environ. Urban Syst. 2011, 35, 368–377. [Google Scholar] [CrossRef]
- Mavrotas, G.; Florios, K.; Vlachou, D. Energy planning of a hospital using Mathematical Programming and Monte Carlo simulation for dealing with uncertainty in the economic parameters. Energy Convers. Manag. 2010, 51, 722–731. [Google Scholar] [CrossRef]
- Gang, W.; Wang, S.; Shan, K.; Gao, D. Impacts of cooling load calculation uncertainties on the design optimization of building cooling systems. Energy Build. 2015, 94, 1–9. [Google Scholar] [CrossRef]
- Ren, X.; Yan, D.; Wang, C. Air-conditioning usage conditional probability model for residential buildings. Build. Environ. 2014, 81, 172–182. [Google Scholar] [CrossRef]
- Lu, Y.; Huang, Z.; Zhang, T. Method and case study of quantitative uncertainty analysis in building energy consumption inventories. Energy Build. 2013, 57, 193–198. [Google Scholar] [CrossRef]
- Srinivasa Rao, A.S.R. On joint Weibull probability density functions. Appl. Math. Lett. 2005, 18, 1224–1227. [Google Scholar] [CrossRef][Green Version]
- Prabhakar Murthy, D.N.; Bulmer, M.; Eccleston, J.A. Weibull model selection for reliability modelling. Reliab. Eng. Syst. Safe 2004, 86, 257–267. [Google Scholar] [CrossRef]
- MeteoGalicia. Anuario Climatolóxico de Galicia. Consellería de Medio Ambiente. Xunta de Galicia. Available online: https://www.meteogalicia.gal/observacion/informesclima/informesIndex.action?request_locale=es (accessed on 13 October 2020).
- Orosa, J.A.; Oliveira, A.C. Implementation of a method in EN ISO 13790 for calculating the utilisation factor taking into account different permeability levels of internal coverings. Energy Build. 2010, 42, 598–604. [Google Scholar] [CrossRef]
- Orosa, J.A.; García-Bustelo, E.J. Permeable coverings as a sustainable solution for indoor air thermal comfort and energy saving. Energy Edu. Sci. Technol. A 2012, 29, 583–596. [Google Scholar]
- Masdias-Bonome, A.E.; Orosa, J.A.; Vergara, D. A New Methodology for Decision-Making in Buildings Energy Optimization. Appl. Sci. 2020, 10, 4558. [Google Scholar] [CrossRef]
- Šadauskienė, J.; Paukštys, V.; Šeduikytė, L.; Banionis, K. Impact of Air Tightness on the Evaluation of Building Energy Performance in Lithuania. Energies 2014, 7, 4972–4987. [Google Scholar] [CrossRef]
- Fei, F.; Zhou, S.; Mai, J.D.; Li, W.J. Development of an Indoor Airflow Energy Harvesting System for Building Environment Monitoring. Energies 2014, 7, 2985–3003. [Google Scholar] [CrossRef]
- Nematchoua, M.K.; Tchinda, R.; Orosa, J.A.; Andreasi, W.A. Effect of wall construction materials over indoor air quality in humid and hot climate. J. Build. Eng. 2015, 3, 16–23. [Google Scholar] [CrossRef]
- Karlsson, F.; Fahlén, P. Impact of design and thermal inertia on the energy saving potential of capacity controlled heat pump heating systems. Int. J. Refrig. 2008, 31, 1094–1103. [Google Scholar] [CrossRef]
- Mazarrón, F.R.; Cid-Falceto, J.; Cañas, I. Ground Thermal Inertia for Energy Efficient Building Design: A Case Study on Food Industry. Energies 2012, 5, 227–242. [Google Scholar] [CrossRef]
- Orosa, J.A. Thermal inertia and ISO 13790—Have its effects on future energy consumption been fully considered? Energy Edu. Sci. Technol. 2012, 29, 339–352. [Google Scholar]
- Orosa, J.A.; Oliveira, A.C. A field study on building inertia and its effects on indoor thermal environment. Renew. Energy 2012, 37, 89–96. [Google Scholar] [CrossRef]
- MeteoGalicia. Xunta de Galicia. Consellería de Medio ambiente Teorritorio e Vivenda. Available online: https://www.meteogalicia.gal/datosred/infoweb/clima/informes/estacions/anuais/2019_es.pdf (accessed on 22 September 2020).
Publisher’s Note: MDPI stays neutral with regard to jurisdictional claims in published maps and institutional affiliations. |








| Average Heating Energy Consumption (kWh/m2) | ACH (h−1) | Outdoor Temp. (°C) | a0 | b0 | c0 | d0 | e0 | r2 |
|---|---|---|---|---|---|---|---|---|
| 5.44 | 0.5 | Average | 3.363271 | 2.661263 | 9.437849 | 1.011474 | 0 | 0.92 |
| 5.10 | 0.5 | +0.5 °C | 1.854899 | 2.080979 | 2.565297 | 2.295291 | 1.007102 | 0.97 |
| 4.80 | 0.5 | +1 °C | 1.854899 | 2.080979 | 2.565297 | 2.295291 | 1.007102 | 0.97 |
| 15.72 | 0.8 | Average | 3.090611 | 8.386542 | 32.028872 | 1.010309 | 0 | 0.93 |
| 15.68 | 0.8 | +0.5 °C | 3.304539 | 8.415014 | 29.33913 | 1.012122 | 0 | 0.90 |
| 15.65 | 0.8 | +1 °C | 3.124542 | 8.369421 | 30.40935 | 1.010302 | 0 | 0.90 |
| 46.97 | 1.0 | Average | 3.212779 | 13.38395 | 42.19215 | 1.010308 | 0 | 0.91 |
| 24.20 | 1.0 | +0.5 °C | 3.077777 | 13.48641 | 45.60571 | 1.011666 | 0 | 0.92 |
| 22.19 | 1.0 | +1 °C | 3.050013 | 13.48202 | 45.16667 | 1.011673 | 0 | 0.92 |
| 72.96 | 2.0 | Average | 2.882833 | 46.047900 | 162.5114 | 1.012475 | 0 | 0.85 |
| 70.25 | 2.0 | +0.5 °C | 1.512973 | 1.519573 | 48.13923 | 39.73227 | 1.093759 | 0.91 |
| 68.92 | 2.0 | +1 °C | 1.862788 | 1.223835 | 47.25478 | 30.64512 | 1.095933 | 0.94 |
| Average Cooling Energy Consumption (kWh/m2) | ACH (h−1) | Outdoor Temp. (°C) | a1 | b1 | c1 | d1 | e1 | r2 |
|---|---|---|---|---|---|---|---|---|
| 15.97 | 0.5 | Average | 2.794215 | 2.479324 | 8.207154 | 5.324309 | 1.06168 | 0.91 |
| 16.34 | 0.5 | +0.5 °C | 3.618063 | 7.566651 | 29.62327 | 1.013869 | 0 | 0.83 |
| 16.94 | 0.5 | +1 °C | 3.273713 | 7.46334 | 24.62232 | 1.0127 | 0 | 0.84 |
| 5.30 | 0.8 | Average | 3.668553 | 9.12329 | −2.019566 | 3.309106 | 1.0585379 | 0.95 |
| 5.45 | 0.8 | +0.5 °C | 3.273713 | 7.46334 | 24.62232 | 1.0127 | 0 | 0.84 |
| 5.52 | 0.8 | +1 °C | 1.973009 | 4.136657 | 0.203551 | 1.313985 | 1.085427 | 0.81 |
| 1.18 | 1.0 | Average | 2.734177 | 3321.353 | −3.61981 | 3.85073 | 3.236254 | 0.99 |
| 3.16 | 1.0 | +0.5 °C | 3.077777 | 13.48641 | 45.60571 | 1.011666 | 0 | 0.92 |
| 4.38 | 1.0 | +1 °C | 3.050013 | 13.48202 | 45.16667 | 1.011673 | 0 | 0.92 |
| 0.36 | 2.0 | Average | 1.449848 | 347.4151 | −0.27093 | 0.463775 | 3.049235 | 0.99 |
| 1.15 | 2.0 | +0.5 °C | 1.512973 | 1.519573 | 48.13923 | 39.73227 | 1.093759 | 0.91 |
| 1.19 | 2.0 | +1 °C | 0.447502 | 149105.2 | −0.3577 | 1.293282 | 10.01984 | 0.99 |
© 2020 by the authors. Licensee MDPI, Basel, Switzerland. This article is an open access article distributed under the terms and conditions of the Creative Commons Attribution (CC BY) license (http://creativecommons.org/licenses/by/4.0/).
Share and Cite
Orosa, J.A.; Kameni Nematchoua, M.; Reiter, S. Air Changes for Healthy Indoor Ambiences under Pandemic Conditions and Its Energetic Implications: A Galician Case Study. Appl. Sci. 2020, 10, 7169. https://doi.org/10.3390/app10207169
Orosa JA, Kameni Nematchoua M, Reiter S. Air Changes for Healthy Indoor Ambiences under Pandemic Conditions and Its Energetic Implications: A Galician Case Study. Applied Sciences. 2020; 10(20):7169. https://doi.org/10.3390/app10207169
Chicago/Turabian StyleOrosa, José A., Modeste Kameni Nematchoua, and Sigrid Reiter. 2020. "Air Changes for Healthy Indoor Ambiences under Pandemic Conditions and Its Energetic Implications: A Galician Case Study" Applied Sciences 10, no. 20: 7169. https://doi.org/10.3390/app10207169
APA StyleOrosa, J. A., Kameni Nematchoua, M., & Reiter, S. (2020). Air Changes for Healthy Indoor Ambiences under Pandemic Conditions and Its Energetic Implications: A Galician Case Study. Applied Sciences, 10(20), 7169. https://doi.org/10.3390/app10207169

