Research and Regulatory Advancements on Remediation and Degradation of Fluorinated Polymer Compounds
Abstract
1. Introduction
1.1. Discovery
1.2. Classification
1.3. Thermal Degradation and Remediation for Solid Waste
1.4. Environmental
2. Solid Waste Degradation of Fluorinated Compounds
2.1. Definition of Thermal Degradation
2.2. Incineration of Fluoropolymers
2.3. Biodegradation of Short-Chain PFAS
2.4. Alternative Methods
3. Aqueous Film Forming Foam (AFFF)
3.1. Early Research
3.2. Current AFFF Detection Efforts
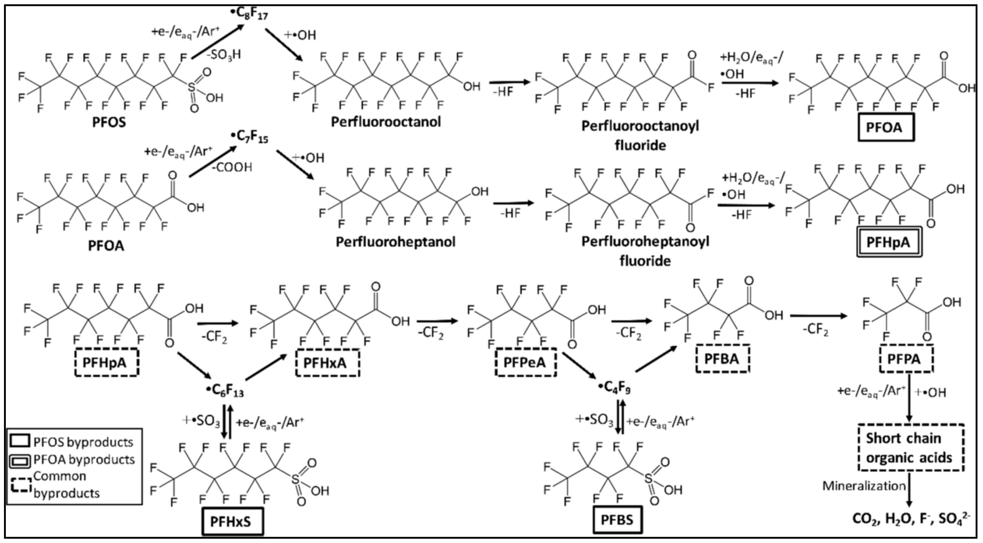
4. Electrochemical Aqueous Remediation of Fluorinated Compounds
5. Governmental Environmental Regulatory Efforts
5.1. The Environmental Protection Agency (EPA)
5.2. International Regulatory Efforts
5.3. European Union Regulatory Efforts
5.4. Environmental Regulatory Efforts in Asia
6. Conclusions
Author Contributions
Funding
Acknowledgments
Conflicts of Interest
References
- Major, D.W. ER18-1593 Project Overview. Available online: https://www.serdp-estcp.org/Program-Areas/Environmental-Restoration/ER18-1593 (accessed on 3 June 2020).
- Cui, J.; Guo, J.; Zhai, Z.; Zhang, J. The contribution of fluoropolymer thermolysis to trifluoroacetic acid (TFA) in environmental media. Chemosphere 2019, 222, 637–644. [Google Scholar] [CrossRef]
- D’Agostino, L.A.; Mabury, S.A. Identification of Novel Fluorinated Surfactants in Aqueous Film Forming Foams and Commercial Surfactant Concentrates. Environ. Sci. Technol. 2014, 48, 121–129. [Google Scholar] [CrossRef] [PubMed]
- Mathieu, C.; McCall, M. Survey of Per- and Poly-fluoroalkyl Substances (PFASs) in Rivers and Lakes. 2016. Available online: https://fortress.wa.gov/ecy/publications/SummaryPages/1703021.html (accessed on 3 June 2020).
- Haukås, M.; Berger, U.; Hop, H.; Gulliksen, B.; Gabrielsen, G.W. Bioaccumulation of per- and polyfluorinated alkyl substances (PFAS) in selected species from the Barents Sea food web. Environ. Pollut. 2007, 148, 360–371. [Google Scholar] [CrossRef] [PubMed]
- Henry, B.J.; Carlin, J.P.; Hammerschmidt, J.A.; Buck, R.C.; Buxton, L.W.; Fiedler, H.; Seed, J.; Hernandez, O. A critical review of the application of polymer of low concern and regulatory criteria to fluoropolymers. Integr. Environ. Assess. Manag. 2018, 14, 316–334. [Google Scholar] [CrossRef] [PubMed]
- Gardiner, J. Fluoropolymers: Origin, Production, and Industrial and Commercial Applications. Aust. J. Chem. 2015, 68, 13. [Google Scholar] [CrossRef]
- National Industrial Chemicals Notification and Assessment Scheme, L. 7. 6:2 Fluorotelomer Sulfonamide Surfactants: Environment Tier II Assessment. Available online: https://www.nicnas.gov.au/chemical-information/imap-assessments/imap-assessments/tier-ii-environment-assessments/6_2-fluorotelomer-sulfonamide-surfactants (accessed on 21 June 2020).
- Van Hees, P. Analysis of the unknown pool of PFAS: Total Oxidizable Precursors (TOP), PFOS Precursor (PreFOS) and Telomer Degradation. Eurofins 2017. [Google Scholar]
- Trouborst, L. Aqueous Photolys of 6:2 Fluorotelomer Sulfonamide Alkylbetaine. Master’s Thesis, University of Toronto, Toronto, ON, Canada.
- Hiltz, J.A. Characterization of fluoroelastomers by various analytical techniques including pyrolysis gas chromatography/mass spectrometry. J. Anal. Appl. Pyrolysis 2014, 109, 283–295. [Google Scholar] [CrossRef]
- Shaw, D.M.J.; Munoz, G.; Bottos, E.M.; Duy, S.V.; Sauvé, S.; Liu, J.; Van Hamme, J.D. Degradation and defluorination of 6:2 fluorotelomer sulfonamidoalkyl betaine and 6:2 fluorotelomer sulfonate by Gordonia sp. strain NB4-1Y under sulfur-limiting conditions. Sci. Total Environ. 2019, 647, 690–698. [Google Scholar] [CrossRef]
- Du, Z.; Deng, S.; Liu, D.; Yao, X.; Wang, Y.; Lu, X.; Wang, B.; Huang, J.; Wang, Y.; Xing, B.; et al. Efficient adsorption of PFOS and F53B from chrome plating wastewater and their subsequent degradation in the regeneration process. Chem. Eng. J. 2016, 290, 405–413. [Google Scholar] [CrossRef]
- Steenland, K.; Fletcher, T.; Savitz, D.A. Epidemiologic Evidence on the Health Effects of Perfluorooctanoic Acid (PFOA). Environ. Health Perspect. 2010, 118, 1100–1108. [Google Scholar] [CrossRef]
- Perfluorooctane Sulphonate (PFOS). Available online: https://www.kemi.se/en/prio-start/chemicals-in-practical-use/substance-groups/perfluorooctane-sulphonate-pfos (accessed on 21 June 2020).
- Dixit, F.; Barbeau, B.; Mostafavi, S.G.; Mohseni, M. PFOA and PFOS removal by ion exchange for water reuse and drinking applications: Role of organic matter characteristics. Environ. Sci. Water Res. Technol. 2019, 5, 1782–1795. [Google Scholar] [CrossRef]
- Screening of PFAS and Dechlorane Compounds in Selected Arctic Top Predators; Norwegian Institute for Air Research: Tromso, Norway, 2017.
- Li, F.; Duan, J.; Tian, S.; Ji, H.; Zhu, Y.; Wei, Z.; Zhao, D. Short-chain per- and polyfluoroalkyl substances in aquatic systems: Occurrence, impacts and treatment. Chem. Eng. J. 2020, 380, 122506. [Google Scholar] [CrossRef]
- Viton® A, B, & F Material|Viton O-Rings|Seal & Design, Inc. Available online: https://www.sealanddesign.com/page/viton-a-b-f-gasket-material (accessed on 21 June 2020).
- Teng, H. Overview of the Development of the Fluoropolymer Industry. Appl. Sci. 2012, 2, 496–512. [Google Scholar] [CrossRef]
- Emerging Chemical Risks in Europe—PFAS. Available online: https://www.eea.europa.eu/themes/human/chemicals/emerging-chemical-risks-in-europe (accessed on 17 June 2020).
- Kallenborn, R. Perfluorinated Alkylated Substances (PFAS) in the Nordic Environment; Nordic Council of Ministers: Copenhagen, Denmark, 2004; ISBN 978-92-893-1051-2. [Google Scholar]
- US EPA. EPA’s PFAS Action Plan. Available online: https://www.epa.gov/pfas/epas-pfas-action-plan (accessed on 16 June 2020).
- Tro, N.J. Chemistry: Structure and Properties, 2nd ed.; Pearson: New York, NY, USA, 2018; ISBN 978013493936. [Google Scholar]
- Lemal, D.M. Perspective on Fluorocarbon Chemistry. J. Org. Chem. 2004, 69, 1–11. [Google Scholar] [CrossRef] [PubMed]
- O’Hagan, D. Understanding organofluorine chemistry. An introduction to the C–F bond. Chem. Soc. Rev. 2008, 37, 308–319. [Google Scholar] [CrossRef]
- Dalvi, V.H.; Rossky, P.J. Molecular origins of fluorocarbon hydrophobicity. Proc. Natl. Acad. Sci. USA 2010, 107, 13603–13607. [Google Scholar] [CrossRef]
- Plunkett, R.J. Tetrafluoroethylene Polymers. U.S. Patent 2230654 A, 1 July 1939. [Google Scholar]
- Huber, S.; Moe, M.; Schmidbauer, N.; Hansen, G.; Herzke, D. Emissions from Incineration of Fluoropolymer Materials—A Literature Survey; Norwegian Institute for Air Research: Kjeller, Norway, 2009. [Google Scholar]
- Buck, R.C.; Franklin, J.; Berger, U.; Conder, J.M.; Cousins, I.T.; de Voogt, P.; Jensen, A.A.; Kannan, K.; Mabury, S.A.; van Leeuwen, S.P. Perfluoroalkyl and Polyfluoroalkyl Substances in the Environment: Terminology, Classification, and Origins. Integr. Environ. Assess. Manag. 2011, 7, 513–541. [Google Scholar] [CrossRef] [PubMed]
- Organization for Economic Co-Operation and Development. About PFASs—OECD Portal on Per and Poly Fluorinated Chemicals. Available online: http://www.oecd.org/chemicalsafety/portal-perfluorinated-chemicals/aboutpfass/ (accessed on 15 June 2020).
- Stockenhuber, S.; Weber, N.; Dixon, L.; Lucas, J.; Grimison, C.; Bennett, M.; Stockenhuber, M.; Mackie, J.; Kennedy, E. Thermal Degradation of Perfluorooctanoic Acid (PFOA). Available online: https://cest2019.gnest.org/sites/default/files/presentation_file_list/cest2019_00155_oral_paper.pdf (accessed on 3 June 2020).
- Yamada, T.; Taylor, P.H.; Buck, R.C.; Kaiser, M.A.; Giraud, R.J. Thermal degradation of fluorotelomer treated articles and related materials. Chemosphere 2005, 61, 974–984. [Google Scholar] [CrossRef] [PubMed]
- Gustavsson, J.P.R.; Segal, C.; Dolbier, W.R.; Ameduri, B.; Kostov, G. Combustion and Thermal Decomposition of Fluorinated Polymers. Combust. Sci. Technol. 2006, 178, 2097–2114. [Google Scholar] [CrossRef]
- Hshieh, F.-Y.; Beeson, H. A Brief Study on Toxic Combustion Products of the Polymers Used in High-Pressure Oxygen Systems; NASA Johnson Space Center: Houston, TX, USA, 2005.
- García, A.N.; Viciano, N.; Font, R. Products obtained in the fuel-rich combustion of PTFE at high temperature. J. Anal. Appl. Pyrolysis 2007, 80, 85–91. [Google Scholar] [CrossRef]
- Flores, E.M.M.; Muller, E.I.; Duarte, F.A.; Grinberg, P.; Sturgeon, R.E. Determination of Trace Elements in Fluoropolymers after Microwave-Induced Combustion. Anal. Chem. 2013, 85, 374–380. [Google Scholar] [CrossRef] [PubMed]
- Valluri, S.K.; Schoenitz, M.; Dreizin, E. Fluorine-containing oxidizers for metal fuels in energetic formulations. Def. Technol. 2019, 15, 1–22. [Google Scholar] [CrossRef]
- Taylor, P.H.; Yamada, T.; Striebich, R.C.; Graham, J.L.; Giraud, R.J. Investigation of waste incineration of fluorotelomer-based polymers as a potential source of PFOA in the environment. Chemosphere 2014, 110, 17–22. [Google Scholar] [CrossRef] [PubMed]
- Lemieux, P.; Strynar, M.; Tabor, D.; Wood, J.; Cooke, M.; Rayfield, B.; Kariher, P. Emissions of fluorinated compounds from the combustion of carpeting. In Proceedings of the 2007 International Conference on Incineration and Thermal Treatment Technologies, Phoenix, AZ, USA, 14–18 May 2007. [Google Scholar]
- Singh, A.; Sharma, T.C.; Kumar, M.; Narang, J.K.; Kishore, P.; Srivastava, A. Thermal decomposition and kinetics of plastic bonded explosives based on mixture of HMX and TATB with polymer matrices. Def. Technol. 2017, 13, 22–32. [Google Scholar] [CrossRef]
- Stevens, L.L.; Dattelbaum, D.M.; Ahart, M.; Hemley, R.J. High-pressure elastic properties of a fluorinated copolymer: Poly(chlorotrifluoroethylene-co-vinylidene fluoride) (Kel-F 800). J. Appl. Phys. 2012, 112, 023523. [Google Scholar] [CrossRef]
- Bourne, N.K.; Gray, G.T. Dynamic response of binders; Teflon, estaneTM and Kel-F-800TM. J. Appl. Phys. 2005, 98, 123503. [Google Scholar] [CrossRef]
- Biomass Pyrolysis Research: USDA ARS. Available online: https://www.ars.usda.gov/northeast-area/wyndmoor-pa/eastern-regional-research-center/docs/biomass-pyrolysis-research-1/what-is-pyrolysis/ (accessed on 5 July 2020).
- Aleksandrov, K.; Gehrmann, H.-J.; Hauser, M.; Mätzing, H.; Pigeon, D.; Stapf, D.; Wexler, M. Waste incineration of Polytetrafluoroethylene (PTFE) to evaluate potential formation of per- and Poly-Fluorinated Alkyl Substances (PFAS) in flue gas. Chemosphere 2019, 226, 898–906. [Google Scholar] [CrossRef]
- Kucharzyk, K.H.; Darlington, R.; Benotti, M.; Deeb, R.; Hawley, E. Novel treatment technologies for PFAS compounds: A critical review. J. Environ. Manag. 2017, 204, 757–764. [Google Scholar] [CrossRef]
- Wang, F.; Lu, X.; Li, X.; Shih, K. Effectiveness and Mechanisms of Defluorination of Perfluorinated Alkyl Substances by Calcium Compounds during Waste Thermal Treatment. Environ. Sci. Technol. 2015, 49, 5672–5680. [Google Scholar] [CrossRef]
- Singh, R.K.; Fernando, S.; Baygi, S.F.; Multari, N.; Thagard, S.M.; Holsen, T.M. Breakdown Products from Perfluorinated Alkyl Substances (PFAS) Degradation in a Plasma-Based Water Treatment Process. Environ. Sci. Technol. 2019, 53, 2731–2738. [Google Scholar] [CrossRef]
- Citizens for Safe Water around Badger. Citizens Petition EPA for Ban on Burning PFAS Munitions. Available online: https://cswab.org/citizens-petition-epa-for-ban-on-burning-pfas-munitions/ (accessed on 16 June 2020).
- Public Employees for Environmental Responsibility (PEER). Groups Petition EPA to Regulate PFAS Waste. 2020. Available online: www.PEER.org (accessed on 16 June 2020).
- Liu, J.; Mejia Avendaño, S. Microbial degradation of polyfluoroalkyl chemicals in the environment: A review. Environ. Int. 2013, 61, 98–114. [Google Scholar] [CrossRef] [PubMed]
- Pelch, K.E.; Reade, A.; Wolffe, T.A.M.; Kwiatkowski, C.F. PFAS health effects database: Protocol for a systematic evidence map. Environ. Int. 2019, 130, 104851. [Google Scholar] [CrossRef] [PubMed]
- US EPA. Method 533: Determination of Per- and Polyfluoroalkyl Substances in Drinking Water by Isotope Dilution Anion Exchange Solid Phase Extraction and Liquid Chromatography/Tandem Mass Spectrometry. Available online: https://www.epa.gov/dwanalyticalmethods/method-533-determination-and-polyfluoroalkyl-substances-drinking-water-isotope (accessed on 14 June 2020).
- US EPA. Method 537.1: Determination of Selected Per- and Polyfluorinated Alkyl Substances in Drinking Water by Solid Phase Extraction and Liquid Chromatography/Tandem Mass Spectrometry (LC/MS/MS). Available online: https://cfpub.epa.gov/si/si_public_record_report.cfm?Lab=NERL&dirEntryId=343042 (accessed on 14 June 2020).
- DoD/DoE. Quality Systems Manual—DENIX. Available online: https://www.denix.osd.mil/edqw/documents/ (accessed on 14 June 2020).
- DoD. Table B15 Data Validation Guidelines—DENIX. Available online: https://www.denix.osd.mil/edqw/home/ (accessed on 14 June 2020).
- Lopez-Espinosa, M.-J.; Mondal, D.; Armstrong, B.; Bloom, M.S.; Fletcher, T. Thyroid Function and Perfluoroalkyl Acids in Children Living Near a Chemical Plant. Environ. Health Perspect. 2012, 120, 1036–1041. [Google Scholar] [CrossRef] [PubMed]
- Eriksen, K.T.; Sørensen, M.; McLaughlin, J.K.; Lipworth, L.; Tjønneland, A.; Overvad, K.; Raaschou-Nielsen, O. Perfluorooctanoate and Perfluorooctanesulfonate Plasma Levels and Risk of Cancer in the General Danish Population. JNCI J. Natl. Cancer Inst. 2009, 101, 605–609. [Google Scholar] [CrossRef]
- Steenland, K.; Zhao, L.; Winquist, A.; Parks, C. Ulcerative Colitis and Perfluorooctanoic Acid (PFOA) in a Highly Exposed Population of Community Residents and Workers in the Mid-Ohio Valley. Environ. Health Perspect. 2013, 121, 900–905. [Google Scholar] [CrossRef]
- Backe, W.J.; Day, T.C.; Field, J.A. Zwitterionic, cationic, and anionic fluorinated chemicals in aqueous film forming foam formulations and groundwater from U.S. military bases by nonaqueous large-volume injection HPLC-MS/MS. Environ. Sci. Technol. 2013, 47, 5226–5234. [Google Scholar] [CrossRef]
- Moody, C.A.; Field, J.A. Perfluorinated Surfactants and the Environmental Implications of Their Use in Fire-Fighting Foams. Environ. Sci. Technol. 2000, 34, 3864–3870. [Google Scholar] [CrossRef]
- Schultz, M.M.; Barofsky, D.F.; Field, J.A. Quantitative Determination of Fluorotelomer Sulfonates in Groundwater by LC MS/MS. Environ. Sci. Technol. 2004, 38, 1828–1835. [Google Scholar] [CrossRef]
- Place, B.J.; Field, J.A. Identification of novel fluorochemicals in aqueous film-forming foams used by the US military. Environ. Sci. Technol. 2012, 46, 7120–7127. [Google Scholar] [CrossRef]
- Houtz, E.; Higgins, C.; Field, J.; Sedlak, D. Persistence of Perfluoroalkyl Acid Precursors in AFFF-Impacted Groundwater and Soil. Environ. Sci. Technol. 2013, 47. [Google Scholar] [CrossRef]
- Darwin, R.L. Estimated Quantities of Aqueous Film Forming Foam (AFFF) in the United States, 2004 InforMEA. Available online: https://www.informea.org/en/estimated-quantities-aqueous-film-forming-foam-afff-united-states-2004 (accessed on 18 June 2020).
- Karrman, A.; Elgh-Dalgren, K.; Lafossas, C.; Moskeland, T. Environmental levels and distribution of structural isomers of perfluoroalkyl acids after Aqueous Fire-Fighting Foam (AFFF) contamination. Environ. Chem. 2011, 8, 372–380. [Google Scholar] [CrossRef]
- Houtz, E.F.; Sutton, R.; Park, J.-S.; Sedlak, M. Poly- and perfluoroalkyl substances in wastewater: Significance of unknown precursors, manufacturing shifts, and likely AFFF impacts. Water Res. 2016, 95, 142–149. [Google Scholar] [CrossRef] [PubMed]
- Bräunig, J.; Baduel, C.; Heffernan, A.; Rotander, A.; Donaldson, E.; Mueller, J.F. Fate and redistribution of perfluoroalkyl acids through AFFF-impacted groundwater. Sci. Total Environ. 2017, 596–597, 360–368. [Google Scholar] [CrossRef] [PubMed]
- Rotander, A.; Toms, L.-M.L.; Aylward, L.; Kay, M.; Mueller, J.F. Elevated levels of PFOS and PFHxS in firefighters exposed to aqueous film forming foam (AFFF). Environ. Int. 2015, 82, 28–34. [Google Scholar] [CrossRef]
- Høisæter, Å.; Pfaff, A.; Breedveld, G.D. Leaching and transport of PFAS from aqueous film-forming foam (AFFF) in the unsaturated soil at a firefighting training facility under cold climatic conditions. J. Contam. Hydrol. 2019, 222, 112–122. [Google Scholar] [CrossRef]
- Anderson, R.H.; Long, G.C.; Porter, R.C.; Anderson, J.K. Occurrence of select perfluoroalkyl substances at U.S. Air Force aqueous film-forming foam release sites other than fire-training areas: Field-validation of critical fate and transport properties. Chemosphere 2016, 150, 678–685. [Google Scholar] [CrossRef]
- Barzen-Hanson, K.A.; Roberts, S.C.; Choyke, S.; Oetjen, K.; McAlees, A.; Riddell, N.; McCrindle, R.; Ferguson, P.L.; Higgins, C.P.; Field, J.A. Discovery of 40 Classes of Per- and Polyfluoroalkyl Substances in Historical Aqueous Film-Forming Foams (AFFFs) and AFFF-Impacted Groundwater. Environ. Sci. Technol. 2017, 51, 2047–2057. [Google Scholar] [CrossRef]
- Hagenaars, A.; Meyer, I.J.; Herzke, D.; Pardo, B.G.; Martinez, P.; Pabon, M.; De Coen, W.; Knapen, D. The search for alternative aqueous film forming foams (AFFF) with a low environmental impact: Physiological and transcriptomic effects of two Forafac® fluorosurfactants in turbot. Aquat. Toxicol. 2011, 104, 168–176. [Google Scholar] [CrossRef]
- Oakes, K.D.; Benskin, J.P.; Martin, J.W.; Ings, J.S.; Heinrichs, J.Y.; Dixon, D.G.; Servos, M.R. Biomonitoring of perfluorochemicals and toxicity to the downstream fish community of Etobicoke Creek following deployment of aqueous film-forming foam. Aquat. Toxicol. 2010, 98, 120–129. [Google Scholar] [CrossRef]
- US EPA. Validated Test Method 8327: Per-and Polyfluoroalkyl Substances (PFAS) Using External Standard Calibration and Multiple Reaction Monitoring (MRM) Liquid Chromatography/Tandem Mass Spectrometry (LC/MS/MS). Available online: https://www.epa.gov/hw-sw846/validated-test-method-8327-and-polyfluoroalkyl-substances-pfas-using-external-standard (accessed on 17 June 2020).
- US EPA. Significant New Use Rules on Certain Chemical Substances. Available online: https://www.epa.gov/reviewing-new-chemicals-under-toxic-substances-control-act-tsca/significant-new-use-rules-certain (accessed on 9 July 2020).
- US EPA. Safe Drinking Water Act (SDWA). Available online: https://www.epa.gov/sdwa (accessed on 17 June 2020).
- US EPA. Superfund: CERCLA Overview. Available online: https://www.epa.gov/superfund/superfund-cercla-overview (accessed on 17 June 2020).
- US EPA. Resource Conservation and Recovery Act (RCRA) Laws and Regulations. Available online: https://www.epa.gov/rcra (accessed on 17 June 2020).
- US EPA. Summary of the Toxic Substances Control Act. Available online: https://www.epa.gov/laws-regulations/summary-toxic-substances-control-act (accessed on 17 June 2020).
- US EPA. The Frank R. Lautenberg Chemical Safety for the 21st Century Act. Available online: https://www.epa.gov/assessing-and-managing-chemicals-under-tsca/frank-r-lautenberg-chemical-safety-21st-century-act (accessed on 24 June 2020).
- Listing of POPs in the Stockholm Convention. Available online: http://www.pops.int/TheConvention/ThePOPs/AllPOPs/tabid/2509/Default.aspx (accessed on 17 June 2020).
- Legislation—European Chemicals Agency (ECHA). Available online: https://echa.europa.eu/pops-legislation (accessed on 19 June 2020).
- Outcomes of the Effectiveness Evaluation of the Stockholm Convention. 2017. Available online: http://chm.pops.int/Implementation/EffectivenessEvaluation/Outcomes/tabid/5559/Default.aspx (accessed on 3 July 2020).
- Lilienthal, H.; Dieter, H.H.; Hölzer, J.; Wilhelm, M. Recent experimental results of effects of perfluoroalkyl substances in laboratory animals—Relation to current regulations and guidance values. Int. J. Hyg. Environ. Health 2017, 220, 766–775. [Google Scholar] [CrossRef]
- Taylor, P.; Yamada, T. Final Report—Laboratory—Scale Thermal Degradation of Perfluoro-Octanyl Sulfonate and Related Precursors; University of Dayton Research Institute, Environment Science and Engineering Group: Dayton, OH, USA, 2003. [Google Scholar]
- DOD 6055.09-M, Volume 8 DoD Ammunition and Explosives Safety Standards: Glossary|WBDG—Whole Building Design Guide. Available online: https://www.wbdg.org/ffc/dod/manuals/dod-605509-m-volume-8 (accessed on 7 June 2020).
- US EPA. 05/16/2000: EPA and 3M Announce Phase Out of PFOS. Available online: https://archive.epa.gov/epapages/newsroom_archive/newsreleases/33aa946e6cb11f35852568e1005246b4.html (accessed on 29 June 2020).
- Sinclair, E.; Kim, S.K.; Akinleye, H.B.; Kannan, K. Quantitation of Gas-Phase Perfluoroalkyl Surfactants and Fluorotelomer Alcohols Released from Nonstick Cookware and Microwave Popcorn Bags. Environ. Sci. Technol. 2007, 41, 1180–1185. [Google Scholar] [CrossRef] [PubMed]
- Office of Research and Development. Emissions of Fluorinated Compounds from the Combustion of Carpeting. Available online: https://cfpub.epa.gov/si/si_public_record_report.cfm?Lab=NHSRC&dirEntryId=166464 (accessed on 11 June 2020).
- Tsang, W.; Burgess, D.R., Jr.; Babushok, V. On the Incinerability of Highly Fluorinated Organic Compounds. Combust. Sci. Technol. 1998, 139, 385–402. [Google Scholar] [CrossRef]
- Ryan, J. PFAS Incineration: EPA Activities and Research. In Proceedings of the USEPA Region 5 Air Toxics Risk Assessment Meeting, Chicago, IL, USA, 13 November 2019. [Google Scholar]
- Harding-Marjanovic, K.C.; Houtz, E.F.; Yi, S.; Field, J.A.; Sedlak, D.L.; Alvarez-Cohen, L. Aerobic Biotransformation of Fluorotelomer Thioether Amido Sulfonate (Lodyne) in AFFF-Amended Microcosms. Environ. Sci. Technol. 2015, 49, 7666–7674. [Google Scholar] [CrossRef] [PubMed]
- Allred, B.M.; Lang, J.R.; Barlaz, M.A.; Field, J.A. Physical and Biological Release of Poly- and Perfluoroalkyl Substances (PFASs) from Municipal Solid Waste in Anaerobic Model Landfill Reactors. Environ. Sci. Technol. 2015, 49, 7648–7656. [Google Scholar] [CrossRef] [PubMed]
- Hamid, H.; Li, L.Y.; Grace, J.R. Review of the fate and transformation of per- and polyfluoroalkyl substances (PFASs) in landfills. Environ. Pollut. 2018, 235, 74–84. [Google Scholar] [CrossRef] [PubMed]
- US EPA. National Overview: Facts and Figures on Materials, Wastes and Recycling. Available online: https://www.epa.gov/facts-and-figures-about-materials-waste-and-recycling/national-overview-facts-and-figures-materials (accessed on 5 July 2020).
- Zhang, S.; Lu, X.; Wang, N.; Buck, R.C. Biotransformation potential of 6:2 fluorotelomer sulfonate (6:2 FTSA) in aerobic and anaerobic sediment. Chemosphere 2016, 154, 224–230. [Google Scholar] [CrossRef]
- Lewis, M.; Kim, M.H.; Liu, E.J.; Wang, N.; Chu, K.-H. Biotransformation of 6:2 polyfluoroalkyl phosphates (6:2 PAPs): Effects of degradative bacteria and co-substrates. J. Hazard. Mater. 2016, 320, 479–486. [Google Scholar] [CrossRef] [PubMed]
- Stratton, G.R.; Dai, F.; Bellona, C.L.; Holsen, T.M.; Dickenson, E.R.V.; Mededovic Thagard, S. Plasma-Based Water Treatment: Efficient Transformation of Perfluoroalkyl Substances in Prepared Solutions and Contaminated Groundwater. Environ. Sci. Technol. 2017, 51, 1643–1648. [Google Scholar] [CrossRef]
- Hanen, S.W.; Wagner, D.L. Aqueous Film Forming Foam Concentrates for Hydrophilic Combustible Liquids and Method for Modifying Viscosity of Same. US5391721A, 21 February 1995. [Google Scholar]
- Naidu, R.; Arias Espana, V.A.; Liu, Y.; Jit, J. Emerging contaminants in the environment: Risk-based analysis for better management. Chemosphere 2016, 154, 350–357. [Google Scholar] [CrossRef]
- Das, P.; Arias, E.V.A.; Kambala, V.; Mallavarapu, M.; Naidu, R. Remediation of Perfluorooctane Sulfonate in Contaminated Soils by Modified Clay Adsorbent—A Risk-Based Approach. Water. Air. Soil Pollut. 2013, 224, 1714. [Google Scholar] [CrossRef]
- Yamashita, N.; Kannan, K.; Taniyasu, S.; Horii, Y.; Hanari, N.; Okazawa, T.; Petrick, G. Environmental contamination by perfluorinated carboxylates and sulfonates following the use of fire-fighting foam in Tomakomai, Japan. Organohalogen Compd. 2004, 66, 4013–4018. [Google Scholar]
- SGS. PFAS Update XIII: “PFAS: Why the Hysteria”; December 2019. Available online: https://www.sgs-ehsusa.com/2019/12/02/pfas-update-xiii-pfas-why-the-hysteria/ (accessed on 7 July 2020).
- Organization for Economic Co-operation and Development. CO-Operation on Existing Chemicals: Hazard Assessment of Perfluorooctane Sulfonate (PFOS) and Its Salts; JT00135607; Organization for Economic Co-Operation and Development: Paris, France, 2002; pp. 1–362. [Google Scholar]
- New York State Department of Environmental Conservation. Stewart ANG Base and Newburgh Watershed; New York State Department of Environmental Conservation: Albany, NY, USA, 2018.
- Houtz, E.F.; Sedlak, D.L. Oxidative Conversion as a Means of Detecting Precursors to Perfluoroalkyl Acids in Urban Runoff. Environ. Sci. Technol. 2012, 46, 9342–9349. [Google Scholar] [CrossRef]
- Carter, K.E.; Farrell, J. Oxidative Destruction of Perfluorooctane Sulfonate Using Boron-Doped Diamond Film Electrodes. Environ. Sci. Technol. 2008, 42, 6111–6115. [Google Scholar] [CrossRef] [PubMed]
- Trautmann, A.M.; Schell, H.; Schmidt, K.R.; Mangold, K.-M.; Tiehm, A. Electrochemical degradation of perfluoroalkyl and polyfluoroalkyl substances (PFASs) in groundwater. Water Sci. Technol. 2015, 71, 1569–1575. [Google Scholar] [CrossRef] [PubMed]
- Schaefer, C.E.; Andaya, C.; Burant, A.; Condee, C.W.; Urtiaga, A.; Strathmann, T.J.; Higgins, C.P. Electrochemical treatment of perfluorooctanoic acid and perfluorooctane sulfonate: Insights into mechanisms and application to groundwater treatment. Chem. Eng. J. 2017, 317, 424–432. [Google Scholar] [CrossRef]
- Zhuo, Q.; Deng, S.; Yang, B.; Huang, J.; Wang, B.; Zhang, T.; Yu, G. Degradation of perfluorinated compounds on a boron-doped diamond electrode. Electrochim. Acta 2012, 77, 17–22. [Google Scholar] [CrossRef]
- Le, T.X.H.; Haflich, H.; Shah, A.D.; Chaplin, B.P. Energy-Efficient Electrochemical Oxidation of Perfluoroalkyl Substances Using a Ti4O7 Reactive Electrochemical Membrane Anode. Environ. Sci. Technol. Lett. 2019, 6, 504–510. [Google Scholar] [CrossRef]
- Yang, S.; Fernando, S.; Holsen, T.M.; Yang, Y. Inhibition of Perchlorate Formation during the Electrochemical Oxidation of Perfluoroalkyl Acid in Groundwater. Environ. Sci. Technol. Lett. 2019, 6, 775–780. [Google Scholar] [CrossRef]
- Chaplin, B.P. The Prospect of Electrochemical Technologies Advancing Worldwide Water Treatment. Acc. Chem. Res. 2019, 52, 596–604. [Google Scholar] [CrossRef]
- You, S.; Liu, B.; Gao, Y.; Wang, Y.; Tang, C.; Huang, Y.; Ren, N.-Q. Monolithic Porous Magnéli-phase Ti4O7 for Electro-oxidation Treatment of Industrial Wastewater. Electrochim. Acta 2016, 214, 326–335. [Google Scholar] [CrossRef]
- Liang, S.; Lin, H.; Yan, X.; Huang, Q. Electro-oxidation of tetracycline by a Magnéli phase Ti4O7 porous anode: Kinetics, products, and toxicity. Chem. Eng. J. 2018, 332, 628–636. [Google Scholar] [CrossRef]
- Zaky, A.M.; Chaplin, B.P. Mechanism of p-Substituted Phenol Oxidation at a Ti4O7 Reactive Electrochemical Membrane. Available online: https://pubs.acs.org/doi/pdf/10.1021/es5010472 (accessed on 16 July 2020).
- Shi, H.; Wang, Y.; Li, C.; Pierce, R.; Gao, S.; Huang, Q. Degradation of Perfluorooctanesulfonate by Reactive Electrochemical Membrane Composed of Magnéli Phase Titanium Suboxide. Environ. Sci. Technol. 2019, 53, 14528–14537. [Google Scholar] [CrossRef]
- Xiao, F.; Simcik, M.F.; Gulliver, J.S. Mechanisms for removal of perfluorooctane sulfonate (PFOS) and perfluorooctanoate (PFOA) from drinking water by conventional and enhanced coagulation. Water Res. 2013, 47, 49–56. [Google Scholar] [CrossRef]
- Liu, Y.; Hu, X.-M.; Zhao, Y.; Wang, J.; Lu, M.-X.; Peng, F.-H.; Bao, J. Removal of perfluorooctanoic acid in simulated and natural waters with different electrode materials by electrocoagulation. Chemosphere 2018, 201, 303–309. [Google Scholar] [CrossRef] [PubMed]
- US EPA. PFAS Action Plan: Program Update February 2020. Available online: https://www.epa.gov/pfas/pfas-action-plan-program-update-february-2020 (accessed on 17 June 2020).
- Country Information—OECD Portal on Per and Poly Fluorinated Chemicals. Available online: https://www.oecd.org/chemicalsafety/portal-perfluorinated-chemicals/countryinformation/united-states.htm (accessed on 23 July 2020).
- US EPA. Comparing EPA Analytical Methods for PFAS in Drinking Water. Available online: https://www.epa.gov/dwanalyticalmethods/comparing-epa-analytical-methods-pfas-drinking-water (accessed on 9 July 2020).
- Shoemaker, J.A.; Grimmett, P.; Boutin, B. Determination of Selected Perfluorinated Alkyl Acids in Drinking Water by Solid Phase Extraction and Liquid Chromatography/Tandem Mass Spectrometry (LC/MS/MS); US EPA: Washington, DC, USA, 2008.
- Environmental Monitoring. Perfluorooctane Sulfonate (PFOS) and Related Substances: Sources, Pathways and Environmental Data; Environment Agency: Bristol, UK, 2019.
- Understanding REACH—ECHA. Available online: https://echa.europa.eu/regulations/reach/understanding-reach (accessed on 27 June 2020).
- Country Information—OECD Portal on Per and Poly Fluorinated Chemicals EU. Available online: https://www.oecd.org/chemicalsafety/portal-perfluorinated-chemicals/countryinformation/european-union.htm (accessed on 23 July 2020).
- REACH Legislation—ECHA. Available online: https://echa.europa.eu/regulations/reach/legislation (accessed on 27 June 2020).
- Candidate List of Substances of Very High Concern for Authorisation—European Chemicals Agency. Available online: https://echa.europa.eu/candidate-list-table (accessed on 27 June 2020).
- Directive 2006/122/EC of the European Parliament and of the Council of 12 December 2006 Amending for the 30th Time Council Directive 76/769/EEC on the Approximation of the Laws, Regulations and Administrative Provisions of the Member States Relating to Restrictions on the Marketing and Use of Certain Dangerous Substances and Preparations (Perfluorooctane Sulfonates) (Text with EEA Relevance), CELEX1. Available online: http://op.europa.eu/en/publication-detail/-/publication/612a4b88-51dd-4a86-a3d0-22c33323a493/language-en (accessed on 28 June 2020).
- Regulation (EU) 2019/1021 of the European Parliament and of the Council of 20 June 2019 on Persistent Organic Pollutants (Recast) (Text with EEA relevance). Available online: http://www.legislation.gov.uk/eur/2019/1021/contents/adopted (accessed on 28 June 2020).
- Provisional Evaluation of PFT in Drinking Water with the Guide Substances Perfluorooctanoic Acid (PFOA) and Perfluorooctane Sulfonate (PFOS) as Examples; Drinking Water Commission of the Germany Ministry of Health at the Federal Environment Agency: Berlin, Germany, 2006.
- Health Protection Agency, Chemical Hazards and Poisons Division. Maximum Acceptable Concentrations of Perfluorooctane Sulfonate (PFOS) and Perfluorooctanoic Acid (PFOA) in Drinking Water; Health Protection Agency, Chemical Hazards and Poisons Division: Oxfordshire, UK, 2007.
- World Health Organization. Keeping Our Water Clean: The Case of Water Contamination in the Veneto Region, Italy; World Health Organization: Copenhagen, Denmark, 2017. [Google Scholar]
- Risk Management—PFAS in Drinking Water and Fish. Available online: https://www.livsmedelsverket.se/produktion-handel--kontroll/dricksvattenproduktion/riskhantering-pfaa-i-dricksvatten (accessed on 25 June 2020).
- Moermond, C.T.A.; Verbruggen, E.M.J.; Smit, C.E. Enviromental Risk Limits for PFOS; RIVM National Institute for Public Health and the Environment: Utrecht, The Netherlands, 2010. [Google Scholar]
- De Voogt, P.; Berger, U.; de Coen, W.; de Wolf, W.; Heimstad, E.; McLachlan, M.; van Leeuwen, S.; van Roon, A. Perfluorinated Organic Compounds in the European Environment (Perforce); Specific Targeted Research Project; Institute for Biodiversity and Ecosystem Dynamics, University of Amsterdam: Amsterdam, The Netherlands, 2007. [Google Scholar]
- Statens forurensningstilsyn Norwegian Pollution Control Authority. Ecotoxicological Effects of PFOS, PFOA and 6:2 FTS on Earthworms; Environmental Project 2212/2006; Statens forurensningstilsyn Norwegian Pollution Control Authority: Oslo, Norway, 2006. [Google Scholar]
- Amundsen, C.E.; Forfang, I.; Aasen, R.; Eggen, T.; Sorheim, R.; Hartnik, T.; Naes, K. Screening of Polyfluorinated Organic Compounds at Four Fire Training Facilities in Norway; Environmental Monitoring 2444/2008; Statens forurensningstilsyn Norwegian Pollution Control Authority: Oslo, Norway, 2008. [Google Scholar]
- Bodar, C.; Lijzen, J.; Moermond, C.; Peijnenburg, W.; Smit, E.; Verbruggen, E.; Janssen, M. Advice Risk Limits for Land and Groundwater for PFOS; 602050002/2011; Rijksinstituut voor Volksgezondheid en Milieu: Utrecht, The Netherlands, 2001. [Google Scholar]
- International Physical Activity and Environment Network. PFAS Pollution across the Middle East and Asia; International Physical Activity and Environment Network: Mainz, Germany, 2019. [Google Scholar]
- Country Information—OECD Portal on Per and Poly Fluorinated Chemicals. Available online: https://www.oecd.org/chemicalsafety/portal-perfluorinated-chemicals/countryinformation/japan.htm (accessed on 16 July 2020).
- Chai, J.; Lei, P.; Xia, X.; Xu, G.; Wang, D.; Sun, R.; Gu, J.; Tang, L. Pollution patterns and characteristics of perfluorinated compounds in surface water adjacent potential industrial emission categories of Shanghai, China. Ecotoxicol. Environ. Saf. 2017, 145, 659–664. [Google Scholar] [CrossRef] [PubMed]
- Country Information—OECD Portal on Per and Poly Fluorinated Chemicals. Available online: https://www.oecd.org/chemicalsafety/portal-perfluorinated-chemicals/countryinformation/china.htm (accessed on 16 July 2020).
- Country Information—OECD Portal on Per and Poly Fluorinated Chemicals. Available online: https://www.oecd.org/chemicalsafety/portal-perfluorinated-chemicals/countryinformation/korea.htm (accessed on 16 July 2020).



| Class | Molecular Structure | Sources | References |
|---|---|---|---|
| Non-polymers | ![]() Chlorinated polyfluorinated ether sulfonate (F53-B) |
| [12,16] |
![]() 6:2 Fluorotelomer sulfonamide alkylbetaine (FTAB) |
| [3,8,9,11] | |
![]() 6:2 Fluorotelomer sulfonate (FTSA) |
| [7,11] | |
![]() Perfluorooctanesulfonic acid (PFOS) |
| [14,15,17] | |
![]() Perfluorooctanoic acid (PFOA) |
| [13] | |
| Polymers | ![]() Polytetrafluoroethylene (PTFE) |
| [6,19,20] |
| Polymers | ![]() Viton A/B |
| [10,18] |
![]() Polychlorotrifluorethylene (KEL-F) |
| [19] |
| Country and Agency | Pfos Limit | Pfoa Limit | Medium | References |
|---|---|---|---|---|
| US EPA | 70 ppt | 70 ppt | Drinking Water | [123] |
| UK Drinking Water Inspectorate (Tier 1) | 300 ng/L | 300 ng/L | Drinking Water | [134] |
| UK Drinking Water Inspectorate (Tier 2) | 10,000 ng/L | 1,000 ng/L | Drinking Water | [134] |
| UK Drinking Water Inspectorate (Tier 3) | 90,000 ng/L | 9,000 ng/L | Drinking Water | [134] |
| Swedish National Food Agency | 90 ng/L | 90 ng/L | Drinking Water | [136] |
| Norwegian Pollution Control Authority | 530 ng/L | N/A | Drinking Water | [134] |
| German Drinking Water Commission | 300 ng/L | 300 ng/L | Drinking Water | [132] |
| Italian National Institute of Health | 30 ng/L | 500 ng/L | Drinking Water | [134] |
| Dutch National Institute for Public Health and the Environment | 530 ng/L | N/A | Drinking Water | [137] |
| Norwegian Pollution Control Authority | 0.1 mg/kg | 0.16 mg/kg | Soil | [140] |
| Dutch national Institute for Public Health and the Environment | 2.3 µg/kg | N/A | Soil | [137] |
| Dutch National Institute for Public Health and the Environment | 23 mg/L | N/A | Ground Water | [137] |
| Country and Regulation | Path Taken | Category of PFAS Addressed | Life Cycle State(s) Addressed | Method of Approach | Ref | |
|---|---|---|---|---|---|---|
| United States | 2010/15 PFOA Stewardship Program | Encourage industry phaseout | Long-chain perfluorocarboxylic acids and related substances | All | Regulatory | [122] |
| Significant New Use Rule (40 CFR §721.9582) | Manage, manufacture, import, and processing | Perfluoroalkyl sulfonates (PFSAs) | Chemical manufacture and import; processing of chemicals | Regulatory | [122] | |
| Significant New Use Rule (40 CFR §721.10536) | Manage manufacture, import, and processing | Perfluoroalkyl carboxylate chemicals | Chemical manufacture and import; processing of chemicals | Regulatory | [122] | |
| Proposed Significant New Use Rule (SNUR) to designate import of perfluoroalkyl carboxylate chemicals (Proposed rule: 80 FR 2885) | Manage manufacture, import, and processing | Perfluoroalkyl carboxylate chemicals | Chemical manufacture and import; processing of chemicals | Regulatory | [122] | |
| European Union | PFOA and APFO harmonized classification under Regulation. (EC) No. 1272/2008 (2013) | Manage the manufacture, sale, import and export | PFOA and APFO | Chemical manufacture, product (mixtures and articles) manufacture and use | Regulatory | [127] |
| PFOA and APFO covered by Annex XVII entries 28-30 of REACH | Manage the manufacture, sale, import and export | PFOA and APFO | Mixtures for consumer use | Regulatory | [127] | |
| Proposal for restriction of PFOA, its salts and PFOA-related substances under REACH (2014 | Manage the manufacture, sale, import and export | PFOA, its salts and PFOA-related substances | Chemical manufacture, product (mixtures and articles) manufacture and use | Regulatory | [127] | |
| Several PFASs listed on draft Community Rolling Action Plant (CoRAP) for substance evaluation withing the next years | Evaluation | Several (especially alternatives to PFOA- and PFOA-related substances) | Whole life cycle | Assessment | [127] | |
| China | Monitoring of PFASs production and emissions | Continuous monitoring | PFOS and PFOA | N/A | Monitoring | [144] |
| Ban of production, transportation, application, imports and exports of PFOS, its salts and PFOSF, except for specific exemptions and acceptable use | Ban | PFOS, its salts and PFOSF | Manufacture, use, sale, and import | Regulatory | [144] | |
| Restriction of the production of PFOS and PFOA and support of R&D for alternatives to these substances | Restriction as part of the National Development and Reform Commission, which issues an Industrial Reconstructing Guide Directory | PFOS and PFOA | - | - | [144] | |
| Substances listed under the High Pollution, High Environmental risk Product Catalogue | Political target to establish financial and environmental protection priorities | High temperature melting membrane fluorine resin coating/PFOA | - | Policy | [144] | |
| Japan | PFOS and its salts listed in Class I Specified Chemical Substances under the Chemical Substances Control Law (CSCL) | Manage the manufacture, import, export and use | PFOS and its salts | Manufacture, import, export, use | Regulatory | [142] |
| South Korea | Under the Persistent Organic Pollutions Control Act, PFOS, its salts, PFOS-F are designated as restricted | Restriction on manufacture, import, export, use | PFOS, its salts and PFOS-F | Manufacture, import, export, use | Regulatory | [145] |
© 2020 by the authors. Licensee MDPI, Basel, Switzerland. This article is an open access article distributed under the terms and conditions of the Creative Commons Attribution (CC BY) license (http://creativecommons.org/licenses/by/4.0/).
Share and Cite
Olsavsky, N.J.; Kearns, V.M.; Beckman, C.P.; Sheehan, P.L.; Burpo, F.J.; Bahaghighat, H.D.; Nagelli, E.A. Research and Regulatory Advancements on Remediation and Degradation of Fluorinated Polymer Compounds. Appl. Sci. 2020, 10, 6921. https://doi.org/10.3390/app10196921
Olsavsky NJ, Kearns VM, Beckman CP, Sheehan PL, Burpo FJ, Bahaghighat HD, Nagelli EA. Research and Regulatory Advancements on Remediation and Degradation of Fluorinated Polymer Compounds. Applied Sciences. 2020; 10(19):6921. https://doi.org/10.3390/app10196921
Chicago/Turabian StyleOlsavsky, Nathaniel J., Victoria M. Kearns, Connor P. Beckman, Pamela L. Sheehan, F. John Burpo, H. Daniel Bahaghighat, and Enoch A. Nagelli. 2020. "Research and Regulatory Advancements on Remediation and Degradation of Fluorinated Polymer Compounds" Applied Sciences 10, no. 19: 6921. https://doi.org/10.3390/app10196921
APA StyleOlsavsky, N. J., Kearns, V. M., Beckman, C. P., Sheehan, P. L., Burpo, F. J., Bahaghighat, H. D., & Nagelli, E. A. (2020). Research and Regulatory Advancements on Remediation and Degradation of Fluorinated Polymer Compounds. Applied Sciences, 10(19), 6921. https://doi.org/10.3390/app10196921









