You are currently viewing a new version of our website. To view the old version click .
Applied Sciences
  • Article
  • Open Access

2 October 2020

The Effect of Supplementing Pig Diet with Chestnut Wood Extract or Hops on Fresh Meat and Dry-Cured Products

,
,
,
,
,
and
1
Agricultural Institute of Slovenia, Hacquetova ulica 17, 1000 Ljubljana, Slovenia
2
Faculty of Agriculture and Life Sciences, University of Maribor, Pivola 10, 2311 Hoče, Slovenia
3
Faculty of Agriculture, University of Zagreb, Svetošimunska cesta 25, 10000 Zagreb, Croatia
4
Nutrition Research & Development Dept., Emona, Kavčičeva ulica 72, 1000 Ljubljana, Slovenia
This article belongs to the Special Issue New Frontiers in Meat Science and Technology

Abstract

Oxidation is one of the major reasons for impaired quality of meat and meat products but can be prevented by the addition of antioxidants. In the present study, the effect of dietary sweet chestnut wood extract and hop cones on the quality and oxidative stability of meat and dry-cured products was investigated. Control pigs (N = 11) were fed a commercial diet (13.1 MJ metabolizable energy, 15.5% crude protein), while the other two experimental groups were supplemented with 3% of sweet chestnut wood extract (Tannin; N = 12) or 0.4% of hop cones (Hops; N = 11). The quality of meat and dry-cured products was evaluated by means of chemical composition, water holding capacity, objective color, and lipid and protein oxidation. No major effects of sweet chestnut wood extract or of hops supplementation were observed, nevertheless, some indications of improved water holding capacity could be attributed to antioxidants supplementation. The color evolution of dry-cured bellies from Tannin and Hops groups of pigs during refrigerated storage was also indicative of an improved oxidative stability.

1. Introduction

The type of diet consumed by animals during the production phase exerts an influence on the postmortem susceptibility of meat to oxidation, and has been demonstrated as the main, non-microbial cause of quality deterioration during processing [1]. Oxidation results in the development of off-flavor, discoloration, formation of toxic compounds, loss of nutrients, and increased drip loss, and thus shortens the shelf life of meat and meat products [2]. It can be alleviated through the use of antioxidants, either through the supplementation of animal diets with antioxidant compounds or through their direct addition to processed meat products [3]. However, in fresh meat or in traditional products where the use of food additives is restricted, the only possible option to increase the oxidative stability is by the inclusion of substances with antioxidative properties into the diet. The antioxidants can be synthetic or natural, however, the demand for natural antioxidants, especially of plant origin, has been increased in the recent years due to the growing concern of consumers about the possible toxic effects of synthetic antioxidants [3]. Natural, plant based antioxidants can be obtained from different sources such as fruits, vegetables, herbs, and spices [3]. Their activity is attributed to various phenolic compounds, which are structurally related but vary in quantity and type, depending on the source [4]. Two potential sources of natural antioxidants, which are easily available and economically important in Slovenia, are sweet chestnut (Castanea sativa Mill.) and hops (Humulus lupulus L.). Sweet chestnut wood extract, consisting mainly of hydrolysable tannins, is commonly used as a feed additive. It has been shown to possess antioxidant properties in vitro [5] and in vivo in different animal species [6,7]. As a result, an improved oxidative stability of meat from animals fed diets supplemented with sweet chestnut wood extract was reported, however, its efficiency depends on the animal species and the dose used; higher doses may exert even pro-oxidant effects [8,9]. Hops are also reported to serve as a potential source of antioxidants [10]. Hop cones are primarily utilized in the brewery industry due to the preservative attributes and the contribution to bitterness, and the characteristic hoppy aroma of beer [11,12]. Hop cones contain many active phenolic compounds, which have been shown to exert antioxidant activities in vitro [13,14] or after their addition to meat products [15]. However, only a few studies have examined the stability of meat with controversial results; reduced lipid oxidation rates [16,17], no effect [18], or even pro-oxidant activity [19].
Scientific studies on the potential of incorporating health promoting bioactive compounds derived from sweet chestnut wood extract and hops into meat and meat products, via dietary supplementation, especially regarding the supplementation with hops, are limited and further investigation is warranted. Moreover, no studies are available where the effect of supplementing pigs’ diet with sweet chestnut wood extract or hops on quality and oxidative stability of pork dry-cured products was investigated. The objective of the present study was to assess the effect of dietary supplementation of pig diets with sweet chestnut wood extract or hop cones on pork and dry-cured products quality, with an emphasis on oxidative stability.

2. Materials and Methods

The experiment was carried out following the Slovenian law on animal protection [20] and rules on animal husbandry [21,22]. The study was conducted at a commercial family farm with full owner compliance and within the normal running of the farm and was not subject to ethical protocols according to Directive 2010/63/EU [23], i.e., approved feed additives were used [24].
Thirty-four Slovenian Landrace × Slovenian Large White pigs (18 barrows and 16 gilts) were assigned to treatment groups at the average age and weight of 140 ± 2.2 days and 75 ± 9.9 kg, respectively. The animals were selected according to their sex in order to balance the ratio between barrows and gilts, and the weight of the animals. The pigs in the control group (N = 11) received a standard corn based finishing diet containing 13.1 MJ metabolizable energy and 15.5% crude protein (Table 1). Pigs in two treatment groups received an isonitrogenous and isoenergetic diet supplemented with 3% of Farmatan, a commercially available sweet chestnut wood extract (Tannin, N = 12), or 0.4% of hop cones (Hops, N = 11). The supplementation dose of sweet chestnut wood extract was chosen to further clarify our recent research [19]. The supplementation dose of hop cones was lower, and selected on the basis of preliminary studies (unpublished results), which showed reduced feed intake with higher doses due to the bitterness of hops. The diets were fed on semi ad libitum basis, i.e., ad libitum access to the feed twice a day (in the morning and in the evening) for 1 h. The space area per pig was 1.2 m2. The trial lasted for 69 days.
Table 1. Ingredients (%) and chemical composition (g/kg) of experimental diets.

2.1. Slaughter, Processing, and Sampling

Before slaughter, the pigs were fastened overnight and transported (1 h) to a commercial abattoir where they were slaughtered using standard procedures (CO2 stunning followed by exsanguination and evisceration). The carcasses were weighed, the back fat thickness over the gluteus medius muscle was measured, and the carcasses were classified by an official classification body using an approved method [25]. The carcasses were then cooled overnight and on the next day samples of longissimus thoracis (LT) muscles with the corresponding fat were taken (at the level of last rib) for further analyses. The water holding capacity (WHC), objective color, chemical composition, and oxidative stability (carbonyl groups) were evaluated in the LT muscle. Additionally, the oxidative stability of fat tissue was evaluated by the Rancimat method.
The hams and bellies were cut from the carcasses and shaped into the prescribed forms for PGI (protected geographical indication) products Kraški pršut and Kraška panceta, respectively. The hams and bellies were weighed and fat thickness of the hams was measured under femoral head. The hams were submitted to the dry-curing process consisting of dry salting (18 days at 2–4 °C), resting (66 days at 4–6 °C, 70–85% relative humidity (RH)), drying (86 days at 20 °C and 60–80% RH), and ripening for 355 days. The processing loss was recorded for each ham at the end of salting and ripening.
At the end of the processing, the hams were deboned and 18 samples (six hams per treatment group) were randomly selected for further analyses.
The samples were excised from the central part of the hams and consisted of biceps femoris (BF), semimembranosus (SM), and semitendinosus muscles with the corresponding fat layer. Measurements of objective color (BF and SM muscles, subcutaneous fat), chemical composition (BF and SM muscles), and oxidative stability of BF muscle (as thiobarbituric acid reactive substances (TBARS)) and subcutaneous fat (by the Rancimat method) were performed.
The bellies were covered with a mixture of salt and spices (garlic and black pepper) and left for seven days at 2–4 °C. After salting and resting (7 days at 4–6 °C, 70–85% RH), the bellies were dried at 10–18 °C and 60–80% RH until the end of processing at 86 days. The bellies were weighed at the end of salting and drying in order to evaluate processing losses. Samples from the central part of the product were collected, and the objective color, chemical composition, and oxidative stability by the Rancimat method were evaluated.

2.2. Water Holding Capacity

The water holding capacity of LT muscle was determined by means of drip, thawing, and cooking losses. Drip loss was evaluated by the EZ-DripLoss method [26] on 2.5 cm thick round shaped (2.5 cm in diameter) samples. The samples for thawing and cooking loss evaluation were shaped in a cuboid shape (8 × 5 × 4 cm), weighed, and frozen at −20 °C. After thawing in the refrigerator, the samples were reweighed and thawing loss was calculated. The samples were then cooked in a thermostatic bath (ONE 7-45, Memmert GmbH, Schwabach, Germany) until the internal temperature reached 72 °C, cooled, and weighed to determine the cooking loss.

2.3. Objective Color

The objective color (CIE (Commission Internationale de l’Éclairage) L*, a*, b* color parameters) was assessed using Minolta Chromameter (Minolta Co. Ltd., Osaka, Japan) with an 8 mm aperture and a D65 illuminant, as previously described by Batorek et al. [27] on the freshly cut surface (no blooming) of LT muscle. Chroma (C*) and hue angle (h°) were calculated as (a*2 + b*2)−2 and tan−1(b*/a*), respectively. In the dry-cured ham, measurements of color were implemented on the surface of BF and SM muscles, and on a subcutaneous fat layer. The objective color of dry-cured bellies was recorded during storage. The bellies were longitudinally cut, wrapped with oxygen-permeable polyvinylchloride foil, and refrigerated at 4 °C simulating the storage of the purchased product. Color measurements were performed on fresh samples, every 60 min in the first 6 h of the storage, every 24 h in the first 4 days of storage, and then every 7 days until 4 weeks of storage. The color was separately measured on fat and muscle tissue.

2.4. Chemical Composition

Samples of LT muscles were trimmed to remove epimysium and external fat, and were then ground using a laboratory mill (Grindomix GM200, Retsch GmbH and Co., Haan, Germany). The chemical composition (dry matter, intramuscular fat (IMF), and protein content) was determined by near infrared spectroscopy (NIR Systems 6500 Monochromator; Foss NIR System, Silver Spring, MD, USA) using internal calibrations with the prediction accuracy based on R2 of 0.97, 0.81, 0.82, and Sy.x of 0.30%, 0.73%, 0.65% for IMF, protein, and dry matter content, respectively.
Dry-cured ham muscle (BF and SM) samples were cut into small pieces and ground in liquid nitrogen. Dry matter and IMF were determined by near-infrared spectral analysis using internal calibrations, while protein, non-protein nitrogen (NPN), and salt (NaCl) contents were chemically determined, as described by Škrlep et al. [28]. The proteolysis index (PI) was also calculated as (NPN/Protein)*100.
Samples of the dry-cured belly were minced in liquid nitrogen and the chemical composition (dry matter, IMF, protein, NPN, salt) was evaluated by near-infrared spectral analysis.

2.5. Water Activity (aw)

Water activity was determined in muscle samples (BF, SM) of dry-cured ham. The samples remained at room temperature (27 °C) and aw was measured by the use of the HygroPalm AW1 SET instrument (Rotronic, Bassersdorf, Germany) using the Aw Quick function in sub-samples taken after a coarse homogenization of 80 g of the muscle.

2.6. Protein Oxidation (Carbonyl Groups)

The concentration of carbonyl groups was measured in myofibril isolates of LT muscle, as described by Pietrzak et al. [29]. Carbonyl groups were determined using a method described by Oliver et al. [30] and Mercier et al. [31]. Briefly, 300 μL of myofibrillar suspension were treated with 0.2% (w/v) of 2,4-dinitrophenylhydrazine (DNPH) in 2 N HCl, incubated for 1 h at room temperature under shaking and afterwards precipitated with 50% trichloroacetic acid. After centrifugation (4000× g for 15 min at 4 °C), the pellets were washed three times with a mixture of ethanol:ethyl acetate (1:1) to eliminate traces of residual DNPH. The pellets were then dissolved in 6 M guanidine HCl in a 20 mM sodium phosphate buffer (pH 6.5) and centrifuged for 15 min at 4000× g. The concentration of carbonyl groups was determined spectrophotometrically at 370 nm (BioSpectrometer Fluorescence, Eppendorf, Hamburg, Germany), considering the extinction coefficient for DNPH (21 mM−1 cm−1) and expressed in nmol/mg of protein. The concentration of proteins was determined spectrophotometrically (280 nm) in a myofibrillar suspension added with 2 N HCl without DNPH and thereafter similarly treated as described for carbonyl group analyses.

2.7. Thiobarbituric Reactive Substances (TBARS)

The concentration of TBARS was analyzed in the BF muscle according to the method described by Lynch and Frei [32]. Briefly, the samples (0.5 g) were added with 10 mL of 0.15 M KCl with 0.1 mM of BHT and homogenized for 30 s at 10,000 × rpm with Ultra-Turrax (IKA, Staufen, Germany). An 0.5 mL aliquot of the suspension was treated with 1% (w/v) 2-thiobarbituric acid in 50 mM NaOH and 2.8% (w/v) trichloroacetic acid, and incubated in a thermostatic heating block for 10 min at 100 °C. After cooling to room temperature, the pink chromogen was extracted into n-butanol. The concentration of TBARS was calculated according to the absorbance measured at 535 nm (BioSpectrometer Fluorescence, Eppendorf, Hamburg, Germany) and expressed as μg malondialdehyde (MDA)/kg.

2.8. Rancimat

The Rancimat method (Rancimat 679, Metrohm, Herisau, Switzerland) is based on accelerating the oxidation of the sample by raising its temperature and is expressed as an induction time. It was determined in samples of back fat tissue and dry-cured products (in subcutaneous fat of dry-cured ham and in dry-cured belly). For the analysis, 60 g of fat tissue were homogenized and pure fat was extracted by petroleum ether. After distillation and filtration, 3 g of liquid fat was transferred to a reaction tube and subjected to the accelerated oxidation process (100 °C under a 20 l/h air flow). The air flow transported volatile oxidation products into a vessel containing distilled water where the conductivity was continuously measured. The result is given as an induction time (h) detected by a sudden increase in conductivity.

2.9. Statistical Analysis

An analysis of variance (one-way ANOVA) for the effect of the treatment group was performed by the GLM procedure of SAS statistical software 9.2 (SAS Institute Inc., Cary, NC, USA). The experimental unit was the animal because it was the smallest unit to which either the treatment was applied or measurements were made. The differences between least square means (lsmeans) were tested using the Tukey test and considered significant at p-value below 0.05. In the case of color evolution of dry-cured bellies, an analysis of variance was performed by repeated measures analysis (procedure MIXED) with the model including fixed effects of treatment group and time (the effect of interaction was not significant for any of the investigated traits, so it was thus omitted). Lsmeans of treatment groups were compared and differences were considered significant if p-value < 0.05. Effect sizes were calculated as Hedge’s g for all the investigated traits and the values were presented when Hedge’s g was above 0.8.

3. Results

A summary of all the measured or analyzed traits (carcass traits, WHC, chemical composition, color, and oxidative stability) that were investigated with associated significances for the treatment group effect (p-values) are provided in Table 2. As the majority of them were not significantly different among groups, the detailed results from the analysis of variance are provided in Supplementary Tables S1–S5 and only significant results or effects with an important effect size are further presented and discussed.
Table 2. A list of traits with p-values for the treatment group effect.

3.1. Carcass Traits

All the pigs were slaughtered at an average age of 209 ± 2.2 days and weight of 131.2 ± 14.5 kg. There were no differences in carcass weight and fatness (Table 2), only green ham weight was significantly different between pigs supplemented with 0.4% of hop cones and control pigs (Supplementary Table S1).

3.2. Water Holding Capacity

No significant differences were observed for WHC. However, it should be mentioned that some indications of improved WHC were observed for groups supplemented with antioxidants. Namely, an important effect size was observed for cooking loss (lower) in pigs supplemented with sweet chestnut wood extract and hops (Hedge’s g > 0.8; Figure 1). Similarly, an important effect size (Hedge’s g > 0.8) for lower processing losses at the end of salting was noted in hams of pigs supplemented with hop cones.
Figure 1. Large effect sizes (Hedge’s g > 0.8) of carcass traits (a), water holding capacity (b), chemical composition (c), color (d), and oxidative stability (e) denominating the strength of 0.4% hops (Hops) or 3% sweet chestnut wood extract (Tannin) supplementation (LT: Longissimus dorsi; SM: Semimembranosus; NPN: Non-protein nitrogen; BF: Biceps femoris; PI: Proteolysis index; b*: CIE yellowness; L*: CIE lightness).

3.3. Chemical Analysis

Analyses of chemical composition of fresh LT and dry-cured products also revealed no differences among treatment groups. No significant differences were detected (Supplementary Table S3), however, considering the magnitude of the effect size, a lower proteolysis in the BF muscle of hops supplemented compared to that of the control group was indicated (Hedge’s g for proteolysis index > 0.8; Figure 1).

3.4. Color

No effect of dietary supplementation with antioxidants was observed on the objective color measured on the freshly cut surface of LT muscle and on dry-cured BF, SM muscle, or fat (Table 2). A tendency towards more yellow color (b* parameter) of SM muscle in pigs supplemented with sweet chestnut wood compared to the control was indicated (p = 0.06).
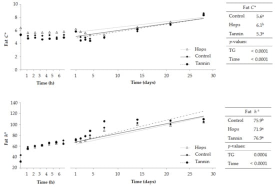
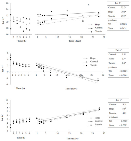
Changes in color of fat and muscle of the dry-cured belly were monitored during storage in a refrigerator. The effect of interaction between treatment group and time was insignificant for all of the investigated parameters, indicating a similar color evolution in all three groups. Differences in the belly color between groups were most profoundly evident in the hop supplemented group with darker (lower L*), redder (higher a* and h°), and yellower (higher b*) fat, and darker, redder, and less yellow muscle color compared to the control (Figure 2 and Figure 3). The color of bellies of hops supplemented pigs was also more saturated as evident by higher C* values (Figure 4 and Figure 5). A less pronounced effect on color was found in dry-cured bellies of sweet chestnut wood extract fed pigs, where a lower L* value of fat, and lower L*, b*, C*, and h° values of muscle were observed compared to the controls (Figure 2Figure 3 and Figure 5).
Figure 2. Objective color parameters: CIE lightness: L*, redness: a*, and yellowness: b* of fat of dry-cured bellies during refrigerated storage with lsmeans and p-values for treatment group (TG) and time effects (abc intercepts ascribed different superscript letters are significantly different at p-value < 0.05).
Figure 3. Objective color parameters: CIE lightness: L*, redness: a*, and yellowness: b* of muscle of dry-cured bellies during refrigerated storage with lsmeans and p-values for treatment group (TG) and time effects (abc intercepts ascribed different superscript letters are significantly different at p-value < 0.05).
Figure 4. Objective color parameters: Chroma: C* and hue angle — h° of fat of dry-cured bellies during refrigerated storage with lsmeans and p-values for treatment group (TG) and time effects (abc intercepts ascribed different superscript letters are significantly different at p-value < 0.05).
Figure 5. Objective color parameters: Chroma: C* and hue angle — h° of muscle of dry-cured bellies during refrigerated storage with lsmeans and p-values for treatment group (TG) and time effects (abc intercepts ascribed different superscript letters are significantly different at p-value < 0.05).

3.5. Oxidation

No effect of antioxidants supplementation was observed on any of the measured indicators (carbonyl groups in myofibril isolates of LT muscle, fat oxidation by the Rancimat method, TBARS of dry-cured ham), however, an important effect size was shown (Hedge’s g > 0.8; Figure 1) for the oxidation measured by the Rancimat of subcutaneous fat of dry-cured hams, indicating a delay in the oxidation of hams of pigs supplemented with sweet chestnut wood extract.

4. Discussion

The results of the present study showed that the examined levels of chestnut wood extract or hop cones supplementation exerted no effect on carcass traits. When a similar extract rich in hydrolysable tannins was used, a dose-dependent influence on productive traits was demonstrated, i.e., no differences when small amounts (up to 2%) of sweet chestnut wood extract were added [33,34,35], whereas an addition of 3% resulted in reduced feed intake, which was attributed to reduced palatability of the diet [36,37]. Supplementing the pigs’ diet with a chestnut meal also showed improved performance (feed efficiency) at a lower level of inclusion (30 vs. 50 or 100 g/kg dry matter) [38]. As considered for the supplementation with hops, no effect of feeding diets added with hops water extract on the performance of growing pigs was observed [39]. Regarding the supplementation with hops, no studies were performed in fattening pigs, however, a positive effect of hops supplementation was reported for growing pigs [40,41]. The studies in other species reported positive effects in chickens [42,43], no major effect in fattening steers [44] and heifers [45], and even a negative effect on the growth rate in lambs [18].
There was also no major effect observed on WHC. Contrary to our study, a lower WHC (higher thawing [9] and total [37] loss) was observed in the entire male pigs supplemented with 3% of sweet chestnut wood extract and in Cinta Senese pigs fed solely chestnut for 3 months [46]. On the other hand, other studies reported no effect of sweet chestnut extract on cooking loss [19,47] in agreement with the results of the present study. Considering hops supplementation, an improved WHC was reported by Hanczakowska and Swiątkiewicz [16], while Sbardella et al. [17] observed no differences in the WHC of pigs supplemented with hops β-acids. In our study, no effect of hops supplementation on WHC was observed in fresh meat, however, a tendency for a lower salting phase loss in hams was observed. Processing losses in the salting phase are negatively correlated with carcass fatness due to the effect of fat as a barrier for water migration [48]. In our study, no significant differences were observed in fat depots (subcutaneous fat or IMF) in agreement with other studies where sweet chestnut wood extract [19,33] or hops [18] were included in the animals’ diet. A lower WHC can also be associated with higher oxidation rates [49], which lead to denaturation of proteins thus hindering the ability to bind water [50]. However, we observed no differences in oxidation of meat and backfat detected either by means of carbonyl groups or Rancimat, respectively. Contrary to our results, significant effects of feeding tannins and hops on oxidation parameters were found in other studies. A pro-oxidant effect (higher MDA and carbonyl groups concentration) in fresh LT muscle of pigs supplemented with 3% of sweet chestnut wood extract, along with a higher thawing loss, was reported by Rezar et al. [19]. The same study reported a lower oxidation (MDA concentration) in pigs supplemented with 2 and 3% of the extract in cooked meat samples. No effect on MDA concentration of fresh and cooked breast muscle was observed in sweet chestnut wood extract supplemented broiler chickens [7,51]. In rabbits, a lower iron-induced lipid oxidation was reported when the animals were fed diets containing 0.5% of chestnut tannins, while a pro-oxidant effect was observed at 1% of inclusion [8]. Considering supplementation with hops, only a few studies reported its influence on the oxidative stability of meat. A higher oxidative stability of LT muscle after six months of storage at −20 °C was reported in pigs supplemented with hops water extract [16,39]. A lower oxidation of proteins in broiler chickens dietary supplemented with hop β-acids was reported by Zawadski et al. [52], while no differences in muscle or liver TBARS were observed in hop supplemented rabbits [18]. The oxidative stability of dry-cured products was evaluated my means of TBARS (BF muscle of dry-cured hams), and Rancimat (subcutaneous fat of dry-cured hams and dry-cured bellies). Direct incorporation of chestnut extract and hops into products is known to increase the oxidative stability of dry-fermented sausages and patties, respectively [15,53]. To the best of our knowledge, the present study is the first that evaluated the effect of sweet chestnut wood extract or hops dietary supplementation on the oxidative stability of dry-cured pork products. Even though the differences among groups were not significant, an improved oxidative stability of dry-cured hams from the tannin group compared to the control was indicated. In agreement with our study, no influence on the oxidative stability of fresh meat and dry-cured products was reported for pigs fed tannin rich chestnut or acorn despite their high content of pro-oxidant unsaturated fatty acids [54,55,56,57].
The measurements of objective color were assessed as the color stability is of major importance in meat processing [58]. Consumers’ willingness to buy depends on the product’s sensory, with color being one of the major sensory attributes in meat and meat products [59]. The evolution of objective color parameters during storage of dry-cured belly followed the same trend in all three groups, with decreasing a* and increasing b* values, in both muscle and fat tissue, of dry-cured bellies. Similar color changes in muscles of dry-cured products during storage were also reported by other studies [58,60,61,62] and may be attributed to the formation of yellow colored polymers due to the increased oxidative deterioration of fat [63], and the oxidation of myoglobin to metmyoglobin and oxymyoglobin in the muscle [64]. Regarding the differences in color of dry-cured bellies, the most pronounced effect was observed in the group supplemented with hop cones where darker, redder, and yellower color of fat, and darker, redder, and less yellow muscle color compared to the control was found. No literature data on the effect of hops dietary supplementation on color of dry-cured products are available, however, lower b* values [16,39] and lower L* and b* values [18] were observed in LT muscles of the hop supplemented pigs and lambs, respectively. A less pronounced effect on color of dry-cured bellies was shown in sweet chestnut wood supplemented pigs, which exhibited a darker muscle and darker and less yellow fat tissue. No differences in objective color parameters of fat tissue were observed in the seasoned fat of chestnut fed Cinta Senese pigs [46], while sensory evaluated pinkness and yellowness of cured lard were lower and higher, respectively, in pigs fed chestnut diets [54,55].

5. Conclusions

Dietary supplementation of the fattening pigs with sweet chestnut wood extract and hops caused no major differences in the productive performance, whereas the results of this preliminary study indicate potential beneficial effects of supplementation with sweet chestnut wood extract and hops on WHC and oxidative stability.

Supplementary Materials

The following are available online at https://www.mdpi.com/2076-3417/10/19/6922/s1. Table S1: Carcass traits and body fatness (lsmeans) of pigs fed hops and sweet chestnut wood extract (Tannin); Table S2: Water holding capacity (WHC) of meat and dry-cured products (lsmeans) of pigs fed hops and sweet chestnut wood extract (Tannin); Table S3: Chemical analysis of meat and dry-cured products (lsmeans) of pigs fed hops and sweet chestnut wood extract (Tannin); Table S4: Objective color of meat and dry-cured products of (lsmeans) of pigs fed hops and sweet chestnut wood extract (Tannin); Table S5: Oxidative stability of meat and dry-cured products (lsmeans) of pigs fed hops and sweet chestnut wood extract (Tannin).

Author Contributions

Conceptualization, U.T. and M.Č.-P.; methodology, U.T., M.Š., M.P.P., N.B.-L., D.K., and M.Č.; validation, U.T. and M.Č.-P.; investigation, U.T., M.Š., M.P.P., N.B.-L., D.K., M.Č., and M.Č.-P.; data curation, U.T.; writing—original draft preparation, U.T.; writing—review and editing, U.T., M.Š., M.P.P., N.B.-L., D.K., and M.Č.-P.; visualization, U.T.; supervision, M.Č.-P.; project administration, M.Č.-P.; funding acquisition, M.Č.-P. All authors have read and agreed to the published version of the manuscript.

Funding

This research was funded by the Slovenian Research Agency, grant numbers P4-0133 and V4-1417, and the Ministry of Agriculture, Forestry, and Food, grant number V4-1417.

Conflicts of Interest

The authors declare no conflict of interest.

References

  1. Falowo, A.B.; Fayemi, P.O.; Muchenje, V. Natural antioxidants against lipid–protein oxidative deterioration in meat and meat products: A review. Food Res. Int. 2014, 64, 171–181. [Google Scholar] [CrossRef] [PubMed]
  2. Contini, C.; Álvarez, R.; O’Sullivan, M.; Dowling, D.P.; Gargan, S.; Monahan, F.J. Effect of an active packaging with citrus extract on lipid oxidation and sensory quality of cooked turkey meat. Meat Sci. 2014, 96, 1171–1176. [Google Scholar] [CrossRef] [PubMed]
  3. Shah, M.A.; Don Bosco, S.J.; Mir, S.A. Plant extracts as natural antioxidants in meat and meat products. Meat Sci. 2014, 98, 21–33. [Google Scholar] [CrossRef] [PubMed]
  4. Jiang, J.; Xiong, Y.L. Natural antioxidants as food and feed additives to promote health benefits and quality of meat products: A review. Meat Sci. 2016, 120, 107–117. [Google Scholar] [CrossRef] [PubMed]
  5. Lampire, O.; Mila, I.; Raminosoa, M.; Michon, V.; Herve du Penhoat, C.; Faucheur, N.; Laprevote, O.; Scalbert, A. Polyphenols isolated from the bark of Castanea sativa Mill. chemical structures and auto-association. Phytochemistry 1998, 49, 623–631. [Google Scholar] [CrossRef]
  6. Frankič, T.; Salobir, J. In vivo oxidative potential of sweet chestnut (Castanea sativa Mill) wood extract in young growing pigs exposed to n−3 PUFA-induced oxidative stress. J. Sci. Food Agric. 2011, 91, 1432–1439. [Google Scholar] [PubMed]
  7. Voljč, M.; Levart, A.; Žgur, S.; Salobir, J. The effect of α-tocopherol, sweet chestnut wood extract and their combination on oxidative stress in vivo and the oxidative stability of meat in broilers. Br. Poult. Sci. 2013, 54, 144–156. [Google Scholar] [CrossRef]
  8. Liu, H.W.; Gai, F.; Gasco, L.; Brugiapaglia, A.; Lussiana, C.; Guo, K.J.; Tong, M.J.; Zoccarato, I. Effects of chestnut tannins on carcass characteristics, meat quality, lipid oxidation and fatty acid composition of rabbits. Meat Sci. 2009, 83, 678–683. [Google Scholar] [CrossRef]
  9. Rezar, V.; Salobir, J.; Levart, A.; Tomažin, U.; Škrlep, M.; Batorek Lukač, N.; Čandek-Potokar, M. Supplementing entire male pig diet with hydrolysable tannins: Effect on carcass traits, meat quality and oxidative stability. Meat Sci. 2017, 133, 95–102. [Google Scholar] [CrossRef]
  10. Krofta, K.; Mikyška, A.; Hašková, D. Antioxidant characteristics of hops and hop products. J. Inst. Brew. 2008, 114, 160–166. [Google Scholar] [CrossRef]
  11. Van Cleemput, M.; Cattoor, K.; Bosscher, K.; Haegeman, G.; De Keukeleire, D.; Heyerick, A. Hop (Humulus lupulus)-derived bitter acids as multipotent bioactive compounds. J. Nat. Prod. 2009, 72, 1220–1230. [Google Scholar] [CrossRef] [PubMed]
  12. Karabín, M.; Hudcová, T.; Jelínek, L.; Dostálek, P. Biologically active compounds from hops and prospects for their use. Compr. Rev. Food Sci. Food Saf. 2016, 15, 542–567. [Google Scholar] [CrossRef]
  13. Lermusieau, G.; Liégeois, C.; Collin, S. Reducing power of hop cultivars and beer ageing. Food Chem. 2001, 72, 413–418. [Google Scholar] [CrossRef]
  14. Proestos, C.; Komaitis, M. Antioxidant capacity of hops. In Beer in Health and Disease Prevention; Preedy, V.R., Ed.; Elsevier Inc.: Burlington, MA, USA, 2009; pp. 467–474. [Google Scholar]
  15. Villalobos-Delgado, L.H.; Caro, I.; Blanco, C.; Bodas, R.; Andrés, S.; Giráldez, F.J.; Mateo, J. Effect of the addition of hop (infusion or powder) on the oxidative stability of lean lamb patties during storage. Small Rumin. Res. 2015, 125, 73–80. [Google Scholar] [CrossRef]
  16. Hanczakowska, E.; Swiątkiewicz, M. The effect of lemon balm (Melissa officinalis L.) or hop (Humulus lupulus L.) extracts on pig meat quality. Anim. Sci. 2006, 1, 168–169. [Google Scholar]
  17. Sbardella, M.; Racanicci, A.M.C.; Gois, F.D.; de Lima, C.B.; Migotto, D.L.; Costa, L.B.; Miyada, V.S. Effects of dietary hop (Humulus lupulus L.) β-acids on quality attributes, composition and oxidative stability of pork meat. J. Sci. Food Agric. 2017, 98, 2385–2392. [Google Scholar] [CrossRef]
  18. Blanco, C.; Bodas, R.; Morán, L.; Mateo, J.; Andrés, S.; Giráldez, F.J. Effect of hop (Humulus lupulus L.) inclusion in the diet for fattening lambs on animal performance, ruminal characteristics and meat quality. Food Res. Int. 2018, 108, 42–47. [Google Scholar] [CrossRef]
  19. Rezar, V.; Levart., A.; Salobir, J. Effect of hop cone supplementation on oxidative stress and oxidative stability of fresh and stored meat in broilers. In Proceedings of the Full Papers of the 20th European Symposium on Poultry Nutrition (ESPN), Prague, Czech Republic, 24–27 August 2015; pp. 440–442. [Google Scholar]
  20. Uradni list RS, št. 38/13. Zakon o zaščiti živali of 3. May 2013, pp. 440–442. Available online: https://www.uradni-list.si/glasilo-uradni-list-rs/vsebina/2013-01-1457/zakon-o-zasciti-zivali-uradno-precisceno-besedilo-zzziv-upb3?h=zakon%20o%20za%C5%A1%C4%8Diti%20%C5%BEivali (accessed on 5 April 2015).
  21. Uradni list RS, št. 51/10. Pravilnik o zaščiti rejnih živali of 28. June 2010, pp. 7592–7603. Available online: https://www.uradni-list.si/glasilo-uradni-list-rs/vsebina?urlid=201051&stevilka=2767 (accessed on 5 April 2015).
  22. Uradni list RS, št. 70/10. Pravilnik o spremembah Pravilnika o zaščiti rejnih živali of 3. September 2010, p. 10422. Available online: https://www.uradni-list.si/glasilo-uradni-list-rs/vsebina/2010-01-3826?sop=2010-01-3826 (accessed on 5 April 2015).
  23. OJ EU L276 2010. Directive 2010/63/EU of the European Parliament and of the Council of 22 September 2010 on the Protection of Animals Used for Scientific Purposes. pp. 33–79. Available online: https://eur-lex.europa.eu/legal-content/EN/TXT/PDF/?uri=CELEX:32010L0063&from=EN (accessed on 5 April 2015).
  24. OJ EU L268 2003. Regulation (EC) No 1831/2003 of the European Parliament and of the Council of 22 September 2003 on Additives for Use in Animal Nutrition. pp. 29–43. Available online: https://eur-lex.europa.eu/legal-content/EN/TXT/PDF/?uri=CELEX:32003R1831&from=EN (accessed on 5 April 2015).
  25. OJ EU L56/28 2008. Commission Decision of 18 February 2008 Amending Decision 2005/879/EC Authorising Methods for Grading Pig Carcasses in Slovenia. pp. 28–30. Available online: https://eur-lex.europa.eu/legal-content/EN/TXT/PDF/?uri=CELEX:32008D0167&rid=7 (accessed on 5 April 2015).
  26. Christensen, L.B. Drip loss sampling in porcine m. longissimus dorsi. Meat Sci. 2003, 63, 469–477. [Google Scholar] [CrossRef]
  27. Batorek, N.; Škrlep, M.; Prunier, A.; Louveau, I.; Noblet, J.; Bonneau, M.; Čandek-Potokar, M. Effect of feed restriction on hormones, performance, carcass traits, and meat quality in immunocastrated pigs. J. Anim. Sci. 2012, 90, 4593–4603. [Google Scholar] [CrossRef]
  28. Škrlep, M.; Čandek-Potokar, M.; Žlender, B.; Robert, N.; Santé-Lhoutellier, V.; Gou, P. PRKAG3 and CAST genetic polymorphisms and quality traits of dry-cured hams-III. Associations in Slovenian dry-cured ham Kraški pršut and their dependence on processing. Meat Sci. 2012, 92, 360–365. [Google Scholar] [CrossRef]
  29. Pietrzak, M.; Greaser, M.L.; Sosnicki, A.A. Effect of rapid rigor mortis processes on protein functionality in pectoralis major muscle of domestic turkeys. J. Anim. Sci. 1997, 75, 2106–2116. [Google Scholar] [CrossRef] [PubMed]
  30. Oliver, C.N.; Ahn, B.W.; Moerman, E.J.; Goldstein, S.; Stadtman, E.R. Age related changes in oxidized proteins. J. Biol. Chem. 1987, 262, 5488–5491. [Google Scholar] [PubMed]
  31. Mercier, Y.; Gatellier, P.; Viau, M.; Remignon, H.; Renerre, M. Effect of dietary fat and vitamin E on colour stability and on lipid and protein oxidation in turkey meat during storage. Meat Sci. 1998, 48, 301–318. [Google Scholar] [CrossRef]
  32. Lynch, S.M.; Frei, B. Mechanisms of copper-dependent and iron-dependent oxidative modification of human low-density-lipoprotein. J. Lipid Res. 1993, 34, 1745–1753. [Google Scholar]
  33. Prevolnik, M.; Škrlep, M.; Brus, M.; Pugliese, C.; Čandek-Potokar, M.; Škorjanc, D. Supplementing pig diet with 0.2% sweet chestnut (Castanea sativa Mill.) wood extract had no effect on growth, carcass or meat quality. Acta Agric. Slov. 2012, 3, 83–88. [Google Scholar]
  34. Antongiovanni, M.; Minieri, S.; Petacchi, F. Effect of tannin supplementation on nitrogen digestibility and retention in growing pigs. Ital. J. Anim. Sci. 2007, 6, 245–247. [Google Scholar] [CrossRef]
  35. Galassi, G.; Mason, F.; Rapetti, L.; Crovetto, G.M.; Spanghero, M. Digestibility and metabolic utilisation of diets containing chestnut tannins and their effects on growth and slaughter traits of heavy pigs. Ital. J. Anim. Sci. 2019, 18, 746–753. [Google Scholar] [CrossRef]
  36. Čandek-Potokar, M.; Škrlep, M.; Batorek Lukač, N.; Zamaratskaia, G.; Prevolnik Povše, M.; Velikonja Bolta, Š.; Kubale, V.; Bee, G. Hydrolysable tannin fed to entire male pigs affects intestinal production, tissue deposition and hepatic clearance of skatole. Vet. J. 2015, 204, 162–167. [Google Scholar] [CrossRef]
  37. Tretola, M.; Maghin, F.; Silacci, P.; Ampuero, S.; Bee, G. Effect of supplementing hydrolysable tannins to a grower–finisher diet containing divergent PUFA levels on growth performance, boar taint levels in back fat and intestinal microbiota of entire males. Animals 2019, 9, 1063. [Google Scholar] [CrossRef]
  38. Joo, Y.H.; Choi, I.H.; Kim, D.H.; Lee, H.J.; Amanullah, S.M.; Yang, H.S.; Kim, S.C. Effects of chestnut (Castanea sativa) meal supplementation on growth performance, carcass characteristics, and meat quality of pigs. R. Bras. Zootec. 2018, 47, e20170168. [Google Scholar] [CrossRef]
  39. Hanczakowska, E.; Swiątkiewicz, M.; Grela, E.R. Effect of dietary supplement of herbal extract from hop (Humulus lupulus) on pig performance and meat quality. Czech J. Anim. Sci. 2017, 62, 287–295. [Google Scholar] [CrossRef]
  40. Fiesel, A.; Gessner, D.K.; Most, E.; Eder, K. Effects of dietary polyphenol-rich plant products from grape or hop on pro-inflammatory gene expression in the intestine, nutrient digestibility and faecal microbiota of weaned pigs. BMC Vet. Res. 2014, 10, 196. [Google Scholar] [CrossRef] [PubMed]
  41. Sbardella, M.; Perina, D.P.; Andrade, C.; Santos, C.B.; Cairo, P.L.G.; Marques, E.L.S.; Rezende, R.P.; Costa, L.B.; Miyada, V.S. Effects of dietary hop β-acids or colistin on the performance, nutrient digestibility, and intestinal health of weanling pigs. Anim. Feed Sci. Technol. 2016, 217, 67–75. [Google Scholar] [CrossRef]
  42. Cornelison, J.M.; Yan, F.; Watkins, S.E.; Rigby, L.; Segal, J.B.; Waldroup, P.W. Evaluation of hops (Humulus lupulus) as an antimicrobial in broiler diets. Int. J. Poult. Sci. 2006, 5, 134–136. [Google Scholar]
  43. Bozkurt, M.; Küçükyılmaz, K.; Çatlı, A.U.; Çınar, M. Effect of dietary mannan oligosaccharide with or without oregano essential oil and hop extract supplementation on the performance and slaughter characteristics of male broilers. S. Afr. J. Anim. Sci. 2009, 39, 223–232. [Google Scholar] [CrossRef]
  44. Wang, Y.; Chaves, A.V.; Rigby, F.L.; He, M.L.; McAllister, T.A. Effects of hops on ruminal fermentation, growth, carcass traits and shedding of Escherichia coli of feedlot cattle. Livest. Sci. 2010, 129, 135–140. [Google Scholar] [CrossRef]
  45. Axman, J.E. Effects of Hops β-acid Extract (Humulus lupulus L.) on Cattle Performance and Fermentation by Ruminal Microbes. Master Thesis, Kansas State University, Manhattan, KS, USA, 2015. [Google Scholar]
  46. Pugliese, C.; Sirtori, F.; Acciaioli, A.; Bozzi, R.; Campodoni, G.; Franci, O. Quality of fresh and seasoned fat of Cinta Senese pigs as affected by fattening with chestnut. Meat Sci. 2013, 93, 92–97. [Google Scholar] [CrossRef]
  47. Bee, G.; Silacci, P.; Ampuero-Kragten, S.; Čandek-Potokar, M.; Wealleans, A.L.; Litten-Brown, J.; Salminen, J.-P.; Mueller-Harvey, I. Hydrolysable tannin-based diet rich in gallotannins has a minimal impact on pig performance but significantly reduces salivary and bulbourethral gland size. Animal 2017, 11, 1617–1625. [Google Scholar] [CrossRef]
  48. Dall’Olio, S.; Aboagye, G.; Nanni Costa, L.; Gallo, M.; Fontanesi, L. Effects of 17 performance, carcass and raw ham quality parameters on ham weight loss at first salting in heavy pigs, a meat quality indicator for the production of high quality dry-cured hams. Meat Sci. 2020, 162, 108012. [Google Scholar] [CrossRef]
  49. Traore, S.; Aubry, L.; Gatellier, P.; Przybylski, W.; Jaworska, D.; Kajak-Siemaszko, K.; Santé-Lhoutellier, V. Effect of heat treatment on protein oxidation in pig meat. Meat Sci. 2012, 91, 14–21. [Google Scholar] [CrossRef]
  50. Joo, S.T.; Kauffman, R.G.; Kim, B.C.; Park, G.B. The relationship of sarcoplasmic and myofibrillar protein solubility to colour and water-holding capacity in porcine longissimus muscle. Meat Sci. 1999, 52, 291–297. [Google Scholar] [CrossRef]
  51. Schiavone, A.; Guo, K.; Tassone, S.; Gasco, L.; Hernandez, E.; Denti, R.; Zoccarato, I. Effects of a natural extract of chestnut wood on digestibility, performance traits, and nitrogen balance of broiler chicks. Poult. Sci. 2008, 87, 521–527. [Google Scholar] [CrossRef] [PubMed]
  52. Zawadzki, A.; Alloo, C.; Grossi, A.B.; do Nascimento, E.S.P.; Almeida, L.C.; Bogusz Junior, S.; Skibsted, L.H.; Cardoso, D.R. Effect of hop β-acids as dietary supplement for broiler chickens on meat composition and redox stability. Food Res. Int. 2018, 105, 210–220. [Google Scholar] [CrossRef] [PubMed]
  53. Lorenzo, J.M.; González-Rodríguez, R.M.; Sánchez, M.; Amado, I.R.; Franco, D. Effects of natural (grape seed and chestnut extract) and synthetic antioxidants (buthylatedhydroxytoluene, BHT) on the physical, chemical, microbiological and sensory characteristics of dry cured sausage “chorizo”. Food Res. Int. 2013, 54, 611–620. [Google Scholar] [CrossRef]
  54. Sirtori, F.; Pugliese, C.; Meo Zilio, D.; Campodoni, G.; Pianaccioli, L.; Bonelli, A. Characteristics of cured lard of Cinta Senese pig fed acorn and chestnut. Ital. J. Anim. Sci. 2005, 4, 467–469. [Google Scholar] [CrossRef]
  55. Pugliese, C.; Sirtori, F.; Ruiz, J.; Martin, D.; Parenti, S.; Franci, O. Effect of pasture on chestnut or acorn on fatty acid composition and aromatic profile of fat of Cinta Senese dry-cured ham. Grasas y Aceites 2009, 60, 271–276. [Google Scholar] [CrossRef]
  56. Pugliese, C.; Sirtori, F.; D’Adorante, S.; Parenti, S.; Rey, A.; Lopez-Bote, C.; Franci, O. Effect of pasture in oak and chestnut groves on chemical and sensorial traits of cured lard of Cinta Senese pigs. Ital. J. Anim. Sci. 2009, 8, 131–142. [Google Scholar] [CrossRef]
  57. Gómez, M.; Fonseca, S.; Cachaldora, A.; Carballo, J.; Franco, I. Effect of chestnuts intake by Celta pigs on lipolytic, oxidative and fatty acid profile changes during ripening and vacuum-packed storage of Galician “chorizo”. J. Food Compost. Anal. 2017, 56, 73–83. [Google Scholar] [CrossRef]
  58. Møller, J.K.S.; Jakobsen, M.; Weber, C.J.; Martinussen, T.; Skibsted, L.H.; Bertelsen, G. Optimisation of colour stability of cured ham during packaging and retail display by a multifactorial design. Meat Sci. 2003, 63, 169–175. [Google Scholar] [CrossRef]
  59. Resurreccion, A.V.A. Sensory aspects of consumer choices for meat and meat products. Meat Sci. 2003, 66, 11–20. [Google Scholar] [CrossRef]
  60. Cava, R.; Tárrega, R.; Ramírez, R.; Carrasco, J.A. Decolouration and lipid oxidation changes of vacuum-packed Iberian dry-cured loin treated with E-beam irradiation (5 kGy and 10 kGy) during refrigerated storage. Innov. Food Sci. Emerg. Technol. 2009, 10, 495–499. [Google Scholar] [CrossRef]
  61. Adamsen, C.E.; Møller, J.K.S.; Hismani, R.; Skibsted, L.H. Thermal and photochemical degradation of myoglobin pigments in relation to colour stability of sliced dry-cured Parma ham and sliced dry-cured ham produced with nitrite salt. Eur. Food Res. Technol. 2004, 218, 403–409. [Google Scholar] [CrossRef]
  62. Fuentes, V.; Utrera, M.; Estévez, M.; Ventanas, J.; Ventanas, S. Impact of high pressure treatment and intramuscular fat content on colour changes and protein and lipid oxidation in sliced and vacuum-packaged Iberian dry-cured ham. Meat Sci. 2014, 97, 468–474. [Google Scholar] [CrossRef]
  63. Ruiz, J.; García, C.; Muriel, E.; Andrés, A.I.; Ventanas, J. Influence of sensory characteristics on the acceptability of dry-cured ham. Meat Sci. 2002, 61, 347–354. [Google Scholar] [CrossRef]
  64. Lindahl, G.; Lundström, K.; Tornberg, E. Contribution of pigment content, myoglobin forms and internal reflectance to the colour of pork loin and ham from pure breed pigs. Meat Sci. 2001, 59, 141–151. [Google Scholar] [CrossRef]

Article Metrics

Citations

Article Access Statistics

Multiple requests from the same IP address are counted as one view.