Noise Prediction Using Machine Learning with Measurements Analysis
Abstract
1. Introduction
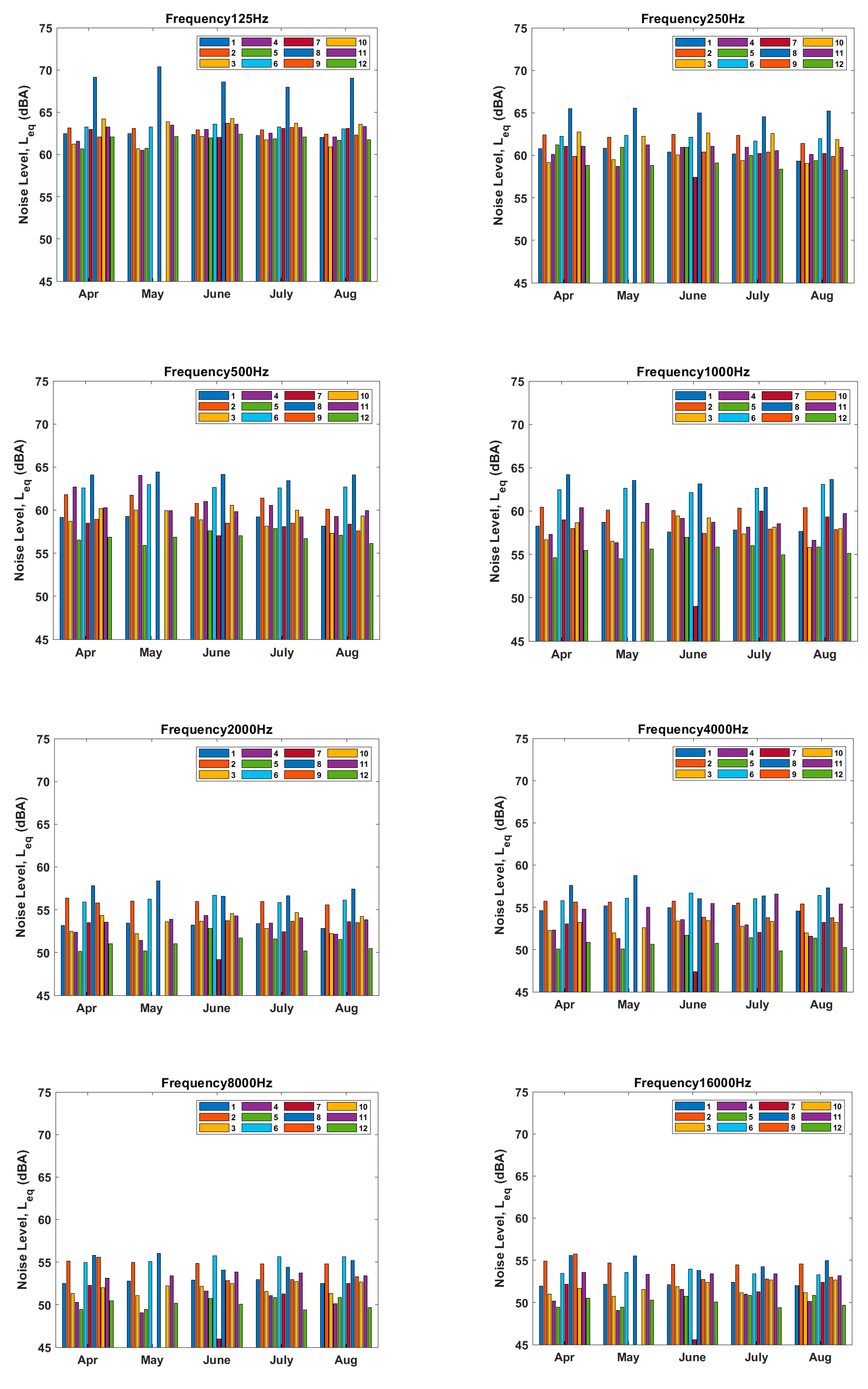
- According to the data provided by the National Synchrotron Radiation Research Center (NSRRC), we performed daily and monthly statistical analyses on the noise data of 12 sensors at different frequencies. Once collected, the data were cleaned to derive useful information and analyze the data distribution.
- We derived and extracted the features from the data analysis. We identified the frequency, time, and eight sensors from related history features, and then input a harmful frequency and the noisiest dBA sensor as extracted features.
- We extracted the Leq historical features and time-related features from 80% of the data inputted to the machine learning model for training; the data for the remaining 20% was used for testing.
2. Materials
2.1. Information Introduction and Data Analysis
2.2. Methods
2.2.1. Feature Extraction
2.2.2. Machine Learning Model
| Algorithm 1. GBM |
| Input: 1: 2: 3: M: Iteration times 4: N: Number of data sets Output: F() = 5: For m = 1 to M 6: 7: 8: 9: end |
3. Results and Discussion
4. Conclusions
Author Contributions
Funding
Acknowledgments
Conflicts of Interest
Appendix A

Appendix B

Appendix C

References
- Goines, L.; Hagler, L. Noise pollution: A modern plague. South. Med. J. 2007, 100, 287–294. [Google Scholar] [CrossRef]
- Pirrera, S.; Valck, E.D.; Cluydts, R. Nocturnal road traffic noise: A review on its assessment and consequences on sleep and health. Environ. Int. 2010, 36, 492–498. [Google Scholar] [CrossRef] [PubMed]
- Effects of Noise on Health. Available online: https://ncs.epa.gov.tw/noise/B-04-01.html (accessed on 25 May 2020).
- Shen, D.H.; Wu, C.M.; Du, J.C. Application of grey model to predict acoustical properties and tire/road noise on asphalt pavement. In Proceedings of the 2006 IEEE Intelligent Transportation Systems Conference, Toronto, ON, Canada, 17–20 September 2006; pp. 175–180. [Google Scholar]
- Cheng, Y.; Ying, C. Simplifying prediction method for traffic noise based on FHWA traffic noise model. In Proceedings of the 2011 International Symposium on Water Resource and Environmental Protection, Xi’an, China, 20–22 May 2011; pp. 2665–2667. [Google Scholar]
- Zhang, R.; Wang, H.I. Nonlinear prediction of gross industrial output time series by Gradient Boosting. In Proceedings of the 2011 IEEE 18th International Conference on Industrial Engineering and Engineering Management, Changchun, China, 3–5 September 2011; pp. 153–156. [Google Scholar]
- Sangani, D.; Erickson, K.; Hasan, M.A. Predicting Zillow estimation error using linear regression and gradient boosting. In Proceedings of the 2017 IEEE 14th International Conference on Mobile Ad Hoc and Sensor Systems (MASS), Orlando, FL, USA, 22–25 October 2017; pp. 530–534. [Google Scholar]
- Lee, M.; Lin, L.; Chen, C.Y.; Tsao, Y.; Yao, T.H.; Fei, M.H.; Fang, S.H. Forecasting Air Quality in Taiwan by Using Machine Learning. Sci. Rep. 2020, 10, 4153. [Google Scholar] [CrossRef] [PubMed]
- Friedman, J.H. Greedy function approximation: A gradient boosting machine. Ann. Stat. 2001, 29, 1189–1232. [Google Scholar] [CrossRef]
- Islam, S.; Kalita, K. Assessment of traffic noise in Guwahati city, India. Int. Res. J. Eng. Technol. 2017, 4, 3335–3339. [Google Scholar]
- Benocci, R.; Bellucci, P.; Peruzzi, L.; Bisceglie, A.; Angelini, F.; Confalonieri, C.; Zambon, G. Dynamic noise mapping in the Suburban area of Rome (Italy). Environments 2019, 6, 79. [Google Scholar] [CrossRef]
- Garcia, J.S.; Solano, J.J.P.; Serrano, M.C.; Camba, E.A.N.; Castell, S.F.; Asensi, A.S.; Suay, F.M. Spatial statistical analysis of urban noise data from a WASN gathered by an IoT system: Application to a small city. Appl. Sci. 2016, 6, 380. [Google Scholar] [CrossRef]
- Chang, T.Y.; Beelen, R.; Li, S.F.; Chen, T.I.; Lin, Y.J.; Bao, B.Y.; Liu, C.S. Road traffic noise frequency and prevalent hypertension in Taichung, Taiwan: A cross-sectional study. Environ. Health 2014, 13, 37. [Google Scholar] [CrossRef]
- Subramaniam, M.; Hassan, M.Z.; Sadali, M.F.; Ibrahim, I.; Daud, M.Y.; Aziz, S.A.; Samsudin, N.; Sarip, S. Evaluation and analysis of noise pollution in the manufacturing industry. J. Phys. Conf. Ser. 2019, 1150, 012019. [Google Scholar] [CrossRef]
- Baliatsas, C.; Kamp, I.V.; Poll, R.V.; Yzermans, J. Health effects from low-frequency noise and infrasound in the general population: Is it time to listen? A systematic review of observational studies. Sci. Total Environ. 2016, 557–558, 163–169. [Google Scholar] [CrossRef]
- Lee, H.P.; Wang, Z.; Lim, K.M. Assessment of noise from equipment and processes at construction sites. Build. Acoust. 2017, 24, 21–34. [Google Scholar] [CrossRef]
- Reybrouck, M.; Podlipniak, P.; Welch, D. Music and Noise: Same or Different? What Our Body Tells Us. Front. Psychol. 2019, 10, 1153. [Google Scholar] [CrossRef] [PubMed]
- Liu, C.; Ding, D.; Zhu, Y.; Wang, H.; Cheng, X.; Zhao, Z.; Cao, J.; Zhai, S.; Yu, N. Auditory characteristics of noise-exposed memberscrossing age-related groups. J. Otol. 2018, 13, 75–79. [Google Scholar]
- Fang, S.H.; Chang, W.H.; Tsao, Y.; Shih, H.C.; Wang, C. Channel State Reconstruction Using Multilevel Discrete Wavelet Transform for Improved Fingerprinting-Based Indoor Localization. IEEE Sens. J. 2016, 16, 7784–7791. [Google Scholar] [CrossRef]
- Fang, S.H.; Yang, Y.H.S. The Impact of Weather Condition on Radio-based Distance Estimation: A Case Study in GSM Networks with Mobile Measurements. IEEE Trans. Veh. Technol. 2016, 65, 6444–6453. [Google Scholar] [CrossRef]
- Cheng, J.; Li, G.; Chen, X. Research on Travel Time Prediction Model of Freeway Based on Gradient Boosting Decision Tree. IEEE Access 2019, 7, 7466–7480. [Google Scholar] [CrossRef]
- Zheng, H.; Wu, Y. A XGBoost Model with Weather Similarity Analysis and Feature Engineering for Short-Term Wind Power Forecasting. Appl. Sci. 2019, 9, 3019. [Google Scholar] [CrossRef]
- Iskandaryan, D.; Ramos, F.; Trilles, S. Air Quality Prediction in Smart Cities Using Machine Learning Technologies Based on Sensor Data: A Review. Appl. Sci. 2020, 10, 2401. [Google Scholar] [CrossRef]
- Wu, W.; Jiang, S.; Liu, R.; Jin, W.; Ma, C. Economic development, demographic characteristics, road network and traffic accidents in Zhongshan, China: Gradient boosting decision tree model. Transp. A Transp. Sci. 2020, 16, 359–387. [Google Scholar] [CrossRef]
- Grosveld, F.W. Prediction of Broadband Noise from Horizontal Axis Wind Turbines. J. Propuls. 1984, 1, 292–299. [Google Scholar] [CrossRef]
- Kalapanidas, E.; Avouris, N.; Craciun, M.; Neagu, D. Machine Learning algorithms: A study on noise sensitivity. In Proceedings of the 1st Balkan Conference in Informatics, Thessaloniki, Greece, 21–23 November 2003; pp. 356–365. [Google Scholar]
- White, G.C.; Bennetts, R.E. Analysis of frequency count data using the negative binomial distribution. Ecology 1996, 77, 2549–2557. [Google Scholar] [CrossRef]
- Matheson, I.B.C. A critical comparison of least absolute deviation fitting (robust) and least squares fitting: The importance of error distributions. Comput. Chem. 1990, 14, 49–57. [Google Scholar] [CrossRef]
- Buckley, J.; James, L. Linear regression with censored data. Biometrika 1979, 66, 429–436. [Google Scholar] [CrossRef]
- Nagelkerke, N.J.D. A note on a general definition of the coefficient of determination. Biometrika 1991, 78, 691–692. [Google Scholar] [CrossRef]
- Willmott, C.J.; Matsuura, K. Advantages of the mean absolute error (MAE) over the root mean square error (RMSE) in assessing average model performance. Clim. Res. 2005, 30, 79–82. [Google Scholar] [CrossRef]

















| Input Feature (21-Dimensional) | |||
|---|---|---|---|
| History feature | previous 1 min of sensor * 8 | previous 2 min of sensor * 8 | 16 |
| Time feature | Which day in a week, Which hour in a day, Holiday or not, Saturday or not, Sunday or not. | 5 | |
| Frequency (Hz) | 125 | 250 | 500 | 1k | 2k | 4k | 8k | 16k |
|---|---|---|---|---|---|---|---|---|
| Sensor1 () | ||||||||
| Sensor2 () | ★ | ★ | ||||||
| Sensor3 () | ★ | ★ | ★ | ★ | ★ | ★ | ||
| Sensor4 () | ★ | ★ | ||||||
| Sensor5 () | ||||||||
| Sensor6 () | ★ | ★ | ||||||
| Sensor7 () | ★ | ★ | ★ | ★ | ||||
| Sensor 8 () | ★ | ★ | ||||||
| Sensor9 () | ||||||||
| Sensor10 () | ★ | ★ | ★ | ★ | ||||
| Sensor11 () | ★ | |||||||
| Sensor12 () |
© 2020 by the authors. Licensee MDPI, Basel, Switzerland. This article is an open access article distributed under the terms and conditions of the Creative Commons Attribution (CC BY) license (http://creativecommons.org/licenses/by/4.0/).
Share and Cite
Wen, P.-J.; Huang, C. Noise Prediction Using Machine Learning with Measurements Analysis. Appl. Sci. 2020, 10, 6619. https://doi.org/10.3390/app10186619
Wen P-J, Huang C. Noise Prediction Using Machine Learning with Measurements Analysis. Applied Sciences. 2020; 10(18):6619. https://doi.org/10.3390/app10186619
Chicago/Turabian StyleWen, Po-Jiun, and Chihpin Huang. 2020. "Noise Prediction Using Machine Learning with Measurements Analysis" Applied Sciences 10, no. 18: 6619. https://doi.org/10.3390/app10186619
APA StyleWen, P.-J., & Huang, C. (2020). Noise Prediction Using Machine Learning with Measurements Analysis. Applied Sciences, 10(18), 6619. https://doi.org/10.3390/app10186619
