Luminous and Melanopic Efficiency Performance of Phosphor-Converted LEDs with Tunable Spectral Characteristics
Abstract
:1. Introduction
2. Methods
2.1. Constructions of PC LED Spectra
2.2. Luminous and Melanopic Properties of PC LEDs
3. Results
3.1. Investigated Practical PC LEDs and Extracted Spectral Characteristics
3.2. Luminous and Melanopic Efficiency Performance with Tunable Peak Wavelength, FWHM, and Emission Intensity
3.3. Spectral Composition Strategies with Tunable Spectral Characteristics
4. Discussion
5. Conclusions
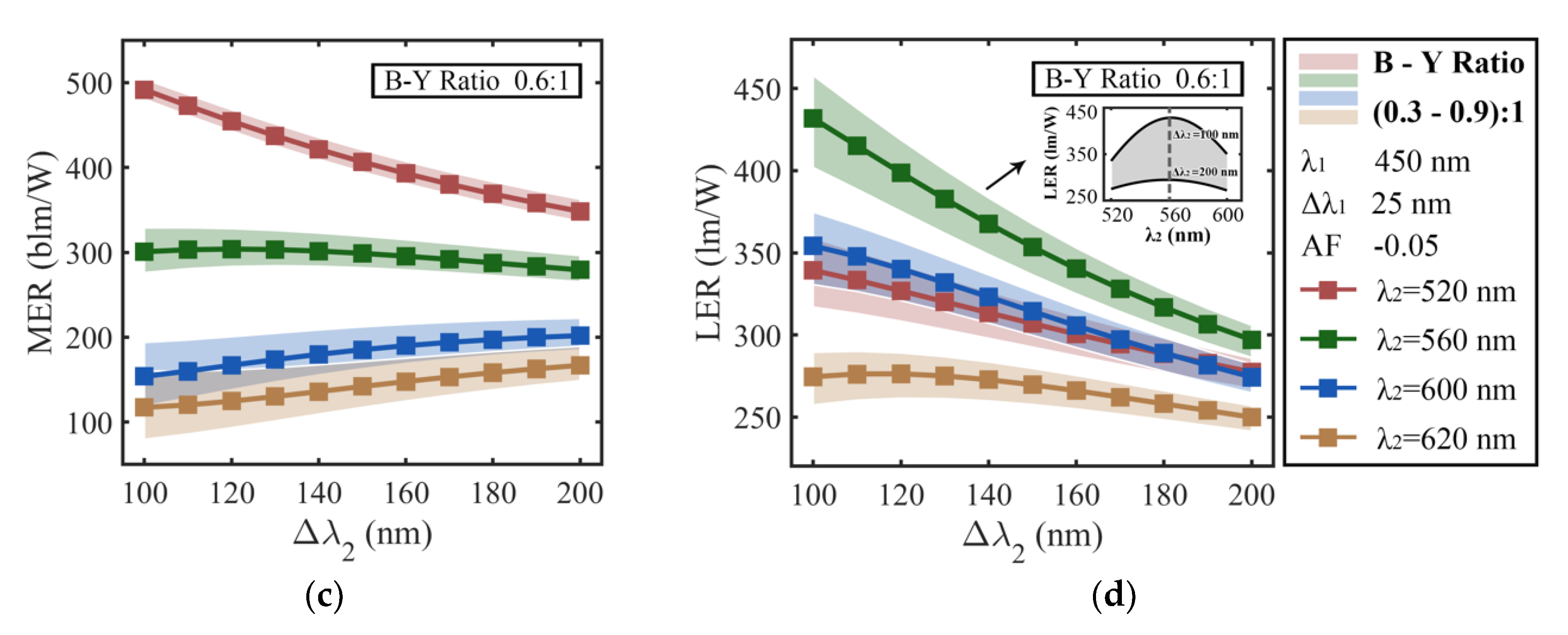
- Both MER and LER are approximately linear with the FWHM of phosphor within the peak wavelength range of phosphor in practical use. LER linearly decreases with the FWHM of phosphor, whereas MER linearly decreases only at shorter peak wavelengths. Adjusting the intensity ratio of the blue LED has less impact on LER and MER than the other two characteristics do, especially at the shorter peak wavelength of phosphor. Therefore, a single characteristic can play a different role in different spectral combinations.
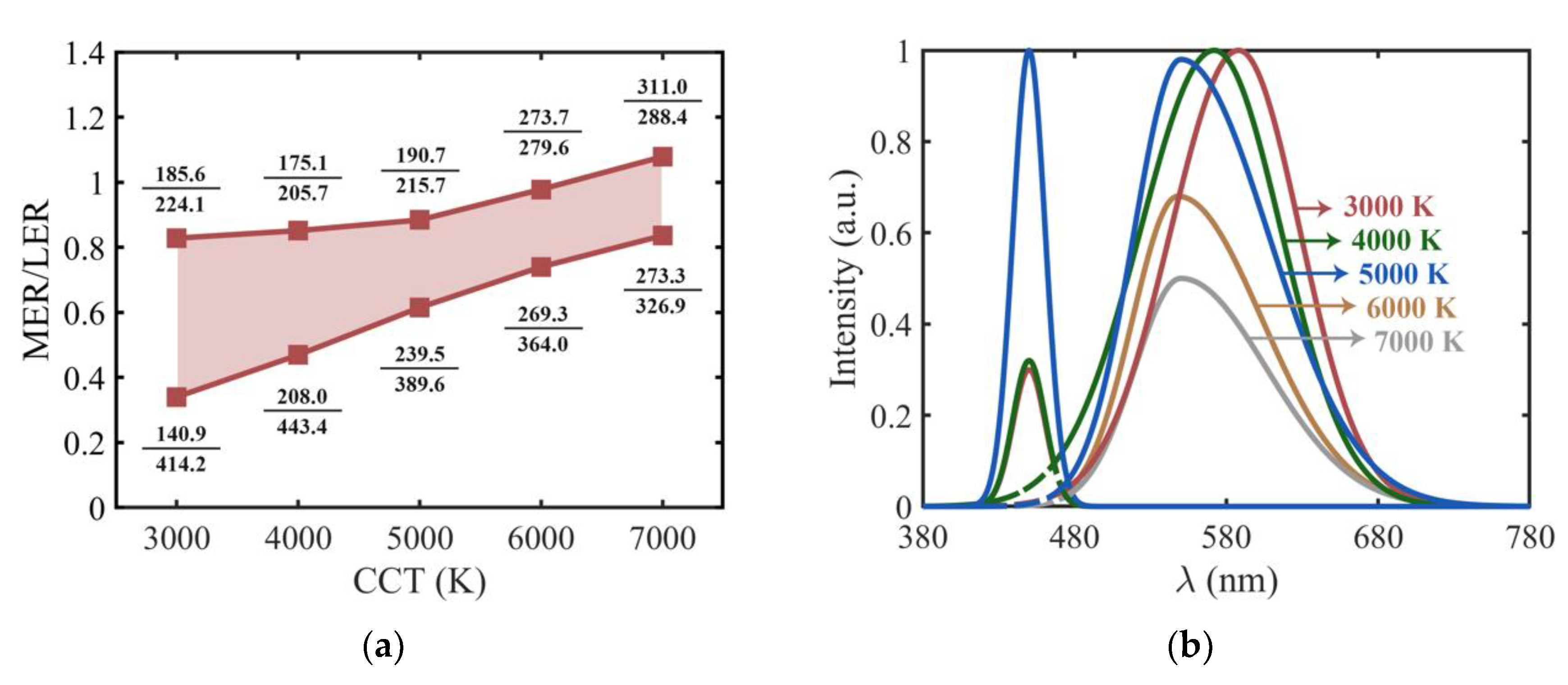
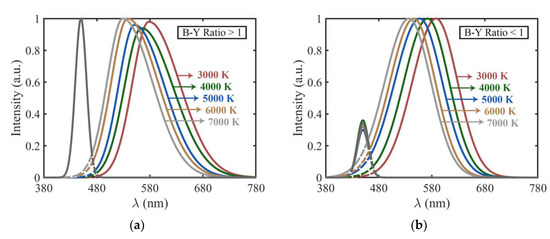
- LER reaches the maximum at a peak wavelength of phosphor of 545 nm for B:Y ratio > 1 and 560 nm for B:Y ratio > 1, respectively. Nevertheless, when maximizing LER at each CCT, the variation of CCT relies more on the change in the peak wavelength of phosphor. Lowering the FWHM of phosphor and the intensity distribution of the blue LED mainly helps to obtain higher LER at each CCT. However, the excessive reduction of blue light intensity is accompanied by a decline in color rendering.
- The values of MER under LER-maximizing and MER-maximizing strategies are quite close and both increase with CCT, which suggests that a decrease in MER necessarily leads to a decrease in LER, especially at higher CCTs. Hence, neither simply maximizing LER nor minimizing MER in spectrum tuning can efficiently reduce the circadian effect.
- Different optimization strategies correspond to various combinations of spectral characteristics, even at the same CCT. The spectral composition of maximizing LER with lower blue LED contribution is viable only at lower CCTs. As CCT increases, it is confronted with the trade-off between luminous efficiency, circadian effect, and color rendering. In this case, improving the blue light intensity is more appropriate for less loss of color rendering. Meanwhile, tuning the peak wavelength of phosphor close to the peak of LER and decreasing the FWHM of phosphor may still be a solution to help maintain luminous efficiency and lower the circadian effect, though the loss of LER is inevitable in the trade-off at higher CCTs.
Author Contributions
Funding
Acknowledgments
Conflicts of Interest
References
- Chhajed, S.; Xi, Y.; Li, Y.-L.; Gessmann, T.; Schubert, E.F. Influence of junction temperature on chromaticity and color-rendering properties of trichromatic white-light sources based on light-emitting diodes. J. Appl. Phys. 2005, 97, 054506. [Google Scholar] [CrossRef]
- Song, B.; Han, B. Spectral power distribution deconvolution scheme for phosphor-converted white light-emitting diode using multiple Gaussian functions. Appl. Opt. 2013, 52, 1016. [Google Scholar] [CrossRef] [PubMed]
- Qian, C.; Fan, J.; Fan, X.; Zhang, G. Prediction of Lumen Depreciation and Color Shift for Phosphor-Converted White Light-Emitting Diodes Based on A Spectral Power Distribution Analysis Method. IEEE Access 2017, 5, 24054–24061. [Google Scholar] [CrossRef]
- He, G.; Yan, H. Optimal spectra of the phosphor-coated white LEDs with excellent color rendering property and high luminous efficacy of radiation. Opt. Express 2011, 19, 2519. [Google Scholar] [CrossRef] [PubMed]
- Yang, W.; He, G. A Mathematical Model for Spectra of Both LEDs and Phosphors. Appl. LASER 2012, 32, 532–537. [Google Scholar] [CrossRef]
- Zheng, R. Luminous efficiency and color rendering of white LEDs. J. Light Visiual Environ. 2008, 32, 180–183. [Google Scholar]
- Xu, M.; Zhang, H.; Zhou, Q.; Wang, H. Effects of spectral parameters on the light properties of red-green-blue white light-emitting diodes. Appl. Opt. 2016, 55, 4456. [Google Scholar] [CrossRef] [PubMed]
- Žukauskas, A.; Vaicekauskas, R.; Vitta, P.; Zabiliūtė, A.; Petrulis, A.; Shur, M. Color rendition engineering of phosphor-converted light-emitting diodes. Opt. Express 2013, 21, 26642. [Google Scholar] [CrossRef] [PubMed]
- Dai, Q.; Hao, L.; Lin, Y.; Cui, Z. Spectral optimization simulation of white light based on the photopic eye-sensitivity curve. J. Appl. Phys. 2016, 119, 053103. [Google Scholar] [CrossRef]
- Zhang, F.; Xu, H.; Wang, Z. Optimizing spectral compositions of multichannel LED light sources by IES color fidelity index and luminous efficacy of radiation. Appl. Opt. 2017, 56, 1962. [Google Scholar] [CrossRef] [PubMed]
- Enezi, J.A.; Revell, V.; Brown, T.; Wynne, J.; Schlangen, L.; Lucas, R. A “Melanopic” Spectral Efficiency Function Predicts the Sensitivity of Melanopsin Photoreceptors to Polychromatic Lights. J. Biol. Rhythms 2011, 26, 314–323. [Google Scholar] [CrossRef] [PubMed]
- Lucas, R.J.; Peirson, S.N.; Berson, D.M.; Brown, T.M.; Cooper, H.M.; Czeisler, C.A.; Figueiro, M.G.; Gamlin, P.D.; Lockley, S.W.; O’Hagan, J.B.; et al. Measuring and using light in the melanopsin age. Trends Neurosci. 2014, 37, 1–9. [Google Scholar] [CrossRef] [PubMed]
- Santhi, N.; Thorne, H.C.; van der Veen, D.R.; Johnsen, S.; Mills, S.L.; Hommes, V.; Schlangen, L.J.M.; Archer, S.N.; Dijk, D.-J. The spectral composition of evening light and individual differences in the suppression of melatonin and delay of sleep in humans: Artificial evening light suppresses melatonin and delays sleep. J. Pineal Res. 2012, 53, 47–59. [Google Scholar] [CrossRef] [PubMed]
- Dai, Q.; Cai, W.; Shi, W.; Hao, L.; Wei, M. A proposed lighting-design space: Circadian effect versus visual illuminance. Build. Environ. 2017, 122, 287–293. [Google Scholar] [CrossRef]
- Hye Oh, J.; Ji Yang, S.; Rag Do, Y. Healthy, natural, efficient and tunable lighting: Four-package white LEDs for optimizing the circadian effect, color quality and vision performance. Light Sci. Appl. 2014, 3, e141. [Google Scholar] [CrossRef]
- Gall, D.; Bieske, K. Definition and Measurement of Circadian Radiometric Quantities. In Proceedings of the CIE Symposium, Vienna, Austria, 30 September–2 October 2004; pp. 129–132. [Google Scholar]
- Rea, M.; Figueiro, M. Light as a circadian stimulus for architectural lighting. Light. Res. Technol. 2018, 50, 497–510. [Google Scholar] [CrossRef]
- Nowozin, C.; Wahnschaffe, A.; Rodenbeck, A.; de Zeeuw, J.; Hädel, S.; Kozakov, R.; Schöpp, H.; Münch, M.; Kunz, D. Applying Melanopic Lux to Measure Biological Light Effects on Melatonin Suppression and Subjective Sleepiness. Curr. Alzheimer Res. 2017, 14. [Google Scholar] [CrossRef] [PubMed]
- Souman, J.L.; Borra, T.; de Goijer, I.; Schlangen, L.J.M.; Vlaskamp, B.N.S.; Lucassen, M.P. Spectral Tuning of White Light Allows for Strong Reduction in Melatonin Suppression without Changing Illumination Level or Color Temperature. J. Biol. Rhythms 2018, 33, 420–431. [Google Scholar] [CrossRef] [PubMed]
- McCamy, C.S. Correlated color temperature as an explicit function of chromaticity coordinates. Color Res. Appl. 1992, 17, 142–144. [Google Scholar] [CrossRef]
- Circadian Lighting Design|WELL Standard. Available online: https://standard.wellcertified.com/light/circadian-lighting-design (accessed on 2 August 2020).







| B:Y Ratio > 1 | B:Y Ratio < 1 | |||||||||
|---|---|---|---|---|---|---|---|---|---|---|
| CCT (K) | 3000 | 4000 | 5000 | 6000 | 7000 | 3000 | 4000 | 5000 | 6000 | 7000 |
| λ2 (nm) | 578 | 564 | 551 | 538 | 529 | 588 | 575 | 557 | 546 | 537 |
| Δλ2 (nm) | 105 | 108 | 101 | 103 | 100 | 100 | 100 | 105 | 100 | 102 |
| B:Y ratio | 1:0.98 | 1:0.94 | 1:0.96 | 1:1 | 1:1 | 0.3:1 | 0.36:1 | 0.3:1 | 0.32:1 | 0.34:1 |
| MER (blm/W) | 146.9 | 190.4 | 239.4 | 299.1 | 346.5 | 140.8 | 207.9 | 280.6 | 337.8 | 385.0 |
| LER (lm/W) | 331.4 | 362.1 | 389.6 | 390.0 | 382.4 | 414.2 | 443.4 | 444.8 | 439.0 | 412.4 |
| CCT (K) | 3000 | 4000 | 5000 | 6000 | 7000 |
| λ2 (nm) | 588 | 572 | 550 | 548 | 550 |
| Δλ2 (nm) | 100 | 109 | 105 | 100 | 102 |
| B:Y ratio | 0.3:1 | 0.32:1 | 1:0.98 | 1:0.68 | 1:0.5 |
| MER (blm/W) | 140.91 | 214.41 | 243.06 | 269.32 | 278.10 |
| LER (lm/W) | 414.23 | 430.75 | 386.73 | 363.99 | 332.24 |
| MER/LER | 0.34 | 0.50 | 0.63 | 0.74 | 0.84 |
| Ra | 60 | 60 | 60 | 61 | 66 |
© 2020 by the authors. Licensee MDPI, Basel, Switzerland. This article is an open access article distributed under the terms and conditions of the Creative Commons Attribution (CC BY) license (http://creativecommons.org/licenses/by/4.0/).
Share and Cite
Wu, P.; Ju, J.; Yao, Q. Luminous and Melanopic Efficiency Performance of Phosphor-Converted LEDs with Tunable Spectral Characteristics. Appl. Sci. 2020, 10, 6198. https://doi.org/10.3390/app10186198
Wu P, Ju J, Yao Q. Luminous and Melanopic Efficiency Performance of Phosphor-Converted LEDs with Tunable Spectral Characteristics. Applied Sciences. 2020; 10(18):6198. https://doi.org/10.3390/app10186198
Chicago/Turabian StyleWu, Peiyu, Jiaqi Ju, and Qi Yao. 2020. "Luminous and Melanopic Efficiency Performance of Phosphor-Converted LEDs with Tunable Spectral Characteristics" Applied Sciences 10, no. 18: 6198. https://doi.org/10.3390/app10186198
APA StyleWu, P., Ju, J., & Yao, Q. (2020). Luminous and Melanopic Efficiency Performance of Phosphor-Converted LEDs with Tunable Spectral Characteristics. Applied Sciences, 10(18), 6198. https://doi.org/10.3390/app10186198

