Concept for Improved Handling Ensures Effective Contactless Plasma Treatment of Patients with kINPen® MED
Abstract
1. Introduction
2. Materials and Methods
2.1. Plasma Device
2.2. Experimental Setup
2.3. Starch-Potassium Iodide Test
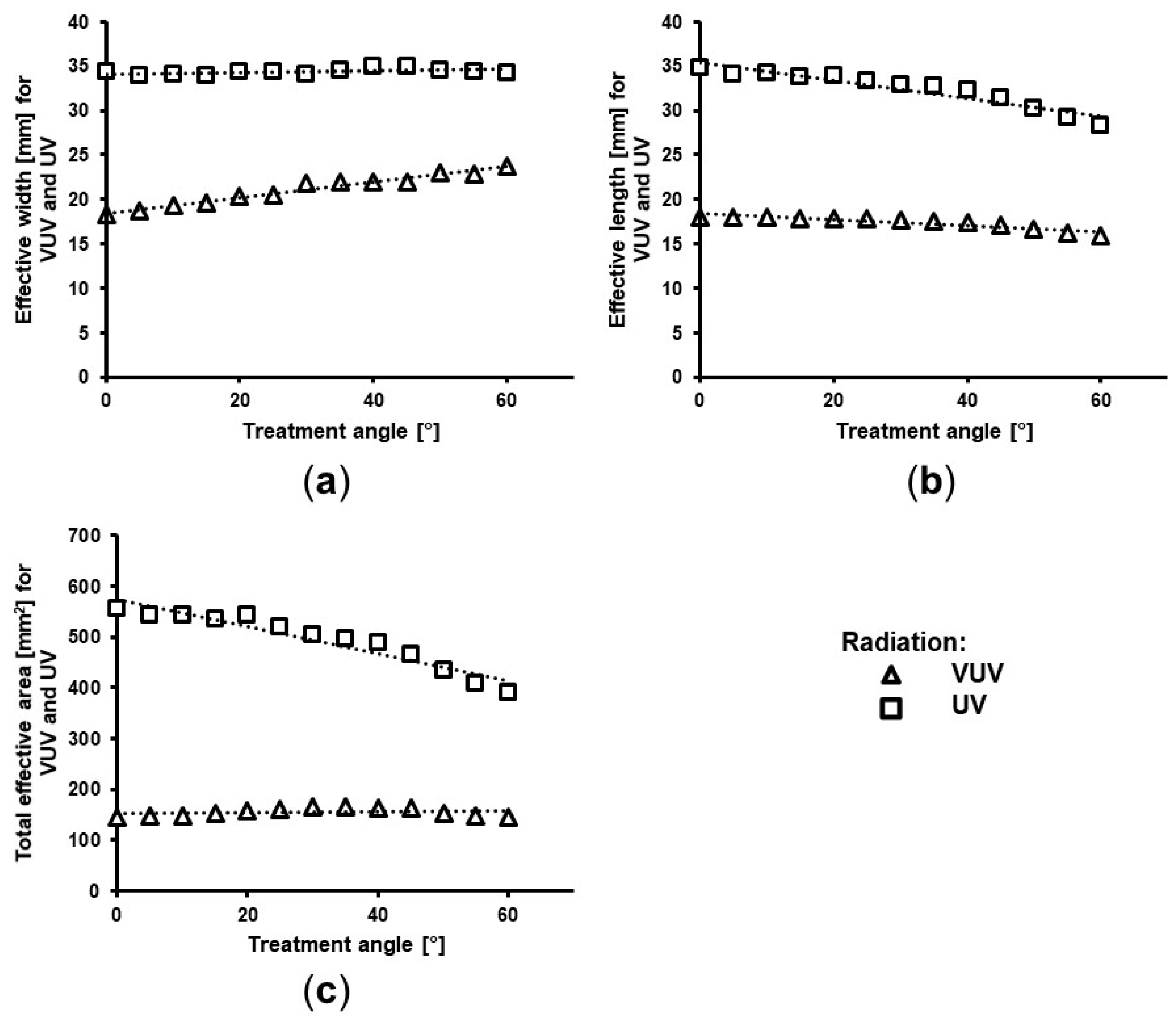
2.4. Ultraviolet (UV) and Vacuum Ultraviolet (VUV) Irradiation Profile Test
2.5. Inhibition Zone Assay
2.6. Evaluation of Effective Area
3. Results
3.1. Concept of Sensors and Illumination
3.2. Determination of the Effective Treatment Area
4. Discussion
5. Conclusions
Author Contributions
Funding
Acknowledgments
Conflicts of Interest
References
- Bekeschus, S.; Schmidt, A.; Weltmann, K.-D.; von Woedtke, T. The plasma jet kINPen—A powerful tool for wound healing. Clin. Plasma Med. 2016, 4, 19–28. [Google Scholar] [CrossRef]
 - Mann, M.S.; Tiede, R.; Gavenis, K.; Daeschlein, G.; Bussiahn, R.; Weltmann, K.-D.; Emmert, S.; von Woedtke, T.; Ahmed, R. Introduction to DIN-specification 91315 based on the characterization of the plasma jet kINPen MED. Clin. Plasma Med. 2016, 4, 35–45. [Google Scholar] [CrossRef]
 - Weltmann, K.-D.; Kindel, E.; Brandenburg, R.; Meyer, C.; Bussiahn, R.; Wilke, C.; von Woedtke, T. Atmospheric Pressure Plasma Jet for Medical Therapy: Plasma Parameters and Risk Estimation. Contrib. Plasma Phys. 2009, 49, 631–640. [Google Scholar] [CrossRef]
 - Gerling, T.; Helmke, A.; Weltmann, K.-D. Relevant Plasma Parameters for Certification. In Comprehensive Clinical Plasma Medicine; Metelmann, H.R., von Woedtke, T., Weltmann, K.-D., Eds.; Springer International Publishing: Basel, Switzerland, 2018; Volume 1, pp. 43–70. [Google Scholar]
 - Reuter, S.; von Woedtke, T.; Weltmann, K.-D. The kINPen—A review on physics and chemistry of the atmospheric pressure plasma jet and its applications. J. Phys. D Appl. Phys. 2018, 51, 233001. [Google Scholar] [CrossRef]
 - Lu, X.; Naidis, G.V.; Laroussi, M.; Reuter, S.; Graves, D.B.; Ostrikov, K. Reactive species in non-equilibrium atmospheric-pressure plasmas: Generation, transport, and biological effects. Phys. Rep. 2016, 630, 1–84. [Google Scholar] [CrossRef]
 - Privat-Maldonado, A.; Schmidt, A.; Lin, A.; Weltmann, K.-D.; Wende, K.; Bogaerts, A.; Bekeschus, S. ROS from Physical Plasmas: Redox Chemistry for Biomedical Therapy. Oxidative Med. Cell. Longev. 2019, 2019, 9062098. [Google Scholar] [CrossRef] [PubMed]
 - Laroussi, M.; Leipold, F. Evaluation of the roles of reactive species, heat, and UV radiation in the inactivation of bacterial cells by air plasmas at atmospheric pressure. Int. J. Mass Spectrom. 2004, 233, 81–86. [Google Scholar] [CrossRef]
 - Jablonowski, H.; von Woedtke, T. Research on plasma medicine-relevant plasma-liquid interaction: What happened in the past five years? Clin. Plasma Med. 2015, 3, 42–52. [Google Scholar] [CrossRef]
 - Daeschlein, G.; Scholz, S.; Arnold, A.; von Podewils, S.; Haase, H.; Emmert, S.; von Woedtke, T.; Weltmann, K.-D.; Jünger, M. In Vitro Susceptibility of Important Skin and Wound Pathogens Against Low Temperature Atmospheric Pressure Plasma Jet (APPJ) and Dielectric Barrier Discharge Plasma (DBD). Plasma Process. Polym. 2012, 9, 380–389. [Google Scholar] [CrossRef]
 - Daeschlein, G.; Napp, M.; von Podewils, S.; Lutze, S.; Emmert, S.; Lange, A.; Klare, I.; Haase, H.; Gümbel, D.; von Woedtke, T.; et al. In Vitro Susceptibility of Multidrug Resistant Skin and Wound Pathogens Against Low Temperature Atmospheric Pressure Plasma Jet (APPJ) and Dielectric Barrier Discharge Plasma (DBD). Plasma Process. Polym. 2014, 11, 175–183. [Google Scholar] [CrossRef]
 - Daeschlein, G.; Scholz, S.; Ahmed, R.; von Woedtke, T.; Haase, H.; Niggemeier, M.; Kindel, E.; Brandenburg, R.; Weltmann, K.-D.; Juenger, M. Skin decontamination by low-temperature atmospheric pressure plasma jet and dielectric barrier discharge plasma. J. Hosp. Infect. 2012, 81, 177–183. [Google Scholar] [CrossRef] [PubMed]
 - Kramer, A.; Lademann, J.; Bender, C.; Sckell, A.; Hartmann, B.; Münch, S.; Hinz, P.; Ekkernkamp, A.; Matthes, R.; Koban, I.; et al. Suitability of tissue tolerable plasmas (TTP) for the management of chronic wounds. Clin. Plasma Med. 2013, 1, 11–18. [Google Scholar] [CrossRef]
 - Metelmann, H.-R.; Vu, T.T.; Do, H.T.; Le, T.N.B.; Hoang, T.H.A.; Phi, T.T.T.; Luong, T.M.L.; Doan, V.T.; Nguyen, T.T.H.; Nguyen, T.H.M.; et al. Scar formation of laser skin lesions after cold atmospheric pressure plasma (CAP) treatment: A clinical long term observation. Clin. Plasma Med. 2013, 1, 30–35. [Google Scholar] [CrossRef]
 - Vandersee, S.; Richter, H.; Lademann, J.; Beyer, M.; Kramer, A.; Knorr, F.; Lange-Asschenfeldt, B. Laser scanning microscopy as a means to assess the augmentation of tissue repair by exposition of wounds to tissue tolerable plasma. Laser Phys. Lett. 2014, 11, 115701. [Google Scholar] [CrossRef]
 - Ulrich, C.; Kluschke, F.; Patzelt, A.; Vandersee, S.; Czaika, V.A.; Richter, H.; Bob, A.; von Hutten, J.; Painsi, C.; Hüge, R.; et al. Clinical use of cold atmospheric pressure argon plasma in chronic leg ulcers: A pilot study. J. Wound Care 2015, 24, 196–203. [Google Scholar] [CrossRef] [PubMed]
 - Hilker, L.; von Woedtke, T.; Weltmann, K.-D.; Wollert, H.-G. Cold atmospheric plasma: A new tool for the treatment of superficial driveline infections. Eur. J. Cardio-Thoracic Surg. 2017, 51, 186–187. [Google Scholar] [CrossRef] [PubMed]
 - Schmidt, A.; Bekeschus, S.; Wende, K.; Vollmar, B.; von Woedtke, T. A cold plasma jet accelerates wound healing in a murine model of full-thickness skin wounds. Exp. Dermatol. 2017, 26, 156–162. [Google Scholar] [CrossRef]
 - Stratmann, B.; Costea, T.-C.; Nolte, C.; Hiller, J.; Schmidt, J.; Reindel, J.; Masur, K.; Motz, W.; Timm, J.; Kerner, W.; et al. Effect of Cold Atmospheric Plasma Therapy vs Standard Therapy Placebo on Wound Healing in Patients With Diabetic Foot Ulcers. JAMA Netw. Open 2020, 3, e2010411. [Google Scholar] [CrossRef]
 - Assadian, O.; Ousey, K.J.; Daeschlein, G.; Kramer, A.; Parker, C.; Tanner, J.; Leaper, D.J. Effects and safety of atmospheric low-temperature plasma on bacterial reduction in chronic wounds and wound size reduction: A systematic review and meta-analysis. Int. Wound J. 2018, 16, 103–111. [Google Scholar] [CrossRef]
 - Bernhardt, T.; Semmler, M.L.; Schäfer, M.; Bekeschus, S.; Emmert, S.; Boeckmann, L. Plasma Medicine: Applications of Cold Atmospheric Pressure Plasma in Dermatology. Oxidative Med. Cell. Longev. 2019, 2019, 873928. [Google Scholar] [CrossRef]
 - Schönebeck, R. kINPen MED®. In Comprehensive Clinical Plasma Medicine; Metelmann, H.R., von Woedtke, T., Weltmann, K.-D., Eds.; Springer International Publishing: Basel, Switzerland, 2018; Volume 1, pp. 485–494. [Google Scholar]
 - Rakness, K.; Gordon, G.; Langlais, B.; Masschelein, W.; Matsumoto, N.; Richard, Y.; Robson, C.M.; Somiya, I. Guideline for Measurement of Ozone Concentration in the Process Gas from an Ozone Generator. Ozone Sci. Eng. 1996, 18, 209–229. [Google Scholar] [CrossRef]
 - Smit, H.G.J. Chemistry of the Atmosphere-Observations for Chemistry (In Situ). In Encyclopedia of Atmospheric Sciences, 2nd ed.; Academic press: Cambridge, MA, USA, 2015; pp. 372–378. [Google Scholar]
 - McAlpine, R.K. The rate of oxidation of iodide ion by hydrogen peroxide. J. Chem. Educ. 1945, 22, 387. [Google Scholar] [CrossRef]
 - Eguchi, W.; Tanigaki, M.; Mutoh, K.; Tsuchiya, H. The oxidation rate of iodide ion by nitrous acid in aqueous solution. Kagaku Kogaku Ronbunshu 1989, 15, 1109–1114. [Google Scholar] [CrossRef]
 - Yu, X.C.; Houtman, C.; Atalla, R.H. The complex of amylose and iodine. Carbohyd. Res. 1996, 292, 129–141. [Google Scholar] [CrossRef]
 - Brandenburg, R.; Lange, H.; von Woedtke, T.; Stieber, M.; Kindel, E.; Ehlbeck, J.; Weltmann, K.-D. Antimicrobial Effects of UV and VUV Radiation of Nonthermal Plasma Jets. IEEE Trans. Plasma Sci. 2009, 37, 877–883. [Google Scholar] [CrossRef]
 - Hahn, V.; Brandenburg, R.; von Woedtke, T. DIN SPEC 91315: A First Attempt to Implement Mandatory Test Protocols for the Characterization of Plasma Medical Devices. In Comprehensive Clinical Plasma Medicine; Metelmann, H.R., von Woedtke, T., Weltmann, K.-D., Eds.; Springer International Publishing: Basel, Switzerland, 2018; Volume 1, pp. 511–516. [Google Scholar]
 - Daeschlein, G. Antimicrobial Activity of Plasma. In Comprehensive Clinical Plasma Medicine; Metelmann, H.R., von Woedtke, T., Weltmann, K.-D., Eds.; Springer International Publishing: Basel, Switzerland, 2018; Volume 1, pp. 113–125. [Google Scholar]
 - Iseni, S.; Schmidt-Bleker, A.; Winter, J.; Weltmann, K.-D.; Reuter, S. Atmospheric pressure streamer follows the turbulent argon air boundary in a MHz argon plasma jet investigated by OH-tracer PLIF spectroscopy. J. Phys. D Appl. Phys. 2014, 47, 152001. [Google Scholar] [CrossRef]
 - Wild, R.; Gerling, T.; Bussiahn, R.; Weltmann, K.-D.; Stollenwerk, L. Phase-resolved measurement of electric charge deposited by an atmospheric pressure plasma jet on a dielectric surface. J. Phys. D Appl. Phys. 2014, 47, 42001. [Google Scholar] [CrossRef]
 - Gerling, T.; Brandenburg, R.; Wilke, C.; Weltmann, K.-D. Power measurement for an atmospheric pressure plasma jet at different frequencies: Distribution in the core plasma and the effluent. Eur. Phys. J. Appl. Phys. 2017, 78, 10801. [Google Scholar] [CrossRef]
 - Nishime, T.M.C.; Wagner, R.; Kostov, K.G. Study of Modified Area of Polymer Samples Exposed to a He Atmospheric Pressure Plasma Jet Using Different Treatment Conditions. Polymers (Basel) 2020, 12, 1028. [Google Scholar] [CrossRef]
 - Schmidt-Bleker, A.; Winter, J.; Bösel, A.; Reuter, S.; Weltmann, K.-D. On the plasma chemistry of a cold atmospheric argon plasma jet with shielding gas device. Plasma Sources Sci. Technol. 2016, 25, 015005. [Google Scholar] [CrossRef]
 - Ravanat, J.-L.; Douki, T.; Cadet, J. Direct and indirect effects of UV radiation on DNA and its components. J. Photochem. Photobiol. B Boil. 2001, 63, 88–102. [Google Scholar] [CrossRef]
 - Winter, T.; Bernhardt, J.; Winter, J.; Mäder, U.; Schlüter, R.; Weltmann, K.-D.; Hecker, M.; Kusch, H. Common versus noble Bacillus subtilis differentially responds to air and argon gas plasma. Proteomics 2013, 13, 2608–2621. [Google Scholar] [CrossRef] [PubMed]
 - Ehlbeck, J.; Schnabel, U.; Polak, M.; Winter, J.; von Woedtke, T.; Brandenburg, R.; von dem Hagen, T.; Weltmann, K.-D. Low temperature atmospheric pressure plasma sources for microbial decontamination. J. Phys. D Appl. Phys. 2011, 44, 13002. [Google Scholar] [CrossRef]
 - Lackmann, J.-W.; Bandow, J.E. Inactivation of microbes and macromolecules by atmospheric-pressure plasma jets. Appl. Microbiol. Biotechnol. 2014, 98, 6205–6213. [Google Scholar] [CrossRef] [PubMed]
 - Schneider, S.; Lackmann, J.-W.; Narberhaus, F.; Bandow, J.E.; Denis, B.; Benedikt, J. Separation of VUV/UV photons and reactive particles in the effluent of a He/O2 atmospheric pressure plasma jet. J. Phys. D Appl. Phys 2011, 44, 295201–295217. [Google Scholar] [CrossRef]
 - Schneider, S.; Lackmann, J.-W.; Ellerweg, D.; Denis, B.; Narberhaus, F.; Bandow, J.E.; Benedikt, J. The Role of VUV Radiation in the Inactivation of Bacteria with an Atmospheric Pressure Plasma Jet. Plasma Process. Polym. 2012, 9, 561–568. [Google Scholar] [CrossRef]
 














© 2020 by the authors. Licensee MDPI, Basel, Switzerland. This article is an open access article distributed under the terms and conditions of the Creative Commons Attribution (CC BY) license (http://creativecommons.org/licenses/by/4.0/).
Share and Cite
Hahn, V.; Grollmisch, D.; Bendt, H.; von Woedtke, T.; Nestler, B.; Weltmann, K.-D.; Gerling, T. Concept for Improved Handling Ensures Effective Contactless Plasma Treatment of Patients with kINPen® MED. Appl. Sci. 2020, 10, 6133. https://doi.org/10.3390/app10176133
Hahn V, Grollmisch D, Bendt H, von Woedtke T, Nestler B, Weltmann K-D, Gerling T. Concept for Improved Handling Ensures Effective Contactless Plasma Treatment of Patients with kINPen® MED. Applied Sciences. 2020; 10(17):6133. https://doi.org/10.3390/app10176133
Chicago/Turabian StyleHahn, Veronika, Daniel Grollmisch, Hannes Bendt, Thomas von Woedtke, Bodo Nestler, Klaus-Dieter Weltmann, and Torsten Gerling. 2020. "Concept for Improved Handling Ensures Effective Contactless Plasma Treatment of Patients with kINPen® MED" Applied Sciences 10, no. 17: 6133. https://doi.org/10.3390/app10176133
APA StyleHahn, V., Grollmisch, D., Bendt, H., von Woedtke, T., Nestler, B., Weltmann, K.-D., & Gerling, T. (2020). Concept for Improved Handling Ensures Effective Contactless Plasma Treatment of Patients with kINPen® MED. Applied Sciences, 10(17), 6133. https://doi.org/10.3390/app10176133
        
