An Efficient BGV-type Encryption Scheme for IoT Systems
Abstract
1. Introduction
2. Background Knowledge
2.1. Plaintext Encoding
2.2. Ciphertext Encoding
2.3. Security Assumption of BGV
2.4. Principle of BGV
3. Introduction of BGV
3.1. Modifications on BGV-type Cryptosystems
4. Scheme Description
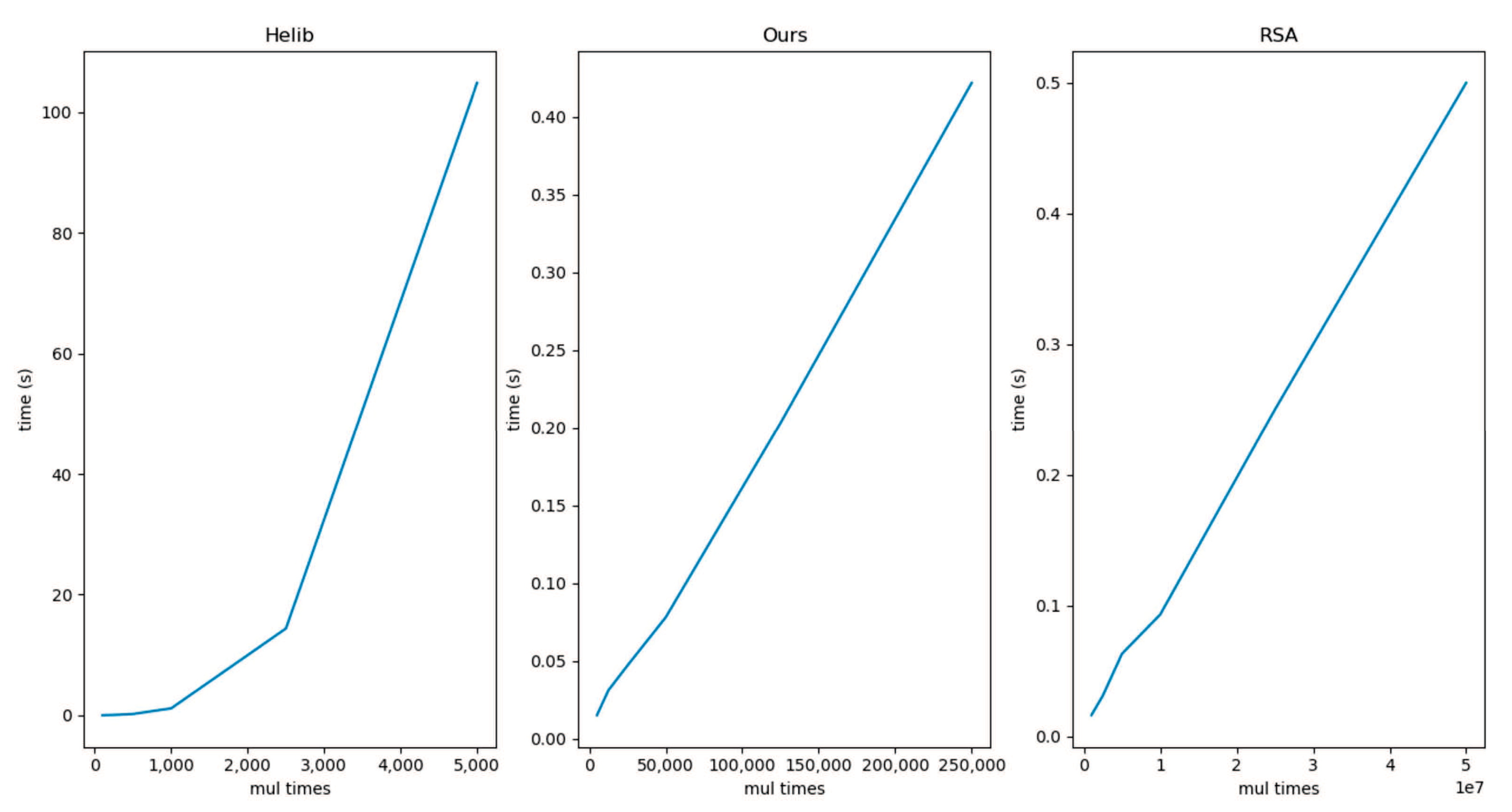
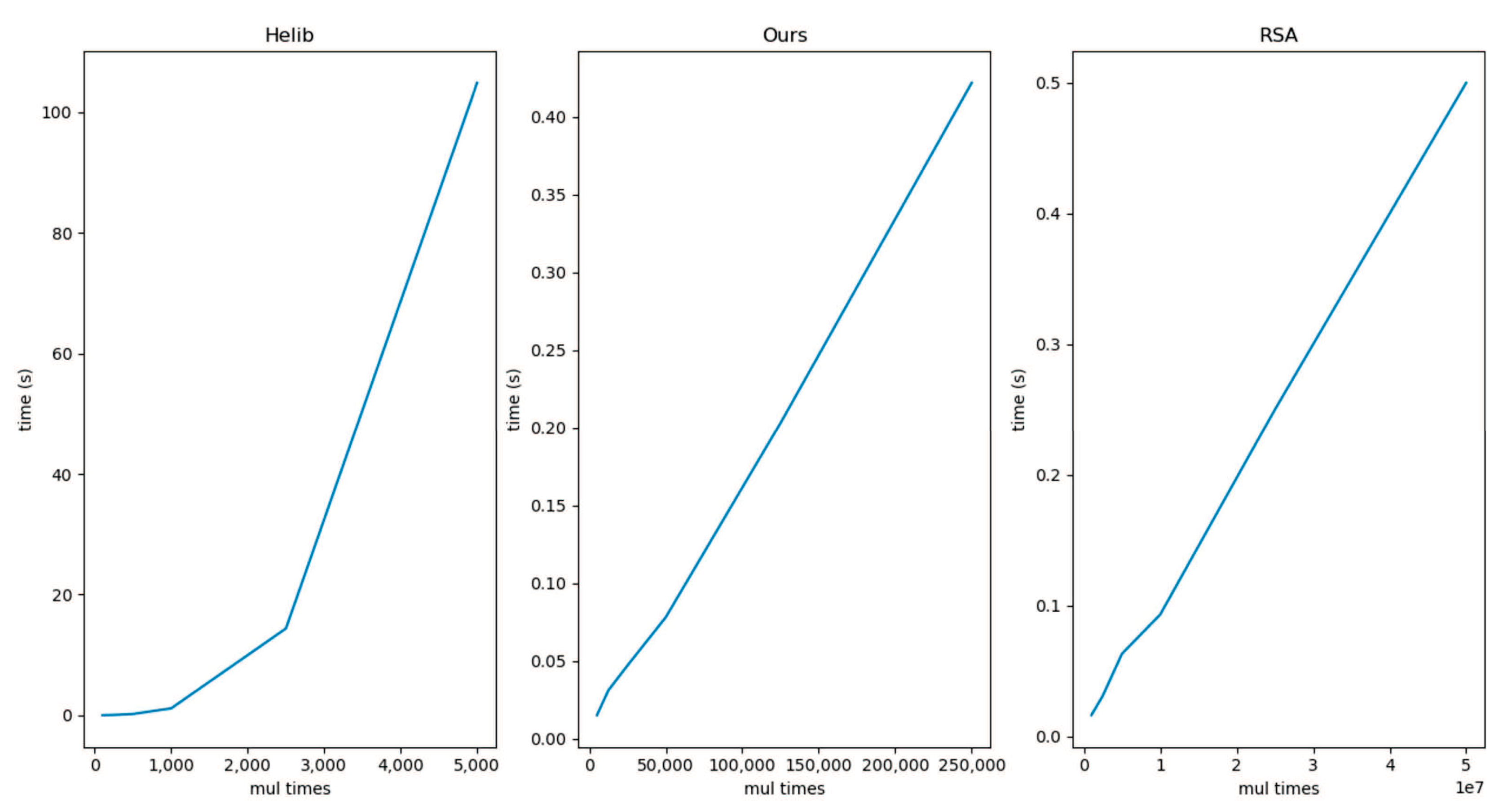
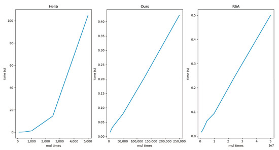
5. Implementation and Performance Analysis
6. Conclusions
Author Contributions
Funding
Acknowledgments
Conflicts of Interest
Appendix A. Source Code of Our Implementation
Appendix A.1. stdafx.h
Appendix A.2. stdafx.cpp
Appendix A.3. Unlimited Homomorphic Encryption.cpp
Appendix B. Benchmark of Helib
Appendix B.1. FHE_op.h
Appendix B.2. Test_FHE_op.cpp
Appendix C. Benchmark of RSA
References
- Cheng, X.; Pitziolis, A.; Lasebae, A. Implementing Fingerprint Recognition on One-Time Password Device to Enhance User Authentication. In International Symposium on Cyberspace Safety and Security; Springer: Cham, Switzerland, 2019; pp. 448–461. [Google Scholar]
- Zhang, X.; Yang, S.; Srivastava, G.; Chen, M.Y.; Cheng, X. Hybridization of cognitive computing for food services. Appl. Soft Comput. 2020, 89, 106051. [Google Scholar] [CrossRef]
- Ali, B.; Cheng, X. Security Solution Based on Raspberry PI and IoT. In International Symposium on Cyberspace Safety and Security; Springer: Cham, Switzerland, 2019; pp. 162–171. [Google Scholar]
- Lv, S.; Ye, J.; Yin, S.; Cheng, X.; Feng, C.; Liu, X.; Li, R.; Li, Z.; Liu, Z.; Zhou, L. Unbalanced private set intersection cardinality protocol with low communication cost. Future Gener. Comput. Syst. 2020, 102, 1054–1061. [Google Scholar] [CrossRef]
- Sun, X.; Zhang, P.; Liu, J.K.; Yu, J.; Xie, W. Private machine learning classification based on fully homomorphic encryption. IEEE Trans. Emerg. Top. Comput. 2020, 8, 352–364. [Google Scholar] [CrossRef]
- Cheon, J.H.; Kim, J. A Hybrid Scheme of Public-Key Encryption and Somewhat Homomorphic Encryption. IEEE Trans. Inform. Forens. Sec. 2015, 10, 1052–1063. [Google Scholar] [CrossRef]
- Chen, H.; Laine, K.; Rindal, P. Fast Private Set Intersection from Homomorphic Encryption. In Proceedings of the ACM Conference on Computer and Communications Security 2017, Dallas, TX, USA, 30 October–3 November 2017; pp. 1243–1255. [Google Scholar]
- Liu, S.; Li, Z.; Zhang, Y.; Cheng, X. Introduction of Key Problems in Long-Distance Learning and Training. MONET 2019, 24, 1–4. [Google Scholar] [CrossRef]
- Roy, S.S.; Vercauteren, F.; Vliegen, J.; Verbauwhede, I. Hardware Assisted Fully Homomorphic Function Evaluation and Encrypted Search. IEEE Trans. Comput. 2017, 66, 1562–1572. [Google Scholar] [CrossRef]
- Bourse, F.; Minelli, M.; Minihold, M.; Paillier, P. Fast Homomorphic Evaluation of Deep Discretized Neural Networks. In Proceedings of the International Cryptology Conference (CRYPTO) 2018, LNCS 10993, Santa Barbara, CA, USA, 19–23 August 2018; pp. 483–512. [Google Scholar]
- Malavolta, G.; Thyagarajan, S.A.K. Homomorphic Time-Lock Puzzles and Applications. In Proceedings of the International Cryptology Conference (CRYPTO) 2019, LNCS 11692, Santa Barbara, CA, USA, 18–22 August 2019; pp. 620–649. [Google Scholar]
- Gentry, C. Fully homomorphic encryption using ideal lattices. In ACM Symposium on Theory of Computing (STOC) 2009; ACM: New York, NY, USA, 2009; pp. 169–178. [Google Scholar]
- Regev, O. On lattices, learning with errors, random linear codes, and cryptography. In ACM Symposium on Theory of Computing (STOC) 2005; ACM: New York, NY, USA, 2005; pp. 84–93. [Google Scholar]
- Peikert, C. Public-key cryptosystems from the worst-case shortest vector problem: Extended abstract. In ACM Symposium on Theory of Computing (STOC) 2009; ACM: New York, NY, USA, 2009; pp. 333–342. [Google Scholar]
- Brakerski, Z.; Vaikuntanathan, V. Fully homomorphic encryption from ring-LWE and security for key dependent messages. In Proceedings of the International Cryptology Conference (CRYPTO) 2011, Santa Barbara, CA, USA, 14–18 August 2011; pp. 505–524. [Google Scholar]
- Brakerski, Z.; Vaikuntanathan, V. Efficient fully homomorphic encryption from (standard) LWE. In Proceedings of the IEEE Symposium on Foundations of Computer Science (FOCS) 2011, Palm Springs, CA, USA, 22–25 October 2011; pp. 97–106. [Google Scholar]
- Brakerski, Z.; Gentry, C.; Vaikuntanathan, V. (Leveled) fully homomorphic encryption without bootstrapping. In Proceedings of the Conference on Innovations in Theoretical Computer Science (ITCS), Cambridge, MA, USA, 8–10 January 2012; ACM: New York, NY, USA, 2012; pp. 309–325. [Google Scholar]
- Gentry, C.; Halevi, S.; Smart, N.P. Fully homomorphic encryption with polylog overhead. In Proceedings of the International Conference on the Theory and Applications of Cryptographic Techniques (EUROCRYPT) 2012, LNCS 7237, Cambridge, UK, 15–19 April 2012; pp. 465–482. [Google Scholar]
- Gentry, C.; Halevi, S.; Smart, N.P. homomorphic evaluation of the AES circuit. In Proceedings of the International Cryptology Conference (CRYPTO) 2012, LNCS 7417, Santa Barbara, CA, USA, 14–18 August 2012; pp. 850–867. [Google Scholar]
- Brakerski, Z. Fully homomorphic encryption without modulus switching from classical GapSVP. In Proceedings of the International Cryptology Conference (CRYPTO) 2012, LNCS 7417, Santa Barbara, CA, USA, 14–18 August 2012; pp. 868–886. [Google Scholar]
- Halevi, S.; Shoup, V. Algorithms in HElib. In Proceedings of the International Cryptology Conference (CRYPTO) 2014, Santa Barbara, CA, USA, 17–21 August 2014; pp. 554–571. [Google Scholar]
- Halevi, S.; Shoup, V. Bootstrapping for HElib. In Proceedings of the International Conference on the Theory and Applications of Cryptographic Techniques (EUROCRYPT) 2015, Sofia, Bulgaria, 26–30 April 2015; pp. 641–670. [Google Scholar]
- Halevi, S.; Shoup, V. Faster Homomorphic Linear Transformations in HElib. In Proceedings of the International Cryptology Conference (CRYPTO) 2018, LNCS 10993, Santa Barbara, CA, USA, 19–23 August 2018; pp. 93–120. [Google Scholar]
- Castryck, W.; Iliashenko, I.; Vercauteren, F. Homomorphic SIMD Operations: Single Instruction Much More Data. In Proceedings of the International Conference on the Theory and Applications of Cryptographic Techniques (EUROCRYPT) 2018, LNCS 10820, Tel Aviv, Israel, 29 April–3 May 2018; pp. 338–359. [Google Scholar]
- Öztürk, E.; Doröz, Y.; Savas, E.; Sunar, B. A Custom Accelerator for Homomorphic Encryption Applications. IEEE Trans. Comput. 2017, 66, 3–16. [Google Scholar] [CrossRef]
- Eric, C.; Chris, P.; Chad, S. ALCHEMY: A Language and Compiler for Homomorphic Encryption Made easY. In Proceedings of the ACM Conference on Computer and Communications Security 2018, Toronto, ON, Canada, 15–19 October 2018; pp. 1020–1037. [Google Scholar]
- Alperin-Sherief, J.; Peikert, C. Practical bootstrapping in quasilinear time. In Proceedings of the International Cryptology Conference (CRYPTO) 2013, Santa Barbara, CA, USA, 18–22 August 2013; pp. 1–20. [Google Scholar]
- Alperin-Sherief, J.; Peikert, C. Faster bootstrapping with polynomial error. In Proceedings of the International Cryptology Conference (CRYPTO) 2014, Santa Barbara, CA, USA, 17–21 August 2014; pp. 297–314. [Google Scholar]
- Brakerski, Z.; Vaikuntanathan, V. Lattice-based FHE as secure as PKE. In Proceedings of the Conference on Innovations in Theoretical Computer Science 2014, Princeton, NJ, USA, 12–14 January 2014; pp. 1–12. [Google Scholar]
- Ducas, L.; Micciancio, D. FHEW: Bootstrapping homomorphic encryption in less than a second. In Proceedings of the International Conference on the Theory and Applications of Cryptographic Techniques (EUROCRYPT) 2015, Sofia, Bulgaria, 26–30 April 2015; pp. 617–640. [Google Scholar]
- Li, Z.; Ma, C.; Du, G.; Weiping, O. Efficient fully homomorphic encryption from (standard) LWE. In Proceedings of the Conference on Parallel and Distributed Systems 2016, Wuhan, China, 13–16 December 2016; pp. 1169–1174. [Google Scholar]
- Chen, H.; Han, K. Homomorphic Lower Digits Removal and Improved FHE Bootstrapping. In Proceedings of the International Conference on the Theory and Applications of Cryptographic Techniques (EUROCRYPT) 2018, LNCS 10820, Tel Aviv, Israel, 29 April–3 May 2018; pp. 315–337. [Google Scholar]
- Cheon, J.H.; Han, K.; Kim, A.; Kim, M.; Song, Y. Bootstrapping for Approximate Homomorphic Encryption. In Proceedings of the International Conference on the Theory and Applications of Cryptographic Techniques (EUROCRYPT) 2018, LNCS 10820, Tel Aviv, Israel, 29 April–3 May 2018; pp. 360–384. [Google Scholar]
- Chen, H.; Chillotti, I.; Song, Y. Improved Bootstrapping for Approximate Homomorphic Encryption. In Proceedings of the International Conference on the Theory and Applications of Cryptographic Techniques (EUROCRYPT) 2019, LNCS 11477, Darmstadt, Germany, 19–23 May 2019; pp. 34–54. [Google Scholar]
- Lyubashevsky, V.; Peikert, C.; Regev, O. On ideal lattices and learning with errors over rings. In Proceedings of the International Conference on the Theory and Applications of Cryptographic Techniques 2010, French Riviera, France, 30 May–3 June 2010; pp. 1–23. [Google Scholar]



© 2020 by the authors. Licensee MDPI, Basel, Switzerland. This article is an open access article distributed under the terms and conditions of the Creative Commons Attribution (CC BY) license (http://creativecommons.org/licenses/by/4.0/).
Share and Cite
Yuan, W.; Gao, H. An Efficient BGV-type Encryption Scheme for IoT Systems. Appl. Sci. 2020, 10, 5732. https://doi.org/10.3390/app10175732
Yuan W, Gao H. An Efficient BGV-type Encryption Scheme for IoT Systems. Applied Sciences. 2020; 10(17):5732. https://doi.org/10.3390/app10175732
Chicago/Turabian StyleYuan, Wei, and Han Gao. 2020. "An Efficient BGV-type Encryption Scheme for IoT Systems" Applied Sciences 10, no. 17: 5732. https://doi.org/10.3390/app10175732
APA StyleYuan, W., & Gao, H. (2020). An Efficient BGV-type Encryption Scheme for IoT Systems. Applied Sciences, 10(17), 5732. https://doi.org/10.3390/app10175732
