Next Article in Journal
Nonlinear Vibration of Functionally Graded Graphene Nanoplatelets Polymer Nanocomposite Sandwich Beams
Next Article in Special Issue
Predicting the Pillar Stability of Underground Mines with Random Trees and C4.5 Decision Trees
Previous Article in Journal
An eLORETA Longitudinal Analysis of Resting State EEG Rhythms in Alzheimer’s Disease
 
 
Font Type:
Arial Georgia Verdana
Font Size:
Aa Aa Aa
Line Spacing:
Column Width:
Background:
Article

Comparison Between Performance of Fluorite Flotation Under Different Depressants Reagents in Two Pieces of Laboratory Equipment

1
Department of Chemical Engineering, University of Granada, 18071 Granada, Spain
2
Minera de Órgiva S.L., Mina Carriles, Órgiva, 18400 Granada, Spain
*
Authors to whom correspondence should be addressed.
Appl. Sci. 2020, 10(16), 5667; https://doi.org/10.3390/app10165667
Submission received: 20 July 2020 / Revised: 6 August 2020 / Accepted: 13 August 2020 / Published: 15 August 2020
(This article belongs to the Special Issue Techniques for Sustainable Processing of Natural Resources II)

Abstract

Fluorite is an important industrial mineral composed of calcium and fluorine (CaF2). This mineral is widely distributed through different deposits. However, in most cases, fluorite is tightly associated with gangue, such as calcite and quartz. In this paper, different depressants are tested in the flotation of fluorite in two different laboratory configurations—cell and column. Quebracho tree (QT) was tested as the main depressant in combination with white dextrin (WD), potato starch (PT), carboxymethyl cellulose (CMC), and sodium hexametaphosphate (SHMP). The optimum pulp pH of the flotation of fluorite was determined as approximately 9.5–10. The best results are obtained using a combination of quebracho and white dextrin as depressants, reaching 74% of fluorite grade for modified column flotation and 70.5% for cell flotation. Additionally, the metallurgical recovery obtained higher values when the flotation was carried out in the modified column and using the same combination of depressant agents—75% for modified column flotation and 60% for flotation cell.

1. Introduction

Fluorite (CaF2) has been classified as a critical non-metal mineral by the European Union for its economic importance and high supply risk [1]. Fluorite rarely occurs without gangue mineral in deposits. Minerals that usually occur with fluorite are barite (BaSO4), calcite (CaCO3), and quartz (SiO2) [2,3]. CaF2 presents a wide range of applications in chemical manufacturing, metallurgy, and the glass and ceramic industries. Nevertheless, high degrees of fluorite purity are required for different mineral applications. Thus, these less appealing fluorite resources require advanced beneficiation methods.
Froth flotation is a selective process that is used to carry out specific separations of complex minerals, based on the different surface properties of each of them. It stands out in fluorite flotation as one of the physicochemical techniques with the highest performance [3]. To carry out the froth flotation process, it requires the addition of chemical reagents to the system. These flotation reagents are the collectors, depressants, activators, and modifiers, whose main actions are to induce and inhibit hydrophobicity of the particles and to give stability to the foam formed. Separation of fluorite from calcium minerals by flotation is difficult because they exhibit the similar surface properties [4,5]. This is due to the presence of Ca2+ cations on both surfaces [5,6]. Fatty acids are known to adsorb onto the surface Ca2+ ions [7,8]. Thus, they display a lack of selectivity, inducing global flotation of the CaCO3. However, the efficient flotation of fluorite from other calcium-bearing minerals has been reached using specific depressants [9,10,11,12]. Depressants are vital to achieve desirable separation results in fluorite ore beneficiation. Depressants can be divided into three categories, namely, metal ions (Al3+, Fe3+, Mg2+, Ca2+, Fe2+), inorganic inhibitors (sodium silicate, sodium sulfide, and sodium hexametaphosphate), and macromolecular inhibitors (starch, tannin extract, and polyacrylamide) [13]. The main depressants used in the selective separation of fluorite from gangue minerals are tannin extracts [14]. Quebracho extract contains tannins that have good depressant ability of certain minerals as carbonates. Some authors have used mixtures of depressants to increase the efficiency of the fluorite flotation process [15,16,17].
QT is one of the most recommended depressants for this separation. Rutledge and Anderson [17] conducted a review of different published works on the action of QT in the separation of fluorite and calcite. QT is widely recommended as a depressant in fluorite flotation because it depresses both carbonates and silicates [18]. When the QT is adsorbed on the mineral surface, it becomes hydrophilic. In addition, this work indicates that tannins have a negative surface charge due to the presence of phenolic groups and these react with the surface of the minerals by chemisorption, interacting with the collector that is being used, as is the case of oleic acid [19]. The electrokinetic potential of the mineral is slightly negative with the addition of small amounts of tannin. This negative surface charge repels anionic collectors causing depression, but attracts cationic collectors. Dextrin is also used as a depressant in the mineral processing industry for some calcite minerals. Dextrins are derivative of starch produced by partial thermal degradation under acidic conditions [20]. Zhang et al. [21] studied a fluorite flotation system and found that combination of tannin and dextrin improved the recovery of fluorite by 19.23%, the removal rate of CaCO3 by 13.43%, and SiO2 by 8.93%. This combination of dextrin and tannin appeared to exhibit considerable promise for depressing the impurities during fluorite flotation. On the other hand, QT can react with dextrins in the presence of surfactants. On the basis of such reaction, Bayer has produced a depressant under the trade name “Agent G4”. This was used for many years as a depressant for carbonaceous gangue at the Mount Isa Hilton Concentrator (Australia). This depressant is composed of 55% dextrin, 40% QT, and 5% surfactant [22]. However, the fundamentals of how mixtures of QT + dextrin operate require additional study.
QT depressant is widely used in fluorite flotation circuits due to its high ability to depress calcite, barite, silicates, and metal sulfides and its reduced ability to depress fluorite under certain operating conditions. There is a particular challenge in the separation of fluorite from calcite because both minerals have Ca2+ cations in lattice. As it was indicated before, when QT is adsorbed, the surface becomes hydrophilic. Many attempts to describe and characterize the selective nature of QT have been undertaken. It is clear through many studies that the condensed tannins, like that of QT, are far more selective than the hydrolysable tannins like that of tannic acid. The hydrolysable tannins have a greater depression affect to a disadvantage compared to the condensed tannins; the depression on the hydrolysable tannins is too strong and thus, provides a less selective depression [23,24].
Currently, there are two pieces of industrial equipment that allow the carrying out of froth flotation—mechanical cells and pneumatic columns. The main difference between the equipment is that cells use mechanical agitation while columns use pneumatic agitation. This fact makes column flotation suitable for fine particles (slimes) rather than cell [25,26]. Comparing both configurations under different operational parameters will allow the choosing of the most suitable equipment for fluorite flotation.
Although it is well-known that mechanical flotation machines provide stronger particle–bubble collision than flotation columns, the system used for the injection of air can influence bubbles generation and their distribution size, and therefore, separation of particles by flotation. For example, Matiolo et al. [27] reported high recoveries for apatite flotation using a cavitation tube as the bubble generation system in a column configuration. The fine bubbles obtained in the cavitation tube improved the collision efficiency between bubbles and fines particles, which resulted in high recoveries for ultrafine particles flotation.
The importance of pH during the process in terms of mineral quality, process performance, and chemical efficiency is well known. For example, the zeta potential is affected by the pH level of the pulp and it affects the stability of the suspension [28]; if it is too low, flocculation occurs, which causes poor flotation selectivity, while if it is too high, the suspension remains stable. Some authors have analyzed, in detail, the effect of pulp pH on the flotation of fluorite and calcite [29].
In this paper, the flotation of fluorite, calcite, and quartz and their separation were, for the first time, studied in the presence of a mixture of different depressants. Quebracho tree (QT) was used as the main depressant to achieve the separation of fluorite and calcite. The interaction of (WD), (PT), (SHMP), and (CMC) with QT was studied analyzing the grade and the recovery by mass balance of the different minerals present in the feed. The objective of this study was to compare the floatability of fluorite using different depressants mixtures. In addition, two pieces of laboratory equipment were used—a mechanical cell and a pneumatic cell based on the operation of a column and which has been designed from a modified Hallimond tube.

2. Materials and Methods

2.1. Mineral and Reagents

The fluorite mineral used in the experiments was obtained from the company Minera de Orgiva S.L. (Spain). This mineral contains fluorite, calcite, and quartz as major mineral components. After a series of physical upgrading processes, such as crushing and screening, the granulometric curve of the mineral was determined using a motorized sieve shaker from 36 to 180 μm (Table 1). The 80 percent passing sieve size (P80) was 86 μm.
Chemical composition was measured using X-Ray Fluorescence (XRF) with the equipment “ARL Optim’X WDRXF” from Thermo Fisher Scientific, with 50 kV, Rhodium anode and LiF200, InSb and AX06 crystals, together with the Oxsas 2.2 software from Thermo Fisher Sc (Table 2).
Oleic acid (OA) with 98% purity was used as a collector agent. Analytical grade of hydrochloric acid (99%) and sodium hydroxide (99%) were applied as pH regulator. Quebracho tree (97%) (QT), white dextrin (97%) (WD), potato starch (97%) (PT), carboxymethyl cellulose (97%) (CMC), and sodium hexametaphosphate (98%) (SHMP) were used as depressant agents. All the chemical reagents were supplied by Sigma Aldrich Co., except quebracho tree and carboxymethyl cellulose, which were supplied by Silvateam Co.

2.2. Cell Flotation

Flotation experiments were carried out in a D12 multi-cell mechanical flotation cell of 2 L capacity, model XFD-II-3, motor power of 120 W, and operating voltage of 400 V. For each test, the pulp was prepared at 30% solid concentration at 25 °C and 900 rpm (an air flow rate of 0.15 m3/h approximately). A complete description of the cell is carried out in a previous work [30]. Oleic acid was used in all tests as a fluorite collector at a constant dosage of 400 g/ton, based on a previous work [31].
Five different depressant reagents were added at a fixed dosage to the froth flotation process. QT was used in all tests, alone and mixed with the other three depressants, at a dosage of 300 g/ton. WD, PT, SHMP, and CMC, at a dosage of 1100 g/ton, were mixed with QT. The pH was adjusted by the addition of sodium hydroxide (NaOH) for basic pH and hydrochloric acid (HCl) for acid pH.
NaOH was used as a pH regulator instead of other bases to avoid the formation of insoluble compounds with the collector, oleic acid. In this way, by regulating the pH at slightly basic values, it avoids the activation of quartz by the oleic acid collector. The literature indicates that the interaction between oleic acid and quartz in the absence of activating ions is carried out in an unoriented manner. The presence of activating ions such as Ca2+ in the medium induces the formation of surface-oriented compounds, increasing their presence in the foam [22].
The reagents were added to the process in the following order: First, when the pH was adjusted to the desired value, QT depressant or its mixture with other depressants was added to the pulp and conditioned for 5 min [32]. OA was added and allowed to condition for 3 more minutes. Finally, all flotation tests were carried out in a time of 2 min. For individual mineral flotation, the concentrate and tailing products were collected, filtered, and dried. XRF was used to determine the grade of each stream, while recovery was calculated based on the solid weight and grade of the froth and tailing streams.

2.3. Modified Column Flotation

The pneumatic cell used in this work is a column designed by the Chemical Engineering Department of the University of Granada (Spain). The design of the column is based on the Hallimond tube, widely used to study the behavior of the flotation process. The column had a diameter of 5 cm and was 16 cm tall with a pulp capacity of 300 mL. The column was built by Afora ICT-S.L. with glass materials. The pieces of tube were interconnected with threaded universal joints. A complete description of the column is carried out in a previous work [30].
The conditioning step was carried out in a 500 mL standard flask at 25 °C, outside the flotation column. Magnetic stirring was used for the correct dissolution of the reagents. First, the pulp was prepared at 30% solid concentration. Then, pH was adjusted with NaOH or HCl according to the desired pH (range from 6.5 to 10.5). The depressant (QT or mixtures) was then added and conditioned for 5 min. Finally, the collector OA was added and conditioned for 3 min. In order to compare the conventional cell with column flotation, it is necessary that the doses of reagents, in grams per ton of mineral, be the same in cell and modified column flotation.
Finally, the last conditioning step was to shift the pulp from the flask to the flotation column. It operated with a constant air flow of 20 mL/min (0.0012 m3/h) provided by a blower. The flotation process was carried out for 2 min in all tests.
All flotation tests were carried out in duplicate. In this way, two different samples of each flotation tests were analyzed to determine the grade, obtaining average values.

3. Results

3.1. Fluorite Grade

The optimum pulp pH for the flotation of fluorite was determined as approximately 9.5–10. Figure 1 shows how the pH affects fluorite grade in the concentrate under the use of the various depressants named above. Each plot compares the beneficiation process of fluorite in the conventional and modified column cells.
On the one hand, by studying the effect of each depressant mixture separately, it can be seen that the best results were obtained for the QT + WD mixture, reaching 74% of fluorite grade for modified column flotation and 70.5% for conventional cell flotation, both at pH of 9.5. Mixtures of QT + CMC, QT + PS or even QT alone achieved results very close to QT + WD. The separation of fluorite and calcite was especially difficult since both minerals contain the same cation, Ca2+.
On the other hand, in all trials, the values obtained for the modified column flotation were higher than those obtained in the flotation cell. Another common aspect of all depressant mixtures was that they reach the maximum value of fluorite grade at a pH close to 9.5. As can be seen, there was a large difference between using a depressant and not using it. When no depressant was used, the fluorite grade obtained was 53.8% for the modified column and 51.6% for the cell, both at 8.5 pH. However, when QT or a mixture of depressants was added, fluorite grades rose to values close to 70% at a pH range of 8.5–9.5.
Finally, it should be noted that the QT + SHMP mixture was not a good option as a carbonate depressant in the fluorite flotation process. Using only QT gave better results.

3.2. Metallurgical Recovery

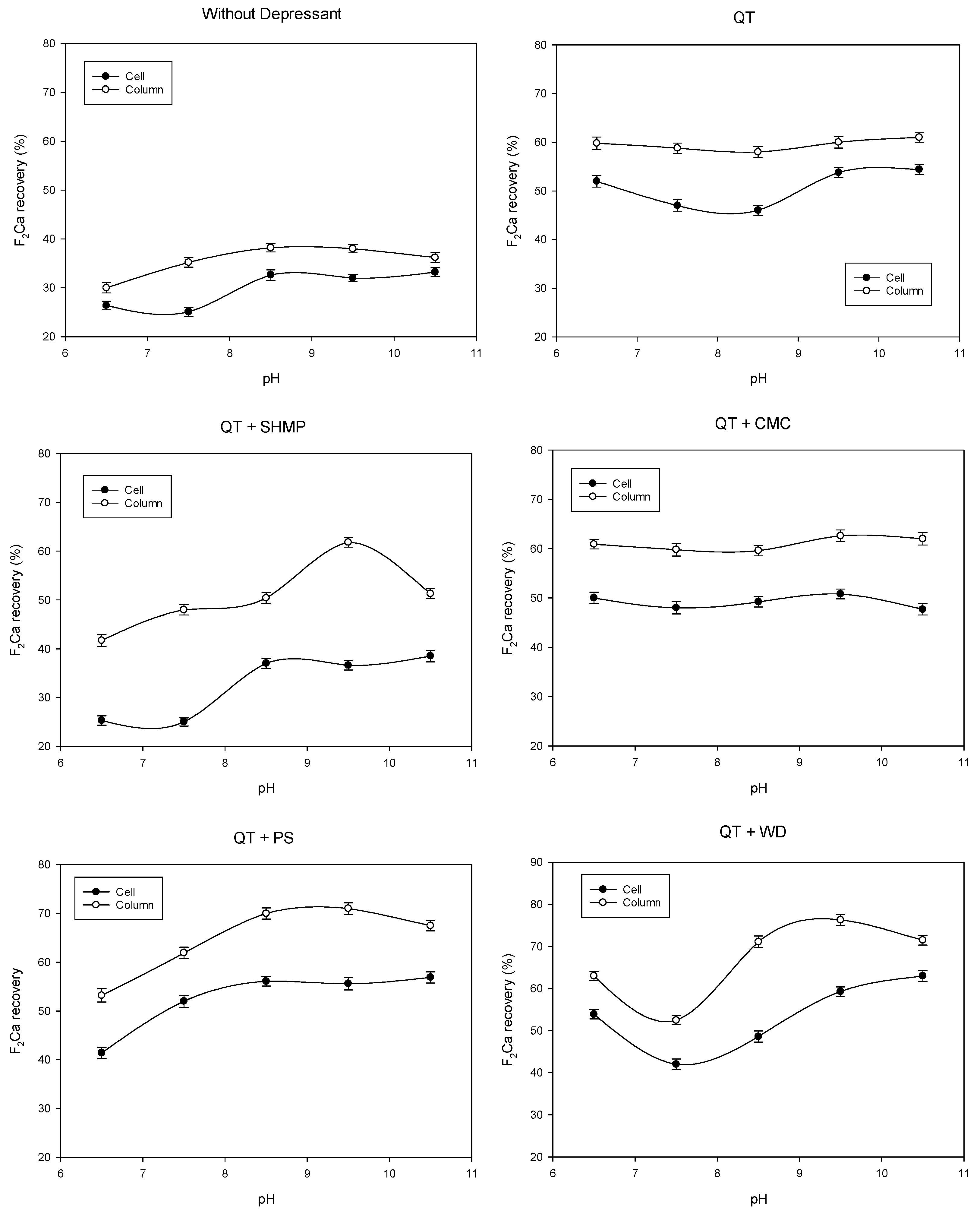
Another important factor to study in the minerals flotation is the metallurgical recovery. This is defined as the amount of mineral of interest (mass) obtained in the concentrate with respect to what was in the feed. Figure 2 shows the metallurgical recovery of fluorite for each of the depressants used. Each plot compares the results obtained in the cell and the flotation column.
The results show that higher metallurgical values were obtained in the modified column cell. As can be seen, there was a clear benefit of using a depressant. By carefully analyzing Figure 2, it can be seen again that the best results were obtained when the mixture QT + WD was used.
With regards to comparison of performance of cell and modified column configurations, values of 75% were reached for modified column flotation and 60% for flotation cell at pH above 9. All the depressants followed the same trend—higher metallurgical recovery values were reached for pH values of 9 and higher.
Depressants QT, QT + CMC, and QT + PS also gave good results with metallurgical recoveries of 65% and 55% for the modified column and conventional cells, respectively. It is noted that QT + SHMP gave the lowest recoveries of these depressant combinations.

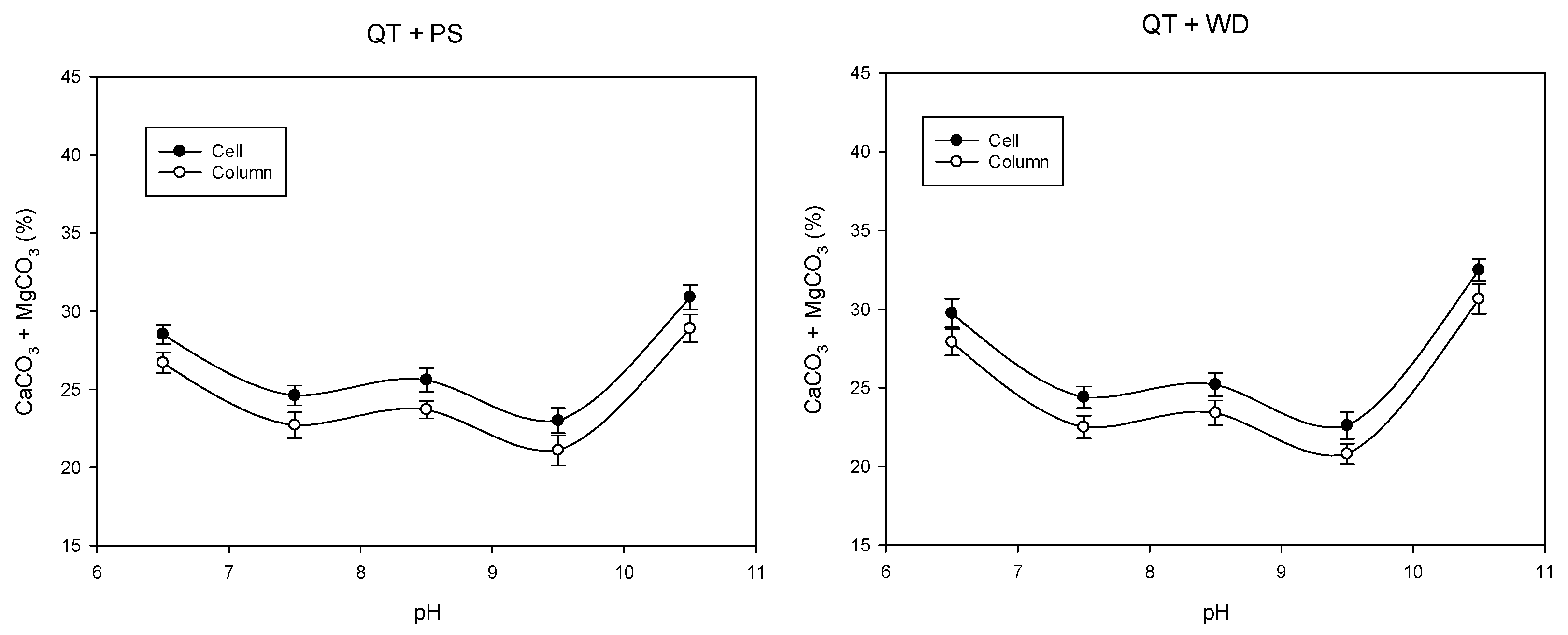
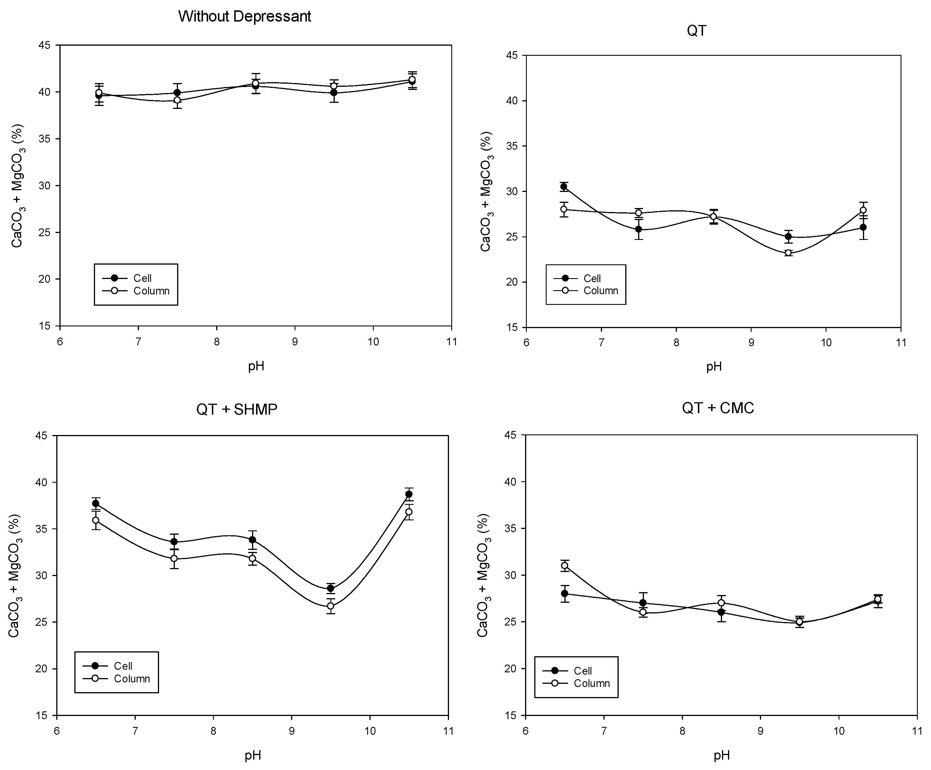
3.3. Carbonates Grade

The degree of carbonates in the concentrate reached its minimum value at pH 9.5 for all the depressors used. However, the minimum was reached at a neutral pH when no depressant was used (Figure 3). The minimum concentration of carbonates in the concentrate was 19% using QT + WD as a depressant in the flotation column. It has been shown that carrying out flotation of fluorite at pH higher than 9.5 leads to a greater flotation of carbonates, even when using different types of depressants.
The effect of pH on the flotation of fluorite with QT has been studied quite thoroughly. In practical applications, the pH ranges from 8 to 9.5. This accounts for multiple factors of adsorption of the QT and the oleate, the acid consumption, and practical recovery and grade balances. Iskra et al. [24] indicated that QT remains a depressant up until a pH of around 10. The optimal adsorption pH for QT on fluorite surface is around 7, while the dissolution of calcite requires the pH be at or above 8.
When depressants were not used, the grade of carbonates in the concentrate was practically the same as that of the feed, around 41%. The worst combination of depressants was again QT + SHMP since the grade of carbonates in the concentrate was still quite high, around 28% at pH of 9.5. It can be seen that using QT alone as a depressant presented very similar results to QT + PS and QT + CMC. The only combination that improved the effect of QT as a depressant has proven to be QT + WD.

3.4. Quartz Grade

The SiO2 grade in the concentrate stream followed an exponential function as the pH increased. The minimum SiO2 values were reached, for each of the tested depressants, in the pH range 6.5–7.5. SiO2 concentration drastically increased when using pH values above 7.5. Results were similar for all tests performed (without and with different combination of depressants). As can be observed in Figure 4, quartz grade in the concentrate did not change significantly for all the depressants used, even though some authors have shown that sodium silicate was a good depressant for quartz [33].
Additionally, there was no significant difference in the flotation in column with respect to the cell. The conventional and modified column cell gave fairly the same silica grade in the concentrate. It has been reported that flotation separation of fluorite from calcite and quartz can be accomplished by using water glass as the depressant [34]. However, the process was carried out in two stages with calcite depression at pH around 10 followed by quartz depression at a lower pH. This finding is supported by our results, (Figure 4), which show that quartz recovery increases with pH and are consistent with the findings of Chen et al. [35].

3.5. Interaction Mechanisms of Collector and Depressants on Fluorite Flotation

In this paper, the flotation of fluorite, calcite, and quartz and their separation using different depressants and oleic acid as the collector have been studied. The best results were obtained using a mixture of quebracho tree and dextrin white as depressants. To explain the results, a review of the investigations carried out by other authors on fluorite flotation has been conducted.
The mechanism of interaction of the collector as the fatty acid in salt-type minerals and the conditions used in their flotation have been widely studied for a long time [5,36,37,38]. Most of these authors agree that the mechanism of interaction of the reagents with the mineral in the flotation process is very complex. The adsorption of the collectors and depressants in the mineral is generally considered to be affected by the pH of the flotation system, which determines the charge on the surface of the particle and, therefore, the type of interaction. In general, coulombic attraction, physical adsorption, chemisorption, and surface precipitation have been suggested as possible mechanisms. However, there is no clear understanding of the interaction of reagents with the mineral, and the results shown by different investigations differ significantly depending on the origin of the minerals [39].
More recently, Quast [40] performed a review on the interaction of oleate with non-sulfide minerals using zeta potential. This author concluded that although there are differences of opinion on the actual interaction mechanism, it is accepted that the presence of oleate species causes a reduction in zeta potential and that the suggested mechanisms include chemisorption of various oleate species in solution (oleate anions, ionic dimers or acid–soap complex) in conjunction with physical adsorption, presence of undissociated oleic acid, precipitation of oleate salts, or formation of oleate colloids on the mineral surface. In addition, oleate adsorption could occur through the formation of one or more layers on the mineral surface. Rao and Forssberg [37] already indicated in their work as a mechanism for adsorption of oleate on fluorite and calcite, the monolayer coverage in the case of calcite and the formation of bilayer in the case of fluorite, followed by a precipitation of calcium soap. Lin et al. [41] study the separation mechanism of fluorite and calcite with oleic acid and conclude that the results of the zeta potential confirm that the chemical adsorption of the collector on the mineral surface provides a good recovery of fluorite when the pH is close to 10 and that calcium and oleate ions in the mineral surface react form calcium oleate. Other researchers studied the zeta potential of fluorite as a function of pH in the absence and presence of a collector [4,6,42,43,44]. At low pH values, a constant positive zeta potential of approximately 20–30 mV was observed. At pH 7, the zeta potential began to decrease, reaching zero at pH values between 7.5 and 8.5. Above pH 8.5, the zeta potential increased in negative value as the pH was increased. The addition of sodium oleate caused the zeta potential of the fluorite to become more negative at the same pH compared to that observed without addition of sodium oleate. The isoelectric point also shifted to lower pH values with an increase in oleate concentration, showing a greater affinity of oleate for the fluorite surface.
On the other hand, Zhang et al. [44] studied the selective adsorption of tannic acid in calcite and its implication as a depressant in the separation of fluorite using sodium oleate as the collector. These authors found that the results of the adsorption and zeta potential tests indicate that tannic acid is an effective depressant for separating fluorite from calcite, demonstrating that the interaction of tannic acid on the fluorite surface has little effect on the chemisorption of the collector, while it strongly weakens the calcite surface which favors its separation. However, dextrin or similar compounds have been poorly invested in fluorite flotation. Chen et al. [42] studied the flotation of scheelite, calcite, and fluorite using dextran sulfate sodium as a depressant and sodium oleate as a collector. The authors observed significant drops in the zeta potential for all minerals in the absence of a depressant, indicating that the collector can interact with them and change their surface charge. In the presence of the depressant, the drop in zeta potential is different for each mineral and depends on the collector concentration, indicating that the depressant interferes with the interaction between the collector and minerals. Finally, Zhang et al. [21] proposed, for the first time, the enrichment of fluorite in laboratory and industrial flotation tests using oleic acid as a collector and tannin and dextrin as depressants. The authors conclude that two-stage flotation using dextrin to remove SiO2 and tannin to remove CaCO3 improves the fluorite flotation process.
The results obtained in this work are consistent with those found by other researchers and are a good starting point for scaling the process.

4. Conclusions

In this work, a set of quartz and carbonate depressants were studied in fluorite flotation. Of all the depressants studied, the combination of QT with WD shows the best depressant efficiency, with values of 20% CaCO3 + MgCO3 and 3.7% SiO2 in concentrate at pH 9.5 and column equipment. This fact led to having the best results in terms of fluorite grade, reaching maximums of 74% in a single stage for column flotation. The use of QT + CMC and QT + PS depressant mixtures present similar depressant efficiency than the use of QT alone, so its use is ruled out due to the economic costs of using two depressants reagents. Additionally, it should be noted that the use of QT + SHMP is not a good option, since it presents the worst depressant efficiency, even worse than the use of QT alone, obtaining values of 28% CaCO3 + MgCO3 and 4.6% SiO2 in concentrate stream at pH 9.5 and column equipment.
Flotation of fluorite in the column (pneumatic cell) has shown better results than in the mechanical cell for all depressants studied. When the feed has a content of 25.98% in particles smaller than 36 μm, considered slime particles, column flotation shows better results than in cell. This fact confirms what other authors say about the presence of slime in feed. It would be interesting to remove this smaller fraction of 36 μm from the feed and see how the column flotation behaves versus cell flotation.
Finally, it is demonstrated that the optimum pH for the flotation of fluorite is around 9.5. Values above this pH make the oleic acid also collect quartz. Meanwhile, pH values below 8 promote carbonate flotation.
It should be noted that the scale in which the tests are completed at do not provide conclusive evidence for larger scale performance, whereas it is a good starting point for scaling the process.

Author Contributions

J.R.C.-M. carried out the experiments and wrote the original draft of manuscript; A.P. was especially involved experimental design and in application of software for data analysis; C.A.-C. and R.N.-D. were involved in the supervision of experiments, preparation of equipment and material, and reagents support; M.A.M.-L. and M.C. provided ideas, contributed to the data analysis, and supervised and edited the manuscript. All authors have read and agreed to the published version of the manuscript.

Funding

This research was funded by the company MINERA DE ÓRGIVA, S.L., Spain.

Conflicts of Interest

The authors declare no conflict of interest.

References

  1. Critical Raw Materials for the EU; EU Commission: Brussels, Belgium, 2010; pp. 1–284.
  2. Chen, Z.J.; Ren, Z.J.; Gao, H.M.; Qian, Y.P.; Zheng, R.J. Effect of modified starch on separation of fluorite from barite using sodium oleate. Physicochem. Probl. Miner. Process. 2018, 54, 228–237. [Google Scholar]
  3. Asadi, M.; Mohammadi, M.R.T.; Moosakazemi, F.; Esmaeili, M.J.; Zakeri, M. Development of an environmentally friendly flowsheet to produce acid grade fluorite concentrate. J. Clean. Prod. 2018, 186, 782–798. [Google Scholar] [CrossRef]
  4. Pugh, R.; Stenius, P. Solution chemistry studies and flotation behaviour of apatite, calcite and fluorite minerals with sodium oleate collector. Int. J. Miner. Process. 1985, 15, 193–218. [Google Scholar] [CrossRef]
  5. Marinakis, K.I.; Shergold, H.L. The mechanism of fatty acid adsorption in the presence of fluorite, calcite and barite. Int. J. Miner. Process. 1985, 14, 161–176. [Google Scholar] [CrossRef]
  6. Filippova, I.V.; Filippov, L.O.; Duverger, A.; Severov, V.V. Synergetic effect of a mixture of anionic and nonionic reagents: Ca mineral contrast separation by flotation at neutral pH. Miner. Eng. 2014, 66–68, 135–144. [Google Scholar] [CrossRef]
  7. Atademir, M.R.; Kitchener, J.A.; Shergold, H.L. The surface chemistry and flotation of scheelite, II. Flotation “collectors”. Int. J. Miner. Process. 1981, 8, 9–16. [Google Scholar] [CrossRef]
  8. Foucaud, Y.; Lebègue, S.; Filippov, L.O.; Filippova, I.V.; Badawi, M. Molecular insight into fatty acid adsorption on bare and hydrated (111) fluorite surface. J. Phys. Chem. B 2018, 122, 12403–12410. [Google Scholar] [CrossRef] [PubMed]
  9. Ozcan, O.; Bulutcu, A.N. Electrokinetic, infrared and flotation studies of scheelite and calcite with oxine, alkyl oxine, oleoyl sarcosine and quebracho. Int. J. Miner. Process. 1993, 39, 275–290. [Google Scholar] [CrossRef]
  10. Gao, Z.; Gao, Y.; Zhu, Y.; Hu, Y.; Sun, W. Selective flotation of calcite from fluorite: A novel reagent schedule. Minerals 2016, 6, 114. [Google Scholar] [CrossRef]
  11. Wang, J.; Zhou, Z.; Gao, Y.; Sun, W.; Hu, Y.; Gao, Z. Reverse flotation separation of fluorite from calcite: A novel reagent scheme. Minerals 2018, 8, 313. [Google Scholar] [CrossRef]
  12. Zhu, H.; Qin, W.; Chen, C.; Chai, L.; Jiao, F.; Jia, W. Flotation separation of fluorite from calcite using polyaspartate as depressant. Miner. Eng. 2018, 120, 80–86. [Google Scholar] [CrossRef]
  13. Chen, Z.; Ren, Z.; Gao, H.; Zheng, R.; Jin, Y.; Niu, C. Flotation studies of fluorite and barite with sodium petroleum sulfonate and sodium hexametaphosphate. J. Mater. Res. Technol. 2019, 8, 1267–1273. [Google Scholar] [CrossRef]
  14. Rutledge, J. Fundamental Surface Chemistry and Froth Flotation Behavior Using Quebracho Tannins. Master’s Thesis, Colorado School of Mines, Golden, CO, USA, 2016. [Google Scholar]
  15. Tian, J.; Xu, L.; Sun, W.; Zeng, X.; Fang, S.; Han, H.; Hong, K.; Hu, Y. Use of Al2(SO4)3 and acidified water glass as mixture depressants in flotation separation of fluorite from calcite and celestite. Miner. Eng. 2019, 137, 160–170. [Google Scholar] [CrossRef]
  16. Gao, J.; Hu, Y.; Sun, W.; Liu, R.; Gao, Z.; Han, H.; Lyu, F.; Jiang, W. Enhanced separation of fluorite from calcite in acidic condition. Miner. Eng. 2019, 133, 103–105. [Google Scholar] [CrossRef]
  17. Pugh, R.J. Macromolecular organic depressants in sulphide flotation—A review, 1. Principles, types and applications. Int. J. Miner. Process. 1989, 25, 101–130. [Google Scholar] [CrossRef]
  18. Sarquís, P.E.; Menéndez-Aguado, J.M.; Mahamud, M.M.; Dzioba, R. Tannins: The organic depressants alternative in selective flotation of sulfides. J. Clean. Prod. 2014, 84, 723–726. [Google Scholar]
  19. Rutledge, J.; Anderson, C.G. Tannins in mineral processing and extractive metallurgy. Metals 2015, 5, 1520–1542. [Google Scholar] [CrossRef]
  20. Li, Y. Effect of dextrin on the adsorption behavior and surface characteristics of sub-bituminous coal and silica. ACS Omega 2019, 4, 7231–7236. [Google Scholar] [CrossRef]
  21. Zhang, C.; Sun, W.; Hu, Y.; Tang, H.; Yin, Z.; Guan, Q.; Gao, J. Investigation of two-stage depressing by using hydrophilic polymer to improve the process of fluorite flotation. J. Clean. Prod. 2018, 193, 228–235. [Google Scholar] [CrossRef]
  22. Bulatovic, S.M. Handbook of Flotation Reagents: Chemistry, Theory and Practice. Flotation of Sulfide Ores; Elsevier: Amsterdam, The Netherlands, 2007. [Google Scholar]
  23. Khayar, M.; Bessière, J. Study of the adsorption of collectors and depressants onto calcite by high frequency dielectric measurements. Int. J. Miner. Process. 2017, 166, 1–6. [Google Scholar] [CrossRef]
  24. Iskra, J.; Fleming, M.G.; Kitchener, J.A. Quebracho in Mineral Processing; Imperial College London: London, UK, 1980. [Google Scholar]
  25. Şahbaz, O.; Uçar, A.; Öteyaka, B.; Taş, O.; Özdemir, O. Separation of colemanite from tailings using the pilot scale flotation column. Powder Technol. 2017, 309, 31–36. [Google Scholar] [CrossRef]
  26. Harbort, G.; Clarke, D. Fluctuations in the popularity and usage of flotation columns—An overview. Miner. Eng. 2017, 100, 17–30. [Google Scholar] [CrossRef]
  27. Matiolo, E.; Couto, H.J.B.; de Lira Teixeira, M.F.; de Almeida, R.N.; de Freitas, A.S.A. Comparative study of different columns sizes for ultrafine apatite flotation. Minerals 2019, 9, 391. [Google Scholar] [CrossRef]
  28. Bueno-Tokunaga, A.; Pérez-Garibay, R.; Martínez-Carrillo, D. Zeta potential of air bubbles conditioned with typical froth flotation reagents. Int. J. Miner. Process. 2015, 140, 50–57. [Google Scholar] [CrossRef]
  29. Zhao, W.; Liu, D.; Li, H.; Feng, Q.; Xu, G.; Yuan, J.; Jia, X. Influence of pulp pH on flotation of fluorite and calcite. In Proceedings of the 2nd International Conference on Energy, Environment and Sustainable Development (EESD 2012), Jilin, China, 12–14 October 2012; pp. 614–618. [Google Scholar]
  30. Corpas-Martínez, J.R.; Pérez, A.; Navarro-Domínguez, R.; Amor-Castillo, C.; Martín-Lara, M.A.; Calero, M. Testing of new collectors for concentration of fluorite by flotation in pneumatic (modified hallimond tube) and mechanical cells. Minerals 2020, 10, 482. [Google Scholar] [CrossRef]
  31. Corpas-Martínez, J.R.; Pérez, A.; Amor-Castillo, C.; Navarro-Domínguez, R.; Martín-Lara, M.A.; Calero, M. Optimal depressants and collector dosage in fluorite flotation process based on DoE methodology. Appl. Sci. 2019, 9, 366. [Google Scholar] [CrossRef]
  32. Aliaga, W.; Sampaio, C.H.; Brum, I.A.S.D.; Ferreira, K.R.S.; Batistella, M.A. Flotation of high-grade fluorite in a short column under negative bias regime. Miner. Eng. 2006, 19, 1393–1396. [Google Scholar] [CrossRef]
  33. Han, H.; Peng, M.; Hu, Y.; Nguyen, A.V.; Sun, W. An SFG spectroscopy study of the interfacial water structure and the adsorption of sodium silicate at the fluorite and silica surfaces. Miner. Eng. 2019, 138, 178–187. [Google Scholar] [CrossRef]
  34. Zhang, G.; Gao, Y.; Chen, W.; Liu, D. The role of water glass in the flotation separation of fine fluorite from fine quartz. Minerals 2017, 7, 157. [Google Scholar] [CrossRef]
  35. Chen, W.; Chen, Y.; Bu, X.; Long, T.; Zhang, G.; Chen, F.; Liu, R.; Jia, K.; Song, Y. Rheological investigations on the hetero-coagulation between the fine fluorite and quartz under fluorite flotation-related conditions. Powder Technol. 2019, 354, 423–431. [Google Scholar] [CrossRef]
  36. Hanna, H.S.; Somasundaran, P. Flotation of Salt-Type Minerals; Fuerstenau, M.C., Ed.; Springer: Dordrecht, The Netherlands, 1976; pp. 197–272. [Google Scholar]
  37. Rao, K.H.; Forssberg, K.S.E. Mechanism of fatty acid adsorption in salt-type mineral flotation. Miner. Eng. 1991, 4, 879–890. [Google Scholar]
  38. Fuerstenau, D.W.; Bunge, R.C. The complex behavior of fatty acids in fluorite flotation. In Proceedings of the 23rd International Mineral Processing Congress, Istanbul, Turkey, 3–8 September 2006; pp. 501–515. [Google Scholar]
  39. Uçar, A.; Özdag, H. Mechanism of collector adsorption in fluorite flotation. Trans. Inst. Min. Metall. Sect. C 2002, 111, 100–105. [Google Scholar] [CrossRef]
  40. Quast, K. Literature review on the interaction of oleate with non-sulphide minerals using zeta potential. Miner. Eng. 2016, 94, 10–20. [Google Scholar] [CrossRef]
  41. Lin, D.; Nie, G.; Luo, G.; Tang, Z. Collect mechanisms of oleic acid on fluorite and calcite minerals. In Proceedings of the 3rd International Conference on Mechatronics and Information Technology (ICMIT), Shenzhen, China, 9–10 April 2016; pp. 665–671. [Google Scholar]
  42. Chen, W.; Feng, Q.; Zhang, G.; Yang, Q.; Zhang, C.; XU, F. The flotation separation of scheelite from calcite and fluorite using dextran sulfate sodium as depressant. Int. J. Miner. Process. 2017, 169, 53–59. [Google Scholar] [CrossRef]
  43. Rao, K.H.; Forssberg, K.S.E. Mechanism of oleate interaction on salt-type minerals. Part III. Adsorption, zeta potential and diffuse reflectance FT-IR studies of scheelite in the presence of sodium oleate. Colloids Surf. 1991, 54, 161–187. [Google Scholar] [CrossRef]
  44. Zhang, C.; Sun, W.; Hu, Y.; Tang, H.; Gao, J.; Yin, Z.; Guan, Q. Selective adsorption of tannic acid on calcite and implications for separation of fluorite minerals. J. Colloid Interface Sci. 2018, 512, 55–63. [Google Scholar] [CrossRef]
Figure 1. CaF2 (%) on concentrate for cell and column as pH function and type of depressant.
Figure 1. CaF2 (%) on concentrate for cell and column as pH function and type of depressant.
Applsci 10 05667 g001
Figure 2. Metallurgical recovery for cell and column as pH function and type of depressant.
Figure 2. Metallurgical recovery for cell and column as pH function and type of depressant.
Applsci 10 05667 g002
Figure 3. CaCO3 + MgCO3 (%) on concentrate for cell and column as pH function and type of depressant.
Figure 3. CaCO3 + MgCO3 (%) on concentrate for cell and column as pH function and type of depressant.
Applsci 10 05667 g003aApplsci 10 05667 g003b
Figure 4. SiO2 (%) on concentrate for cell and column as pH function and type of depressant.
Figure 4. SiO2 (%) on concentrate for cell and column as pH function and type of depressant.
Applsci 10 05667 g004
Table 1. Particle size distribution.
Table 1. Particle size distribution.
Particle Size (μm)Mass Weight (%)Cumulative Weight (%)
>1801.161.16
150–1803.454.61
120–1506.1810.79
90–1207.6718.46
75–9012.7131.17
52–7519.0450.21
36–5223.8174.02
0–3625.98100
Table 2. Chemical analysis of the mineral (mass fraction, %).
Table 2. Chemical analysis of the mineral (mass fraction, %).
CaF2CaCO3MgCO3SiO2Fe2O3PbOthers
44.1237.222.8014.040.680.28 0.85

Share and Cite

MDPI and ACS Style

Corpas-Martínez, J.R.; Pérez, A.; Navarro-Domínguez, R.; Amor-Castillo, C.; Martín-Lara, M.A.; Calero, M. Comparison Between Performance of Fluorite Flotation Under Different Depressants Reagents in Two Pieces of Laboratory Equipment. Appl. Sci. 2020, 10, 5667. https://doi.org/10.3390/app10165667

AMA Style

Corpas-Martínez JR, Pérez A, Navarro-Domínguez R, Amor-Castillo C, Martín-Lara MA, Calero M. Comparison Between Performance of Fluorite Flotation Under Different Depressants Reagents in Two Pieces of Laboratory Equipment. Applied Sciences. 2020; 10(16):5667. https://doi.org/10.3390/app10165667

Chicago/Turabian Style

Corpas-Martínez, J. R., A. Pérez, R. Navarro-Domínguez, C. Amor-Castillo, M. A. Martín-Lara, and M. Calero. 2020. "Comparison Between Performance of Fluorite Flotation Under Different Depressants Reagents in Two Pieces of Laboratory Equipment" Applied Sciences 10, no. 16: 5667. https://doi.org/10.3390/app10165667

APA Style

Corpas-Martínez, J. R., Pérez, A., Navarro-Domínguez, R., Amor-Castillo, C., Martín-Lara, M. A., & Calero, M. (2020). Comparison Between Performance of Fluorite Flotation Under Different Depressants Reagents in Two Pieces of Laboratory Equipment. Applied Sciences, 10(16), 5667. https://doi.org/10.3390/app10165667

Note that from the first issue of 2016, this journal uses article numbers instead of page numbers. See further details here.

Article Metrics

Back to TopTop