Nonlinear Vibration of Functionally Graded Graphene Nanoplatelets Polymer Nanocomposite Sandwich Beams
Abstract
1. Introduction
2. Material Properties and Geometry
3. Theoretical Formulations
3.1. Displacement Field and Strains
3.2. Equations of Motion
3.3. Solution Procedure
4. Numerical Results
4.1. Effect of the Amplitude of the Vibrations
4.2. Effect of the Power-Law Parameter
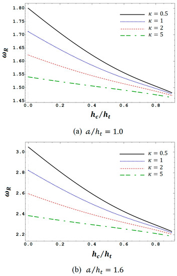
4.3. Effect of the Thickness of the Face Sheets
4.4. Effects of the Total Weight Fraction of the GPLs
5. Concluding Remarks
- -
- An increased amplitude of vibrations significantly increases the nonlinear frequency and its ratio to linear frequency. The sensitivity of the nonlinear response varies with the total amount of GPL reinforcement in the beam, as well as with the value of the power-law parameter and the thickness of the face sheets.
- -
- An increased power-law parameter can have different effects on the stiffness of the GPL-reinforced sandwich beam, depending on the value of the vibration amplitude and the total weight fraction of the GPLs.
- -
- There exists a threshold value for the vibration amplitude, after which the behavior of the system can change for an increased thickness of the face sheets and power-law parameter.
- -
- For low amplitude vibrations, the nonlinear frequency increases by increasing the power-law parameter and by decreasing the thickness of the faces sheets. For large amplitude vibrations, the contrary occurs by increasing both the power-law parameter and core-to-face thickness ratio.
- -
- The effect of an increasing power-law parameter and a decreasing thickness of the face sheets on the nonlinear-to-linear frequency ratio is independent of the vibration amplitude.
- -
- An increasing total weight fraction of GPLs in the beam generally increases the nonlinear frequency of the system. The sensitivity of the nonlinear-to-linear frequency ratio can be more or less pronounced, depending on the GPL dispersion pattern in the face sheets.
- -
- The proposed parametric study would be of great interest for optimization and design of materials and for an appropriate evaluation of stability for sandwich beams under different environmental conditions, which would prove useful in many space and aircraft applications.
Author Contributions
Funding
Conflicts of Interest
Appendix A
References
- Birman, V.; Kardomateas, G.A. Review of current trends in research and applications of sandwich structures. Compos. Part B Eng. 2018, 142, 221–240. [Google Scholar] [CrossRef]
- Vescovini, R.; D’Ottavio, M.; Dozio, L.; Polit, O. Buckling and wrinkling of anisotropic sandwich plates. Int. J. Eng. Sci. 2018, 130, 136–156. [Google Scholar] [CrossRef]
- Safaei, B.; Dastjerdi, R.M.; Qin, Z.; Chu, F. Frequency-dependent forced vibration analysis of nanocomposite sandwich plate under thermo-mechanical loads. Compos. Part B Eng. 2019, 161, 44–54. [Google Scholar] [CrossRef]
- Solyaev, Y.; Lurie, S.; Koshurina, A.; Dobryanskiy, V.; Kachanov, M. On a combined thermal/mechanical performance of a foam-filled sandwich panels. Int. J. Eng. Sci. 2019, 134, 66–76. [Google Scholar] [CrossRef]
- Waddar, S.; Pitchaimani, J.; Doddamani, M.; Barbero, E. Buckling and vibration behaviour of syntactic foam core sandwich beam with natural fiber composite facings under axial compressive loads. Compos. Part B Eng. 2019, 175, 107133. [Google Scholar] [CrossRef]
- Kahya, V.; Turan, M. Vibration and stability analysis of functionally graded sandwich beams by a multi-layer finite element. Compos. Part B Eng. 2018, 146, 198–212. [Google Scholar] [CrossRef]
- Li, Y.H.; Dong, Y.H.; Qin, Y.; Lv, H.W. Nonlinear forced vibration and stability of an axially moving viscoelastic sandwich beam. Int. J. Mech. Sci. 2018, 138, 131–145. [Google Scholar] [CrossRef]
- Safaei, B.; Dastjerdi, R.M.; Chu, F. Effect of thermal gradient load on thermo-elastic vibrational behavior of sandwich plates reinforced by carbon nanotube agglomerations. Compos. Struct. 2018, 192, 28–37. [Google Scholar] [CrossRef]
- Aria, A.I.; Friswell, M.I. Computational hygro-thermal vibration and buckling analysis of functionally graded sandwich microbeams. Compos. Part B Eng. 2019, 165, 785–797. [Google Scholar] [CrossRef]
- Huang, Q.; Choe, J.; Yang, J.; Hui, Y.; Xu, R.; Hu, H. An efficient approach for post-buckling analysis of sandwich structures with elastic-plastic material behavior. Int. J. Eng. Sci. 2019, 142, 20–35. [Google Scholar] [CrossRef]
- Joubaneh, E.F.; Barry, O.R.; Oguamanam, D.C.D. Vibrations of sandwich beams with tip mass: Numerical and experimental investigations. Compos. Struct. 2019, 210, 628–640. [Google Scholar] [CrossRef]
- Nguyen, N.D.; Nguyen, T.K.; Vo, T.P.; Nguyen, T.N.; Lee, S. Vibration and buckling behaviours of thin-walled composite and functionally graded sandwich I-beams. Compos. Part B Eng. 2019, 166, 414–427. [Google Scholar] [CrossRef]
- Youzera, H.; Meftah, S.A. Nonlinear damping and forced vibration behaviour of sandwich beams with transverse normal stress. Compos. Struct. 2017, 179, 258–268. [Google Scholar] [CrossRef]
- Wang, Z.X.; Shen, H.S. Nonlinear vibration of sandwich plates with FG-GRC face sheets in thermal environments. Compos. Struct. 2018, 192, 642–653. [Google Scholar] [CrossRef]
- Karamanli, A.; Aydogdu, M. Buckling of laminated composite and sandwich beams due to axially varying in-plane loads. Compos. Struct. 2019, 210, 391–408. [Google Scholar] [CrossRef]
- Nematollahi, M.S.; Mohammadi, H. Geometrically nonlinear vibration analysis of sandwich nanoplates based on higher-order nonlocal strain gradient theory. Int. J. Mech. Sci. 2019, 156, 31–45. [Google Scholar] [CrossRef]
- Wang, X.; Tang, F.; Qi, X.; Lin, Z. Mechanical, electrochemical, and durability behavior of graphene nano-platelet loaded epoxy-resin composite coatings. Compos. Part B Eng. 2019, 176, 107103. [Google Scholar] [CrossRef]
- Wang, Y.; Feng, C.; Santiuste, C.; Zhao, Z.; Yang, J. Buckling and postbuckling of dielectric composite beam reinforced with Graphene Platelets (GPLs). Aerosp. Sci. Technol. 2019, 91, 208–218. [Google Scholar] [CrossRef]
- Wang, Y.Q.; Ye, C.; Zu, J.W. Nonlinear vibration of metal foam cylindrical shells reinforced with graphene platelets. Aerosp. Sci. Technol. 2019, 85, 359–370. [Google Scholar] [CrossRef]
- Wang, Z.; Li, Z.; Xiong, W. Numerical study on three-point bending behavior of honeycomb sandwich with ceramic tile. Compos. Part B Eng. 2019, 167, 63–70. [Google Scholar] [CrossRef]
- Sobhy, M.; Zenkour, A.M. Magnetic field effect on thermomechanical buckling and vibration of viscoelastic sandwich nanobeams with CNT reinforced face sheets on a viscoelastic substrate. Compos. Part B Eng. 2018, 154, 492–506. [Google Scholar] [CrossRef]
- Wang, M.; Li, Z.M.; Qiao, P. Vibration analysis of sandwich plates with carbon nanotube-reinforced composite face-sheets. Compos. Struct. 2018, 200, 799–809. [Google Scholar] [CrossRef]
- Mehar, K.; Panda, S.K. Theoretical deflection analysis of multi-walled carbon nanotube reinforced sandwich panel and experimental verification. Compos. Part B Eng. 2019, 167, 317–328. [Google Scholar] [CrossRef]
- Naderi Beni, N. Free vibration analysis of annular sector sandwich plates with FG-CNT reinforced composite face-sheets based on the carrera’s unified formulation. Compos. Struct. 2019, 214, 269–292. [Google Scholar] [CrossRef]
- Zegeye, E.; Ghamsari, A.K.; Woldesenbet, E. Mechanical properties of graphene platelets reinforced syntactic foams. Compos. Part B Eng. 2014, 60, 268–273. [Google Scholar] [CrossRef]
- Liang, J.Z.; Du, Q.; Tsui, G.C.P.; Tang, C.Y. Tensile properties of graphene nano-platelets reinforced polypropylene composites. Compos. Part B Eng. 2016, 95, 166–171. [Google Scholar] [CrossRef]
- Nieto, A.; Bisht, A.; Lahiri, D.; Zhang, C.; Agarwal, A. Graphene reinforced metal and ceramic matrix composites: A review. Int. Mater. Rev. 2017, 62, 241–302. [Google Scholar] [CrossRef]
- Nazarenko, L.; Chirkov, A.Y.; Stolarski, H.; Altenbach, H. On modeling of carbon nanotubes reinforced materials and on influence of carbon nanotubes spatial distribution on mechanical behavior of structural elements. Int. J. Eng. Sci. 2019, 143, 1–13. [Google Scholar] [CrossRef]
- Aluko, O.; Gowtham, S.; Odegard, G.M. Multiscale modeling and analysis of graphene nanoplatelet/carbon fiber/epoxy hybrid composite. Compos. Part B Eng. 2017, 131, 82–90. [Google Scholar] [CrossRef]
- Feng, C.; Kitipornchai, S.; Yang, J. Nonlinear free vibration of functionally graded polymer composite beams reinforced with graphene nanoplatelets (GPLs). Eng. Struct. 2017, 140, 110–119. [Google Scholar] [CrossRef]
- Kitipornchai, S.; Chen, D.; Yang, J. Free vibration and elastic buckling of functionally graded porous beams reinforced by graphene platelets. Mater. Des. 2017, 116, 656–665. [Google Scholar] [CrossRef]
- Karami, B.; Shahsavari, D.; Janghorban, M.; Tounsi, A. Resonance behavior of functionally graded polymer composite nanoplates reinforced with graphene nanoplatelets. Int. J. Mech. Sci. 2019, 156, 94–105. [Google Scholar] [CrossRef]
- Soldano, C.; Mahmood, A.; Dujardin, E. Production, properties and potential of graphene. Carbon 2010, 48, 2127–2150. [Google Scholar] [CrossRef]
- Singh, V.; Joung, D.; Zhai, L.; Das, S.; Khondaker, S.I.; Seal, S. Graphene based materials: Past, present and future. Prog. Mater. Sci. 2011, 56, 1178–1271. [Google Scholar] [CrossRef]
- Nematollahi, M.S.; Mohammadi, H.; Nematollahi, M.A. Thermal vibration analysis of nanoplates based on the higher-order nonlocal strain gradient theory by an analytical approach. Superlattices Microstruct. 2017, 111, 944–959. [Google Scholar] [CrossRef]
- Tian, F.; Lyu, J.; Shi, J.; Yang, M. Graphene and graphene-like two-denominational materials based fluorescence resonance energy transfer (FRET) assays for biological applications. Biosens Bioelectr. 2017, 89, 123–135. [Google Scholar] [CrossRef]
- Wentzel, D.; Miller, S.; Sevostianov, I. Dependence of the electrical conductivity of graphene reinforced epoxy resin on the stress level. Int. J. Eng. Sci. 2017, 120, 63–70. [Google Scholar] [CrossRef]
- Idowu, A.; Boesl, B.; Agarwal, A. 3D graphene foam-reinforced polymer composites—A review. Carbon 2018, 135, 52–71. [Google Scholar] [CrossRef]
- Jiao, P.; Alavi, A.H. Buckling analysis of graphene-reinforced mechanical metamaterial beams with periodic webbing patterns. Int. J. Eng. Sci. 2018, 131, 1–18. [Google Scholar] [CrossRef]
- Chiker, Y.; Bachene, M.; Guemana, M.; Attaf, B.; Rechak, S. Free vibration analysis of multilayer functionally graded polymer nanocomposite plates reinforced with nonlinearly distributed carbon-based nanofillers using a layer-wise formulation model. Aerosp. Sci. Technol. 2020, 104, 105913. [Google Scholar] [CrossRef]
- Li, C.; Han, Q. Semi-analytical wave characteristics analysis of graphene-reinforced piezoelectric polymer nanocomposite cylindrical shells. Int. J. Mech. Sci. 2020, 186, 105890. [Google Scholar] [CrossRef]
- Keshtegar, B.; Motezaker, M.; Kolahchi, R.; Trung, N.T. Wave propagation and vibration responses in porous smart nanocomposite sandwich beam resting on Kerr foundation considering structural damping. Thin Wall. Struct. 2020, 154, 106820. [Google Scholar] [CrossRef]
- Do, V.N.V.; Lee, C.H. Static bending and free vibration analysis of multilayered composite cylindrical and spherical panels reinforced with graphene platelets by using isogeometric analysis method. Eng. Struct. 2020, 215, 110682. [Google Scholar] [CrossRef]
- Shen, H.S.; Xiang, Y.; Fan, Y.; Hui, D. Nonlinear vibration of functionally graded graphene-reinforced composite laminated cylindrical panels resting on elastic foundations in thermal environments. Compos. Part B Eng. 2018, 136, 177–186. [Google Scholar] [CrossRef]
- Yu, Y.; Shen, H.S.; Wang, H.; Hui, D. Postbuckling of sandwich plates with graphene-reinforced composite face sheets in thermal environments. Compos. Part B Eng. 2018, 135, 72–83. [Google Scholar] [CrossRef]
- Arefi, M.; Rezaei, B.E.M.; Dimitri, R.; Bacciocchi, M.; Tornabene, F. Nonlocal bending analysis of curved nanobeams reinforced by graphene nanoplatelets. Compos. Part B Eng. 2019, 166, 1–12. [Google Scholar] [CrossRef]
- Arefi, M.; Bidgoli, E.M.R.; Dimitri, R.; Tornabene, F.; Reddy, J.N. Size-dependent free vibrations of FG polymer composite curved nanobeams reinforced with graphene nanoplatelets resting on Pasternak foundations. Appl. Sci. 2019, 9, 1580. [Google Scholar] [CrossRef]
- Jalaei, M.H.; Dimitri, R.; Tornabene, F. Dynamic stability of temperature-dependent graphene sheet embedded in an elastomeric medium. Appl. Sci. 2019, 9, 887. [Google Scholar] [CrossRef]
- Liu, Z.; Yang, C.; Gao, W.; Wu, D.; Li, G. Nonlinear behaviour and stability of functionally graded porous arches with graphene platelets reinforcements. Int. J. Eng. Sci. 2019, 137, 37–56. [Google Scholar] [CrossRef]
- Nguyen, N.V.; Lee, J.; Xuan, H.N. Active vibration control of GPLs-reinforced FG metal foam plates with piezoelectric sensor and actuator layers. Compos. Part B Eng. 2019, 172, 769–784. [Google Scholar] [CrossRef]
- Polit, O.; Anant, C.; Anirudh, B.; Ganapathi, M. Functionally graded graphene reinforced porous nanocomposite curved beams: Bending and elastic stability using a higher-order model with thickness stretch effect. Compos. Part B Eng. 2019, 166, 310–327. [Google Scholar] [CrossRef]
- Saidi, A.R.; Bahaadini, R.; Mozafari, K.M. On vibration and stability analysis of porous plates reinforced by graphene platelets under aerodynamical loading. Compos. Part B Eng. 2019, 164, 778–799. [Google Scholar] [CrossRef]
- Heydarpour, Y.; Malekzadeh, P.; Dimitri, R.; Tornabene, F. Thermoelastic analysis of rotating multilayer FG-GPLRC truncated conical shells based on a coupled TDQM-NURBS scheme. Compos. Struct. 2020, 235, 111707. [Google Scholar] [CrossRef]
- Affdl, J.C.H.; Kardos, J.L. The halpin-tsai equations: A review. Polym. Eng. Sci. 1976, 16, 344–352. [Google Scholar] [CrossRef]
- Reddy, J.N. Mechanics of Laminated Composite Plates and Shells: Theory and Analysis, 2nd ed.; CRC Press: Boca Raton, FL, USA, 2004. [Google Scholar]
- Reddy, J.N. Theory and Analysis of Elastic Plates and Shells, 2nd ed.; Taylor & Francis: Oxfordshire, UK, 2006. [Google Scholar]
- Nayfeh, A.H. Perturbation Methods; Wiley: Hoboken, NJ, USA, 1973. [Google Scholar]
- Nayfeh, A.H.; Mook, D.T. Nonlinear Oscillations; Wiley: Hoboken, NJ, USA, 1995. [Google Scholar]
- Vo, T.P.; Thai, H.T. Free vibration of axially loaded rectangular composite beams using refined shear deformation theory. Compos. Struct. 2012, 94, 3379–3387. [Google Scholar] [CrossRef]
- Li, Z.M.; Qiao, P. On an exact bending curvature model for nonlinear free vibration analysis shear deformable anisotropic laminated beams. Compos. Struct. 2014, 108, 243–258. [Google Scholar] [CrossRef]
- Shen, H.S.; Lin, F.; Xiang, Y. Nonlinear vibration of functionally graded graphene-reinforced composite laminated beams resting on elastic foundations in thermal environments. Nonlinear Dyn. 2017, 90, 899–914. [Google Scholar] [CrossRef]












| Pattern | Reference | Mode | ||
|---|---|---|---|---|
| 1 | 2 | 3 | ||
| UD () | Feng et al. [30] | 0.21542 | 0.85226 | 1.88292 |
| Present | 0.23482 | 0.92903 | 2.05352 | |
| FG-X () | Feng et al. [30] | 0.25853 | 1.01309 | 2.20666 |
| Present | 0.26759 | 1.05199 | 2.30258 | |
| Pattern | Reference | Mode | ||
|---|---|---|---|---|
| 1 | 2 | 3 | ||
| UD () | Feng et al. [30] | 0.27259 | 1.07270 | 2.33122 |
| Present | 0.29020 | 1.08015 | 2.41741 | |
| FG-X () | Feng et al. [30] | 0.31973 | 1.20509 | 2.54097 |
| Present | 0.31619 | 1.18544 | 2.62712 | |
| Reference | Mode | |||
|---|---|---|---|---|
| 1 | 2 | 3 | 4 | |
| Shen et al. [61] | 2.3100 | 6.9538 | 11.9707 | 17.0393 |
| Li and Qiao [60] | 2.3188 | 7.0204 | 12.0894 | 17.3139 |
| Vo and Thai [59] | 2.3198 | 7.0091 | 12.1250 | 17.2949 |
| Present | 2.4038 | 7.2110 | 12.3975 | 17.6279 |
| 0.5 | 1 | 2 | 5 | ||
|---|---|---|---|---|---|
| 10 | 0.5 | 1.52551 | 1.53220 | 1.54115 | 1.54952 |
| 1 | 1.96610 | 1.97452 | 1.98470 | 1.99110 | |
| 2 | 2.62940 | 2.63683 | 2.64207 | 2.63204 | |
| 20 | 0.5 | 0.38485 | 0.38708 | 0.39006 | 0.39311 |
| 1 | 0.49821 | 0.50165 | 0.50612 | 0.51036 | |
| 2 | 0.66931 | 0.67405 | 0.67978 | 0.68391 | |
| 0.5 | 1 | 2 | 5 | ||
|---|---|---|---|---|---|
| 10 | 0.5 | 1.59007 | 1.56735 | 1.54135 | 1.51106 |
| 1 | 1.55652 | 1.53643 | 1.51484 | 1.49074 | |
| 2 | 1.54324 | 1.52830 | 1.51607 | 1.50875 | |
| 20 | 0.5 | 1.55431 | 1.53007 | 1.50227 | 1.47047 |
| 1 | 1.51103 | 1.48708 | 1.46023 | 1.42993 | |
| 2 | 1.48700 | 1.46431 | 1.43990 | 1.41399 | |
© 2020 by the authors. Licensee MDPI, Basel, Switzerland. This article is an open access article distributed under the terms and conditions of the Creative Commons Attribution (CC BY) license (http://creativecommons.org/licenses/by/4.0/).
Share and Cite
Nematollahi, M.S.; Mohammadi, H.; Dimitri, R.; Tornabene, F. Nonlinear Vibration of Functionally Graded Graphene Nanoplatelets Polymer Nanocomposite Sandwich Beams. Appl. Sci. 2020, 10, 5669. https://doi.org/10.3390/app10165669
Nematollahi MS, Mohammadi H, Dimitri R, Tornabene F. Nonlinear Vibration of Functionally Graded Graphene Nanoplatelets Polymer Nanocomposite Sandwich Beams. Applied Sciences. 2020; 10(16):5669. https://doi.org/10.3390/app10165669
Chicago/Turabian StyleNematollahi, Mohammad Sadegh, Hossein Mohammadi, Rossana Dimitri, and Francesco Tornabene. 2020. "Nonlinear Vibration of Functionally Graded Graphene Nanoplatelets Polymer Nanocomposite Sandwich Beams" Applied Sciences 10, no. 16: 5669. https://doi.org/10.3390/app10165669
APA StyleNematollahi, M. S., Mohammadi, H., Dimitri, R., & Tornabene, F. (2020). Nonlinear Vibration of Functionally Graded Graphene Nanoplatelets Polymer Nanocomposite Sandwich Beams. Applied Sciences, 10(16), 5669. https://doi.org/10.3390/app10165669

