Nonionic Surfactant to Enhance the Performances of Alkaline–Surfactant–Polymer Flooding with a Low Salinity Constraint
Abstract
1. Introduction
2. Description of Chemicals, Brine, and Crude Oil
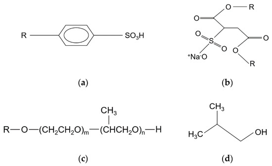
2.1. Alkali, Anionic Sufractant Pair, and Polymer
2.2. Add-On Chemical: Nonionic Surfactant Versus Heavy Alcohol
2.3. Brine and Crude Oil Samples
3. Experimental Procedure
3.1. Phase Behavior Test
3.2. Coreflooding Test
4. Results and Discussion
4.1. Phase Behavior Test
4.2. Coreflooding Test
5. Conclusions
Author Contributions
Funding
Conflicts of Interest
References
- Taber, J.; Martin, F.; Seright, R. EOR screening criteria revisited—Part 1: Introduction to screening criteria and enhanced recovery field projects. SPE Reserv. Eng. 1997, 12, 189–198. [Google Scholar] [CrossRef]
- Taber, J.; Martin, F.; Seright, R. EOR screening criteria revisited—Part 2: Applications and impact of oil prices. SPE Reserv. Eng. 1997, 12, 199–206. [Google Scholar] [CrossRef]
- Doust, H.; Noble, R.A. Petroleum systems of Indonesia. Mar. Pet. Geol. 2008, 25, 103–129. [Google Scholar] [CrossRef]
- Sheng, J.J. A comprehensive review of alkaline-surfactant-polymer (ASP) flooding. Asia Pac. J. Chem. Eng. 2014, 9, 471–489. [Google Scholar] [CrossRef]
- Susilawati, R.; Esterle, J.; Golding, S.; Mares, T.E. Microbial methane potential for the South Sumatra Basin coal: Formation water screening and coal substrate bioavailability. Energy Procedia 2015, 65, 282–291. [Google Scholar] [CrossRef]
- Schiefelbein, C.; Cameron, N. Sumatra/Java oil families. Geol. Soc. Lond. Spéc. Publ. 1997, 126, 143–146. [Google Scholar] [CrossRef]
- Kasim, S.A.; Armstrong, J. Oil-oil correlation of the South Sumatra Basin reservoirs. J. Pet. Gas Eng. 2015, 6, 54–61. [Google Scholar] [CrossRef][Green Version]
- Gregersen, C.S.; Kazempour, M.; Alvarado, V. ASP design for the Minnelusa formation under low-salinity conditions: Impacts of anhydrite on ASP performance. Fuel 2013, 105, 368–382. [Google Scholar] [CrossRef]
- Hirasaki, G.; Miller, C.A.; Puerto, M. Recent advances in surfactant EOR. SPE J. 2011, 16, 889–907. [Google Scholar] [CrossRef]
- Li, Y.; Zhang, W.; Kong, B.; Puerto, M.; Bao, X.; Sha, O.; Shen, Z.; Yang, Y.; Liu, Y.; Gu, S.; et al. Mixtures of anionic/cationic surfactants: A new approach for enhanced oil recovery in low-salinity, high-temperature sandstone reservoir. SPE J. 2016, 21, 1164–1177. [Google Scholar] [CrossRef]
- Barnes, J.R.; Smit, J.; Smit, J.; Shpakoff, G.; Raney, K.H.; Puerto, M. Development of surfactants for chemical flooding at difficult reservoir conditions. In Proceedings of the SPE Symposium on Improved Oil Recovery, Tulsa, OK, USA, 20–23 April 2008. [Google Scholar] [CrossRef]
- Negin, C.; Ali, S.; Xie, Q. Most common surfactants employed in chemical enhanced oil recovery. Petroleum 2017, 3, 197–211. [Google Scholar] [CrossRef]
- Pal, S.; Mushtaq, M.; Banat, F.; Al Sumaiti, A.M. Review of surfactant-assisted chemical enhanced oil recovery for carbonate reservoirs: Challenges and future perspectives. Pet. Sci. 2017, 15, 77–102. [Google Scholar] [CrossRef]
- Gbadamosi, A.O.; Junin, R.; Manan, M.A.; Agi, A.; Yusuff, A.S. An overview of chemical enhanced oil recovery: Recent advances and prospects. Int. Nano Lett. 2019, 9, 171–202. [Google Scholar] [CrossRef]
- Stoll, W.M.; Al Shureqi, H.; Finol, J.; Al-Harthy, S.A.; Oyemade, S.N.; De Kruijf, A.; Van Wunnik, J.; Arkesteijn, F.; Bouwmeester, R.; Faber, M. Alkaline/surfactant/polymer flood: From the laboratory to the field. SPE Reserv. Eval. Eng. 2011, 14, 702–712. [Google Scholar] [CrossRef]
- Sagi, A.R.; Puerto, M.; Bian, Y.; Miller, C.A.; Hirasaki, G.J.; Salehi, M.; Thomas, C.P.; Kwan, J.T. Laboratory studies for surfactant flood in low-temperature, low-salinity fractured carbonate reservoir. In Proceedings of the SPE International Symposium on Oilfield Chemistry, The Woodlands, TX, USA, 8–10 April 2013. [Google Scholar] [CrossRef]
- Ben Shiau, B.J.; Hsu, T.-P.; Lohateeraparp, P.; Rojas, M.R.; Budhathoki, M.; Raj, A.; Wan, W.; Bang, S.; Harwell, J.H. Recovery of oil from high salinity reservoir using chemical flooding: From laboratory to field tests. In Proceedings of the SPE Enhanced Oil Recovery Conference, Kuala Lumpur, Malaysia, 2–4 July 2013. [Google Scholar] [CrossRef]
- Yan, L.-M.; Cui, Z.; Song, B.; Pei, X.; Jiang, J. Improving performances of double-chain single-head surfactants for SP flooding by combining with conventional anionic surfactants. J. Dispers. Sci. Technol. 2017, 39, 130–137. [Google Scholar] [CrossRef]
- Yan, L.-M.; Li, Y.-L.; Cui, Z.; Song, B.; Pei, X.-M.; Jiang, J.-Z. Performances of guerbet alcohol ethoxylates for surfactant–polymer flooding free of alkali. Energy Fuels 2017, 31, 9319–9327. [Google Scholar] [CrossRef]
- Riswati, S.S.; Bae, W.; Park, C.; Permadi, A.K.; Efriza, I.; Min, B. Experimental analysis to design optimum phase type and salinity gradient of alkaline surfactant polymer flooding at low saline reservoir. J. Pet. Sci. Eng. 2019, 173, 1005–1019. [Google Scholar] [CrossRef]
- Novriansyah, A.; Bae, W.; Park, C.; Permadi, A.; Riswati, S.S. Optimal design of alkaline–surfactant–polymer flooding under low salinity environment. Polymers 2020, 12, 626. [Google Scholar] [CrossRef]
- Tagavifar, M.; Herath, S.; Weerasooriya, U.P.; Sepehrnoori, K.; Pope, G. Measurement of microemulsion viscosity and its implications for chemical enhanced oil recovery. SPE J. 2018, 23, 066–083. [Google Scholar] [CrossRef]
- Upamali, K.A.N.; Liyanage, P.J.; Jang, S.H.; Shook, E.; Weerasooriya, U.P.; Pope, G. New surfactants and cosolvents increase oil recovery and reduce cost. SPE J. 2018, 23, 2202–2217. [Google Scholar] [CrossRef]
- Yang, H.T.; Britton, C.; Liyanage, P.J.; Solairaj, S.; Kim, H.; Nguyen, Q.P.; Weerasooriya, U.; Pope, G. Low-cost, high-performance chemicals for enhanced oil recovery. In Proceedings of the SPE Improved Oil Recovery Symposium, Tulsa, OK, USA, 24–28 April 2010. [Google Scholar] [CrossRef]
- Salager, J.-L.; Forgiarini, A.; Márquez, L.; Manchego, L.; Bullón, J. How to attain an ultralow interfacial tension and a three-phase behavior with a surfactant formulation for enhanced oil recovery: A review. Part 2. performance improvement trends from Winsor’s premise to currently proposed inter- and intra-molecular mixtures. J. Surfactants Deterg. 2013, 16, 631–663. [Google Scholar] [CrossRef] [PubMed]
- Kamal, M. A review of gemini surfactants: Potential application in enhanced oil recovery. J. Surfactants Deterg. 2015, 19, 223–236. [Google Scholar] [CrossRef]
- Pandey, A. Refinement of chemical selection for the planned ASP pilot in Mangala field—Additional phase behaviour and coreflood studies. In Proceedings of the SPE Oil and Gas India Conference and Exhibition, Mumbai, India, 20–22 January 2010. [Google Scholar] [CrossRef]
- Naylor, C.G. Nonionic surfactants containing propylene oxide. J. Am. Oil Chem. Soc. 1986, 63, 1201–1208. [Google Scholar] [CrossRef]
- Yada, S.; Suzuki, T.; Hashimoto, S.; Yoshimura, T. Adsorption and aggregation properties of homogeneous polyoxypropylene–polyoxyethylene alkyl ether type nonionic surfactants. Langmuir 2017, 33, 3794–3801. [Google Scholar] [CrossRef]
- Puerto, M.; Hirasaki, G.J.; Miller, C.A.; Barnes, J.R. Surfactant systems for EOR in high-temperature, high-salinity environments. SPE J. 2012, 17, 11–19. [Google Scholar] [CrossRef]
- Adkins, S.; Arachchilage, G.W.P.; Solairaj, S.; Lu, J.; Weerasooriya, U.; Pope, G. Development of thermally and chemically stable large-hydrophobe alkoxy carboxylate surfactants. In Proceedings of the SPE Improved Oil Recovery Symposium, Tulsa, OK, USA, 14–18 April 2012. [Google Scholar] [CrossRef]
- Lu, J.; Britton, C.; Solairaj, S.; Liyanage, P.J.; Kim, H.; Adkins, S.; Arachchilage, G.W.P.P.; Weerasooriya, U.; Pope, G. Novel large-hydrophobe alkoxy carboxylate surfactants for enhanced oil recovery. SPE J. 2014, 19, 1024–1034. [Google Scholar] [CrossRef]
- Barnes, J.R.; Groen, K.; On, A.; Dubey, S.T.; Reznik, C.; Buijse, M.A.; Shepherd, A.G. Controlled hydrophobe branching to match surfactant to crude composition for chemical EOR. In Proceedings of the SPE Improved Oil Recovery Symposium, Tulsa, OK, USA, 14–18 April 2012. [Google Scholar] [CrossRef]
- Song, B.; Hu, X.; Shui, X.; Cui, Z.; Wang, Z. A new type of renewable surfactants for enhanced oil recovery: Dialkylpolyoxyethylene ether methyl carboxyl betaines. Colloids Surf. A Physicochem. Eng. Asp. 2016, 489, 433–440. [Google Scholar] [CrossRef]
- Bounel, M.; Schechter, R.S. Microemulsions and Related Systems: Formulation, Solvency, and Physical Properties; Editions Technip: Paris, France, 2010; ISBN 9782710809562. [Google Scholar]
- Sheng, J.J. Modern Chemical Enhanced Oil Recovery: Theory and Practice; Gulf Professional Publishing: Burlington, VT, USA, 2010; ISBN 9781856177450. [Google Scholar]
- Huh, C. Interfacial tensions and solubilizing ability of a microemulsion phase that coexists with oil and brine. J. Colloid Interface Sci. 1979, 71, 408–426. [Google Scholar] [CrossRef]
- Cao, Y.; Zhao, R.-H.; Zhang, L.; Xu, Z.-C.; Jin, Z.-Q.; Luo, L.; Zhang, L.; Zhao, S. Effect of electrolyte and temperature on interfacial tensions of alkylbenzene sulfonate solutions. Energy Fuels 2012, 26, 2175–2181. [Google Scholar] [CrossRef]
- Healy, R.; Reed, R.; Stenmark, D. Multiphase microemulsion systems. SPE J. 1976, 16, 147–160. [Google Scholar] [CrossRef]









| Winsor Types | Type I | Type II | Type III |
|---|---|---|---|
| Surfactant form | Oil-in-water emulsion in the aqueous phase | Water-in-oil emulsion in the oil phase | A separate phase between the oil and the aqueous phases |
| Features | Cannot achieve the ultralow interfacial tension | Lead to surfactant retention | Ideal to obtain the ultralow interfacial tension |
| ASP Element | Name | Trade Name (Abbreviation) | Concentration (wt%) |
|---|---|---|---|
| Alkaline | Sodium carbonate (Na2CO3) | Sodium carbonate (Na2CO3) | 0.2 |
| Polymer | Hydrolyzed Polyacrylamide | A-430PB (HPAM) | 0.15 |
| Anionic surfactant pair | Linear alkylbenzene sulfonate (C11–C13) | ASCO96 (LAS) | 0.05 |
| Dioctyl sulfosuccinate (C8–C8) | ASCODOSS (DOSS) | 0.2 | |
| Nonionic surfactant (control group) | Polyoxyethylene polyoxypropylene alkyl ether (C12 60PO:40EO) | Hannong Koremul-LB-95 (LB-95) | 0.2 |
| Heavy alcohol (comparison group) | Isobutyl alcohol (C4H10O) | Iso-butanol (IBA) | 0.2 |
| Reservoir Fluid | Property | Value or Amount |
|---|---|---|
| Formation water (brine) | Magnesium | 0.12 wt% |
| Barium | 0.005 wt% | |
| Chloride | 0.31wt% | |
| Sodium | 0.04 wt% | |
| Sulfate | 0.01 wt% | |
| Calcium | 0.00202 wt% | |
| Bicarbonate | 0.16 wt% | |
| Crude oil | API gravity (oAPI) 1 | 42.8 |
| Viscosity (cp) | 0.85 at 25 °C and 1 atm |
| Cases | Solubilization Ratio (mL/mL) | Optimum Salinity (wt% NaCl) | Interfacial Tension (mN/m) |
|---|---|---|---|
| Reference case | 18 | 1.7 | 0.93 × 10−3 |
| Proposed case | 16 | 1.1 | 1.17 × 10−3 |
| ASP Flooding | Pre-Flush | ASP Slug | Polymer Drive |
|---|---|---|---|
| Salinity (wt% NaCl) | 0.64 | 1.1 (the proposed case) 1.7 (the reference case) | 0.64 |
| Pore volume injected | 2.0 | 0.4 | 1.6 |
© 2020 by the authors. Licensee MDPI, Basel, Switzerland. This article is an open access article distributed under the terms and conditions of the Creative Commons Attribution (CC BY) license (http://creativecommons.org/licenses/by/4.0/).
Share and Cite
Riswati, S.S.; Bae, W.; Park, C.; Permadi, A.K.; Novriansyah, A. Nonionic Surfactant to Enhance the Performances of Alkaline–Surfactant–Polymer Flooding with a Low Salinity Constraint. Appl. Sci. 2020, 10, 3752. https://doi.org/10.3390/app10113752
Riswati SS, Bae W, Park C, Permadi AK, Novriansyah A. Nonionic Surfactant to Enhance the Performances of Alkaline–Surfactant–Polymer Flooding with a Low Salinity Constraint. Applied Sciences. 2020; 10(11):3752. https://doi.org/10.3390/app10113752
Chicago/Turabian StyleRiswati, Shabrina Sri, Wisup Bae, Changhyup Park, Asep K. Permadi, and Adi Novriansyah. 2020. "Nonionic Surfactant to Enhance the Performances of Alkaline–Surfactant–Polymer Flooding with a Low Salinity Constraint" Applied Sciences 10, no. 11: 3752. https://doi.org/10.3390/app10113752
APA StyleRiswati, S. S., Bae, W., Park, C., Permadi, A. K., & Novriansyah, A. (2020). Nonionic Surfactant to Enhance the Performances of Alkaline–Surfactant–Polymer Flooding with a Low Salinity Constraint. Applied Sciences, 10(11), 3752. https://doi.org/10.3390/app10113752

