Enhancing Athlete Resilience: Preliminary Validation of the Sports Mind Inventory and the Impact of Yoga of Immortals on Sports-Related Stress
Abstract
1. Introduction
2. Materials and Methods
2.1. Sports Mind Inventory
2.2. Study Approval
2.3. Participants for SMI Validation
2.4. Study Design and Participants
2.5. YOI Intervention
2.6. Statistical Analysis
3. Results
3.1. SMI Demographics
3.2. Exploratory Factorial Analysis
3.3. Confirmatory Factorial Analysis
3.4. Reliability Testing
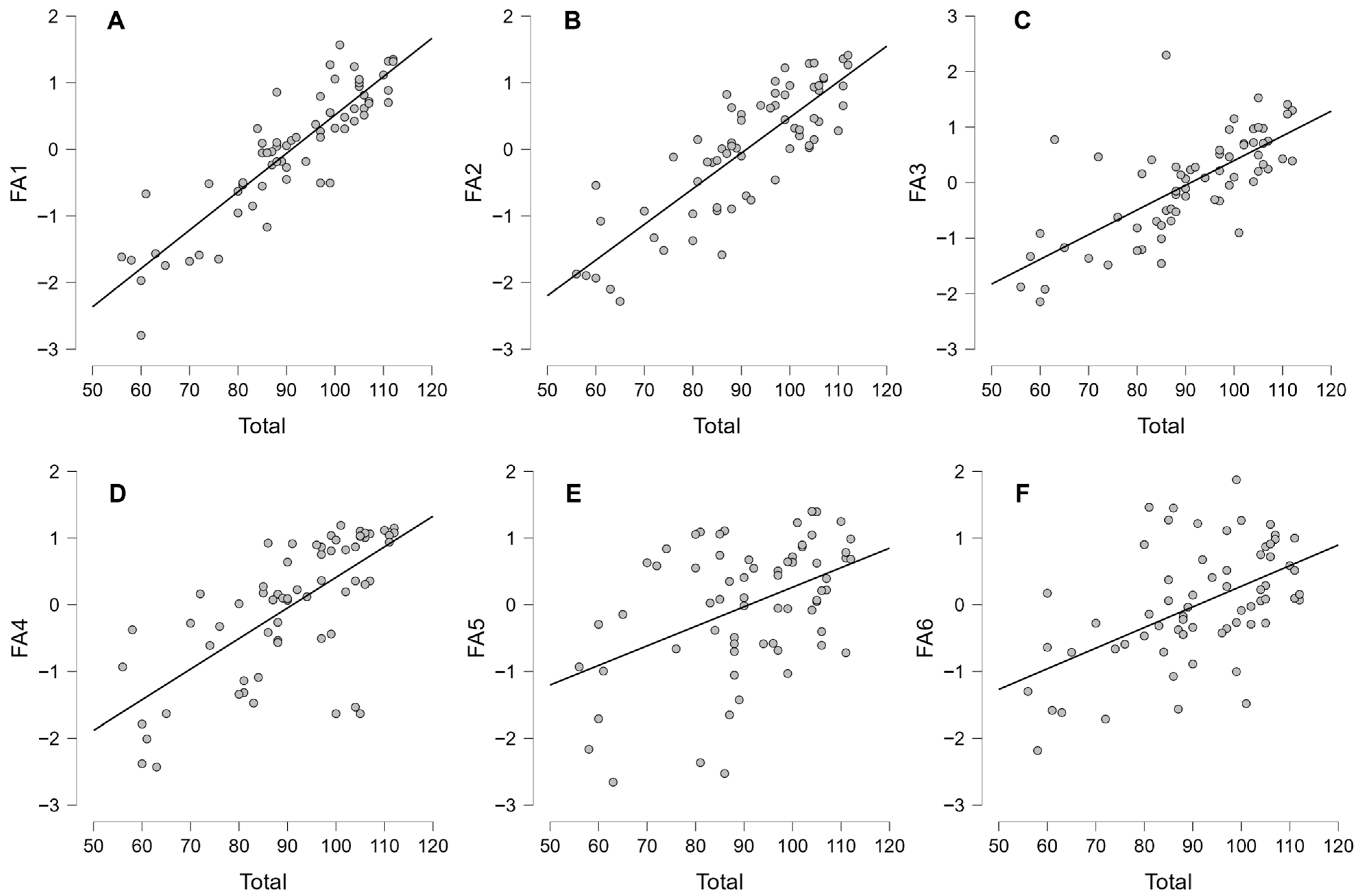
3.5. Correlation Matrix for Factors and Overall Score
3.6. Effect of YOI on Athletes
4. Discussion
5. Limitations/Future Research
6. Conclusions
Supplementary Materials
Author Contributions
Funding
Institutional Review Board Statement
Informed Consent Statement
Data Availability Statement
Acknowledgments
Conflicts of Interest
References
- Adam, M. E., Ferguson, L. J., Mosewich, A. D., & Kowalski, K. C. (2023). The sport performance perceptions scale (SPPS) manual. College of Kinesiology, University of Saskatchewan. [Google Scholar]
- Ahmad, N., Alias, F. A., Hamat, M., & Mohamed, S. A. (2024). Reliability analysis: Application of cronbach’s alpha in research instruments. In Pioneering the future: Delving into e-learning’s landscape (pp. 114–119). Unit Penerbitan Jabatan Sains Komputer & Matematik (JSKM), Bahagian Hal Ehwal Akademik (BHEA), Universiti Teknologi MARA. [Google Scholar]
- Beisecker, L., Harrison, P., Josephson, M., & DeFreese, J. (2024). Depression, anxiety and stress among female student-athletes: A systematic review and meta-analysis. British Journal of Sports Medicine, 58(5), 278–285. [Google Scholar] [CrossRef]
- Bicalho, C., Melo, G., & Noce, F. (2021). Development and validation evidence for the Resilience Scale for Sport (RS-Sp). International Journal of Sport Psychology, 52, 494–526. [Google Scholar] [CrossRef]
- Bicalho, C., Melo, G., & Noce, F. (2022). Evidence of validity and perspectives for resilience scales in sport. Psicologia: Teoria e Pesquisa, 38, e38214. [Google Scholar] [CrossRef]
- Bicalho, C., & Noce, F. (2020). Resilience of athletes: A systematic review based on a citation network analysis. Cuadernos de Psicologia del Deporte, 20, 26–40. [Google Scholar] [CrossRef]
- Blanco-Garcia, C., Acebes-Sanchez, J., Rodriguez-Romo, G., & Mon-Lopez, D. (2021). Resilience in sports: Sport type, gender, age and sport level differences. International Journal of Environmental Research and Public Health, 18(15), 8196. [Google Scholar] [CrossRef] [PubMed] [PubMed Central]
- Buhlmayer, L., Birrer, D., Rothlin, P., Faude, O., & Donath, L. (2017). Effects of mindfulness practice on performance-relevant parameters and performance outcomes in sports: A meta-analytical review. Sports Medicine, 47(11), 2309–2321. [Google Scholar] [CrossRef] [PubMed]
- Cai, C., Mei, Z., Yang, Y., & Luo, S. (2025). From adversity to adaptation: The struggle between resilience and athlete burnout in stressful situations. Frontiers in Psychology, 16, 1578198. [Google Scholar] [CrossRef]
- Chandler, G. E., Kalmakis, K. A., Chiodo, L., & Helling, J. (2020). The efficacy of a resilience intervention among diverse, at-risk, college athletes: A mixed-methods study. Journal of the American Psychiatric Nurses Association, 26(3), 269–281. [Google Scholar] [CrossRef]
- Chrétien, A., Hayotte, M., Vuillemin, A., & d’Arripe Longueville, F. (2024a). Resilience profiles of elite athletes and their associations with health-related behaviors, well-being, and performance: A latent profile analysis. Psychology of Sport and Exercise, 74, 102689. [Google Scholar] [CrossRef]
- Chrétien, A., Meggy, H., Stéphanie, M., Diane, B., Anne, V., & d’Arripe-Longueville, F. (2024b). Development and preliminary validation of the RESilience qualities In SporT (RESIST) scale. International Journal of Sport and Exercise Psychology, 23(4), 634–657. [Google Scholar] [CrossRef]
- Clark, V. C., Ulman, S. M., Erdman, A. L., Gale, E. B., Janosky, J., & Stapleton, E. J. (2025). Athletic identity, anxiety, and depression in moderate to highly specialized female adolescent volleyball players. Frontiers in Psychology, 16, 1525074. [Google Scholar] [CrossRef]
- Codonhato, R., Rubio, V., Oliveira, P. M. P., Resende, C. F., Rosa, B. A. M., Pujals, C., & Fiorese, L. (2018). Resilience, stress and injuries in the context of the Brazilian elite rhythmic gymnastics. PLoS ONE, 13(12), e0210174. [Google Scholar] [CrossRef] [PubMed Central]
- Connor, K. M., & Davidson, J. R. (2003). Development of a new resilience scale: The Connor-Davidson Resilience Scale (CD-RISC). Depress Anxiety, 18(2), 76–82. [Google Scholar] [CrossRef]
- Costa, V. T., Noce, F., Bicalho, C. C. F., & Pinheiro, G. d. S. (2023). Resilience and recovery processes in sports. In The importance of recovery for physical and mental health: Negotiating the effects of underrecovery (pp. 101–121). Routledge. [Google Scholar]
- Cousijn, J., Luijten, M., & Feldstein Ewing, S. W. (2018). Adolescent resilience to addiction: A social plasticity hypothesis. The Lancet Child & Adolescent Health, 2(1), 69–78. [Google Scholar] [CrossRef] [PubMed]
- Currie, K., Gupta, B. V., Shivanand, I., Desai, A., Bhatt, S., Tunuguntla, H. S., & Verma, S. (2022). Reductions in anxiety, depression and insomnia in health care workers using a non-pharmaceutical intervention. Frontiers in Psychiatry, 13, 983165. [Google Scholar] [CrossRef]
- Den Hartigh, R. J. R., Meerhoff, L. R. A., Van Yperen, N. W., Neumann, N. D., Brauers, J. J., Frencken, W. G. P., Emerencia, A., Hill, Y., Platvoet, S., Atzmueller, M., Lemmink, K. A. P. M., & Brink, M. S. (2022). Resilience in sports: A multidisciplinary, dynamic, and personalized perspective. International Review of Sport and Exercise Psychology, 17(1), 564–586. [Google Scholar] [CrossRef]
- Ding, H., Zhang, L., Ma, C., Wen, H., & Zhao, X. (2025). Effects of long-term mindfulness meditation training on attentional capacity in professional male fencer athletes. Scientific Reports, 15(1), 13040. [Google Scholar] [CrossRef]
- Diotaiuti, P., Corrado, S., Mancone, S., & Falese, L. (2020). Resilience in the endurance runner: The role of self-regulatory modes and basic psychological needs. Front Psychol, 11, 558287. [Google Scholar] [CrossRef] [PubMed Central]
- Ferris, C. F. (2021). Rethinking the conditions and mechanism for glymphatic clearance. Frontiers in Neuroscience, 15, 624690. [Google Scholar] [CrossRef] [PubMed]
- Fletcher, D., & Sarkar, M. (2013). Psychological resilience: A review and critique of definitions, concepts, and theory. European Psychologist, 18, 12–23. [Google Scholar] [CrossRef]
- Fullagar, H. H., Skorski, S., Duffield, R., Hammes, D., Coutts, A. J., & Meyer, T. (2015). Sleep and athletic performance: The effects of sleep loss on exercise performance, and physiological and cognitive responses to exercise. Sports Medicine, 45(2), 161–186. [Google Scholar] [CrossRef]
- Gucciardi, D. F., Gordon, S., & Dimmock, J. A. (2009). Development and preliminary validation of a mental toughness inventory for Australian football. Psychology of Sport and Exercise, 10(1), 201–209. [Google Scholar] [CrossRef]
- Gulliver, A., Griffiths, K. M., Mackinnon, A., Batterham, P. J., & Stanimirovic, R. (2015). The mental health of Australian elite athletes. Journal of Science and Medicine in Sport, 18(3), 255–261. [Google Scholar] [CrossRef] [PubMed]
- Gupta, S., & McCarthy, P. J. (2021). Sporting resilience during COVID-19: What is the nature of this adversity and how are competitive elite athletes adapting? Frontiers in Psychology, 12, 611261. [Google Scholar] [CrossRef] [PubMed Central]
- Jones, J. W., Neuman, G., Altmann, R., & Dreschler, B. (2001). Development of the sports performance inventory: A psychological measure of athletic potential. Journal of Business and Psychology, 15(3), 491–503. [Google Scholar] [CrossRef]
- Junge, A. (2000). The influence of psychological factors on sports injuries. Review of the literature. The American Journal of Sports Medicine, 28(5 Suppl), S10–S15. [Google Scholar] [CrossRef] [PubMed]
- Kadian, R., & Shukla, A. (2023). Exploring the significance of mindfulness, stress reduction, and emotional resilience in athletes. Globus Journal of Progressive Education, 13. [Google Scholar] [CrossRef]
- Krishnakumar, D., Hamblin, M. R., & Lakshmanan, S. (2015). Meditation and yoga can modulate brain mechanisms that affect behavior and anxiety-a modern scientific perspective. Ancient Science, 2(1), 13–19. [Google Scholar] [CrossRef] [PubMed Central]
- Krishnamurthy, M. N. (2023). Yoga as part of sports medicine and rehabilitation. International Journal of Yoga, 16(2), 61–63. [Google Scholar] [CrossRef]
- Li, Q., Li, C., & Zhang, X. (2024). Research progress on the effects of different exercise modes on the secretion of exerkines after spinal cord injury. Cellular and Molecular Neurobiology, 44(1), 62. [Google Scholar] [CrossRef] [PubMed Central]
- Long Parma, D., Hughes, D. C., Ghosh, S., Li, R., Treviño-Whitaker, R. A., Ogden, S. M., & Ramirez, A. G. (2015). Effects of six months of Yoga on inflammatory serum markers prognostic of recurrence risk in breast cancer survivors. SpringerPlus, 4(1), 143. [Google Scholar] [CrossRef]
- Lou, J., Wu, J., Feng, M., Dang, X., Wu, G., Yang, H., Wang, Y., Li, J., Zhao, Y., Shi, C., Liu, J., Zhao, L., Zhang, X., & Gao, F. (2022). Exercise promotes angiogenesis by enhancing endothelial cell fatty acid utilization via liver-derived extracellular vesicle miR-122-5p. Journal of Sport and Health Science, 11(4), 495–508. [Google Scholar] [CrossRef] [PubMed Central]
- McManama O’Brien, K. H., Rowan, M., Willoughby, K., Griffith, K., & Christino, M. A. (2021). Psychological Resilience in Young Female Athletes. International Journal of Environmental Research and Public Health, 18(16), 8668. [Google Scholar] [CrossRef] [PubMed Central]
- Miller, A., & France, N. E. M. (2021). The influence of HeartMath® on resilience and empowerment in female college athletes. Journal of Holistic Nursing, 39(4), 382–392. [Google Scholar] [CrossRef]
- Mocanu, G. D., Draganescu, C. A., & Murariu, G. (2024). The importance of basketball for high school students. Part 1 (attractiveness dimension analysis). Revista Romaneasca pentru Educatie Multidimensionala, 16(2), 245–270. [Google Scholar] [CrossRef]
- Norris, O. M., Lee, J., Gringle, M. R., Donovan, T. L., Carson, C., & Crowley, S. K. (2025). Sex differences in mental health outcomes, sleep quality, and perceived stress in ncaa division III student athletes: 2033. Medicine & Science in Sports & Exercise, 57(10S), 674. [Google Scholar] [CrossRef]
- Novaes, M. M., Palhano-Fontes, F., Onias, H., Andrade, K. C., Lobão-Soares, B., Arruda-Sanchez, T., Kozasa, E. H., Santaella, D. F., & de Araujo, D. B. (2020). Effects of yoga respiratory practice (Bhastrika pranayama) on anxiety, affect, and brain functional connectivity and activity: A randomized controlled trial. Frontiers in Psychiatry, 11, 467. [Google Scholar] [CrossRef] [PubMed]
- Patel, D. R., Omar, H., & Terry, M. (2010). Sport-related performance anxiety in young female athletes. Journal of Pediatric and Adolescent Gynecology, 23(6), 325–335. [Google Scholar] [CrossRef] [PubMed]
- Petisco-Rodriguez, C., Sanchez-Sanchez, L. C., Fernandez-Garcia, R., Sanchez-Sanchez, J., & Garcia-Montes, J. M. (2020). Disordered eating attitudes, anxiety, self-esteem and perfectionism in young athletes and non-athletes. International Journal of Environmental Research and Public Health, 17(18), 6754. [Google Scholar] [CrossRef] [PubMed Central]
- Predoiu, R., Bertollo, M., Piotrowski, A., Stănescu, R., Hamdi, F., Szabo, G., & Cosma, G. (2025). Psychological resilience in Olympic combat sports. Frontiers in Psychology, 16, 1605765. [Google Scholar] [CrossRef]
- Reddy, O. C., & van der Werf, Y. D. (2020). The sleeping brain: Harnessing the power of the glymphatic system through lifestyle choices. Brain Sciences, 10(11), 868. [Google Scholar] [CrossRef] [PubMed] [PubMed Central]
- Saeed, S. A., Cunningham, K., & Bloch, R. M. (2019). Depression and anxiety disorders: Benefits of exercise, yoga, and meditation. American Family Physician, 99(10), 620–627. [Google Scholar] [PubMed]
- Safdar, A., Saleem, A., & Tarnopolsky, M. A. (2016). The potential of endurance exercise-derived exosomes to treat metabolic diseases. Nature Reviews Endocrinology, 12(9), 504–517. [Google Scholar] [CrossRef]
- Sangavi, S. A., Mooventhan, A., Nivethitha, L., & Venkateswaran, S. T. (2025). Effect of yogic squats on cerebral hemodynamics using functional near-infrared spectroscopy in healthy individuals: A randomized crossover study. Journal of Bodywork and Movement Therapies, 44, 340–346. [Google Scholar] [CrossRef] [PubMed]
- Simpson, N. S., Gibbs, E. L., & Matheson, G. O. (2017). Optimizing sleep to maximize performance: Implications and recommendations for elite athletes. Scandinavian Journal of Medicine & Science in Sports, 27(3), 266–274. [Google Scholar] [CrossRef]
- Tang, Y. Y., Holzel, B. K., & Posner, M. I. (2015). The neuroscience of mindfulness meditation. Nature Reviews Neuroscience, 16(4), 213–225. [Google Scholar] [CrossRef]
- Thambyrajah, J. C., Dilanthi, H. W., Handunnetti, S. M., & Dissanayake, D. W. N. (2023). Serum melatonin and serotonin levels in long-term skilled meditators. EXPLORE, 19(5), 695–701. [Google Scholar] [CrossRef]
- Trigueros, R., Aguilar-Parra, J. M., Alvarez, J. F., Gonzalez-Bernal, J. J., & Lopez-Liria, R. (2019). Emotion, psychological well-being and their influence on resilience. A study with semi-professional athletes. International Journal of Environmental Research and Public Health, 16(21), 4192. [Google Scholar] [CrossRef] [PubMed Central]
- Tunuguntla, H. S. G. R., Tunuguntla, R., Kathuria, H., & Verma, S. (2021). MP52-18 effectiveness of app- based yoga of immortals intervention in urinary incontinence. Journal of Urology, 206(Suppl. S3), e937. [Google Scholar] [CrossRef]
- Tunuguntla, R., Tunuguntla, H., Kathuria, H., & Verma, S. (2021). Effectiveness of app-based yoga of immortals (YOI) intervention for insomnia in asian population during pandemic restrictions. International Journal of Environmental Research and Public Health, 18(11), 5706. [Google Scholar] [CrossRef] [PubMed Central]
- Vaidya, S. S., Agarwal, B., Singh, Y., & Mullerpatan, R. (2021). Effect of yoga on performance and physical fitness in cricket bowlers. International Journal of Yoga Therapy, 31(1), 10. [Google Scholar] [CrossRef] [PubMed]
- Verma, S., Donovan, J., Bhat, S., Tunuguntla, H., Tunuguntla, R., Gupta, B., & Shivanand, I. (2021a). Intervention on depression and insomnia symptoms during the COVID-19 pandemic. Annals of Medical Research and Practice, 2, 5. [Google Scholar] [CrossRef]
- Verma, S., Donovan, J., Tunuguntla, H. S., Tunuguntla, R., Gupta, B. V., Nandi, A., & Shivanand, I. (2021b). Yoga of immortals intervention reduces symptoms of depression, insomnia and anxiety. Frontiers in Psychiatry, 12, 648029. [Google Scholar] [CrossRef] [PubMed Central]
- Voumvourakis, K. I., Sideri, E., Papadimitropoulos, G. N., Tsantzali, I., Hewlett, P., Kitsos, D., Stefanou, M., Bonakis, A., Giannopoulos, S., Tsivgoulis, G., & Paraskevas, G. P. (2023). The dynamic relationship between the glymphatic system, aging, memory, and sleep. Biomedicines, 11(8), 2092. [Google Scholar] [CrossRef] [PubMed Central]
- Watson, A. M. (2017). Sleep and athletic performance. Current Sports Medicine Reports, 16(6), 413–418. [Google Scholar] [CrossRef]
- Williams, T. B., Corbett, J., McMorris, T., Young, J. S., Dicks, M., Ando, S., Thelwell, R. C., Tipton, M. J., & Costello, J. T. (2019). Cognitive performance is associated with cerebral oxygenation and peripheral oxygen saturation, but not plasma catecholamines, during graded normobaric hypoxia. Experimental Physiology, 104(9), 1384–1397. [Google Scholar] [CrossRef] [PubMed]


| If I am or my team is losing while I am competing in a sport, I tend to: | |
| Q1 | Blame myself |
| Q2 | Look only at the negative side of things |
| Q3 | Try not to think about it |
| Q4 | Tell myself, I can come back no matter what |
| Q5 | Get upset and emotional |
| Q6 | Start giving up |
| When I am competing in a sport: | |
| Q7 | I enjoy playing the sport even though I may not always win |
| Q8 | I stay focused |
| Q9 | I use breathing techniques to keep calm and focused |
| Q10 | I tend to recover from my mistakes fast |
| Q11 | I am smart about how to win |
| Q12 | When I am done with a particular competition or event, I usually know what to work on to get better |
| Q13 | I feel good/confident about myself regardless if I am winning or losing |
| Q14 | I can get intense at the right moments |
| Q15 | I fight hard to win and do the best I can |
| In general, I believe that: | |
| Q16 | I have a purpose in life |
| Q17 | I can talk to almost anyone |
| Q18 | I fit in well with others |
| Q19 | I am pretty flexible and can adapt to stressful situations |
| Q20 | I have control over things in my life |
| Q21 | I can figure things out when I have a problem |
| Q22 | I can do things on my own if I have to |
| Q23 | I am in excellent physical shape for my sport |
| Q24 | I have strong fundamental skills in my sport |
| Category | N |
|---|---|
| Gender | |
| Female | 25 |
| Male | 41 |
| Age | |
| Above 18–25 | 29 |
| 26–36 | 17 |
| 37–47 | 10 |
| 48–58 | 6 |
| 59–69 | 4 |
| Ethnicity | |
| American Indian or Alaska Native | 1 |
| Asian | 29 |
| Black or African American | 5 |
| Native Hawaiian or Other Pacific Islander | 1 |
| Other | 19 |
| White | 11 |
| Country | |
| Canada | 1 |
| France | 1 |
| India | 12 |
| Malaysia | 1 |
| Mauritius | 47 |
| Norway | 1 |
| South Africa | 1 |
| USA | 2 |
| Category | Control Group (N = 14) | YOI Group (N = 26) |
|---|---|---|
| Gender | ||
| Female | 8 | 13 |
| Male | 6 | 13 |
| Age | ||
| Above 18–25 | 5 | 10 |
| 26–36 | 2 | 7 |
| 37–47 | 2 | 6 |
| 48–58 | 3 | 1 |
| 59–69 | 2 | 2 |
| Ethnicity/Race | ||
| American Indian or Alaska Native | 0 | 1 |
| Asian | 7 | 6 |
| Black or African American | 0 | 3 |
| Native Hawaiian or Other Pacific Islander | 0 | 1 |
| Other | 1 | 13 |
| White | 6 | 2 |
| Measures | Undimensional | Six-Factored |
|---|---|---|
| Comparative Fit Index (CFI) | 0.723 | 0.840 |
| Tucker–Lewis Index (TLI) | 0.696 | 0.814 |
| Bentler-Bonett Non-normed Fit Index (NNFI) | 0.696 | 0.814 |
| Bentler-Bonett Normed Fit Index (NFI) | 0.551 | 0.648 |
| Parsimony Normed Fit Index (PNFI) | 0.503 | 0.557 |
| Bollen’s Relative Fit Index (RFI) | 0.508 | 0.590 |
| Bollen’s Incremental Fit Index (IFI) | 0.731 | 0.848 |
| Relative Noncentrality Index (RNI) | 0.723 | 0.840 |
| Root mean square error of approximation (RMSEA) | 0.112 | 0.087 |
| RMSEA 90% CI lower bound | 0.095 | 0.067 |
| RMSEA 90% CI upper bound | 0.128 | 0.105 |
| RMSEA p-value | 1.793 × 10−8 | 0.002 |
| Standardized root mean square residual (SRMR) | 0.096 | 0.083 |
| Hoelter’s critical N (α = 0.05) | 42.72 | 51.34 |
| Hoelter’s critical N (α = 0.01) | 45.19 | 54.40 |
| Goodness of fit index (GFI) | 0.638 | 0.935 |
| McDonald fit index (MFI) | 0.209 | 0.408 |
| Expected cross validation index (ECVI) | 8.406 | 8.118 |
| Χ2 (Baseline Model) | 1021.22 | 1005.75 |
| df (Baseline model) | 458.79 | 353.67 |
| Χ2 (Factor Model) | 276.00 | 276.00 |
| df (Factor Model) | 252.00 | 237.00 |
| p-value | <0.001 | <0.001 |
| Factor | Items | Estimate | Std. Error | z-Value | p | Lower CI | Upper CI |
|---|---|---|---|---|---|---|---|
| Factor 1: Positive and Competitive sports mindset’ | Q8 | 1.000 | 0.000 | 1.000 | 1.000 | ||
| Q10 | 0.965 | 0.152 | 6.360 | <0.001 | 0.668 | 1.263 | |
| Q11 | 1.040 | 0.164 | 6.346 | <0.001 | 0.719 | 1.362 | |
| Q12 | 1.088 | 0.163 | 6.685 | <0.001 | 0.769 | 1.407 | |
| Q14 | 0.693 | 0.144 | 4.821 | <0.001 | 0.411 | 0.974 | |
| Q15 | 0.838 | 0.138 | 6.053 | <0.001 | 0.567 | 1.109 | |
| Factor 2: Social relatedness and adaptability | Q17 | 1.000 | 0.000 | 1.000 | 1.000 | ||
| Q18 | 1.196 | 0.231 | 5.172 | <0.001 | 0.743 | 1.649 | |
| Q19 | 1.264 | 0.240 | 5.277 | <0.001 | 0.794 | 1.733 | |
| Q20 | 1.095 | 0.212 | 5.175 | <0.001 | 0.680 | 1.510 | |
| Q22 | 0.792 | 0.183 | 4.333 | <0.001 | 0.434 | 1.150 | |
| Q23 | 0.932 | 0.231 | 4.036 | <0.001 | 0.480 | 1.385 | |
| Factor 3: Resilient mindset and self-confidence | Q9 | 1.000 | 0.000 | 1.000 | 1.000 | ||
| Q16 | 0.998 | 0.265 | 3.765 | <0.001 | 0.478 | 1.517 | |
| Q21 | 0.959 | 0.244 | 3.925 | <0.001 | 0.480 | 1.438 | |
| Q24 | 0.733 | 0.217 | 3.385 | <0.001 | 0.309 | 1.157 | |
| Factor 4: Sports Resilience and Emotional Respons-es | Q1 | 1.000 | 0.000 | 1.000 | 1.000 | ||
| Q2 | 1.680 | 0.614 | 2.737 | 0.006 | 0.477 | 2.884 | |
| Q5 | 1.820 | 0.690 | 2.637 | 0.008 | 0.468 | 3.173 | |
| Q6 | 1.775 | 0.682 | 2.603 | 0.009 | 0.439 | 3.111 | |
| Factor 5: Positive Sports mindset and motivation | Q4 | 1.000 | 0.000 | 1.000 | 1.000 | ||
| Q13 | 0.854 | 0.157 | 5.442 | <0.001 | 0.546 | 1.161 | |
| Factor 6: Enjoyment and Detachment from Outcome | Q3 | 1.000 | 0.000 | 1.000 | 1.000 | ||
| Q7 | 1.505 | 0.795 | 1.893 | 0.058 | −0.053 | 3.064 |
| Factors | Domains | Coefficient ω | Coefficient α |
|---|---|---|---|
| Factor 1 | Positive and Competitive sports mindset’ | 0.887 | 0.884 |
| Factor 2 | Social relatedness and adaptability | 0.860 | 0.848 |
| Factor 3 | Resilient mindset and self-confidence | 0.708 | 0.732 |
| Factor 4 | Sports Resilience and Emotional Responses | 0.702 | 0.703 |
| Factor 5 | Positive Sports mindset and motivation | 0.738 | 0.734 |
| Factor 6 | Enjoyment and Detachment from Outcome | 0.472 | 0.453 |
| Overall | SMI | 0.949 | 0.917 |
| Comparison | r | p-Value | Lower 95% CI | Upper 95% CI | rho | p-Value | Lower 95% CI | Upper 95% CI | ||||
|---|---|---|---|---|---|---|---|---|---|---|---|---|
| Total | - | FA1 | 0.891 | *** | <0.001 | 0.828 | 0.932 | 0.883 | *** | <0.001 | 0.815 | 0.927 |
| Total | - | FA2 | 0.834 | *** | <0.001 | 0.741 | 0.895 | 0.82 | *** | <0.001 | 0.722 | 0.886 |
| Total | - | FA3 | 0.719 | *** | <0.001 | 0.578 | 0.819 | 0.729 | *** | <0.001 | 0.591 | 0.825 |
| Total | - | FA4 | 0.689 | *** | <0.001 | 0.536 | 0.798 | 0.729 | *** | <0.001 | 0.592 | 0.826 |
| Total | - | FA5 | 0.448 | *** | <0.001 | 0.231 | 0.623 | 0.354 | ** | 0.004 | 0.122 | 0.549 |
| Total | - | FA6 | 0.528 | *** | <0.001 | 0.328 | 0.683 | 0.506 | *** | <0.001 | 0.301 | 0.667 |
| FA1 | - | FA2 | 0.691 | *** | <0.001 | 0.539 | 0.799 | 0.685 | *** | <0.001 | 0.531 | 0.795 |
| FA2 | - | FA3 | 0.587 | *** | <0.001 | 0.402 | 0.726 | 0.633 | *** | <0.001 | 0.462 | 0.759 |
| FA3 | - | FA4 | 0.571 | *** | <0.001 | 0.381 | 0.714 | 0.629 | *** | <0.001 | 0.457 | 0.756 |
| FA4 | - | FA5 | 0.425 | *** | <0.001 | 0.204 | 0.605 | 0.339 | ** | 0.006 | 0.105 | 0.537 |
| FA5 | - | FA6 | 0.325 | ** | 0.008 | 0.09 | 0.526 | 0.32 | ** | 0.009 | 0.084 | 0.521 |
| FA2 | - | FA3 | 0.615 | *** | <0.001 | 0.438 | 0.746 | 0.636 | *** | <0.001 | 0.466 | 0.761 |
| FA3 | - | FA4 | 0.498 | *** | <0.001 | 0.291 | 0.661 | 0.487 | *** | <0.001 | 0.278 | 0.652 |
| FA4 | - | FA5 | 0.142 | 0.256 | −0.104 | 0.371 | 0.044 | 0.725 | −0.2 | 0.283 | ||
| FA5 | - | FA6 | 0.304 | * | 0.013 | 0.067 | 0.509 | 0.267 | * | 0.03 | 0.027 | 0.478 |
| FA3 | - | FA4 | 0.311 | * | 0.011 | 0.075 | 0.514 | 0.334 | ** | 0.006 | 0.1 | 0.533 |
| FA3 | - | FA5 | 0.024 | 0.846 | −0.219 | 0.265 | 0.033 | 0.794 | −0.211 | 0.273 | ||
| FA4 | - | FA6 | 0.194 | 0.118 | −0.05 | 0.417 | 0.203 | 0.102 | −0.041 | 0.424 | ||
| FA4 | - | FA5 | 0.385 | ** | 0.001 | 0.158 | 0.574 | 0.379 | ** | 0.002 | 0.151 | 0.569 |
| FA5 | - | FA6 | 0.417 | *** | <0.001 | 0.195 | 0.599 | 0.459 | *** | <0.001 | 0.244 | 0.631 |
| FA5 | - | FA6 | 0.498 | *** | <0.001 | 0.291 | 0.661 | 0.46 | *** | <0.001 | 0.246 | 0.632 |
| Mean SMI Scores | Mean Difference from Baseline | ||||||||
|---|---|---|---|---|---|---|---|---|---|
| Week 0 (Control) | Week 4 (Control) | p-Value | Week 0 (Pre-YOI) | Week 4 (Post-YOI) | p-Value | δ-Control | δ-YOI | p-Value | |
| Overall | 93 ± 14.32 | 90.64 ± 15.52 | 0.291 | 87.96 ± 15.63 | 97.69 ± 16.3 | 0.002 | −2.36 ± 9.82 | 9.73 ± 19.41 | 0.008 |
| FA1 | 24.57 ± 3.3 | 23.71 ± 3.79 | 0.342 | 22.42 ± 5.39 | 25.08 ± 4.78 | 0.014 | −0.86 ± 3.13 | 2.65 ± 6.37 | 0.026 |
| FA2 | 24.36 ± 4.52 | 23.36 ± 5.94 | 0.278 | 22.08 ± 4.47 | 24.27 ± 4.72 | 0.008 | −1 ± 4.69 | 2.19 ± 5.76 | 0.041 |
| FA3 | 15.93 ± 2.65 | 15.86 ± 2.48 | 0.451 | 15.27 ± 3.6 | 16.77 ± 3.09 | 0.036 | −0.07 ± 2.53 | 1.5 ± 3.94 | 0.214 |
| FA4 | 13.21 ± 3.29 | 12.79 ± 2.94 | 0.241 | 12.73 ± 3.37 | 15.27 ± 3.64 | 0.001 | −0.43 ± 1.7 | 2.54 ± 3.57 | 0.002 |
| FA5 | 7.36 ± 1.99 | 7.07 ± 2.13 | 0.383 | 7.89 ± 1.68 | 8.35 ± 1.94 | 0.137 | −0.29 ± 1.27 | 0.46 ± 2.21 | 0.171 |
| FA6 | 7.57 ± 1.6 | 7.86 ± 1.35 | 0.172 | 7.58 ± 1.68 | 7.96 ± 1.46 | 0.305 | 0.29 ± 0.99 | 0.38 ± 2.04 | 0.734 |
| Comparison | r | p-Value | Lower 95% CI | Upper 95% CI | rho | p-Value | Lower 95% CI | Upper 95% CI | ||||
|---|---|---|---|---|---|---|---|---|---|---|---|---|
| Total | - | FA1 | 0.965 | *** | <0.001 | 0.927 | 0.984 | 0.937 | *** | <0.001 | 0.869 | 0.970 |
| Total | - | FA2 | 0.967 | *** | <0.001 | 0.930 | 0.984 | 0.943 | *** | <0.001 | 0.881 | 0.973 |
| Total | - | FA3 | 0.978 | *** | <0.001 | 0.953 | 0.990 | 0.944 | *** | <0.001 | 0.883 | 0.974 |
| Total | - | FA4 | 0.816 | *** | <0.001 | 0.642 | 0.910 | 0.638 | *** | <0.001 | 0.354 | 0.814 |
| Total | - | FA5 | 0.816 | *** | <0.001 | 0.641 | 0.910 | 0.891 | *** | <0.001 | 0.779 | 0.948 |
| Total | - | FA6 | 0.720 | *** | <0.001 | 0.481 | 0.860 | 0.619 | *** | <0.001 | 0.327 | 0.803 |
| FA1 | - | FA2 | 0.924 | *** | <0.001 | 0.843 | 0.964 | 0.862 | *** | <0.001 | 0.723 | 0.933 |
| FA2 | - | FA3 | 0.955 | *** | <0.001 | 0.906 | 0.979 | 0.909 | *** | <0.001 | 0.813 | 0.957 |
| FA3 | - | FA4 | 0.710 | *** | <0.001 | 0.465 | 0.854 | 0.476 | ** | 0.009 | 0.133 | 0.717 |
| FA4 | - | FA5 | 0.838 | *** | <0.001 | 0.680 | 0.921 | 0.854 | *** | <0.001 | 0.710 | 0.930 |
| FA5 | - | FA6 | 0.674 | *** | <0.001 | 0.409 | 0.835 | 0.509 | ** | 0.005 | 0.175 | 0.738 |
| FA2 | - | FA3 | 0.965 | *** | <0.001 | 0.926 | 0.984 | 0.922 | *** | <0.001 | 0.839 | 0.963 |
| FA3 | - | FA4 | 0.740 | *** | <0.001 | 0.513 | 0.871 | 0.538 | ** | 0.003 | 0.214 | 0.756 |
| FA4 | - | FA5 | 0.810 | *** | <0.001 | 0.631 | 0.907 | 0.854 | *** | <0.001 | 0.710 | 0.930 |
| FA5 | - | FA6 | 0.690 | *** | <0.001 | 0.434 | 0.843 | 0.583 | *** | <0.001 | 0.275 | 0.782 |
| FA3 | - | FA4 | 0.747 | *** | <0.001 | 0.524 | 0.874 | 0.511 | ** | 0.005 | 0.178 | 0.739 |
| FA3 | - | FA5 | 0.855 | *** | <0.001 | 0.711 | 0.930 | 0.899 | *** | <0.001 | 0.795 | 0.952 |
| FA4 | - | FA6 | 0.709 | *** | <0.001 | 0.463 | 0.854 | 0.587 | *** | <0.001 | 0.281 | 0.785 |
| FA4 | - | FA5 | 0.629 | *** | <0.001 | 0.341 | 0.809 | 0.471 | ** | 0.01 | 0.126 | 0.714 |
| FA5 | - | FA6 | 0.484 | ** | 0.008 | 0.142 | 0.722 | 0.390 | * | 0.036 | 0.028 | 0.662 |
| FA5 | - | FA6 | 0.671 | *** | <0.001 | 0.404 | 0.833 | 0.610 | *** | <0.001 | 0.313 | 0.798 |
Disclaimer/Publisher’s Note: The statements, opinions and data contained in all publications are solely those of the individual author(s) and contributor(s) and not of MDPI and/or the editor(s). MDPI and/or the editor(s) disclaim responsibility for any injury to people or property resulting from any ideas, methods, instructions or products referred to in the content. |
© 2025 by the authors. Licensee MDPI, Basel, Switzerland. This article is an open access article distributed under the terms and conditions of the Creative Commons Attribution (CC BY) license (https://creativecommons.org/licenses/by/4.0/).
Share and Cite
Shivanand, I.; Dewan, N.; Kathuria, H.; Verma, S. Enhancing Athlete Resilience: Preliminary Validation of the Sports Mind Inventory and the Impact of Yoga of Immortals on Sports-Related Stress. Behav. Sci. 2025, 15, 1385. https://doi.org/10.3390/bs15101385
Shivanand I, Dewan N, Kathuria H, Verma S. Enhancing Athlete Resilience: Preliminary Validation of the Sports Mind Inventory and the Impact of Yoga of Immortals on Sports-Related Stress. Behavioral Sciences. 2025; 15(10):1385. https://doi.org/10.3390/bs15101385
Chicago/Turabian StyleShivanand, Ishan, Naakesh Dewan, Himanshu Kathuria, and Sadhna Verma. 2025. "Enhancing Athlete Resilience: Preliminary Validation of the Sports Mind Inventory and the Impact of Yoga of Immortals on Sports-Related Stress" Behavioral Sciences 15, no. 10: 1385. https://doi.org/10.3390/bs15101385
APA StyleShivanand, I., Dewan, N., Kathuria, H., & Verma, S. (2025). Enhancing Athlete Resilience: Preliminary Validation of the Sports Mind Inventory and the Impact of Yoga of Immortals on Sports-Related Stress. Behavioral Sciences, 15(10), 1385. https://doi.org/10.3390/bs15101385

