The Use of Filled Pauses Across Multiple Discourse Contexts in Children Who Are Hard of Hearing and Children with Typical Hearing
Abstract
1. Introduction
1.1. Discourse Functions of Filled Pauses Uh and Um
1.2. Children Who Are Hard of Hearing
1.3. The Current Study
- 1.
- Do CHH and their peers with typical hearing differ in their use of um and uh?
- 2.
- Will children differ in the use of um and uh depending on discourse contexts?
- 3.
- Is variation in the use of filled pauses associated with language ability in CTH and CHH?
2. Materials and Methods
2.1. Participants
2.2. Procedures
2.2.1. Audiologic Assessment and Hearing Aid Verification
2.2.2. Standardized Language Assessments
2.2.3. Language Sample
2.3. Statistical Analyses
3. Results
3.1. Standardized Language Assessments
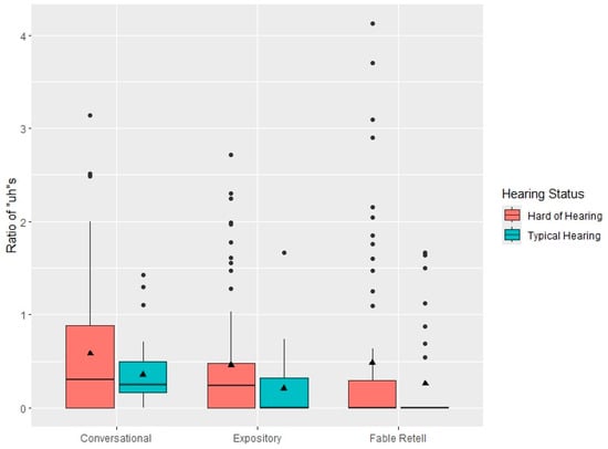
3.2. Effects of Hearing Status and Language Discourse Context on Filled Pauses
3.3. Associations Between Filled Pauses and Language Abilities
4. Discussion
4.1. Effect of Hearing Status on the Rate of Filled Pauses
4.2. Effect of Language Context on the Rate of Filled Pauses
4.3. Individual Differences in Filled Pauses
4.4. Limitations
5. Conclusions
Author Contributions
Funding
Institutional Review Board Statement
Informed Consent Statement
Data Availability Statement
Acknowledgments
Conflicts of Interest
Abbreviations
| CHH | Children who are hard of hearing |
| CTH | Children with typical hearing |
Appendix A
- 1.
- General Conversation
- A.
- Tell me about your family. Do you have any brothers or sisters? (if yes) What are their names? How old are they? What else can you tell me about them?
- B.
- Do you have any pets at home? (if yes) Tell me about your pets.
- C.
- Do you have a favorite TV show or movie? Tell me about it.
- D.
- Do you like to read books or magazines? (if yes) Which ones?
- E.
- Now do you want to ask me anything? (allow 1–2 quick questions)
- 2.
- Favorite Game or Sport Task
- 3.
- Story Retelling Task
- SHOW FABLE PICTURE TO CHILD
References
- ANSI. (1997). American National Standards methods for the calculation of the Articulation Index (S3.5-1997 R-2007). American National Standards Institute. [Google Scholar]
- ANSI. (2003). Specifications of hearing aid characteristics (S3.22–2003). American National Standards Institute. [Google Scholar]
- Arnold, J. E., Fagnano, M., & Tanenhaus, M. K. (2003). Disfluencies signal theee, um, new information. Journal of Psycholinguistic Research, 32, 25–36. [Google Scholar] [CrossRef]
- Arnold, J. E., Kam, C. L. H., & Tanenhaus, M. K. (2007). If you say thee uh you are describing something hard: The on-line attribution of disfluency during reference comprehension. Journal of Experimental Psychology: Learning, Memory, and Cognition, 33(5), 914–930. [Google Scholar] [CrossRef]
- Bagatto, M., Moodie, S., Brown, C., Malandrino, A., Richert, F., Clench, D., & Scollie, S. (2016). Prescribing and verifying hearing aids applying the American academy of audiology pediatric amplification guideline: Protocols and outcomes from the ontario infant hearing program. Journal of the American Academy of Audiology, 27(3), 188–203. [Google Scholar] [CrossRef]
- Bagatto, M., Moodie, S., Scollie, S., Seewald, R., Moodie, S., Pumford, J., & Liu, K. R. (2005). Clinical protocols for hearing instrument fitting in the desired sensation level method. Trends in Amplification, 9(4), 199–226. [Google Scholar] [CrossRef] [PubMed]
- Bailey, K. G., & Ferreira, F. (2003). Disfluencies affect the parsing of garden-path sentences. Journal of Memory and Language, 49(2), 183–200. [Google Scholar] [CrossRef]
- Bongioletti, J., Doble, M., & Purcell, A. (2024). Conversation and pragmatics in children who are hard-of-hearing: A scoping review. Journal of Deaf Studies and Deaf Education, 29(4), 456–466. [Google Scholar] [CrossRef]
- Bortfeld, H., Leon, S. D., Bloom, J. E., Schober, M. F., & Brennan, S. E. (2001). Disfluency rates in conversation: Effects of age, relationship, topic, role, and gender. Language and Speech, 44(2), 123–147. [Google Scholar] [CrossRef]
- Brennan, S. E., & Schober, M. F. (2001). How listeners compensate for disfluencies in spontaneous speech. Journal of Memory and Language, 44(2), 274–296. [Google Scholar] [CrossRef]
- Brennan, S. E., & Williams, M. (1995). The feeling of another′s knowing: Prosody and filled pauses as cues to listeners about the metacognitive states of speakers. Journal of Memory and Language, 34(3), 383–398. [Google Scholar] [CrossRef]
- Centers for Disease Control and Prevention (CDC). (2020). Data and statistics about hearing loss in children. Available online: https://www.cdc.gov/hearing-loss-children/data/?CDC_AAref_Val=https://www.cdc.gov/ncbddd/hearingloss/data.html (accessed on 1 June 2025).
- Ching, T. Y., Dillon, H., Marnane, V., Hou, S., Day, J., Seeto, M., Crowe, K., Street, L., Thomson, J., Van Buynder, P., & Zhang, V. (2013). Outcomes of early-and late-identified children at 3 years of age: Findings from a prospective population-based study. Ear and Hearing, 34(5), 535–552. [Google Scholar] [CrossRef]
- Clark, H. H., & Fox Tree. (2002). Using uh and um in spontaneous speaking. Cognition, 84(1), 73–111. [Google Scholar] [CrossRef]
- Cox, R. M., & McDaniel, D. M. (1989). Development of the speech intelligibility rating (SIR) test for hearing aid comparisons. Journal of Speech, Language, and Hearing Research, 32, 347–352. [Google Scholar] [CrossRef]
- Davis, J. M., Elfenbein, J., Schum, R., & Bentler, R. A. (1986). Effects of mild and moderate hearing impairments on language, educational, and psychosocial behavior of children. Journal of Speech and Hearing Disorders, 51(1), 53–62. [Google Scholar] [CrossRef] [PubMed]
- de Hoog, B. E., Langereis, M. C., van Weerdenburg, M., Knoors, H., & Verhoeven, L. (2015). Lexical access in children with hearing loss or specific language impairment, using the cross-modal picture–word interference paradigm. Research in Developmental Disabilities, 37, 81–94. [Google Scholar] [CrossRef]
- Esbensen, A., & Thomsen, P. (2021). Word retrieval and lexical organization in children with hearing loss and developmental language disorder. Communication Disorders Quarterly, 42(4), 238–248. [Google Scholar] [CrossRef]
- Fox Tree, J. E. (2001). Listeners’ uses of um and uh in speech comprehension. Memory & Cognition, 29, 320–326. [Google Scholar]
- Goberis, D., Beams, D., Dalpes, M., Abrisch, A., Baca, R., & Yoshinaga-Itano, C. (2012). The missing link in language development of deaf and hard of hearing children: Pragmatic language development. Seminars in Speech and Language, 33, 297–309. [Google Scholar] [CrossRef]
- Goodwin, M. H., & Goodwin, C. (1986). Gesture and coparticipation in the activity of searching for a word. Semiotica, 62(1–2), 51–76. [Google Scholar] [CrossRef]
- Gorman, K., Olson, L., Hill, A. P., Lunsford, R., Heeman, P. A., & van Santen, J. P. (2016). Uh and um in children with autism spectrum disorders or language impairment. Autism Research, 9(8), 854–865. [Google Scholar] [CrossRef] [PubMed]
- Hadley, P. A. (1998). Language sampling protocols for eliciting text-level discourse. Language, Speech, and Hearing Services in Schools, 29(3), 132–147. [Google Scholar] [CrossRef]
- Halliday, L. F., Tuomainen, O., & Rosen, S. (2017). Language development and impairment in children with mild to moderate sensorineural hearing loss. Journal of Speech, Language, and Hearing Research, 60(6), 1551–1567. [Google Scholar] [CrossRef]
- Hansson, K., Sahlén, B., & Mäki-Torkko, E. (2007). Can a ‘single hit’cause limitations in language development? A comparative study of Swedish children with hearing impairment and children with specific language impairment. International Journal of Language & Communication Disorders, 42(3), 307–323. [Google Scholar]
- Heilmann, J., & Miller, J. F. (2023). Systematic analysis of language transcripts solutions: A tutorial. Perspectives of the ASHA Special Interest Groups, 8(1), 1–18. [Google Scholar] [CrossRef]
- Heinrichs-Graham, E., Walker, E. A., Eastman, J. A., Frenzel, M. R., & McCreery, R. W. (2022). Amount of hearing aid use impacts neural oscillatory dynamics underlying verbal working memory processing for children with hearing loss. Ear and Hearing, 43(2), 408–419. [Google Scholar] [CrossRef]
- Humes, L. (2024). Audiograms and prevalence of hearing loss in US children and adolescents 6–19 years of age. Journal of Speech, Language, and Hearing Research, 67(9), 3178–3200. [Google Scholar] [CrossRef]
- Irvine, C. A., Eigsti, I. M., & Fein, D. A. (2016). Uh, um, and autism: Filler disfluencies as pragmatic markers in adolescents with optimal outcomes from autism spectrum disorder. Journal of Autism and Developmental Disorders, 46, 1061–1070. [Google Scholar] [CrossRef] [PubMed]
- Jerger, S., Martin, R. C., & Damian, M. F. (2002). Semantic and phonological influences on picture naming by children and teenagers. Journal of Memory and Language, 47(2), 229–249. [Google Scholar] [CrossRef]
- Jerger, S., Tye-Murray, N., Damian, M. F., & Abdi, H. (2013). Effect of hearing loss on semantic access by auditory and audiovisual speech in children. Ear and Hearing, 34(6), 753–762. [Google Scholar] [CrossRef] [PubMed][Green Version]
- Kidd, C., White, K. S., & Aslin, R. N. (2011). Toddlers use speech disfluencies to predict speakers’ referential intentions. Developmental Science, 14(4), 925–934. [Google Scholar] [CrossRef] [PubMed]
- Klein, K. E., Walker, E. A., & McMurray, B. (2023). Delayed lexical access and cascading effects on spreading semantic activation during spoken word recognition in children with hearing aids and cochlear implants: Evidence from eye-tracking. Ear and Hearing, 44(2), 338–357. [Google Scholar] [CrossRef]
- Lake, J. K., Humphreys, K. R., & Cardy, S. (2011). Listener vs. speaker-oriented aspects of speech: Studying the disfluencies of individuals with autism spectrum disorders. Psychonomic Bulletin & Review, 18, 135–140. [Google Scholar]
- Liang, K.-Y., & Zeger, S. L. (1986). Longitudinal data analysis using generalized linear models. Biometrika, 73, 13–22. [Google Scholar] [CrossRef]
- MacFarlane, H., Gorman, K., Ingham, R., Presmanes Hill, A., Papadakis, K., Kiss, G., & Van Santen, J. (2017). Quantitative analysis of disfluency in children with autism spectrum disorder or language impairment. PLoS ONE, 12(3), e0173936. [Google Scholar] [CrossRef]
- Maclay, H., & Osgood, C. E. (1959). Hesitation phenomena in spontaneous english speech. Word, 15(1), 19–44. [Google Scholar] [CrossRef]
- Marshall, C. R., Jones, A., Fastelli, A., Atkinson, J., Botting, N., & Morgan, G. (2018). Semantic fluency in deaf children who use spoken and signed language in comparison with hearing peers. International Journal of Language & Communication Disorders, 53(1), 157–170. [Google Scholar]
- Martin, J. G., & Strange, W. (1968). The perception of hesitation in spontaneous speech. Perception & Psychophysics, 3(6), 427–438. [Google Scholar] [CrossRef]
- McCreery, R. W., & Walker, E. A. (2022). Variation in auditory experience affects language and executive function skills in children who are hard of hearing. Ear and Hearing, 43(2), 347–360. [Google Scholar] [CrossRef]
- McGregor, K. K., & Hadden, R. R. (2020). Brief report: “Um” fillers distinguish children with and without ASD. Journal of Autism and Developmental Disorders, 50, 1816–1821. [Google Scholar] [CrossRef] [PubMed]
- Most, T., Shina-August, E., & Meilijson, S. (2010). Pragmatic abilities of children with hearing loss using cochlear implants or hearing aids compared to hearing children. The Journal of Deaf Studies and Deaf Education, 15(4), 422–437. [Google Scholar] [CrossRef]
- Nippold, M. A. (2013). Explaining complex matters: How knowledge of a domain drives language. In Expository discourse in children, adolescents, and adults (pp. 41–61). Psychology Press. [Google Scholar]
- Nippold, M. A., Hesketh, L. J., Duthie, J. K., & Mansfield, T. C. (2005). Conversational versus expository discourse. Journal of Speech, Language, and Hearing Research, 48(5), 1048–1064. [Google Scholar] [CrossRef]
- Nippold, M. A., Vigeland, L. M., Frantz-Kaspar, M. W., & Ward-Lonergan, J. M. (2017). Language sampling with adolescents: Building a normative database with fables. American Journal of Speech-Language Pathology, 26(3), 908–920. [Google Scholar] [CrossRef]
- Nittrouer, S., & Lowenstein, J. H. (2021). When language outgrows them: Comprehension of ambiguous sentences in children with normal hearing and children with hearing loss. International Journal of Pediatric Otorhinolaryngology, 141, 110514. [Google Scholar] [CrossRef]
- Parish-Morris, J., Liberman, M. Y., Cieri, C., Herrington, J. D., Yerys, B. E., Bateman, L., Donaher, J., Ferguson, E., Pandey, J., & Schultz, R. T. (2017). Linguistic camouflage in girls with autism spectrum disorder. Molecular Autism, 8, 48. [Google Scholar] [CrossRef] [PubMed]
- Paul, R., Orlovski, S. M., Marcinko, H. C., & Volkmar, F. (2009). Conversational behaviors in youth with high-functioning ASD and Asperger syndrome. Journal of Autism and Developmental Disorders, 39, 115–125. [Google Scholar] [CrossRef] [PubMed]
- Paul, R., Paatsch, L., Caselli, N., Garberoglio, C. L., Goldin-Meadow, S., & Lederberg, A. (2020). Current research in pragmatic language use among deaf and hard of hearing children. Pediatrics, 146(Suppl. S3), S237–S245. [Google Scholar] [CrossRef] [PubMed]
- Prutting, C. A., & Kittchner, D. M. (1987). A clinical appraisal of the pragmatic aspects of language. Journal of Speech and Hearing Disorders, 52(2), 105–119. [Google Scholar] [CrossRef]
- Rush, O., Werfel, K. L., & Lund, E. (2023). Lexical–semantic organization as measured by repeated word association in children who are deaf and hard of hearing who use spoken language. Journal of Speech, Language, and Hearing Research, 66(10), 3925–3939. [Google Scholar] [CrossRef]
- Semel, E., Wiig, E., & Secord, W. (2004). Clinical evaluations of language fundamentals-4. The Psychological Corp. [Google Scholar]
- Spencer, T. D., Tolentino, T. J., & Foster, M. E. (2023). Impact of discourse type and elicitation task on language sampling outcomes. American Journal of Speech-Language Pathology, 32(6), 2827–2845. [Google Scholar] [CrossRef]
- Stiles, D. J., Bentler, R. A., & McGregor, K. K. (2012). The speech intelligibility index and the pure-tone average as predictors of lexical ability in children fit with hearing aids. Journal of Speech, Language, and Hearing Research, 55(3), 764–778. [Google Scholar] [CrossRef]
- Sun, Y., & Ding, H. (2025). Pausing patterns in English school-age children with a history of late talking: Frequent pauses and prolonged response delays. Journal of Communication Disorders, 115, 106514. [Google Scholar] [CrossRef]
- Swerts, M. (1998). Filled pauses as markers of discourse structure. Journal of Pragmatics, 30(4), 485–496. [Google Scholar] [CrossRef]
- Tomblin, J. B., Harrison, M., Ambrose, S. E., Walker, E. A., Oleson, J. J., & Moeller, M. P. (2015a). Language outcomes in young children with mild to severe hearing loss. Ear and Hearing, 36, 76S–91S. [Google Scholar] [CrossRef]
- Tomblin, J. B., Oleson, J., Ambrose, S. E., Walker, E. A., McCreery, R. W., & Moeller, M. P. (2020a). Aided hearing moderates the academic outcomes of children with mild to severe hearing loss. Ear and Hearing, 41(4), 775–789. [Google Scholar] [CrossRef] [PubMed]
- Tomblin, J. B., Oleson, J., Ambrose, S. E., Walker, E. A., & Moeller, M. P. (2020b). Early literacy predictors and second-grade outcomes in children who are hard of hearing. Child Development, 91(1), e179–e197. [Google Scholar] [CrossRef] [PubMed]
- Tomblin, J. B., Walker, E. A., McCreery, R. W., Arenas, R. M., Harrison, M., & Moeller, M. P. (2015b). Outcomes of children with hearing loss: Data collection and methods. Ear and Hearing, 36, 14S–23S. [Google Scholar] [CrossRef] [PubMed]
- Tuohimaa, K., Loukusa, S., Löppönen, H., Aarnisalo, A. A., Dietz, A., Hyvärinen, A., Laitakari, J., Rimmanen, S., Salonen, J., Sivonen, V., & Tennilä, T. (2025). Factors associated with social-pragmatic understanding in deaf and hard of hearing and typically hearing 6-year-old children. Journal of Speech, Language, and Hearing Research, 68(2), 808–826. [Google Scholar] [CrossRef]
- Vachio, M., Lund, E., & L. Werfel, K. (2023). An analysis of mental state verb and complex syntax use in children who are deaf and hard of hearing. Language, Speech, and Hearing Services in Schools, 54(4), 1282–1294. [Google Scholar] [CrossRef]
- Walker, E. A., Harrison, M., Baumann, R., Moeller, M. P., Sorensen, E., Oleson, J. J., & McCreery, R. W. (2023). Story generation and narrative retells in children who are hard of hearing and hearing children. Journal of Speech, Language, and Hearing Research, 66(9), 3550–3573. [Google Scholar] [CrossRef]
- Walker, E. A., Redfern, A., & Oleson, J. J. (2019). Linear mixed-model analysis to examine longitudinal trajectories in vocabulary depth and breadth in children who are hard of hearing. Journal of Speech, Language, and Hearing Research, 62(3), 525–542. [Google Scholar] [CrossRef]
- Wechsler, D., & Hsaio-Pin, C. (2011). Wechsler abbreviated scale of intelligence-second edition (WASI-II). Pearson. [Google Scholar]
- Wehrle, S., Grice, M., & Vogeley, K. (2024). Filled pauses produced by autistic adults differ in prosodic realisation, but not rate or lexical type. Journal of Autism and Developmental Disorders, 54(7), 2513–2525. [Google Scholar] [CrossRef]
- Werfel, K. L., & Douglas, M. (2017). Are we slipping them through the cracks? the insufficiency of norm-referenced assessments for identifying language weaknesses in children with hearing loss. Perspectives of the ASHA Special Interest Groups, 2(9), 43–53. [Google Scholar] [CrossRef] [PubMed]
- Werfel, K. L., Reynolds, G., Hudgins, S., Castaldo, M., & Lund, E. A. (2021). The production of complex syntax in spontaneous language by 4-year-old children with hearing loss. American Journal of Speech-Language Pathology, 30(2), 609–621. [Google Scholar] [CrossRef] [PubMed]
- Woodcock, R. W., McGrew, K. S., & Mather, N. (2007). Woodcock Johnson III tests of achievement-normative update. Riverside Publishing. [Google Scholar]


| Test Variable | CHH Mean (SD) | CTH Mean (SD) | Between Group p-Values |
|---|---|---|---|
| Age (years) | 10.38 (0.34) | 10.33 (0.40) | p = 0.49 |
| Maternal education level (years) | 15.79 (2.65) | 16.58 (3.27) | p = 0.21 |
| WJTA-III Picture Vocabulary SS | 99.48 (16.42) | 114.80 (13.55) | p = 0.04 * |
| CELF-4 Formulated Sentences SS | 104.12 (13.66) | 110.30 (15.51) | p = 0.04 * |
| Better-ear PTA (dB HL) | 45.36 (15.26) | <20 | NA |
| Better-Ear Aided SII | 78.72 (0.13) | NA | NA |
| Age at HL confirmation (months) | 20.09 (21.56) | NA | NA |
| Age at HA fit (months) | 23.55 (22.36) | NA | NA |
| CDHH | CTH | |||||
|---|---|---|---|---|---|---|
| Test Variable | Median | Mean | SD | Median | Mean | SD |
| Conversational uh ratio | 0.31 | 0.58 | 0.73 | 0.24 | 0.36 | 0.36 |
| Conversational um ratio | 2.35 | 2.49 | 1.54 | 2.70 | 3.00 | 1.88 |
| Expository uh ratio | 0.23 | 0.46 | 0.67 | 0.00 | 0.21 | 0.34 |
| Expository um ratio | 1.87 | 2.09 | 1.51 | 2.08 | 2.55 | 1.75 |
| Fable retell uh ratio | 0.00 | 0.49 | 0.99 | 0.00 | 0.26 | 0.53 |
| Fable retell um ratio | 1.13 | 1.94 | 2.51 | 1.28 | 1.62 | 1.83 |
Disclaimer/Publisher’s Note: The statements, opinions and data contained in all publications are solely those of the individual author(s) and contributor(s) and not of MDPI and/or the editor(s). MDPI and/or the editor(s) disclaim responsibility for any injury to people or property resulting from any ideas, methods, instructions or products referred to in the content. |
© 2025 by the authors. Licensee MDPI, Basel, Switzerland. This article is an open access article distributed under the terms and conditions of the Creative Commons Attribution (CC BY) license (https://creativecommons.org/licenses/by/4.0/).
Share and Cite
Hilker, C.; Oleson, J.J.; Tertyshnaia, M.; McCreery, R.W.; Walker, E.A. The Use of Filled Pauses Across Multiple Discourse Contexts in Children Who Are Hard of Hearing and Children with Typical Hearing. Behav. Sci. 2025, 15, 1053. https://doi.org/10.3390/bs15081053
Hilker C, Oleson JJ, Tertyshnaia M, McCreery RW, Walker EA. The Use of Filled Pauses Across Multiple Discourse Contexts in Children Who Are Hard of Hearing and Children with Typical Hearing. Behavioral Sciences. 2025; 15(8):1053. https://doi.org/10.3390/bs15081053
Chicago/Turabian StyleHilker, Charlotte, Jacob J. Oleson, Mariia Tertyshnaia, Ryan W. McCreery, and Elizabeth A. Walker. 2025. "The Use of Filled Pauses Across Multiple Discourse Contexts in Children Who Are Hard of Hearing and Children with Typical Hearing" Behavioral Sciences 15, no. 8: 1053. https://doi.org/10.3390/bs15081053
APA StyleHilker, C., Oleson, J. J., Tertyshnaia, M., McCreery, R. W., & Walker, E. A. (2025). The Use of Filled Pauses Across Multiple Discourse Contexts in Children Who Are Hard of Hearing and Children with Typical Hearing. Behavioral Sciences, 15(8), 1053. https://doi.org/10.3390/bs15081053

