The First Digital Strategy-Based Method for Training of Executive Functions: Impact on Cognition and Behavioral and Emotional Regulation, and Academic Success in Children With and Without Psychosocial Risk
Abstract
1. Introduction
1.1. Conceptualization of Executive Functions
1.2. Executive Function Alterations: Children at Psychosocial Risk
1.3. Executive Function Interventions: The Novel Scope of EF Training + Metacognition
1.4. Objectives
2. Methods
2.1. Participants
2.2. Assessments
- Background information questionnaire: This questionnaire was created ad hoc by the researchers. It was used to collect participant data related to the inclusion criteria and filled out by the children’s legal guardians. The questionnaire requested the following information: the participant’s age and sex; whether the child had received psychological or psychiatric treatment; whether the child had been diagnosed with specific educational needs; whether the child had repeated a school year; and whether the child had been identified by educational guidance services as being in a psychosocial risk situation. In cases where parents indicated that their children received psychological treatment or had specific educational needs, the information was assessed according to the study’s exclusion criteria. Children diagnosed with conditions such as ADHD, autism spectrum disorder, or significant learning disabilities were not eligible to participate. However, at this stage, no participants were excluded based on the information provided in the questionnaire.
- Five Digit Test (FDT) (Sedó, 2007): This assessment tool has different sections: Reading, Counting, Choice, and Alternation. In the Choice subscale, participants must count the numbers in a box instead of reading them. In the Alternation subscale, participants must change their strategy (from counting the numbers in a box to reading the numbers in it). The boxes in which the strategy is changed are marked by a blue frame. Additionally, the test includes subindices for “Reading time” and “Counting time”, which use the measure of processing speed. In the “Reading time” task, the child must read the numbers displayed in the box as quickly as possible. In the “Counting time” task, the child is required to count the number of asterisks in each box and say the total out loud. For example, if the card shows the stimulus “***”, the child should respond with “three”. We used inhibition and flexibility scores as variables of inhibition and flexibility. The inhibition score was determined by subtracting the reading time from the choice time. The flexibility score was determined by subtracting the reading time from the alternation time. Lower scores were associated with better results. The Spearman–Brown coefficient for this test ranges from 0.92 to 0.95.
- WM sub-index of the Wechsler Intelligence Scale (WISC-V): We used the Spanish adaptation of the WISC-V for children (2014), focusing on the WM index subtests: (1) Digits, which involves repeating digits in direct, reverse, and ascending order; (2) Drawing Span, requiring participants to recall and order drawings after brief exposure; and (3) Letters and Numbers, in which participants repeat numbers in ascending order and letters alphabetically after hearing a mixed series. The WM index is obtained through conversion to a composite index, which is calculated by summing the scaled scores of the Digits, Drawing Span, and Letter and Numbers subtests. The WM auditory index is obtained through conversion to a composite index, which is calculated by summing the scaled scores of the Digits and Letter and Numbers subtests. The Spanish adaptation for children WISC-V (Wechsler, 2015) was applied. Higher scores were associated with better results.
- Reynolds Brief Intelligence Test (RIST): RIST (Reynolds & Kamphaus, 2013) is a screening intelligence test that contains two subscales: Riddles, to assess verbal intelligence, and Categories, to assess non-verbal intelligence. The sum of both subscales determines the intelligence index (M = 100; SD = 15). Higher scores were associated with better results. The reliability for this test, based on Cronbach’s alpha, is 0.91.
- Behavior Rating Inventory of Executive Function (BRIEF-2) (Gioia et al., 2017): This standardized test for youth aged 5 to 18 focuses on assessing EFs with two versions, one for teachers and one for parents. For the purposes of this study, we focused on the family version. It is a Likert-type assessment in which the parent/guardian responds regarding frequency to a series of questions. Three main indices comprise the different clinical scales: the Behavioral Regulation Index, Emotional Regulation Index, and Cognitive Regulation Index. The Global index of executive function is made up of all three. It provides various scores related to EFs, such as inhibition, flexibility, self-control, WM, and cognitive regulation. Higher scores indicate problems or difficulties (T, typical scale; M = 50, SD = 10). This study used the Spanish adaptation (Gioia et al., 2017). This test has high reliability (based on Cronbach’s alpha M = 0.86).
- School performance: The numerical evaluations provided by the participants’ tutors in mathematics and language were used. The students’ academic performance ranged from 0 to 10. In the Spanish educational system at the primary education level, the homeroom tutor is the teacher responsible for a specific group of students. Academic performance in Spain is typically measured on a scale from 0 to 10, where 0 represents the lowest score and 10 represents the highest.
2.3. Interventions
2.4. Data Analysis
3. Results
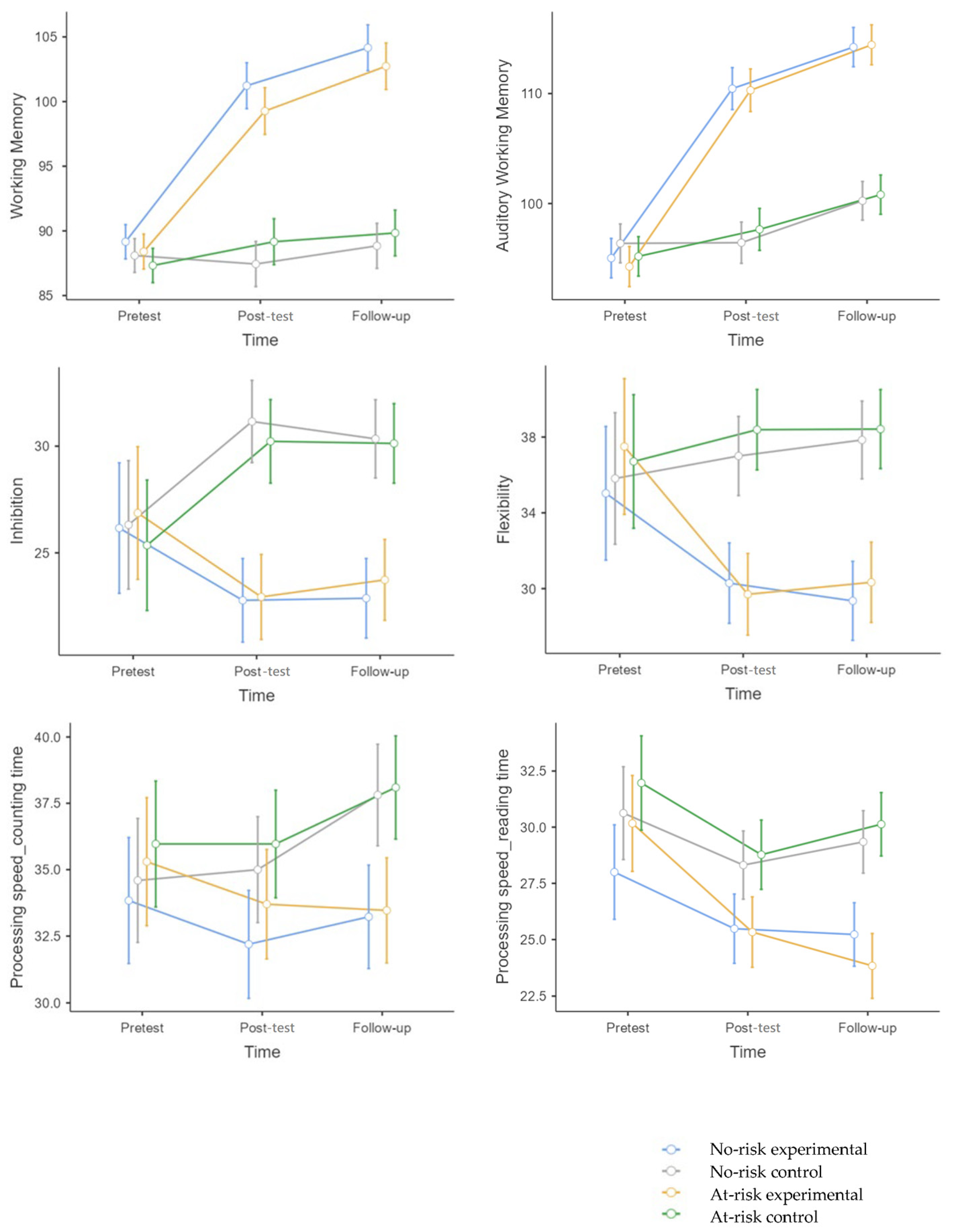
3.1. Variables Considered to be Near Transfer Assessed Individually
- WISC-V Working Memory Index
- WISC-V Auditory Working Memory Index
- FDT Inhibition
- FDT Flexibility
- FDT Counting Time (Processing Speed)
- FDT Reading Time (Processing Speed)
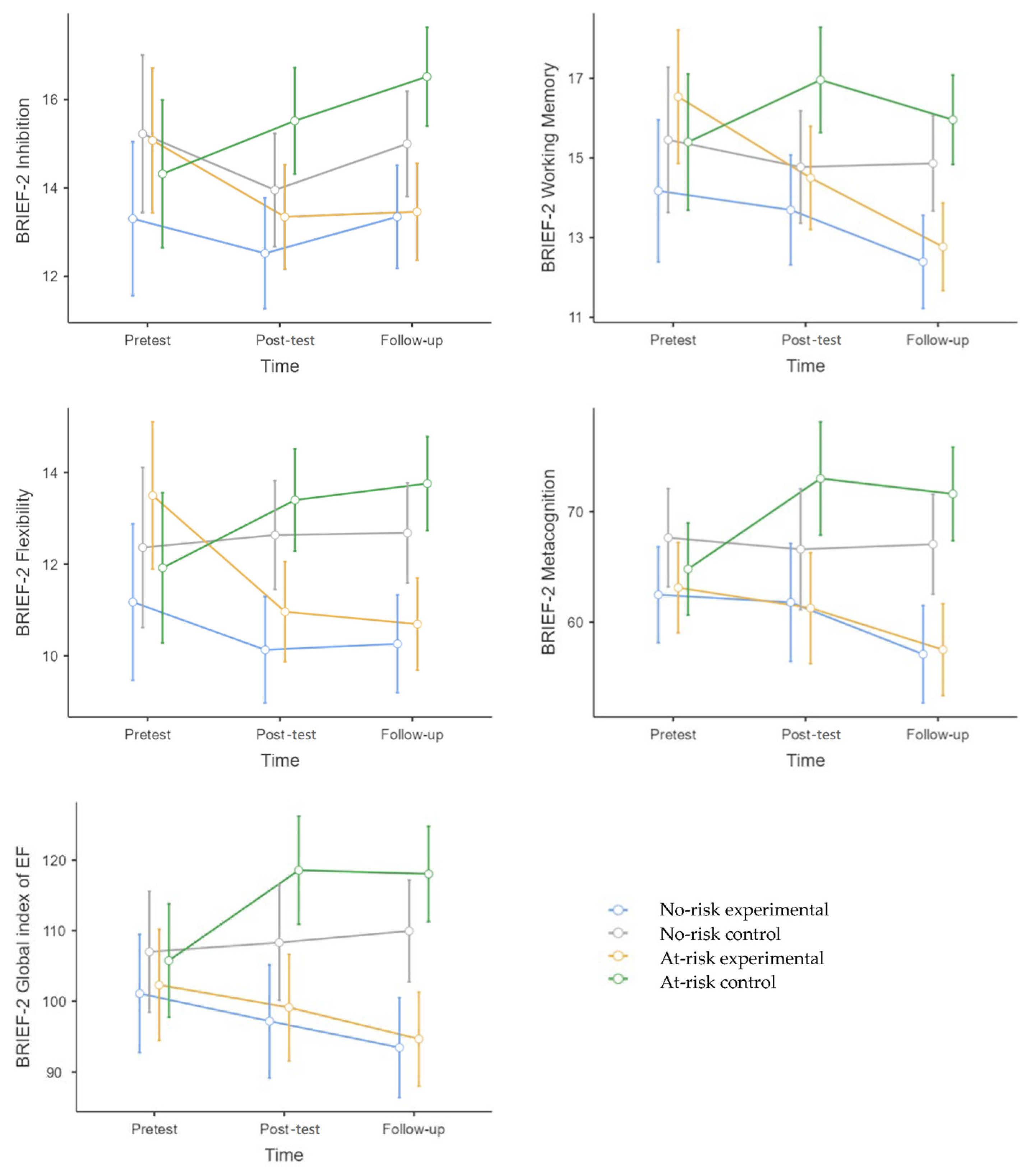
3.2. Variables Considered to be Transferable in Participants’ Daily Lives Were Assessed Through Parent Questionnaires
- BRIEF-2 Inhibition
- BRIEF-2 Flexibility
- BRIEF-2 Working Memory
- BRIEF-2 Metacognition Index
- BRIEF-2 Global Index of Executive Function
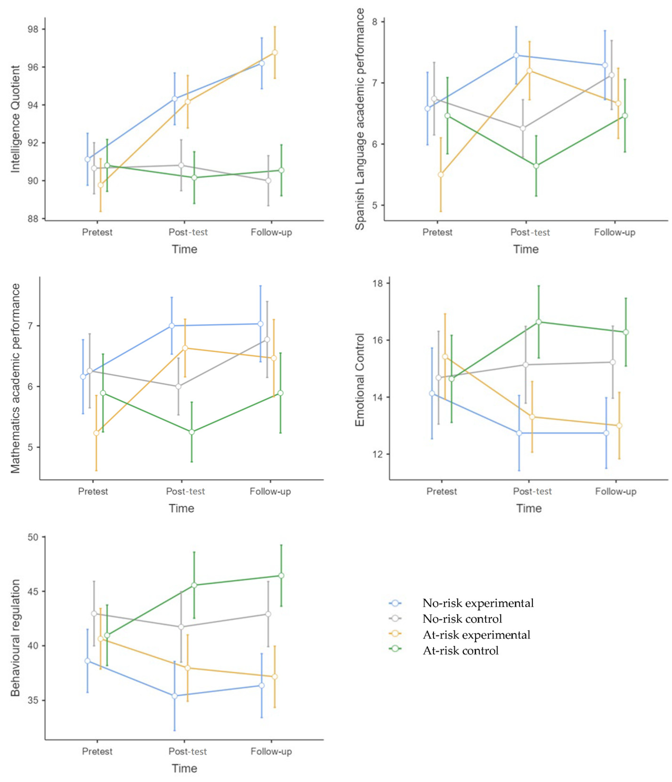
3.3. Variables Considered to be Far Transfer (Not Directly Trained)
- RIST Intelligence Index
- Spanish Language Academic Performance
- Mathematics Academic Performance
- BRIEF-2 Emotional Control
- BRIEF-2 Behavioral Regulation Index
4. Discussion
5. Conclusions
Author Contributions
Funding
Institutional Review Board Statement
Informed Consent Statement
Data Availability Statement
Acknowledgments
Conflicts of Interest
Abbreviations
| No-risk | Children without psychosocial risk |
| At-risk | Children at psychosocial risk |
| EFs | Executive functions |
| WM | Working memory |
References
- Andrés, M. L., Richaud de Minzi, M. C., Castañeiras, C., Canet-Juric, L., & Rodríguez-Carvajal, R. (2016). Neuroticism and depression in children: The role of cognitive emotion regulation strategies. The Journal of Genetic Psychology, 177(2), 55–71. [Google Scholar] [CrossRef] [PubMed]
- Ardila, A., Pineda, D., & Rosselli, M. (2000). Correlation between intelligence test scores and executive function measures. Archives of Clinical Neuropsychology, 15(1), 31–36. [Google Scholar] [CrossRef] [PubMed]
- Bailey, R., & Jones, S. M. (2019). An integrated model of regulation for applied settings. Clinical Child and Family Psychology Review, 22(1), 2–23. [Google Scholar] [CrossRef] [PubMed]
- Best, J. R., Miller, P. H., & Naglieri, J. A. (2011). Relations between executive function and academic achievement from ages 5 to 17 in a large, representative national sample. Learning and Individual Differences, 21, 327–336. [Google Scholar] [CrossRef]
- Bosanquet, P., & Radford, J. (2019). Teaching assistant and pupil interactions: The role of repair and topic management in scaffolding learning. British Journal of Educational Psychology, 89(1), 177–190. [Google Scholar] [CrossRef]
- Brocki, K. C., & Bohlin, G. (2004). Executive functions in children aged 6 to 13: A dimensional and developmental study. Developmental Neuropsychology, 26(2), 571–593. [Google Scholar] [CrossRef]
- Camuñas, N., Mavrou, I., Vaíllo, M., & Martínez, R. M. (2022). An executive function training programme to promote behavioural and emotional control of children and adolescents in foster care in Spain. Trends in Neuroscience and Education, 27, 100175. [Google Scholar] [CrossRef]
- Cassandra, B., & Reynolds, C. (2005). A model of the development of frontal lobe functioning: Findings from a meta-analysis. Applied Neuropsychology, 12(4), 190–201. [Google Scholar] [CrossRef]
- Cheung, S. K., & Chan, W. W. L. (2022). The roles of different executive functioning skills in young children’s mental computation and applied mathematical problem-solving. British Journal of Developmental Psychology, 40(1), 151–169. [Google Scholar] [CrossRef]
- Chevalier, N., & Blaye, A. (2016). Metacognitive monitoring of executive control engagement during childhood. Child Development, 87(4), 1264–1276. [Google Scholar] [CrossRef]
- Cohen, J. (1988). Statistical power analysis for the behavioral sciences (2nd ed.). Lawrence Erlbaum Associates. [Google Scholar]
- Cole, K., & Mitchell, P. (2000). Siblings in the development of executive control and a theory of mind. British Journal of Developmental Psychology, 18(2), 279–295. [Google Scholar] [CrossRef]
- Crawford, C., Macmillan, L., & Vignoles, A. (2017). When and why do initially high-achieving poor children fall behind? Oxford Review of Education, 43(1), 88–108. [Google Scholar] [CrossRef]
- Crick, N. R., & Dodge, K. A. (1994). A review and reformulation of social information-processing mechanisms in children’s social adjustment. Psychological Bulletin, 115(1), 74. [Google Scholar] [CrossRef]
- Davidson, M. C., Amso, D., Anderson, L. C., & Diamond, A. (2006). Development of cognitive control and executive functions from 4 to 13 years: Evidence from manipulations of memory, inhibition, and task switching. Neuropsychologia, 44(11), 2037–2078. [Google Scholar] [CrossRef]
- De Boer, H., Donker, A. S., Kostons, D. D., & Van der Werf, G. P. (2018). Long-term effects of metacognitive strategy instruction on student academic performance: A meta-analysis. Educational Research Review, 24, 98–115. [Google Scholar] [CrossRef]
- De Luca, C. R., Wood, S. J., Anderson, V., Buchanan, J., Proffitt, T. M., Mahony, K., & Pantelis, C. (2003). Normative data from the CANTAB. I: Development of executive function over the lifespan. Journal of Clinical and Experimental Neuropsychology, 25(2), 242–254. [Google Scholar] [CrossRef]
- Diamond, A. (2006). The early development of executive functions. In E. Bialystock, & F. I. M. Craik (Eds.), The early development of executive functions. Lifespan cognition: Mechanisms of change (pp. 70–95). Oxford University Press. [Google Scholar] [CrossRef]
- Diamond, A. (2013). Executive functions. Annual Review of Psychology, 64(1), 135–168. [Google Scholar] [CrossRef]
- Diamond, A., Barnett, W. S., Thomas, J., & Munro, S. (2007). Preschool program improves cognitive control. Science, 318(5855), 1387–1388. [Google Scholar] [CrossRef]
- Diamond, A., & Ling, D. S. (2019). Review of the evidence on, and fundamental questions about, efforts to improve executive functions, including working memory. In J. M. Novick, M. F. Bunting, M. R. Dougherty, & R. W. Engle (Eds.), Cognitive and working memory training: Perspectives from psychology, neuroscience, and human development (pp. 143–431). Oxford University Press. [Google Scholar] [CrossRef]
- Doebel, S. (2020). Rethinking executive function and its development. Perspectives on Psychological Science, 15(4), 942–956. [Google Scholar] [CrossRef]
- Doebel, S., Dickerson, J. P., Hoover, J. D., & Munakata, Y. (2018). Using language to get ready: Familiar labels help children engage proactive control. Journal of Experimental Child Psychology, 166, 147–159. [Google Scholar] [CrossRef]
- Eberhart, J., Schäfer, F., & Bryce, D. (2025). Are metacognition interventions in young children effective? Evidence from a series of meta-analyses. Metacognition and Learning, 20(1), 7. [Google Scholar] [CrossRef]
- Efklides, A. (2009). The role of metacognitive experiences in the learning process. Psicothema, 21(1), 76–82. Available online: https://reunido.uniovi.es/index.php/PST/article/view/8799 (accessed on 29 January 2025). [PubMed]
- Engle, P. L., & Black, M. M. (2008). The effect of poverty on child development and educational outcomes. Annals of the New York Academy of Sciences, 1136, 243–256. [Google Scholar] [CrossRef] [PubMed]
- Faul, F., Erdfelder, E., Buchner, A., & Lang, A.-G. (2020). GPower, (Version 3.1.9.7) [Computer software]*; Universität Düsseldorf. Available online: https://www.psychologie.hhu.de/arbeitsgruppen/allgemeine-psychologie-und-arbeitspsychologie/gpower (accessed on 29 January 2025).
- Field, A. (2013). Discovering statistics using IBM SPSS statistics (4th ed.). Sage Publications. [Google Scholar]
- Frick, M. A., Forslund, T., Fransson, M., Johansson, M., Bohlin, G., & Brocki, K. C. (2017). The role of sustained attention, maternal sensitivity, and infant temperament in the development of early self-regulation. British Journal of Psychology, 109(2), 277–298. [Google Scholar] [CrossRef]
- Friedman, N. P., Miyake, A., Corley, R. P., Young, S. E., DeFries, J. C., & Hewitt, J. K. (2006). Not all executive functions are related to intelligence. Psychological Science, 17(2), 172–179. [Google Scholar] [CrossRef]
- Friedman, N. P., Miyake, A., Young, S. E., DeFries, J. C., Corley, R. P., & Hewitt, J. K. (2008). Individual differences in executive functions are almost entirely genetic in origin. Journal of Experimental Psychology: General, 137(2), 201–225. [Google Scholar] [CrossRef]
- Fuster, J. M. (2001). The prefrontal cortex—An update: Time is of the essence. Neuron, 30(2), 319–333. [Google Scholar] [CrossRef]
- Gagne, J. R., Liew, J., & Nwadinobi, O. K. (2021). How does the broader construct of self-regulation relate to emotion regulation in young children? Developmental Review, 60, 100965. [Google Scholar] [CrossRef]
- Gioia, G. A., Isquith, P. K., Guy, S. C., & Kenworthy, L. (2017). Evaluación conductual de la función ejecutiva. Ediciones TEA. [Google Scholar]
- Goldberg, E. (2001). The executive brain: Frontal lobes and the civilized mind. Oxford University Press. [Google Scholar]
- Graziano, P. A., & Hart, K. (2016). Beyond behavior modification: Benefits of social–emotional/self-regulation training for preschoolers with behavior problems. Journal of School Psychology, 58, 91–111. [Google Scholar] [CrossRef]
- Grolnick, W. S., & Ryan, R. M. (1989). Parent styles associated with children’s self-regulation and competence in school. Journal of Educational Psychology, 81(2), 143–154. [Google Scholar] [CrossRef]
- Hackman, D. A., Farah, M. J., & Meaney, M. J. (2010). Socioeconomic status and the brain: Mechanistic insights from human and animal research. Nature reviews. Neuroscience, 11(9), 651–659. [Google Scholar] [CrossRef] [PubMed]
- Hedges, L. V., & Olkin, I. (1985). Statistical methods for meta-analysis. Academic Press. [Google Scholar]
- Hofmann, W., Schmeichel, B. J., & Baddeley, A. (2012). Executive functions and self-regulation. Trends in Cognitive Sciences, 16(3), 174–180. [Google Scholar] [CrossRef] [PubMed]
- Ison, M. S., Korzeniowski, C., Segretin, M. S., & Lipina, S. J. (2015). Evaluación de la eficacia atencional en niños argentinos sin y con extraedad escolar. Revista Argentina de Ciencias del Comportamiento, 7(1), 38–52. [Google Scholar] [CrossRef]
- Isquith, P. Κ., Gioia, G. A., & Espy, K. A. (2004). Executive function in preschool children: Examination through everyday behavior. Developmental Neuropsychology, 26(1), 403–422. [Google Scholar] [CrossRef]
- Jahromi, L. B., & Stifter, C. A. (2008). Individual differences in preschoolers’ self-regulation and theory of mind. Merrill-Palmer Quarterly, 54(1), 125–150. [Google Scholar] [CrossRef]
- Jiménez, L., Astiz, D., Hidalgo, V., & Contín, M. (2019). Ensuring respect for at-risk children’s rights. Lessons learned from home-and group-based family education programs. In L. Moran, & J. Canavan (Eds.), Realising children’s rights through supporting parents (pp. 43–60). UNESCO Child and Family Research Centre. Available online: https://cdn.flipsnack.com/widget/v2/widget.html?hash=ftkarl897 (accessed on 15 May 2023).
- Johann, V. E., & Karbach, J. (2020). Effects of game-based and standard executive control training on cognitive and academic abilities in elementary school children. Developmental Science, 23(4), e12866. [Google Scholar] [CrossRef]
- Johann, V. E., Könen, T., & Karbach, J. (2019). The unique contribution of working memory, inhibition, cognitive flexibility, and intelligence to reading comprehension and reading speed. Child Neuropsychology, 26(3), 324–344. [Google Scholar] [CrossRef]
- Jolles, D. D., & Crone, E. A. (2012). Training the developing brain: A neurocognitive perspective. Frontiers in Human Neuroscience, 6, 76. [Google Scholar] [CrossRef]
- Jones, J. S., Milton, F., Mostazir, M., & Adlam, A. R. (2020). The academic outcomes of working memory and metacognitive strategy training in children: A double-blind randomized controlled trial. Developmental Science, 23(4), e12870. [Google Scholar] [CrossRef]
- Jones, S. M., Bailey, R., Barnes, S. P., & Partee, A. (2016). Executive function mapping project: Untangling the terms and skills related to executive function and self-regulation in early childhood. (Issue October). Office of Planning, Research and Evaluation, Administration for Children and Families, U.S. Department of Health and Human Services. Available online: https://www.acf.hhs.gov/sites/default/files/documents/opre/efmapping_report_101416_final_508.pdf (accessed on 15 May 2023).
- Joseph, R. M., & Tager-Flusberg, H. (2004). The relationship of theory of mind and executive functions to symptom type and severity in children with autism. Development and Psychopathology, 16(1), 137–155. [Google Scholar] [CrossRef]
- Karbach, J. (2015). Plasticity of executive functions in childhood and adolescence: Effects of cognitive training interventions. Argentine Journal of Behavioral Sciences, 7(1), 64–70. [Google Scholar] [CrossRef]
- Karbach, J., & Kray, J. (2009). Flexibility in task switching in children and adults: The role of executive functions. Developmental Psychology, 45(4), 1305–1317. [Google Scholar]
- Karbach, J., & Unger, K. (2014). Executive control training from middle childhood to adolescence. Frontiers in Psychology, 5, 390. [Google Scholar] [CrossRef] [PubMed]
- Kubota, M., Hadley, L. V., Schaeffner, S., Könen, T., Meaney, J. A., Morey, C. C., Auyeung, B., Moriguchi, Y., Karbach, J., & Chevalier, N. (2023). The effect of metacognitive executive function training on children’s executive function, proactive control, and academic skills. Developmental Psychology, 59(11), 2002. [Google Scholar] [CrossRef]
- Larsen, B., & Luna, B. (2018). Adolescence as a neurobiological critical period for the development of higher-order cognition. Neuroscience and Biobehavioral Reviews, 94, 179–195. [Google Scholar] [CrossRef]
- Lewis, L. R., Lopez, R. A., Hunt, R. H., Hodel, A. S., Gunnar, M. R., & Thomas, K. M. (2024). Impacts of early deprivation on behavioral and neural measures of executive function in early adolescence. Brain and Cognition, 179, 106183. [Google Scholar] [CrossRef]
- Lipina, S. J., Hermida, M. J., Segretin, M. S., Prats, L., Fracchia, C., & Colombo, J. A. (2011). Childhood poverty and cognitive development: A review from developmental neuroscience. Argentine Journal of Public Health, 2(6), 25–37. [Google Scholar]
- Liu, Q., Zhu, X., Ziegler, A., & Shi, J. (2015). The effects of inhibitory control training for preschoolers on reasoning ability and neural activity. Scientific Reports, 5, 14200. [Google Scholar] [CrossRef]
- Lozano Gutiérrez, A., & Ostrosky, F. (2011). Development of executive functions and the prefrontal cortex. Neuropsychology, Neuropsychiatry and Neurosciences Journal, 11(1), 159–172. [Google Scholar]
- Manfra, L., Davis, K. D., Ducenne, L., & Winsler, A. (2014). Preschoolers’ motor and verbal self-control strategies during a resistance-to-temptation task. The Journal of Genetic Psychology, 175(4), 332–345. [Google Scholar] [CrossRef]
- Marcovitch, S., & Zelazo, P. D. (2009). A hierarchical competing systems model of the emergence and early development of executive function. Developmental Science, 12(1), 1–18. [Google Scholar] [CrossRef] [PubMed]
- Martins, M., Pinto, R., Živković, M., & Jiménez, L. (2024). Parenting competences among migrant families living at psychosocial risk in Spain. Journal of International Migration and Integration, 25(2), 737–758. [Google Scholar] [CrossRef]
- Marulis, L. M., Baker, S. T., & Whitebread, D. (2020). Integrating metacognition and executive function to enhance young children’s perception of and agency in their learning. Early Childhood Research Quarterly, 50, 46–54. [Google Scholar] [CrossRef]
- Melby-Lervåg, M., Redick, T. S., & Hulme, C. (2016). Working memory training does not improve performance on measures of intelligence or other measures of “far transfer”: Evidence from a meta-analytic review. Perspectives on Psychological Science, 11(4), 512–534. [Google Scholar] [CrossRef]
- Miller, B. L., & Cummings, J. L. (Eds.). (2017). The human frontal lobes: Functions and disorders. Guilford Publications. [Google Scholar]
- Miyake, A., & Friedman, N. P. (2012). The nature and organization of individual differences in executive functions: Four general conclusions. Current Directions in Psychological Science, 21(1), 8–14. [Google Scholar] [CrossRef]
- Miyake, A., Friedman, N. P., Emerson, M. J., Witzki, A., Howerter, A., & Wager, T. D. (2000). The unity and diversity of executive functions and their contributions to complex “Frontal lobe” tasks: A latent variable analysis. Cognitive Psychology, 41(1), 49–100. [Google Scholar] [CrossRef]
- Moraine, P. (2014). The student’s executive functions. Improving attention, memory, organisation and other functions to facilitate learning. Narcea. [Google Scholar]
- Morgan, A. B., & Lilienfeld, S. O. (2000). A meta-analytic review of the relation between antisocial behavior and neuropsychological measures of executive function. Clinical Psychology Review, 20(1), 113–136. [Google Scholar] [CrossRef]
- Morrison, A. B., & Chein, J. (2011). Does working memory training work? The promise and challenges of enhancing cognition by training working memory. Psychonomic Bulletin & Review, 18(1), 46–60. [Google Scholar] [CrossRef]
- Nelson, T. O., & Narens, L. (1994). Metacognition: Knowing about knowing. In J. Metcalfe, & A. P. Shimamura (Eds.), Metacognition: Knowing about knowing (pp. 1–25). The MIT Press. [Google Scholar] [CrossRef]
- Niebaum, J. C., & Munakata, Y. (2022). Why doesn’t executive function training improve academic achievement? Rethinking individual differences, relevance, and engagement from a contextual framework. Journal of Cognition and Development, 24(2), 241–259. [Google Scholar] [CrossRef]
- Ohtani, K., & Hisasaka, T. (2018). Beyond intelligence: A meta-analytic review of the relationship among metacognition, intelligence, and academic performance. Metacognition and Learning, 13(2), 179–212. [Google Scholar] [CrossRef]
- Partanen, P., Jansson, B., Lisspers, J., & Sundin, Ö. (2015). Metacognitive strategy training adds to the effects of working memory training in children with special educational needs. International Journal of Psychological Studies, 7(3), 130–140. [Google Scholar] [CrossRef]
- Peng, P., Namkung, J., Barnes, M., & Sun, C. Y. (2015). A meta-analysis of mathematics and working memory: Moderating effects of working memory domain, type of mathematics skill, and sample characteristics. Journal of Educational Psychology, 108, 455–473. [Google Scholar] [CrossRef]
- Pennington, B. F., & Ozonoff, S. J. (1996). Executive functions and developmental psychopathology. Journal of Child Psychology and Psychiatry, 37(1), 51–87. [Google Scholar] [CrossRef]
- Perone, S., Simmering, V. R., & Buss, A. T. (2021). A dynamical reconceptualization of executive-function development. Perspectives on Psychological Science, 16(6), 1198–1208. [Google Scholar] [CrossRef] [PubMed]
- Piu Piu Apps. (2023). Kawaii paint gradient, (1.4.2 Version) [App]; Available online: https://play.google.com/store/apps/details?id=com.piupiuapps.coloringgradientkawaii&hl=es_CR (accessed on 15 May 2023).
- Pozuelos, J. P., Cómbita, L. M., Abundis, A., Paz-Alonso, P. M., Conejero, Á., Guerra, S., & Rueda, M. R. (2018). Metacognitive scaffolding boosts cognitive and neural benefits following executive attention training in children. Developmental Science, 22(2), e12756. [Google Scholar] [CrossRef]
- Reder, L. M., & Schunn, C. D. (2014). Metacognition does not imply awareness: Strategy choice is governed by implicit learning and memory. In Implicit memory and metacognition (pp. 45–77). Psychology Press. [Google Scholar]
- Reynolds, C. R., & Kamphaus, R. W. (2013). RIAS and RIST manual. (Spanish adaptation). TEA Editions. [Google Scholar]
- Riccio, C. A., Hewitt, L. L., & Blake, J. J. (2011). Relationship of measures of executive function with aggressive behavior in children. Applied Neuropsychology, 18(1), 1–10. [Google Scholar] [CrossRef]
- Rodrigo, M. J., Byrne, S., & Álvarez, M. (2011). Preventing child maltreatment through parenting programmes implemented at the local social services level. European Journal of Developmental Psychology, 9(1), 89–103. [Google Scholar] [CrossRef]
- Roebers, C. M. (2017). Executive function and metacognition: Towards a unifying framework of cognitive self-regulation. Developmental Review, 45, 31–51. [Google Scholar] [CrossRef]
- Roebers, C. M., & Feurer, E. (2016). Linking executive functions and procedural metacognition. Child Development Perspectives, 10(1), 39–44. [Google Scholar] [CrossRef]
- Rossignoli-Palomeque, T., Pérez-Hernandez, E., & González-Marqués, J. (2018). Brain training in children and adolescents: Is it scientifically valid? Frontiers in Psychology, 9, 565. [Google Scholar] [CrossRef]
- Rossignoli-Palomeque, T., Pérez-Hernandez, E., & González-Marqués, J. (2020). Training effects of attention and EF strategy-based training “Nexxo” in school-age students. Acta Psychologica, 210, 103174. [Google Scholar] [CrossRef] [PubMed]
- Rossignoli-Palomeque, T., Quirós-Godoy, M., Perez-Hernandez, E., & González-Marqués, J. (2019). Schoolchildren’s compensatory strategies and skills in relation to attention and executive function app training. Frontiers in Psychology, 10, 2332. [Google Scholar] [CrossRef]
- Sabbagh, M. A., Xu, F., Carlson, S. M., Moses, L. J., & Lee, K. (2006). The development of executive functioning and theory of mind: A comparison of Chinese and U.S. preschoolers. Psychological Science, 17(1), 74–81. [Google Scholar] [CrossRef] [PubMed]
- Sala, G., & Gobet, F. (2019). Cognitive training does not enhance general cognition. Trends in Cognitive Sciences, 23(1), 9–20. [Google Scholar] [CrossRef]
- Sarwar, S. (2016). Influence of parenting style on children’s behaviour. Journal of Education and Educational Development, 3(2), 222–249. [Google Scholar] [CrossRef]
- Schoemaker, K., Mulder, H., Deković, M., & Matthys, W. (2012). Executive functions in preschool children with externalizing behavior problems: A meta-analysis. Journal of Abnormal Child Psychology, 41(3), 457–471. [Google Scholar] [CrossRef]
- Sedó, M. (2007). Five digit test. TEA Ediciones. [Google Scholar]
- Semrud-Clikeman, M., & Bledsoe, J. (2011). Updates on attention-deficit/hyperactivity disorder and learning disorders. Current Psychiatry Reports, 13(5), 364–373. [Google Scholar] [CrossRef]
- Séguin, J. R. (2009). The frontal lobe and aggression. European Journal of Developmental Psychology, 6(1), 100–119. [Google Scholar] [CrossRef]
- Séguin, J. R., Boulerice, B., Harden, P. W., Tremblay, R. E., & Pihl, R. O. (1999). Executive functions and physical aggression after controlling for attention deficit hyperactivity disorder, general memory, and IQ. Journal of Child Psychology and Psychiatry, 40(8), 1197–1208. [Google Scholar] [CrossRef]
- Shimamura, A. P. (2000). Toward a cognitive neuroscience of metacognition. Conscious and Cognition, 9(2), 313–323. [Google Scholar] [CrossRef]
- Shin, M., & Brunton, R. (2024). Early life stress and mental health—Attentional bias, executive function and resilience as moderating and mediating factors. Personality and Individual Differences, 221, 1–9. [Google Scholar] [CrossRef]
- Shore, R. (1997). Rethinking the brain: New insights into early development. Families and Work Institute. [Google Scholar]
- Simons, D. J., Boot, W. R., Charness, N., Gathercole, S. E., Chabris, C. F., Hambrick, D. Z., & Stine-Morrow, E. A. (2016). Do “brain-training” programs work? Psychological Science in the Public Interest, 17(3), 103–186. [Google Scholar] [CrossRef] [PubMed]
- Smid, C. R., Karbach, J., & Steinbeis, N. (2020). Toward a science of effective cognitive training. Current Directions in Psychological Science, 29(6), 531–537. [Google Scholar] [CrossRef]
- Sroufe, L. A. (2000). Emotional development: The organization of emotional life in the early years. Cambridge University Press. [Google Scholar]
- Stap2Go S.L. (2022). Stap2Go. (1.3.0) [App]. Available online: https://play.google.com/store/apps/details?id=com.GeneticAI.STap2Go&hl=es_419&gl=US (accessed on 14 November 2022).
- Strobach, T., & Karbach, J. (2021). Cognitive training. An overview of features and applications (2nd ed.). Springer. [Google Scholar] [CrossRef]
- Stuss, D. T. (2011). Functions of the frontal lobes: Relation to executive functions. Journal of the International Neuropsychological. Society: JINS, 17(5), 759–765. [Google Scholar] [CrossRef]
- Takacs, Z. K., & Kassai, R. (2019). The efficacy of different interventions to foster children’s executive function skills: A series of meta-analyses. Psychological Bulletin, 145(7), 653–697. [Google Scholar] [CrossRef]
- Tamm, L., & Nakonezny, P. A. (2015). Metacognitive executive function training for young children with ADHD: A proof-of-concept study. Attention Deficit and Hyperactivity Disorders, 7(3), 183–190. [Google Scholar] [CrossRef]
- The Jamovi Project. (2022). Jamovi, (Version 2.3.24) [Software]; Available online: https://www.jamovi.org (accessed on 15 February 2023).
- Tiego, J., Bellgrove, M. A., Whittle, S., Pantelis, C., & Testa, R. (2020). Common mechanisms of executive attention underlie executive function and effortful control in children. Developmental Science, 23(3), e12918. [Google Scholar] [CrossRef]
- Titz, C., & Karbach, J. (2014). Working memory and executive functions: Effects of training on academic achievement. Psychological Research, 78(6), 852–868. [Google Scholar] [CrossRef]
- Veenman, M. V., Van Hout-Wolters, B. H., & Afflerbach, P. (2006). Metacognition and learning: Conceptual and methodological considerations. Metacognition and Learning, 1, 3–14. [Google Scholar] [CrossRef]
- Waber, D. P., Gerber, E., Turcios, V. Y., Wagner, E. R., & Forbes, P. (2006). Executive Functions and performance on High-Stakes testing in children from urban schools. Developmental Neuropsychology, 29(3), 459–477. [Google Scholar] [CrossRef]
- Wang, T., Li, C., Ren, X., & Schweizer, K. (2021). How executive processes explain the overlap between working memory capacity and fluid intelligence: A test of process overlap theory. Journal of Intelligence, 9(2), 21. [Google Scholar] [CrossRef] [PubMed]
- Wechsler, D. (2015). WISC-V. Wechsler intelligence scale for children-V. Pearson. [Google Scholar]
- Wood, D., Bruner, J. S., & Ross, G. (1976). The role of tutoring in problem solving. Journal of Child Psychology and Psychiatry, 17(2), 89–100. [Google Scholar] [CrossRef] [PubMed]
- Yoshikawa, H., Aber, J. L., & Beardslee, W. R. (2012). The effects of poverty on the mental, emotional, and behavioral health of children and youth: Implications for prevention. The American Psychologist, 67(4), 272–284. [Google Scholar] [CrossRef] [PubMed]
- Zelazo, P. D., & Carlson, S. M. (2012). Hot and cool executive function in childhood and adolescence: Development and plasticity. Child Development Perspectives, 6(4), 354–360. [Google Scholar] [CrossRef]
- Zelazo, P. D., Craik, F. I. M., & Booth, L. (2004). Executive function across the life span. Acta Psychologica, 115(2–3), 167–183. [Google Scholar] [CrossRef]
- Zelazo, P. D., Qu, L., & Kesek, A. C. (2010). Hot executive function: Emotion and the development of cognitive control. In S. D. Calkins, & M. A. Bell (Eds.), Child development at the intersection of emotion and cognition (pp. 97–111). American Psychological Association. [Google Scholar] [CrossRef]
- Zhao, X., Chen, L., & Maes, J. H. R. (2018). Training and transfer effects of response inhibition training in children and adults. Developmental Science, 21(1), e12511. [Google Scholar] [CrossRef]
- Zimmerman, B. J. (2002). Becoming a self-regulated learner: An overview. Theory Into Practice, 41(2), 64–70. [Google Scholar] [CrossRef]
- Zuber, S., Joly-Burra, E., Mahy, C. E. V., Loaiza, V., & Kliegel, M. (2022). Are facet-specific task trainings efficient in improving children’s executive functions, and why (they might not be)? A multi-facet latent change score approach. Journal of Experimental Child Psychology, 227, 105602. [Google Scholar] [CrossRef]








| RIST | Gender F/M | Age | ||
|---|---|---|---|---|
| Pretest | No-risk experimental group | 91.1 (4.76) | 14/17 | 133 (12.9) |
| No-risk control group | 90.7 (3.70) | 12/20 | 131 (6.96) | |
| At-risk experimental group | 89.8 (3.22) | 14/16 | 135 (8.76) | |
| At-risk control group | 90.8 (3.53) | 21/10 | 133 (10.3) | |
| F(3.120) | 0.69 (p = 0.057) | 1.13 (p = 0.34) | ||
| Post-test | No-risk experimental group | 94.3 (5.06) | 14/17 | 136 (12.9) |
| No-risk control group | 90.7 (3.17) | 12/20 | 135 (6.96) | |
| At-risk experimental group | 94.2 (4.04) | 14/16 | 138 (8.75) | |
| At-risk control group | 90.8 (3.53) | 21/10 | 133 (10.3) | |
| F(3.120) | 10.1 (p < 0.001) | 1.14 | ||
| Follow-up | No-risk experimental group | 96.2 (5.36) | 14/17 | 140 (12.9) |
| No-risk control group | 90.0 (2.62) | 12/20 | 138 (6.94) | |
| At-risk experimental group | 96.8 (3.54) | 14/16 | 142 (8.76) | |
| At-risk control group | 90.5 (3.00) | 21/10 | 90.5 (3.00) | |
| F(14.5) | 32.4 (p < 0.001) | 1.13 | ||
| No-Risk Experimental Group | No-Risk Control Group | No-Risk ANOVA t1 p-Value | At-Risk Experimental Group | At-Risk Control Group | At-Risk ANOVA t1 p-Value | ||
|---|---|---|---|---|---|---|---|
| M (SD) | M (SD) | M (SD) | M (SD) | ||||
| WISC-V Working Memory Index | Pretest | 89.2 (4.69) | 88.1 (3.45) | 0.31 | 88.4 (2.92) | 87.3 (3.61) | 0.20 |
| Post-test | 101.2(8.10) | 87.4 (2.34) | 99.3 (4.28) | 89.2 (3.26) | |||
| Follow-up | 104.2 (7.53) | 88.8 (2.77) | 102.7 (4.23) | 89.8 (4.15) | |||
| WISC-V Auditory Working Memory Index | Pretest | 95.0 (4.17) | 96.4 (5.36) | 0.27 | 94.3 (5.07) | 95.2 (5.45) | 0.49 |
| Post-test | 110.5 (7.39) | 96.4 (4.75) | 110.3 (4.88) | 97.6 (3.72) | |||
| Follow-up | 114 (6.56) | 100 (4.45) | 114 (4.02) | 101 (4.66) | |||
| FDT Inhibition | Pretest | 26.2 (8.43) | 26.3 (9.53) | 0.95 | 26.9 (8.37) | 25.4 (7.94) | 0.47 |
| Post-test | 22.8 (5.96) | 31.2 (5.52) | 22.9 (4.06) | 30.2 (6.20) | |||
| Follow-up | 22.9 (5.80) | 30.3 (4.49) | 23.7 (5.04) | 30.1 (5.55) | |||
| FDT Flexibility | Pretest | 35.0 (9.90) | 35.8 (9.44) | 0.75 | 37.5 (9.55) | 36.7 (10.7) | 0.76 |
| Post-test | 30.3 (6.47) | 37.0 (6.14) | 29.7 (5.90) | 38.4 (5.28) | |||
| Follow-up | 29.4 (5.74) | 37.8 (6.07) | 30.3 (5.80) | 38.4 (5.82) | |||
| FDT Counting Time | Pretest | 33.8 (6.55) | 34.6 (5.29) | 0.62 | 35.3 (6.19) | 36.0 (8.29) | 0.72 |
| Post-test | 32.2 (4.91) | 35.0 (2.88) | 33.7 (5.47) | 36.0 (8.26) | |||
| Follow-up | 33.2 (5.20) | 37.8 (4.89) | 33.5 (5.16) | 38.1 (6.49) | |||
| FDT Reading Time | Pretest | 28.0 (4.64) | 30.6 (5.32) | 0.04 | 30.2 (6.75) | 32.0 (6.68) | 0.3 |
| Post-test | 25.5 (3.78) | 28.3 (3.23) | 25.3 (3.11) | 28.8 (6.38) | |||
| Follow-up | 25.2 (3.17) | 29.3 (3.43) | 23.8 (2.67) | 30.1 (5.82) |
| No-Risk Experimental Group | No-Risk Control Group | No-Risk ANOVA t1 p-Value | At-Risk Experimental Group | At-Risk Control Group | At-Risk ANOVA t1 p-Value | ||
|---|---|---|---|---|---|---|---|
| M (SD) | M (SD) | M (SD) | M (SD) | ||||
| BRIEF-2 Inhibition | Pretest | 13.3 (2.57) | 15.2 (3.25) | 0.03 | 15.1 (6.23) | 14.3 (3.50) | 0.59 |
| Post-test | 12.5 (1.81) | 13.9 (3.03) | 13.3 (3.22) | 15.5 (3.68) | |||
| Follow-up | 13.3 (1.70) | 15.0(2.68) | 13.5 (2.73) | 16.5 (3.64) | |||
| BRIEF-2 Flexibility | Pretest | 11.2 (2.35) | 12.4 (2.50) | 0.11 | 13.5 (6.54) | 11.9 (3.17) | 0.28 |
| Post-test | 10.1 (2.05) | 12.8 (2.80) | 11.0 (2.96) | 13.4 (3.15) | |||
| Follow-up | 10.3 (1.81) | 13.0 (3.05) | 10.7 (2.54) | 13.8 (2.85) | |||
| BRIEF-2 Working Memory | Pretest | 14.2 (2.71) | 15.5 (2.22) | 0.32 | 16.5 (7.15) | 15.4 (2.63) | 0.45 |
| Post-test | 13.7 (2.40) | 14.8 (3.84) | 14.5 (3.54) | 17.0 (3.55) | |||
| Follow-up | 12.4 (1.34) | 15.0 (2.71) | 12.8 (2.94) | 16.0 (3.81) | |||
| BRIEF-2 Metacognition Index | Pretest | 62.5 (10.09) | 67.6 (9.62) | 0.09 | 63.1 (10.86) | 64.8 (11.16) | 0.58 |
| Post-test | 61.8 (11.7) | 66.9 (14.5) | 61.3 (11.9) | 73.0 (13.9) | |||
| Follow-up | 57.1 (6.86) | 67.6 (11.20) | 57.5 (9.70) | 71.6 (14.12) | |||
| BRIEF-2 Global Index of Executive Functions | Pretest | 101 (15.9) | 107 (25.6) | 0.36 | 102 (19.4) | 106 (19.3) | 0.53 |
| Post-test | 97.2 (14.2) | 109.0 (20.9) | 99.1 (19.1) | 118.6 (22.2) | |||
| Follow-up | 93.4 (9.55) | 111.0 (17.70) | 94.7 (15.93) | 118.0 (22.62) |
| No-Risk Experimental Group | No-Risk Control Group | No-Risk ANOVA t1 p-Value | At-Risk Experimental Group | At-Risk Control Group | At-Risk ANOVA t1 p-Value | ||
|---|---|---|---|---|---|---|---|
| M (SD) | M (SD) | M (SD) | M (SD) | ||||
| RIST Intelligence Index | Pretest | 91.1 (4.76) | 38.6 (6.60) | 0.66 | 89.8 (3.22) | 90.0 (3.53) | 0.23 |
| Postest | 94.3 (5.06) | 35.4 (3.38) | 94.2 (4.04) | 90.2 (2.68) | |||
| Follow-up | 96.2 (5.36) | 36.3 (3.51) | 96.8 (3.54) | 90.5 (3.00) | |||
| Spanish Language academic performance | Pretest | 6.58 (1.52) | 6.74 (2.18) | 0.74 | 5.50 (1.61) | 6.46 (1.14) | 0.01 |
| Postest | 7.45 (1.39) | 6.31 (1.53) | 7.20 (1.24) | 5.61 (1.28) | |||
| Follow-up | 7.29 (1.49) | 7.19 (1.71) | 6.67 (1.60) | 6.39 (1.56) | |||
| Mathematics academic performance | Pretest | 6.16 (1.55) | 6.26 (2.16) | 0.84 | 5.23 (1.65) | 5.89 (1.34) | 0.10 |
| Postest | 7.00 (1.13) | 6.06 (1.58) | 6.63 (1.35) | 5.32 (1.30) | |||
| Follow-up | 7.03 (1.60) | 6.84 (1.89) | 6.47 (1.74) | 5.90 (1.85) | |||
| BRIEF-2 Emotional Control | Pretest | 14.1 (2.97) | 14.7 (2.66) | 0.51 | 15.4 (5.55) | 14.6 (3.21) | 0.54 |
| Postest | 12.7 (1.39) | 15.4 (2.84) | 13.3 (3.07) | 16.6 (4.53) | |||
| Follow-up | 12.7 (1.60) | 15.5 (2.92) | 13.0 (2.68) | 16.3 (4.16) | |||
| BRIEF-2 Behavioral Regulation Index | Pretest | 38.6 (6.60) | 43.0 (6.47) | 0.03 | 40.8 (5.61) | 41.0 (8.76) | 0.12 |
| Postest | 35.4 (3.38) | 42.1 (7.47) | 37.8 (8.14) | 45.6 (9.56) | |||
| Follow-up | 36.3 (3.51) | 43.5 (7.29) | 37.2 (6.97) | 46.4 (9.12) |
Disclaimer/Publisher’s Note: The statements, opinions and data contained in all publications are solely those of the individual author(s) and contributor(s) and not of MDPI and/or the editor(s). MDPI and/or the editor(s) disclaim responsibility for any injury to people or property resulting from any ideas, methods, instructions or products referred to in the content. |
© 2025 by the authors. Licensee MDPI, Basel, Switzerland. This article is an open access article distributed under the terms and conditions of the Creative Commons Attribution (CC BY) license (https://creativecommons.org/licenses/by/4.0/).
Share and Cite
Cáceres-González, D.; Rossignoli-Palomeque, T.; Rodríguez, M.V. The First Digital Strategy-Based Method for Training of Executive Functions: Impact on Cognition and Behavioral and Emotional Regulation, and Academic Success in Children With and Without Psychosocial Risk. Behav. Sci. 2025, 15, 633. https://doi.org/10.3390/bs15050633
Cáceres-González D, Rossignoli-Palomeque T, Rodríguez MV. The First Digital Strategy-Based Method for Training of Executive Functions: Impact on Cognition and Behavioral and Emotional Regulation, and Academic Success in Children With and Without Psychosocial Risk. Behavioral Sciences. 2025; 15(5):633. https://doi.org/10.3390/bs15050633
Chicago/Turabian StyleCáceres-González, David, Teresa Rossignoli-Palomeque, and María Vaíllo Rodríguez. 2025. "The First Digital Strategy-Based Method for Training of Executive Functions: Impact on Cognition and Behavioral and Emotional Regulation, and Academic Success in Children With and Without Psychosocial Risk" Behavioral Sciences 15, no. 5: 633. https://doi.org/10.3390/bs15050633
APA StyleCáceres-González, D., Rossignoli-Palomeque, T., & Rodríguez, M. V. (2025). The First Digital Strategy-Based Method for Training of Executive Functions: Impact on Cognition and Behavioral and Emotional Regulation, and Academic Success in Children With and Without Psychosocial Risk. Behavioral Sciences, 15(5), 633. https://doi.org/10.3390/bs15050633

