Next Article in Journal
Qualitative Map of Geodiversity as a Tool to Identify Geodiversity-Related Ecosystem Services: Application to the Costões e Lagunas Aspiring Geopark, SE Brazil
Previous Article in Journal
Deep-Water Volcaniclastic Layers in the Late Messinian Apennines Foreland Basin Unravel the First Calc-Alkaline Rhyolitic Eruption in the Central Italy Magmatic System
 
 
Font Type:
Arial Georgia Verdana
Font Size:
Aa Aa Aa
Line Spacing:
Column Width:
Background:
Article

Artificial Intelligence in Geomorphology: A Bibliometric Analysis of Trends, Techniques, and Global Research Patterns

by
Marco Luppichini
1,*,
Domenico Capolongo
2,
Giovanni Scardino
2,
Giovanni Scicchitano
2,3 and
Monica Bini
1,4,5
1
Department of Earth Sciences, University of Pisa, 56121 Pisa, Italy
2
Dipartimento di Scienze della Terra e Geoambientali, Università degli Studi di Bari Aldo Moro, 70121 Bari, Italy
3
Centro Interdipartimentale per la Dinamica Costiera, Università di Bari Aldo Moro, 70121 Bari, Italy
4
CIRSEC Centro Interdipartimentale di Ricerca per lo Studio degli Effetti del Cambiamento Climatico, Università di Pisa, Via del Borghetto 80, 56124 Pisa, Italy
5
Istituto Nazionale di Geofisica e Vulcanologia (INGV), Via Vigna Murata 605, 00143 Rome, Italy
*
Author to whom correspondence should be addressed.
Geosciences 2025, 15(9), 331; https://doi.org/10.3390/geosciences15090331
Submission received: 16 July 2025 / Revised: 21 August 2025 / Accepted: 27 August 2025 / Published: 27 August 2025

Abstract

In recent years, artificial intelligence has gained significant traction in Earth sciences, driving a shift from qualitative approaches to quantitative, data-driven methodologies. In geomorphology, artificial intelligence techniques are now applied at multiple scales and for diverse purposes, leveraging a wide spectrum of methods including supervised and unsupervised machine learning, regression algorithms, classification models, clustering techniques, neural networks, and dimensionality reduction. This study presents a structured bibliometric analysis of the scientific literature indexed in Scopus, analyzing over 2000 articles published between 1990 and 2024. Through a bibliometric approach, we explore temporal trends, the most commonly used artificial intelligence techniques, thematic domains, geographic patterns, and associated keywords. Results reveal the pervasive use of artificial intelligence in key geomorphological areas, particularly in fluvial, coastal, and erosional contexts, alongside the adoption of a rich variety of algorithms. The study also highlights the wide range of AI techniques applied in geomorphological research, spanning from traditional machine learning models to advanced neural architectures. This review provides a critical overview of the current landscape and outlines future directions to support more transparent, equitable, and integrated adoption of artificial intelligence in geomorphological research. The findings of this study are relevant to a wide range of stakeholders. Researchers and Ph.D. candidates can use the results to identify dominant thematic and methodological trajectories and detect underexplored areas. Data scientists and AI specialists may benefit from the mapped applications to implement advanced techniques in geomorphological contexts. The analysis also offers useful insights for funding agencies aiming to support strategic and equitable research development, particularly in underrepresented regions. Finally, journal editors and publishers may use emerging trends to inform the design of thematic issues and research priorities.

1. Introduction

In recent decades, artificial intelligence (AI) has profoundly transformed scientific research by providing powerful tools for processing complex data, developing predictive models, and automating decision-making processes [1,2]. AI broadly refers to computational techniques designed to emulate human cognitive functions such as learning, reasoning, and decision-making. Within environmental and geoscientific research, the most commonly applied subset of AI is machine learning (ML), a family of algorithms that learn patterns from data to perform tasks such as classification, regression, or clustering. A further subset, known as deep learning (DL), relies on artificial neural networks with multiple layers (e.g., convolutional or recurrent layers), and is particularly well suited for analyzing large, high-dimensional datasets such as remote sensing imagery, time series, and digital elevation models.
Following the success of deep neural networks in image analysis, natural language processing, and biomedicine, the adoption of AI techniques has rapidly expanded into the Earth sciences [3]. In particular, the growing availability of high-resolution geospatial and environmental data coupled with the increased availability of affordable computational power, made possible by the evolution of GPUs and the expansion of cloud-based resources, has enabled the integration of machine learning algorithms with remote sensing observations to address long-standing scientific questions [3]. This digital shift has contributed to the broader transformation of geosciences from traditionally qualitative and descriptive approaches toward quantitative, data-driven methodologies. Geomorphology, in particular, has historically relied on field surveys, visual interpretation, empirical or deterministic models, and approaches rooted in process geomorphology, which emphasize the physical mechanisms driving landscape evolution. Today, it is increasingly embracing AI-based approaches capable of handling large volumes of heterogeneous data, uncovering nonlinear relationships among environmental variables, and supporting tasks ranging from landform classification to process modeling.
Machine learning, deep learning, unsupervised clustering, and kernel-based regression techniques are now used to analyze a wide range of geomorphic phenomena: from the automatic detection of coastal changes and gully erosion to landslide susceptibility mapping and the segmentation of fluvial or karstic features from satellite imagery [4,5,6]. The diffusion of open-source libraries (e.g., TensorFlow, PyTorch) [7,8], cloud computing platforms (e.g., Google Earth Engine) [9], and pre-trained models (e.g., U-Net) has further accelerated the adoption of these techniques, lowering technical barriers and allowing a broader research community to experiment with AI-based workflows [10].
Bibliometric analysis is a quantitative method for evaluating the structure, trends, and evolution of scientific research through the statistical analysis of publications. Unlike systematic reviews, which follow protocols such as PRISMA and rely on detailed content appraisal, bibliometric studies focus on metadata (e.g., keywords, citations, affiliations, authorship, co-occurrence patterns). Bibliometric approaches are widely used in Earth sciences to map the evolution of disciplines and emerging research frontiers (e.g., [2,3]).
In this context, a comprehensive bibliometric review is needed to evaluate how AI has been integrated into geomorphological research so far. Specifically, this article aims to: (i) quantify the temporal evolution of publications applying AI in geomorphology; (ii) identify the most commonly used techniques and their distribution across geomorphological domains; (iii) analyze key keywords and application areas; and (iv) assess emerging trends and major methodological gaps.
To achieve these goals, we conducted a structured and quantitative review of the literature indexed in the Scopus database. Using a curated corpus of over 2000 articles selected for thematic relevance, we examine publication trends, explore the connections between AI techniques and geomorphological subfields, and the global distribution of research efforts. The article concludes with a critical reflection on future perspectives, highlighting the opportunities AI offers for advancing geomorphological sciences and the ongoing challenges related to methodological transparency, global equity, and interdisciplinary integration.

2. Materials and Methods

This bibliometric analysis is based on a structured process of retrieval, classification, and analysis of scientific literature indexed in the Scopus database.
Scopus is one of the largest multidisciplinary citation indexes, covering a broad range of peer-reviewed journals across science, technology, medicine, and the social sciences. Compared to alternatives such as Web of Science, Scopus provides wider coverage of geoscience-related journals and includes more extensive metadata fields, which are essential for bibliometric analyses focusing on keyword co-occurrence, author affiliations, and subject area classification. Its API also facilitates automated querying and processing of large datasets, making it particularly suitable for the objectives of this study [11,12].
The dataset was built through a multi-step pipeline combining API queries, keyword filtering, and content classification functions. Queries were formulated using an extensive list of terms related to geomorphology and artificial intelligence (Table 1), applied to the title, abstract, and author keywords fields. The search strategy was based on Boolean combinations of predefined terms from the domains of geomorphology and artificial intelligence (Table 1). Each query was structured as follows:
TITLE-ABS-KEY(“term1” OR “term2” OR … OR “termN”) AND TITLE-ABS-KEY(“termA” OR “termB” OR … OR “termZ”).
The first group corresponds to geomorphological keywords (e.g., “fluvial geomorphology”, “coastal erosion”) and the second group to AI-related terms (e.g., “machine learning”, “support vector machine”).
For instance, one example query used for the year 2020 is:
TITLE-ABS-KEY(“fluvial geomorphology” OR “channel morphology” OR “meandering rivers” OR …) AND TITLE-ABS-KEY(“machine learning” OR “neural network” OR “random forest” OR …) AND PUBYEAR IS 2020.
The research covered the time span from 1990 to 2024. This time frame was deliberately selected by the authors to ensure a sufficiently broad temporal window for capturing the emergence, diffusion, and evolution of artificial intelligence applications in geomorphology. While it is acknowledged that several AI techniques, such as deep learning or random forests, were developed or popularized after the early 1990s, starting the analysis from 1990 allows us to detect early precursors, monitor longitudinal trends, and identify transitional phases in the adoption of AI across the geosciences. This extended time horizon is particularly useful for highlighting inflection points and understanding how adoption patterns have changed over time. No restrictions were applied to document type: the dataset includes all publication types indexed in Scopus (e.g., research articles, reviews, conference papers), provided they matched the keyword and thematic criteria. Only documents written in English were considered, to ensure consistency in metadata analysis and keyword-based classification.
It is important to acknowledge that keyword-based searches inherently entail limitations, including the risk of omitting relevant papers using alternative terminology and including non-relevant ones due to ambiguous or generic terms. Additionally, manual filtering, while essential for refining the dataset, introduces a degree of subjectivity, potentially affecting consistency and reproducibility.
The retrieved articles were processed and converted into structured records, with metadata such as title, year, journal, author affiliation, keywords, and abstract extracted. A classification function assigned each article to one or more macro-categories within artificial intelligence and geomorphology, based on the co-occurrence of predefined tags within titles, abstracts, and keywords. A schematic overview of the data collection workflow is presented in Figure 1. The diagram outlines the main steps of the process: the design of domain-specific keywords for both geomorphology and artificial intelligence; the execution of yearly queries from 1990 to 2024; the filtering and classification of retrieved articles through automated parsing routines; and the compilation of a final dataset for analysis. The figure lists the key metadata extracted from each record, including bibliographic information, author country, and AI/geomorphological keywords grouped by thematic category.
Among geoscience fields, AI represents the broadest domain, encompassing computational systems designed to perform tasks that typically require human intelligence [13]. Machine Learning (ML), a subset of AI, refers to a field of statistical research focused on training algorithms to split, sort, and transform data, optimizing their ability to classify, predict, cluster, or discover patterns in target datasets. Within ML, Deep Learning (DL) employs artificial neural networks with multiple layers (e.g., convolutional or recurrent neural networks) to model complex, high-dimensional data [14].
The AI classification scheme includes methods such as neural networks, regression, decision trees and ensemble methods, unsupervised clustering, reinforcement learning, dimensionality reduction, and object detection techniques. The geomorphological schema encompasses domains such as fluvial, coastal, karst, glacial, eolian, hillslope, tectonic, volcanic, anthropogenic, and process-based geomorphology (Table 1).
A manual post-processing step was applied to exclude articles not relevant to geomorphology or published in journals outside the geoscientific domain. Since subject area metadata are not available through the Scopus search API, journal names were used as a proxy to filter out non-geoscientific content. This approach ensured thematic consistency while maintaining scalability of the retrieval process.
All analyses were conducted using Python (v.3.11), employing a set of reproducible routines based on the ‘pandas’, ‘matplotlib’, ‘seaborn’, and ‘numpy’ libraries. Data parsing and metadata extraction were performed using custom functions, while keyword classification was based on the co-occurrence of predefined terms from the controlled AI and geomorphology vocabularies (Table 1). Each article was assigned to one or more thematic categories depending on keyword matches in the title, abstract, and author keywords.
Temporal trends (1990–2024) were assessed by calculating the annual frequency of publications per AI technique and geomorphological category. These were visualized through bar charts and time series plots. Keyword co-occurrence matrices were computed for both domains and normalized by row and column to capture relative importance across categories. Keyword frequency and usage trends were also explored using temporal heatmaps and ranked bar charts.
Geographical analysis of research production was conducted by extracting and standardizing the country of the first author’s affiliation. The spatial distribution of publications was then aggregated by country and mapped globally. A Mann–Kendall trend test was applied to assess the statistical significance of temporal changes in publication volume for each country, with a significance level of α = 0.05. The test was implemented using the ‘pyMannKendall’ Python package.
The methodology ensures transparency and reproducibility, allowing for a structured and replicable reconstruction of how artificial intelligence has evolved within the geomorphological research domain.

3. Results and Discussion

The extraction procedure from Scopus initially identified a total of 2180 articles. Subsequently, a careful cleaning and filtering phase was carried out, during which the following were removed the articles published in journals not related to the geosciences. After this selection, the corpus was reduced to 2166 articles considered relevant. It is important to emphasize that highly restrictive keywords were used during the search in order to ensure thematic relevance to the field of interest and to minimize false positives.
To assess the scientific relevance of the retrieved corpus, a citation-based analysis was performed. Citation counts were extracted for all documents using the Scopus API, and the distribution of citation frequencies was analyzed. Among the selected articles, 62 manuscripts received more than 100 citations, indicating substantial academic impact and recognition. An additional 146 articles had between 50 and 100 citations, and 406 articles received between 20 and 50 citations. These values reflect the presence of a significant subset of high-impact publications within the dataset.
Considering that citation rates naturally accumulate over time, we also examined the subset of papers published in the last 10 years (2014–2024, 1716 publications) to evaluate the influence of more recent contributions. Even within this restricted window, 35 articles surpassed the 100-citation threshold, and a notable number of articles (127) reached or exceeded 50 citations, suggesting that the dataset includes not only foundational works but also emerging, high-relevance research.
This analysis confirms that the retrieval and filtering strategy successfully captured a core of thematically coherent and scientifically impactful literature at the intersection of artificial intelligence and geomorphology.

3.1. Trends in Geomorphological Scientific Literature Involving AI

Figure 2 provides a comprehensive and detailed overview of the evolution of scientific publications applying AI techniques to geomorphological research, based on the 2166 contributions selected from Scopus database. The uppermost panel shows the temporal trend of publications from 1990 to 2024. A limited growth is observed until 2015, followed by a marked acceleration from 2018 onwards, with a peak in the 2023–2024 biennium. At the same time, the number of journals involved also increases, indicating a broadening of the scientific community interested in adopting AI in geomorphological studies.
Indeed, the selected articles span a total of 778 scientific journals. Figure 3 shows the distribution of articles by journal, focusing on the top 30 journals by number of contributions. The journal Geomorphology is by far the most represented, with over 100 articles, followed by Remote Sensing and Catena with a long tail of journals publishing between 10 and 30 articles. This distribution reflects the deeply interdisciplinary nature of AI applications in geomorphology, which intersect geosciences, environmental science, computer science, and engineering. On one side, core journals in geomorphology and Earth surface processes testify to the thematic relevance of the studies; on the other, the presence of journals specializing in remote sensing, geoinformatics, spatial analysis, environmental monitoring, and computational modeling demonstrates the integration of methods and perspectives from technical and data-intensive disciplines.
This disciplinary convergence has practical implications: the application of machine learning and deep learning techniques in geomorphological research often requires the joint use of remote sensing platforms, digital elevation models, spatiotemporal datasets, and open-source software libraries. The variety of publication venues thus mirrors the diversity of tools and data sources employed, as well as the collaborative nature of this evolving research field. The presence of contributions in both domain-specific and method-oriented journals supports the view that this interdisciplinarity is not incidental, but rather a structural and growing component of the AI–geomorphology nexus.
The second panel of Figure 2 also shows the distribution of articles according to the macro-categories of AI techniques used, as defined during the Scopus query (see Table 1). The most frequently encountered technologies are those classified as SVM (Support Vector Machine) and Regression, followed by Generale AI and neural networks (Convolutional Neural Networks (CNNs), Recurrent Neural Networks (RNNs), Long Short-Term Memory networks (LSTMs)). These techniques vary in complexity and purpose. For instance, Support Vector Machines are supervised learning models used for classification tasks, while Convolutional Neural Networks are particularly suited for image data. Recurrent and Long Short-Term Memory networks are designed to handle sequential data, such as time series.
The third panel in Figure 2 shows the frequency of publications across the main geomorphological macro-categories. The most prevalent themes are coastal geomorphology, process-based studies, and fluvial geomorphology. These are followed, with lower frequencies, by hillslope, eolian, karst, and glacial, while volcanic, anthropogenic, and geoheritage categories are still underrepresented.
The bottom panels of Figure 2 illustrate the temporal evolution of both the geomorphological and AI technique categories. In the first case, a significant increase in contributions related to fluvial, coastal, and process-based geomorphology is observed after 2015. The remaining categories show more stable or emerging trends. In the second case, there is a progressive consolidation of techniques such as neural networks, dimensionality reduction, and regression models, along with a growing interest in more advanced and specialized methods, which has emerged over the past five years.
The marked rise in publications applying AI techniques to geomorphology, which began around 2015 and intensified after 2018, can be attributed to a combination of converging factors, including the evolution of computational tools and a changing scientific and disciplinary context. This expansion is the result of a broader technological maturation process and the progressive integration between the knowledge base of Earth sciences and methodologies from the field of artificial intelligence.

3.1.1. Technological Advancements and the Increasing Accessibility of AI Frameworks

A key enabling factor has been the availability, since the mid-2010s, of user-friendly open-source frameworks for implementing deep learning models. The introduction of TensorFlow [7], Keras [15], and subsequently PyTorch [8] significantly lowered the technical barriers that had previously hindered the adoption of complex neural networks in non-computer science fields. These tools made AI accessible to a broader audience of researchers, including geologists, geomorphologists, and environmental engineers.
Another enabling aspect was the increased availability of affordable computational power, made possible by the evolution of GPUs (e.g., CUDA technology), the expansion of cloud-based resources (such as Google Colab, AWS EC2, and Microsoft Azure), and the growing efficiency of AI models. The combination of open-source software and accessible hardware allowed small- and medium-sized research groups to independently train and validate deep learning models, overcoming their former dependence on high-performance computing infrastructure.
Pre-trained models are neural networks that have been previously trained on large datasets and can be adapted to new tasks with minimal effort, making them especially useful when labeled data are limited. The diffusion of pre-trained models (e.g., ResNet, U-Net) facilitated the application of deep architectures to moderate-sized datasets, which are common in environmental sciences [16,17,18]. For instance, the U-Net architecture [19], originally developed for biomedical image segmentation, has been widely adapted to address geomorphological tasks such as soil erosion assessment [4,20], landslide mapping [6,21], coastal change detection [5,16,22,23], and the delineation of glacial [24,25] and karstic landforms [26].

3.1.2. Increasing Availability of Geospatial and Environmental Data

The second enabling factor is the significant growth in the availability of high-resolution geospatial and environmental data, both in spatial and temporal dimensions. This expansion has played a crucial role in supporting the application of data-driven AI models in Earth surface sciences.
In particular, the launch and operational continuity of the Sentinel missions within the Copernicus Programme has provided open-access satellite imagery with high temporal frequency (e.g., Sentinel-1 with radar data, Sentinel-2 with multispectral optical imagery), enabling detailed monitoring of dynamic geomorphic processes such as coastal erosion, river migration, and landslides [27,28,29,30,31,32].
Similarly, the long-term consistency of the Landsat program (dating back to 1972) offers unique opportunities for multidecadal analyses of surface change, which are essential for training deep learning models on temporal sequences [33,34,35].
Alongside optical imagery, the availability of global Digital Elevation Models (DEMs) [36,37,38,39] such as TanDEM-X has significantly enhanced the ability to quantify topographic attributes relevant to geomorphology, such as slope, curvature, and roughness, which are often used as inputs to machine learning models for landform classification or hazard mapping (e.g., landslide susceptibility).
Moreover, platforms such as Google Earth Engine (GEE) have revolutionized access to massive geospatial archives, allowing researchers to run remote sensing and machine learning workflows directly in the cloud, without the need to download or store large volumes of data locally [40,41,42,43]. This has lowered the technical barriers to entry and enabled broader experimentation across spatial and temporal scales.
In addition to remote sensing data, numerous repositories now provide climate reanalysis products (e.g., ERA5, MERRA-2) and environmental datasets (e.g., soil maps, land cover, hydrological variables), which can be integrated with AI models to support tasks such as flood prediction [44,45,46,47], soil erosion modeling [48], and vegetation dynamics assessment [49].
Furthermore, the rapid adoption of unmanned aerial vehicles (UAVs) has significantly expanded the volume and quality of geospatial data available to researchers. Drones equipped with high-resolution RGB, multispectral, LiDAR, and thermal sensors now enable centimeter-level imagery and elevation models, bridging the gap between satellite-level and traditional field survey resolution. These platforms offer unparalleled flexibility: they can be swiftly deployed over specific areas, even in challenging or remote terrains, delivering real-time data with temporal frequency unachievable by conventional methods [50].
A further contribution has come from the growing standardization of data formats (e.g., GeoTIFF, NetCDF) and the development of automated preprocessing pipelines, which ensure reproducibility and interoperability across platforms. Libraries such as rasterio, xarray, and geemap have enabled seamless integration between geospatial data and deep learning frameworks, particularly in Python-based environments [51,52,53].
Taken together, these developments have made high-quality geospatial and environmental data more accessible, interpretable, and ready for integration into AI-based workflows. This convergence has greatly accelerated the uptake of machine learning and deep learning techniques in geomorphological applications, particularly in areas where field data are sparse or difficult to acquire.

3.2. Spatial Analysis

Figure 4 presents a cartographic representation of the spatial analysis of published contributions at the global scale. The top-left panel shows the distribution of the total number of articles per country. Publications are heavily concentrated in a few countries: the China leads with 339 articles, followed by United States (280), India (204), Iran (108), Italy (85), Australia (71), United Kingdom (71), Canada (66), Germany (63), and Brazil (55). The map thus highlights a marked polarization toward well-established academic and institutional contexts, particularly in North America, Europe, and East Asia.
The top-right panel displays the earliest year of publication for each country. Some countries show early involvement (1990s) [54,55], while others have started contributing more recently. The bottom panels report the results of the Mann–Kendall test for the temporal trend in the number of articles published per country: the left panel shows the trend values (in articles/year), and the right panel the corresponding p-values. The Mann–Kendall test is a non-parametric method commonly used to detect monotonic trends in time series data without assuming any specific distribution. It is particularly suitable for bibliometric data, where annual publication counts may be irregular and non-normally distributed. In this study, the test was applied to each country’s annual publication count from 1990 to 2024. The resulting p-values indicate whether the trend is statistically significant (at α = 0.05), while the sign and magnitude of the trend statistic reflect its direction and intensity. This approach enables the identification of countries where interest in AI applications in geomorphology is growing over time in a statistically robust manner. The trends are especially positive and statistically significant for countries such as the United States, China, India, and Iran, suggesting a growing role in the landscape of publications on the application of AI in geomorphology (such as [56,57,58,59,60,61]). Other countries show positive but non-significant trends, or greater variability due to the still limited number of annual contributions.
These results reveal a strong geographical concentration of scientific production on the application of artificial intelligence in geomorphology. The dominance of certain countries can be attributed to the presence of consolidated academic infrastructures, greater research funding, and an early integration of AI technologies into scientific programs [62,63]. However, this polarization also entails an uneven distribution of studied geomorphological contexts, with the risk that physical environments located in underrepresented countries remain marginal in the scientific discourse.
The analysis of the first year of publication shows that the adoption of AI in geomorphology has not occurred uniformly over time: some countries started contributing as early as the 1990s, while others entered the field only recently. This temporal diversification reflects different scientific trajectories, influenced by factors such as access to geospatial data, availability of interdisciplinary expertise, and national research priorities [64]. Countries with earlier adoption have had the opportunity to consolidate more robust methodological approaches over time, while late adopters are now experiencing rapid growth.
These spatial and temporal patterns cannot be attributed solely to scientific interest or disciplinary maturity. Rather, they reflect broader structural drivers, such as the availability of national and international funding schemes focused on digital and environmental innovation, the inclusion of AI-related goals in research policy agendas, and the presence of institutions capable of sustaining interdisciplinary programs. For instance, countries like India and Iran, where significant positive trends are observed, have recently invested in AI and Earth observation research through national development plans, disaster risk reduction frameworks, and strategic collaborations (e.g., [65,66]). Conversely, countries with limited access to computational infrastructure or fewer interdisciplinary training programs tend to show weak or statistically non-significant publication trends.
The Theil–Sen slopes support this interpretation, showing that several countries are gaining increasing relevance. In particular, the significant increase observed in India and Iran suggests that emerging scientific communities are actively investing in this field, contributing to a broader geographical diversification of AI-based geomorphological research. In contrast, other countries exhibit more uncertain or non-significant trends, often due to the small number of annual publications, which makes it difficult to identify clear patterns.
These findings point to a broader issue linked to the political economy of scientific production in the field of geomorphology. The observed imbalances in publication output and research capacity are not merely technical or disciplinary in nature, but are also shaped by structural inequalities in research funding, access to geospatial infrastructure, and national science and innovation policies. Overall, the emerging picture is that of a highly unbalanced scientific community, both in terms of output and access to analytical tools. To reduce this imbalance and foster a more equitable development of computational geomorphology, it is crucial to encourage more balanced international collaborations, promote open access to datasets and AI tools [62], and support interdisciplinary training programs in countries that are currently underrepresented. In doing so, it will be possible to expand the diversity of geomorphological contexts investigated and build a more inclusive global community, capable of responding more representatively and innovatively to the challenges of contemporary geomorphological research.

3.3. AI Techniques Across Geomorphological Domains

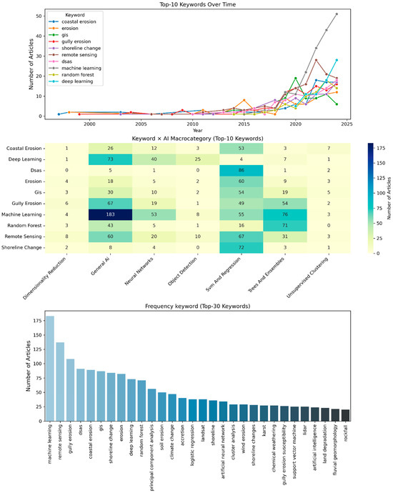
Figure 5 and Figure 6 provide a complementary overview of the evolution and use of artificial intelligence (AI) techniques in geomorphological research. Figure 5 explores the relationship between various thematic macro-categories in geomorphology and the main families of AI techniques, while Figure 6 analyzes the most commonly used keywords in the selected literature and how their use has evolved over time.
Figure 5 presents a frequency matrix normalized by geomorphological category, where each row represents a domain (e.g., fluvial, coastal, karst), and the columns represent the various AI macro-categories (such as General AI, Neural Networks, Dimensionality Reduction, etc.). The color of each cell indicates the relative percentage of each technique’s application within a given domain.
The most evident pattern is the clear predominance of the ‘General AI’ category, which aggregates generic references to machine learning or deep learning, often used as umbrella terms (e.g., [67,68]). In Anthropogenic [69,70] and Geoheritage categories these techniques account for over 50% of cases due to the limit number of articles founded, reaching up to 83% in the anthropogenic domain. However, this suggests that, in the analyzed literature, researchers often resort to general terms rather than specifying the exact algorithm or technique used, likely reflecting an early or generalist phase in methodological integration.
Neural networks are well represented in categories such as Volcanic (31%) [71,72], Fluvial (18%) [73,74,75], and Coastal (12%) [76,77,78], where the availability of high-resolution geospatial data (e.g., satellite imagery, LiDAR) makes these techniques highly effective for segmentation, classification, or predictive analysis. However, applications of AI-driven Earth Observation techniques require large amounts of data, which are sometimes supplemented through augmentation techniques [79].
Dimensionality reduction techniques, such as PCA, are particularly used in process-based [80,81,82], glacial [83,84], and tectonic domains [85,86,87], where complex and multivariate datasets are common. In contrast, these techniques are virtually absent in the Geoheritage and Anthropogenic contexts, where more descriptive or qualitative approaches likely prevail. These advanced techniques serve different purposes: dimensionality reduction (e.g., PCA) simplifies complex datasets by extracting their most informative components; object detection identifies and locates specific features within an image; reinforcement learning involves decision-making based on trial-and-error interactions; and unsupervised clustering groups data without predefined labels.
More advanced or niche techniques, such as object detection, reinforcement learning, or unsupervised clustering, appear only marginally. Even the visible peaks (e.g., 26% of clustering in the tectonic category) derive from a small number of studies and should be interpreted with caution.
Moving to Figure 6, we find a dual representation of emerging topics in the literature. At the top, two bar charts show the absolute frequency of the most common keywords associated with AI and geomorphology. At the bottom, two time series plots track their evolution from 1990 to 2024.
On the AI side, there is a clear explosion in the use of terms such as machine learning, linear regression, random forest, and neural network, especially after 2015. This reflects the growing adoption of open-source libraries like TensorFlow and PyTorch, as well as the increasing availability of accessible datasets, which have promoted the use of automated techniques even in traditionally less digitalized disciplines like geomorphology.
On the geomorphological front, the most frequent keywords refer to erosional processes and coastal dynamics, such as shoreline change and coastal erosion [88,89,90], but also include gully erosion [91,92,93], chemical weathering [94,95], and channel morphology [96,97,98]. Here again, we observe a marked acceleration over the past 10–15 years, reflecting growing interest in both the automatic quantification of morphogenetic processes and the application of predictive models based on remote observations.
Overall, the two figures outline a coherent picture: the adoption of AI techniques in geomorphology is increasing, but remains heavily concentrated in a few thematic areas and on relatively generic techniques. However, there is a clear evolution underway, with the gradual introduction of more sophisticated methods and the emergence of new application fields, such as the analysis of volcanic landforms, hillslopes, or coastal margins.
This analysis helps to identify both well-established domains, where AI is regularly applied (e.g., fluvial and coastal environments), and underexplored sectors, which represent real opportunities for the future development of more targeted and integrated approaches.

3.4. Keyword Trends in Geomorphological Research

The analysis of author-provided keywords in the selected scientific literature offers valuable insights into emerging thematic trends and the methodological evolution of geomorphology in the age of artificial intelligence. Figure 7 and Figure 8 summarize this information by illustrating the frequency, temporal distribution, and thematic categorization of the most frequently used keywords. An analysis of the number of keywords per article over time shows no substantial trend or variation. The annual mean number of keywords remains relatively stable across the study period, generally oscillating between 4 and 6 keywords per article. This indicates that the keyword-based trend analyses are not affected by temporal variation in the number of keywords assigned per article, and thus reflect consistent patterns of thematic development.
As shown in Figure 7, the ten most frequent keywords reveal a significant evolution over time. Starting around 2015, and especially in the last five years, there has been an accelerated increase in the number of articles employing terms associated with machine learning techniques, such as machine learning, random forest (an ensemble learning method based on decision trees), and deep learning (a family of algorithms based on multi-layered neural networks). These keywords have gradually overtaken more traditional geomorphological terms, such as coastal erosion [99,100,101], erosion [102,103,104], and gully erosion [105,106,107], suggesting a rapid adoption of computational approaches across the discipline. At the same time, well-established tools like remote sensing [108,109] and GIS [110,111,112] remain steadily represented, serving as a bridge between traditional approaches and modern analytical techniques.
The intersection matrix between keywords and artificial intelligence macro-categories (central panel of Figure 7) confirms the widespread diffusion of machine learning techniques. Notably, the keyword machine learning is associated with nearly all the methodological categories considered, with particular emphasis on neural networks [113,114], ensemble methods (trees and ensembles) [115,116,117], SVM and regression [118,119,120]. Deep learning, as expected, is strongly associated with the neural networks category, while remote sensing and GIS are linked to a wide variety of AI approaches, highlighting their versatility in automated spatial analysis. Overall, this heatmap reflects a rapidly expanding methodological landscape, in which predictive models [120,121,122] and classification tools [123,124] are increasingly integrated into geomorphological research.
The bar chart at the bottom of Figure 7 provides a broader perspective by displaying the 30 most frequent keywords across the literature. In addition to the prevalence of artificial intelligence, related terms, there is a strong presence of classic geomorphological concepts such as gully erosion, coastal erosion, soil erosion, climate change [125,126], and wind erosion [127,128]. Also noteworthy is the recurrence of methodological keywords such as principal component analysis [129,130], logistic regression [131,132], and cluster analysis [133,134,135], indicating the systematic adoption of statistical and data mining techniques. These methods serve distinct yet complementary purposes: PCA is used to reduce the dimensionality of complex datasets while retaining the most informative components; logistic regression is commonly applied for binary classification tasks; and cluster analysis is employed to group data based on similarity without predefined labels.
The integration between geomorphological content and advanced analytical tools appears to be deep and structural, shaping both the applied and conceptual aspects of the field.
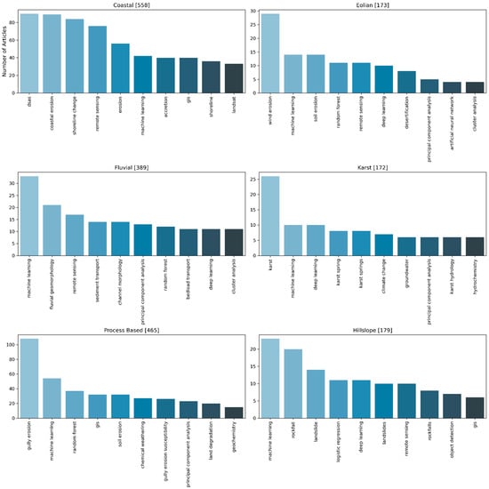
This transformation is reflected consistently in the thematic classification by geomorphological macro-category (Figure 8). In the coastal domain, for instance, the predominant presence of DSAS (Digital Shoreline Analysis System) [136,137,138], shoreline change, and coastal erosion underscores the focus on quantifying shoreline dynamics, often supported by remote sensing [139,140,141] and machine learning for monitoring and forecasting purposes. In the eolian category, terms such as wind erosion and soil erosion are frequently combined with classification techniques like random forest [142,143], as well as themes like desertification and artificial neural network [144], indicating applications aimed at mapping vulnerability.
In the fluvial domain, machine learning is the most frequent keyword, followed by topics related to channel morphology, sediment transport [145,146], and quantitative analysis methods such as PCA [147,148] and cluster analysis. This suggests a growing informatization of sediment budget assessments, river hydraulics, and morphological dynamics. In karst environments, the keyword karst is naturally central, but it is frequently accompanied by techniques like deep learning and by keywords related to hydrological responses, such as springs, groundwater, and hydrochemistry, reflecting the increasing complexity of hydro-geomorphological modeling in subterranean systems [149,150]. The ‘process-based’ and ‘hillslope’ categories also clearly show the integration of traditional content (gully erosion, landslide, rockfall) with advanced computational techniques, with a high frequency of machine learning and specific techniques such as random forest or logistic regression [151,152,153,154].
Overall, the keyword analysis reveals a profound and cross-cutting transformation in quantitative geomorphology, marked by the extensive penetration of artificial intelligence methods and strong interdisciplinary connections. Traditional themes in the discipline have not disappeared but have instead been enriched by tools that enhance capabilities in observation, modeling, and forecasting. This trend has become especially evident over the past decade, signaling the entry of geomorphology into a new epistemological phase, strongly shaped by data-driven approaches and advanced computation.

4. Limitations

This study offers a comprehensive overview of the integration of artificial intelligence into geomorphological research, yet several limitations should be considered. The analysis is based on a keyword-driven bibliometric approach, which, despite being carefully designed, may omit relevant studies that use alternative terminology or include papers that match keywords but are not fully aligned with the research scope.
The dataset includes only publications indexed in Scopus and written in English. This choice, while necessary for consistency in metadata parsing, may lead to the underrepresentation of research produced in other languages or published in non-indexed journals, particularly those from less represented regions.
Another limitation concerns the classification of research domains. Due to the structure of the Scopus Search API, subject area metadata could not be retrieved directly. As a workaround, journal titles were used to infer thematic relevance. Although effective, this strategy may have excluded multidisciplinary studies or introduced classification uncertainty in borderline cases.
Finally, this study focuses on patterns in publication output, thematic evolution, and keyword distribution. It does not evaluate the scientific quality or technical performance of the AI methods applied in the underlying studies, which would require a different analytical approach based on content review and methodological assessment.

5. Conclusions and Future Perspectives

This study provides a comprehensive overview of the rapid and increasingly widespread integration of AI techniques in geomorphological techniques in geomorphological research over the past three decades. The analysis of 2166 scientific articles indexed in Scopus reveals a marked increase in scientific output starting in 2015, driven by both technological advances and the growing availability of environmental data. This expansion has been accompanied by a diversification of AI techniques used, ranging from traditional regression models and decision trees to more advanced methods such as convolutional neural networks, clustering algorithms, and dimensionality reduction techniques.
The application of AI has proven particularly effective in addressing classic geomorphological problems, such as shoreline change detection, soil erosion mapping, landslide susceptibility assessment, and river morphology classification, enhancing analytical capabilities and automating traditionally complex, subjective, and time-consuming processes. These methods are especially powerful when combined with high-resolution remote sensing data and digital elevation models, enabling the development of predictive, scalable, and reproducible workflows.
However, the analysis also highlights several limitations and uneven development areas. A significant portion of the literature still refers to AI in generic terms, without specifying the models or architectures used evidence of a still maturing methodological framework. Moreover, the application of AI is concentrated in a few thematic areas, mainly fluvial, coastal, and process-based geomorphology, while other domains—such as geoheritage, anthropogenic landforms, and volcanic geomorphology—remain underexplored. Additionally, the geographical distribution of studies is highly polarized, with most contributions coming from a small number of countries, raising concerns about a distorted representation of global geomorphic diversity. This issue is further compounded by unequal access to high-resolution datasets and computational resources, which continues to limit the adoption of AI-based methods in many regions of the world.
Looking ahead, it will be essential to improve methodological transparency, extend AI applications to underexplored geomorphological contexts, and promote more generalizable approaches through techniques such as transfer learning. Equally important will be the integration of heterogeneous data sources into unified modeling frameworks and the promotion of equitable access to tools and datasets through open science policies and training initiatives in underrepresented countries. Additionally, this bibliometric analysis shows that several advanced AI techniques, such as reinforcement learning, object detection, and unsupervised clustering, remain marginal across the current literature, suggesting significant untapped potential for future geomorphological research.
In conclusion, the integration of artificial intelligence in geomorphology is not only a methodological evolution but also an epistemological transformation. It opens new possibilities for understanding Earth surface processes at previously unimaginable scales and resolutions, while also posing new challenges in terms of ethics, equity, and interdisciplinarity. Facing this transition consciously will be essential to ensure that AI becomes a tool for advancing both scientific knowledge and global research equity.

Author Contributions

Conceptualization, M.L., D.C. and G.S. (Giovanni Scicchitano), M.B.; Methodology, M.L.; Software, M.L.; Validation, M.L., D.C., G.S. (Giovanni Scicchitano), G.S. (Giovanni Scardino), and M.B.; Formal Analysis, M.L.; Investigation, M.L.; Resources, D.C., G.S. (Giovanni Scicchitano), and M.B.; Data Curation, M.L.; Writing—Original Draft Preparation, M.L.; Writing—Review and Editing, D.C., G.S. (Giovanni Scicchitano), G.S. (Giovanni Scardino), and M.B.; Visualization, M.L., D.C., G.S. (Giovanni Scicchitano), G.S. (Giovanni Scardino), and M.B.; Supervision, D.C., G.S. (Giovanni Scicchitano), and M.B.; Project Administration, D.C., G.S. (Giovanni Scicchitano), and M.B. All authors have read and agreed to the published version of the manuscript.

Funding

This research received no external funding.

Data Availability Statement

The data that support the findings of this study are available from the corresponding author upon request.

Acknowledgments

This work originates from the activities of the working group ‘Osservazione della Terra e Intelligenza Artificiale a supporto dell’analisi geomorfologica—GeomorphAI’, established within the ‘Associazione Italiana di Geografia fisica e Geomorfologia (AIGeo)’. We also gratefully acknowledge the anonymous reviewers for their constructive comments and suggestions, which helped improve the manuscript.

Conflicts of Interest

The authors declare no conflict of interest.

References

  1. Goodfellow, I.; Bengio, Y.; Courville, A. Deep Learning; MIT Press: Cambridge, MA, USA, 2016. [Google Scholar]
  2. Hajkowicz, S.; Sanderson, C.; Karimi, S.; Bratanova, A.; Naughtin, C. Artificial Intelligence Adoption in the Physical Sciences, Natural Sciences, Life Sciences, Social Sciences and the Arts and Humanities: A Bibliometric Analysis of Research Publications from 1960–2021. arXiv 2023, arXiv:2306.09145. [Google Scholar] [CrossRef]
  3. Zhao, T.; Wang, S.; Ouyang, C.; Chen, M.; Liu, C.; Zhang, J.; Yu, L.; Wang, F.; Xie, Y.; Li, J.; et al. Artificial Intelligence for Geoscience: Progress, Challenges, and Perspectives. Innovation 2024, 5, 100691. [Google Scholar] [CrossRef]
  4. Samarin, M.; Zweifel, L.; Roth, V.; Alewell, C. Identifying Soil Erosion Processes in Alpine Grasslands on Aerial Imagery with a U-Net Convolutional Neural Network. Remote Sens. 2020, 12, 4149. [Google Scholar] [CrossRef]
  5. Aghdami-Nia, M.; Shah-Hosseini, R.; Rostami, A.; Homayouni, S. Automatic Coastline Extraction through Enhanced Sea-Land Segmentation by Modifying Standard U-Net. Int. J. Appl. Earth Obs. Geoinf. 2022, 109, 102785. [Google Scholar] [CrossRef]
  6. Shahabi, H.; Homayouni, S.; Perret, D.; Giroux, B. Mapping Complex Landslide Scars Using Deep Learning and High-Resolution Topographic Derivatives from LiDAR Data in Quebec, Canada. Can. J. Remote Sens. 2024, 50, 2418087. [Google Scholar] [CrossRef]
  7. Abadi, M.; Agarwal, A.; Barham, P.; Brevdo, E.; Chen, Z.; Citro, C.; Corrado, G.S.; Davis, A.; Dean, J.; Devin, M.; et al. TensorFlow: Large-Scale Machine Learning on Heterogeneous Systems 2015. arXiv 2016, arXiv:1603.04467. [Google Scholar]
  8. Paszke, A. Pytorch: An Imperative Style, High-Performance Deep Learning Library. arXiv 2019, arXiv:1912.01703. [Google Scholar]
  9. Gorelick, N.; Hancher, M.; Dixon, M.; Ilyushchenko, S.; Thau, D.; Moore, R. Google Earth Engine: Planetary-Scale Geospatial Analysis for Everyone. Remote Sens. Environ. 2017, 202, 18–27. [Google Scholar] [CrossRef]
  10. Sit, M.; Demir, I. Democratizing Deep Learning Applications in Earth and Climate Sciences on the Web: EarthAIHub. Appl. Sci. 2023, 13, 3185. [Google Scholar] [CrossRef]
  11. Rose, M.E.; Kitchin, J.R. pybliometrics: Scriptable bibliometrics using a Python interface to Scopus. SoftwareX 2019, 10, 100263. [Google Scholar] [CrossRef]
  12. Gusenbauer, M. Google Scholar to overshadow them all? Comparing the sizes of 12 academic search engines and bibliographic databases. Scientometrics 2019, 118, 177–214. [Google Scholar] [CrossRef]
  13. Reichstein, M.; Camps-Valls, G.; Stevens, B.; Jung, M.; Denzler, J.; Carvalhais, N. Prabhat Deep Learning and Process Understanding for Data-Driven Earth System Science. Nature 2019, 566, 195–204. [Google Scholar] [CrossRef]
  14. Sarker, I.H. Deep Learning: A Comprehensive Overview on Techniques, Taxonomy, Applications and Research Directions. SN Comput. Sci. 2021, 2, 420. [Google Scholar] [CrossRef]
  15. Chollet, F. Keras 2015.GitHub. Available online: https://github.com/keras-team/keras (accessed on 25 June 2025).
  16. Tang, Y.; Wang, Z.; Jiang, Y.; Zhang, T.; Yang, W. An Auto-Detection and Classification Algorithm for Identification of Sand Dunes Based on Remote Sensing Images. Int. J. Appl. Earth Obs. Geoinf. 2023, 125, 103592. [Google Scholar] [CrossRef]
  17. van der Merwe, B.; Pillay, N.; Coetzee, S. An Application of CNN to Classify Barchan Dunes into Asymmetry Classes. Aeolian Res. 2022, 56, 100801. [Google Scholar] [CrossRef]
  18. Zhang, X.; Zhang, S.; Meng, X.; Zhang, G.; Zang, D.; Han, Y.; Ai, H.; Liu, H. Remote Sensing Image Segmentation of Gully Erosion in a Typical Black Soil Area in Northeast China Based on Improved DeepLabV3+ Model. Ecol. Inf. 2024, 84, 102929. [Google Scholar] [CrossRef]
  19. Ronneberger, O.; Fischer, P.; Brox, T. U-Net: Convolutional Networks for Biomedical Image Segmentation. In Proceedings of the Medical Image Computing and Computer-Assisted Intervention–MICCAI 2015: 18th International Conference, Munich, Germany, 5–9 October 2015; Springer: Berlin/Heidelberg, Germany, 2015; pp. 234–241. [Google Scholar]
  20. Liu, B.; Zhang, B.; Feng, H.; Wu, S.; Yang, J.; Zou, Y.; Siddique, K.H.M. Ephemeral Gully Recognition and Accuracy Evaluation Using Deep Learning in the Hilly and Gully Region of the Loess Plateau in China. Int. Soil. Water Conserv. Res. 2022, 10, 371–381. [Google Scholar] [CrossRef]
  21. Bragagnolo, L.; Rezende, L.R.; da Silva, R.V.; Grzybowski, J.M.V. Convolutional Neural Networks Applied to Semantic Segmentation of Landslide Scars. Catena 2021, 201, 105189. [Google Scholar] [CrossRef]
  22. Dang, K.B.; Dang, V.B.; Ngo, V.L.; Vu, K.C.; Nguyen, H.; Nguyen, D.A.; Nguyen, T.D.L.; Pham, T.P.N.; Giang, T.L.; Nguyen, H.D.; et al. Application of Deep Learning Models to Detect Coastlines and Shorelines. J. Environ. Manag. 2022, 320, 115732. [Google Scholar] [CrossRef]
  23. Giang Linh, T.; Dang Kinh, B.; Bui Thanh, Q. Coastline and Shoreline Change Assessment in Sandy Coasts Based on Machine Learning Models and High-Resolution Satellite Images. Vietnam. J. Earth Sci. 2023, 45, 251–270. [Google Scholar] [CrossRef]
  24. Schmid, T.; López-Martínez, J.; Guillaso, S.; Serrano, E.; D’Hondt, O.; Koch, M.; Nieto, A.; O’Neill, T.; Mink, S.; Durán, J.J.; et al. Geomorphological Mapping of Ice-Free Areas Using Polarimetric RADARSAT-2 Data on Fildes Peninsula and Ardley Island, Antarctica. Geomorphology 2017, 293, 448–459. [Google Scholar] [CrossRef]
  25. Wu, R.; Liu, G.; Zhang, R.; Wang, X.; Li, Y.; Zhang, B.; Cai, J.; Xiang, W. A Deep Learning Method for Mapping Glacial Lakes from the Combined Use of Synthetic-Aperture Radar and Optical Satellite Images. Remote Sens. 2020, 12, 4020. [Google Scholar] [CrossRef]
  26. Jacinto, M.V.G.; Doria Neto, A.D.; de Castro, D.L.; Bezerra, F.H.R. Karstified Zone Interpretation Using Deep Learning Algorithms: Convolutional Neural Networks Applications and Model Interpretability with Explainable AI. Comput. Geosci. 2023, 171, 105281. [Google Scholar] [CrossRef]
  27. Zheng, M.; Wang, X.; Li, S.; Zhu, B.; Hou, J.; Song, K. Soil Texture Mapping in Songnen Plain of China Using Sentinel-2 Imagery. Remote Sens. 2023, 15, 5351. [Google Scholar] [CrossRef]
  28. de Souza, F.E.S.; Rodrigues, J.I.d.J. Evaluation of Machine Learning Algorithms in the Classification of Multispectral Images from the Sentinel-2A/2B Orbital Sensor for Mapping the Environmental Dynamics of Ria Formosa (Algarve, Portugal). ISPRS Int. J. Geoinf. 2023, 12, 361. [Google Scholar] [CrossRef]
  29. Festa, D.; Novellino, A.; Hussain, E.; Bateson, L.; Casagli, N.; Confuorto, P.; Del Soldato, M.; Raspini, F. Unsupervised Detection of InSAR Time Series Patterns Based on PCA and K-Means Clustering. Int. J. Appl. Earth Obs. Geoinf. 2023, 118, 103276. [Google Scholar] [CrossRef]
  30. Philipp, M.; Dietz, A.; Ullmann, T.; Kuenzer, C. A Circum-Arctic Monitoring Framework for Quantifying Annual Erosion Rates of Permafrost Coasts. Remote Sens. 2023, 15, 818. [Google Scholar] [CrossRef]
  31. Adnan, N.A.; Norazman, N.; Maulud, K.N.; Mokhtar, E.S.; Yusoff, Z.M. Coastlines Estimation and Erosion Rate Assessment in Tuba Island, Langkawi Using Remotely-Sensed Digital Imageries Analysis. IOP Conf. Ser. Earth Environ. Sci. 2023, 1240, 12018. [Google Scholar] [CrossRef]
  32. Vos, K.; Splinter, K.D.; Harley, M.D.; Simmons, J.A.; Turner, I.L. CoastSat: A Google Earth Engine-Enabled Python Toolkit to Extract Shorelines from Publicly Available Satellite Imagery. Environ. Model. Softw. 2019, 122, 104528. [Google Scholar] [CrossRef]
  33. Bharadwaj Sushma, S.; Geetha Priya, M. Shoreline Change Detection and Coastal Erosion Monitoring: A Case Study in Kappil–Pesolikal Beach Region of the Malabar Coast, Kerala. In Proceedings of the Futuristic Communication and Network Technologies; Subhashini, N., Ezra Morris, A.G., Liaw, S.-K., Eds.; Springer Nature: Singapore, 2023; pp. 301–310. [Google Scholar]
  34. Ankrah, J. Shoreline Change and Coastal Erosion: An Analysis of Long-Term Change and Adaptation Strategies in Coastal Ghana. Geo-Mar. Lett. 2024, 44, 12. [Google Scholar] [CrossRef]
  35. Luppichini, M.; Bini, M. 40-Year Shoreline Evolution in Italy: Critical Challenges in River Delta Regions. Estuar. Coast. Shelf Sci. 2025, 315, 109166. [Google Scholar] [CrossRef]
  36. Bazzoffi, P. Measurement of Rill Erosion through a New UAV-GIS Methodology. Ital. J. Agron. 2015, 10, 1–18. [Google Scholar] [CrossRef]
  37. Gholami, H.; Mohammadifar, A.; Bui, D.T.; Collins, A.L. Mapping Wind Erosion Hazard with Regression-Based Machine Learning Algorithms. Sci. Rep. 2020, 10, 20494. [Google Scholar] [CrossRef]
  38. Janowski, L.; Tylmann, K.; Trzcinska, K.; Rudowski, S.; Tegowski, J. Exploration of Glacial Landforms by Object-Based Image Analysis and Spectral Parameters of Digital Elevation Model. IEEE Trans. Geosci. Remote Sens. 2022, 60, 1–17. [Google Scholar] [CrossRef]
  39. Luppichini, M.; Favalli, M.; Isola, I.; Nannipieri, L.; Giannecchini, R.; Bini, M. Influence of Topographic Resolution and Accuracy on Hydraulic Channel Flow Simulations: Case Study of the Versilia River (Italy). Remote Sens. 2019, 11, 1630. [Google Scholar] [CrossRef]
  40. Zhao, Y.; Huang, M.; Li, Z.; Li, D.; Li, J. Google Earth Engine-Based Estimation of the Spatio-Temporal Distribution of Suspended Sediment Concentrations in a Multi-Channel River System of the Yangtze River Basin. Water Resour. Res. 2023, 59, e2023WR034967. [Google Scholar] [CrossRef]
  41. Barlow, M.C.; Zhu, X.; Glennie, C.L. Stream Boundary Detection of a Hyper-Arid, Polar Region Using a U-Net Architecture: Taylor Valley, Antarctica. Remote Sens. 2022, 14, 234. [Google Scholar] [CrossRef]
  42. Cheng, L.; Zhong, C.; Li, X.; Jia, M.; Wang, Z.; Mao, D. Rapid and Automatic Classification of Intertidal Wetlands Based on Intensive Time Series Sentinel-2 Images and Google Earth Engine. Natl. Remote Sens. Bull. 2022, 26, 348–357. [Google Scholar] [CrossRef]
  43. Titti, G.; Napoli, G.N.; Conoscenti, C.; Lombardo, L. Cloud-Based Interactive Susceptibility Modeling of Gully Erosion in Google Earth Engine. Int. J. Appl. Earth Obs. Geoinf. 2022, 115, 103089. [Google Scholar] [CrossRef]
  44. Luppichini, M.; Barsanti, M.; Giannecchini, R.; Bini, M. Deep Learning Models to Predict Flood Events in Fast-Flowing Watersheds. Sci. Total Environ. 2022, 813, 151885. [Google Scholar] [CrossRef]
  45. Luppichini, M.; Vailati, G.; Fontana, L.; Bini, M. Machine Learning Models for River Flow Forecasting in Small Catchments. Sci. Rep. 2024, 14, 26740. [Google Scholar] [CrossRef]
  46. Kimura, N.; Yoshinaga, I.; Sekijima, K.; Azechi, I.; Baba, D. Convolutional Neural Network Coupled with a Transfer-Learning Approach for Time-Series Flood Predictions. Water 2019, 12, 96. [Google Scholar] [CrossRef]
  47. Wang, S.; Wang, J. Research on Prediction Model of Mountain Flood Level in Small Watershed Based on Deep Learning. In Proceedings of the 2022 4th International Conference on Intelligent Control, Measurement and Signal Processing (ICMSP), Hangzhou, China, 8–10 July 2022; pp. 1024–1027. [Google Scholar]
  48. Mahmoodzada, A.B.; Varade, D.; Shimada, S.; Okazawa, H.; Aryan, S.; Gulab, G.; Mustafa, A.E.-Z.M.A.; Rizwana, H.; Ahlawat, Y.K.; Elansary, H.O. Quantification of Amu River Riverbank Erosion in Balkh Province of Afghanistan during 2004–2020. Land 2023, 12, 1890. [Google Scholar] [CrossRef]
  49. Muir, F.M.E.; Hurst, M.D.; Richardson-Foulger, L.; Rennie, A.F.; Naylor, L.A. VedgeSat: An Automated, Open-Source Toolkit for Coastal Change Monitoring Using Satellite-Derived Vegetation Edges. Earth Surf. Process Landf. 2024, 49, 2405–2423. [Google Scholar] [CrossRef]
  50. La Salandra, M.; Colacicco, R.; Dellino, P.; Capolongo, D. An Effective Approach for Automatic River Features Extraction Using High-Resolution UAV Imagery. Drones 2023, 7, 70. [Google Scholar] [CrossRef]
  51. Liu, Q.; Yuan, F.; Adams, C.; Rebelo, L.-M.; Wellington, M. Dynamic Coastal Mapping Using Sentinel-1 and Sentinel-2 Data Through Digital Earth Africa. Int. Arch. Photogramm. Remote Sens. Spat. Inf. Sci. 2024, XLVIII-4–2024, 325–330. [Google Scholar] [CrossRef]
  52. Lemenkova, P. Artificial Neural Networks for Mapping Coastal Lagoon of Chilika Lake, India, Using Earth Observation Data. J. Mar. Sci. Eng. 2024, 12, 709. [Google Scholar] [CrossRef]
  53. Iboum Kissaaka, J.B.; Ngum Tchioben, C.F.; Fowe Kwetche, P.G.; Elogan Ntem, J.N.; Njebakal, J.B.; Makosso-Tchapi, R.Y.; Owono, F.M.; Ntamak-Nida, M.J. Tectono-Stratigraphic Architecture, Depositional Systems and Salt Tectonics to Strike-Slip Faulting in Kribi-Campo-Cameroon Atlantic Margin with an Unsupervised Machine Learning Approach (West African Margin). Mar. Pet. Geol. 2024, 161, 106667. [Google Scholar] [CrossRef]
  54. Hurley, M.A. Modelling Bedload Transport Events Using an Inhomogeneous Gamma Process. J. Hydrol. 1992, 138, 529–541. [Google Scholar] [CrossRef]
  55. Emerson, C.W. A Method for the Measurement of Bedload Sediment Transport and Passive Faunal Transport on Intertidal Sandflats. Estuaries 1991, 14, 361–371. [Google Scholar] [CrossRef]
  56. Al Aamri, I.; Bedle, H.; Vera-Arroyo, A. Investigating the Phenomenon of Disappearing Channels Using Machine Learning and Seismic Attributes: An Example from the Mississippi and De Soto Valleys in the Gulf of Mexico. In Proceedings of the Fourth International Meeting for Applied Geoscience & Energy, Houston, TX, USA, 26–29 August 2024; Society of Exploration Geophysicists: Houston, TX, USA, 2024; pp. 1501–1505. [Google Scholar]
  57. Ramanujam, S.S.; Balasubramanian, G.; Bairavi, S.; Joseph, J.; Pereira, G.F. Assessing the Impact of Coastal Erosion on Land Use and Landcover, A Time Series Analysis Using DSAS and GIS in Cuddalore Shore, Tamil Nadu, India. J. Geol. Soc. India 2024, 100, 35–46. [Google Scholar] [CrossRef]
  58. Sarkar, S.; Bera, B. Reach Scale Channel Planform Dynamics of Transboundary River Jaldhaka within Himalayan Foreland Basin. Phys. Geogr. 2024, 45, 518–544. [Google Scholar] [CrossRef]
  59. Shi, F.; Zhang, F.; Shen, N.; Yang, M. Quantifying Interactions between Slope Gradient, Slope Length and Rainfall Intensity on Sheet Erosion on Steep Slopes Using Multiple Linear Regression. Sci. Total Environ. 2024, 908, 168090. [Google Scholar] [CrossRef]
  60. Mu, K.; Tang, C.; Tosi, L.; Li, Y.; Zheng, X.; Donnici, S.; Sun, J.; Liu, J.; Gao, X. Coastline Monitoring and Prediction Based on Long-Term Remote Sensing Data—A Case Study of the Eastern Coast of Laizhou Bay, China. Remote Sens. 2024, 16, 185. [Google Scholar] [CrossRef]
  61. Shirani, K.; Peyrowan, H.; Shadfar, S.; Asgari, S. Gully Erosion Mapping Based on Hydro-Geomorphometric Factors and Geographic Information System. Environ. Monit. Assess. 2023, 195, 721. [Google Scholar] [CrossRef] [PubMed]
  62. González-Alcaide, G.; Park, J.; Huamaní, C.; Ramos, J. Dominance and Leadership in Research Activities: Collaboration between Countries of Differing Human Development Is Reflected through Authorship Order and Designation as Corresponding Authors in Scientific Publications. PLoS ONE 2017, 12, e0182513. [Google Scholar] [CrossRef]
  63. Tian, Y.; Bu, Y. Developed Countries Dominate Leading Roles in International Scientific Collaborations: Evidence from Scholars’ Self-Reported Contribution in Publications. Proc. Assoc. Inf. Sci. Technol. 2024, 61, 1104–1106. [Google Scholar] [CrossRef]
  64. Kedron, P.; Li, W.; Fotheringham, S.; Goodchild, M. Reproducibility and Replicability: Opportunities and Challenges for Geospatial Research. Int. J. Geogr. Inf. Sci. 2020, 35, 427–445. [Google Scholar] [CrossRef]
  65. NITI Aayog. 2018 National Strategy for Artificial Intelligence #AIforAll. Government of India. Available online: https://www.niti.gov.in/sites/default/files/2023-03/National-Strategy-for-Artificial-Intelligence.pdf (accessed on 25 June 2025).
  66. Mohebbi, H.; Torfi, S. Futures Studies on Artificial Intelligence Development in Iran: A Scenario Planning Approach. Bus. Intell. Manag. Stud. 2025, 14, 159–204. [Google Scholar] [CrossRef]
  67. Ruiz-Villanueva, V.; Aarnink, J.; Ghaffarian, H.; del Hoyo, J.; Finch, B.; Hortobágyi, B.; Vuaridel, M.; Piégay, H. Current Progress in Quantifying and Monitoring Instream Large Wood Supply and Transfer in Rivers. Earth Surf. Process Landf. 2024, 49, 256–276. [Google Scholar] [CrossRef]
  68. Spiegel, T.; Diesing, M.; Dale, A.W.; Lenz, N.; Schmidt, M.; Sommer, S.; Böttner, C.; Fuhr, M.; Kalapurakkal, H.T.; Schulze, C.-S.; et al. Modelling Mass Accumulation Rates and 210Pb Rain Rates in the Skagerrak: Lateral Sediment Transport Dominates the Sediment Input. Front. Mar. Sci. 2024, 11, 1331102. [Google Scholar] [CrossRef]
  69. der Vaart, W.V.; Bonhage, A.; Schneider, A.; Ouimet, W.; Raab, T. Automated Large-Scale Mapping and Analysis of Relict Charcoal Hearths in Connecticut (USA) Using a Deep Learning YOLOv4 Framework. Archaeol. Prospect. 2023, 30, 251–266. [Google Scholar] [CrossRef]
  70. Holail, S.; Saleh, T.; Xiao, X.; Xiao, J.; Xia, G.-S.; Shao, Z.; Wang, M.; Gong, J.; Li, D. Time-Series Satellite Remote Sensing Reveals Gradually Increasing War Damage in the Gaza Strip. Natl. Sci. Rev. 2024, 11, nwae304. [Google Scholar] [CrossRef]
  71. McClinton, T.; White, S.; Sinton, J. Neuro-Fuzzy Classification of Submarine Lava Flow Morphology. Photogramm. Eng. Remote Sens. 2012, 78, 605–616. [Google Scholar] [CrossRef]
  72. Maschmeyer, C.H.; White, S.M.; Dreyer, B.M.; Clague, D.A. High-Silica Lava Morphology at Ocean Spreading Ridges: Machine-Learning Seafloor Classification at Alarcon Rise. Geosciences 2019, 9, 245. [Google Scholar] [CrossRef]
  73. Gao, X.; He, W.; Hu, Y. Modeling of Meandering River Deltas Based on the Conditional Generative Adversarial Network. J. Pet. Sci. Eng. 2020, 193, 107352. [Google Scholar] [CrossRef]
  74. Tran Anh, D.; Tanim, A.; Kushwaha, D.; Pham, Q.; Bui, V. Deep Learning Long Short-Term Memory Combined with Discrete Element Method for Porosity Prediction in Gravel-Bed Rivers. Int. J. Sediment. Res. 2022, 38, 128–140. [Google Scholar] [CrossRef]
  75. Mokarram, M.; Pourghasemi, H.R.; Tiefenbacher, J.P. Morphometry of AFs in Upstream and Downstream of Floods in Gribayegan, Iran. Nat. Hazards 2021, 108, 425–450. [Google Scholar] [CrossRef]
  76. Yoo, H.-J.; Kim, H.; Kang, T.-S.; Kim, K.-H.; Bang, K.-Y.; Kim, J.-B.; Park, M.-S. Prediction of Beach Sand Particle Size Based on Artificial Intelligence Technology Using Low-Altitude Drone Images. J. Mar. Sci. Eng. 2024, 12, 172. [Google Scholar] [CrossRef]
  77. Suárez-Ramírez, J.; Betancor Del Rosario, A.; Santana-Cedrés, D.; Monzón, N. Exploring Deep Learning Capabilities for Coastal Image Segmentation on Edge Devices; SciTePress: Setúbal, Portugal, 2023; ISBN 9789897586347. [Google Scholar]
  78. Healey, C.; Ghoneim, E.; Loh, A.N.; You, Y. Predicting Land Cover Using a GIS-Based Markov Chain and Sea Level Inundation for a Coastal Area. Land 2024, 13, 775. [Google Scholar] [CrossRef]
  79. Sousa, T.; Ries, B.; Guelfi, N. Data Augmentation in Earth Observation: A Diffusion Model Approach. Information 2025, 16, 81. [Google Scholar] [CrossRef]
  80. Ohta, T.; Arai, H. Statistical Empirical Index of Chemical Weathering in Igneous Rocks: A New Tool for Evaluating the Degree of Weathering. Chem. Geol. 2007, 240, 280–297. [Google Scholar] [CrossRef]
  81. Chaplot, V. Impact of Terrain Attributes, Parent Material and Soil Types on Gully Erosion. Geomorphology 2013, 186, 1–11. [Google Scholar] [CrossRef]
  82. Yuwen, S.; Zanwen, M.; Zhen, T. Spatio-Temporal Variation of Soil Biogenic Silicon Distribution and Its Driving Mechanism in the Southwestern Hainan Island. Acta Ecol. Sin. 2022, 42, 7092–7104. [Google Scholar] [CrossRef]
  83. Rydberg, J.; Lindborg, T.; Sohlenius, G.; Reuss, N.; Olsen, J.; Laudon, H. The Importance of Eolian Input on Lake-Sediment Geochemical Composition in the Dry Proglacial Landscape of Western Greenland. Arct. Antarct. Alp. Res. 2016, 48, 93–109. [Google Scholar] [CrossRef]
  84. Waraniak, J.M.; Fisher, J.D.L.; Purcell, K.; Mushet, D.M.; Stockwell, C.A. Landscape Genetics Reveal Broad and Fine-Scale Population Structure Due to Landscape Features and Climate History in the Northern Leopard Frog (Rana Pipiens) in North Dakota. Ecol. Evol. 2019, 9, 1041–1060. [Google Scholar] [CrossRef]
  85. Szymanowski, M.; Jancewicz, K.; Różycka, M.; Migoń, P. Geomorphometry-Based Detection of Enhanced Erosional Signal in Polygenetic Medium-Altitude Mountain Relief and Its Tectonic Interpretation, the Sudetes (Central Europe). Geomorphology 2019, 341, 115–129. [Google Scholar] [CrossRef]
  86. Vega-Ramírez, L.A.; Spelz, R.M.; Negrete-Aranda, R.; Neumann, F.; Caress, D.W.; Clague, D.A.; Paduan, J.B.; Contreras, J.; Peña-Dominguez, J.G. A New Method for Fault-Scarp Detection Using Linear Discriminant Analysis in High-Resolution Bathymetry Data From the Alarcón Rise and Pescadero Basin. Tectonics 2021, 40, e2021TC006925. [Google Scholar] [CrossRef]
  87. Brigham, C.A.P.; Crider, J.G. A New Metric for Morphologic Variability Using Landform Shape Classification via Supervised Machine Learning. Geomorphology 2022, 399, 108065. [Google Scholar] [CrossRef]
  88. Tran, T.H.P.; Dinh, N.Q.; Yuhi, M.; Nguyen, T.V. Assessment of Long-Term Shoreline Change Along Tam Tien Coast in Quang Nam Province Using CoastSat Toolkit. In Proceedings of the 11th International Conference on Asian and Pacific Coasts, Kyoto, Japan, 14–17 November 2023; Tajima, Y., Aoki, S., Sato, S., Eds.; Springer Nature: Singapore, 2024; pp. 691–700. [Google Scholar]
  89. Benhur, J.; Vendhan, M.; Kumar, P.; Janagiraman, R. Coastal Resilience and Shoreline Dynamics: Assessing the Impact of a Hybrid Beach Restoration Strategy in Puducherry, India. Front. Mar. Sci. 2024, 11, 1426627. [Google Scholar] [CrossRef]
  90. Colak, A.T.I. Geospatial Analysis of Shoreline Changes in the Oman Coastal Region (2000–2022) Using GIS and Remote Sensing Techniques. Front. Mar. Sci. 2024, 11, 1305283. [Google Scholar] [CrossRef]
  91. Rajabian, H.; Rezaei, M.; Mina, M.; Kariminejad, N.; Ritsema, C. Chapter 15—Gully Erosion Susceptibility Assessment Using Machine Learning Methods and Geostatistical Multivariate Approach. In Advanced Tools for Studying Soil Erosion Processes; Pourghasemi, H.R., Kariminejad, N., Eds.; Elsevier: Amsterdam, The Netherlands, 2024; pp. 257–273. ISBN 978-0-443-22262-7. [Google Scholar]
  92. Berihun, M.L.; Tsunekawa, A.; Haregeweyn, N.; Bayabil, H.K.; Fenta, A.A.; Meshesha, T.M.; Kassa, S.B.; Bizuneh, B.B.; Hailu, Y.B.; Vanmaercke, M. Unveiling Gully Erosion Susceptibility: A Semi-Quantitative Modeling Approach Integrated with Field Data in Contrasting Landscapes and Climate Regions. Geomorphology 2025, 468, 109485. [Google Scholar] [CrossRef]
  93. Bammou, Y.; Benzougagh, B.; Abdessalam, O.; Brahim, I.; Kader, S.; Spalevic, V.; Sestras, P.; Ercişli, S. Machine Learning Models for Gully Erosion Susceptibility Assessment in the Tensift Catchment, Haouz Plain, Morocco for Sustainable Development. J. Afr. Earth Sci. 2024, 213, 105229. [Google Scholar] [CrossRef]
  94. Lu, Y.; Tian, J.; Liang, Q.; Lin, X. Geological Characteristics and Paleoenvironmental Evolution of Fine-Grained Sediments in the Third Member of the Xujiahe Formation in the Western Sichuan Depression, SW China. Minerals 2023, 13, 510. [Google Scholar] [CrossRef]
  95. Wall, S.; Murphy, B.P.; Belmont, P.; Yocom, L. Predicting Post-Fire Debris Flow Grain Sizes and Depositional Volumes in the Intermountain West, United States. Earth Surf. Process Landf. 2023, 48, 179–197. [Google Scholar] [CrossRef]
  96. Shakya, D.; Deshpande, V.; Kumar, B.; Agarwal, M. Predicting Total Sediment Load Transport in Rivers Using Regression Techniques, Extreme Learning and Deep Learning Models. Artif. Intell. Rev. 2023, 56, 10067–10098. [Google Scholar] [CrossRef]
  97. Du, X.; Bi, N.; Dou, S.; Kong, F.; Fan, Y.; Zhu, R. Temporal and Spatial Evolution Characteristics of the Current Tail Channel of the Yellow River: Processes and Mechanisms. Int. J. Sediment. Res. 2024, 39, 643–653. [Google Scholar] [CrossRef]
  98. Basumatary, M.M.; Wary, P.; Maji, S.; Kumar, B. Advanced Intelligence Model for Prediction of Sediment Transport Rate and Friction Factor in Alluvial Channel. Multiscale Multidiscip. Model. Exp. Des. 2024, 7, 5915–5931. [Google Scholar] [CrossRef]
  99. Scala, P.; Manno, G.; Ciraolo, G. Coastal Dynamics Analyzer (CDA): A QGIS Plugin for Transect Based Analysis of Coastal Erosion. SoftwareX 2024, 28, 101894. [Google Scholar] [CrossRef]
  100. Thanh, B.N.; Van Phong, T.; Trinh, P.T.; Costache, R.; Amiri, M.; Nguyen, D.D.; Van Le, H.; Prakash, I.; Pham, B.T. Prediction of Coastal Erosion Susceptible Areas of Quang Nam Province, Vietnam Using Machine Learning Models. Earth Sci. Inf. 2024, 17, 401–419. [Google Scholar] [CrossRef]
  101. Zulkifle, N.A.N.; Idris, N.H.; Ahmad, S.S.F. The Assessment of Shoreline Changes along the Johor Strait Using Sentinel-1 Synthetic Aperture Radar Imagery and GIS. Int. J. Remote Sens. 2024, 45, 8703–8721. [Google Scholar] [CrossRef]
  102. Vásquez-Salazar, R.D.; Cardona-Mesa, A.A.; Valdés-Quintero, J.; Olmos-Severiche, C.; Gómez, L.; Travieso-González, C.M.; Díaz-Paz, J.P.; Espinosa-Ovideo, J.E.; Diez-Rendón, L.; Garavito-González, A.F.; et al. Detection of Coastal Erosion and Progradation in the Colombian ‘Atrato River’ Delta by Using Sentinel-1 Synthetic Aperture Radar Data. Remote Sens. 2024, 16, 552. [Google Scholar] [CrossRef]
  103. Rice, A.R.; Cassidy, R.; Jordan, P.; Rogers, D.; Arnscheidt, J. Fine-Scale Quantification of Stream Bank Geomorphic Volume Loss Caused by Cattle Access. Sci. Total Environ. 2021, 769, 144468. [Google Scholar] [CrossRef]
  104. Zhu, B.; Zhou, Z.; Li, Z. Soil Erosion and Controls in the Slope-Gully System of the Loess Plateau of China: A Review. Front. Environ. Sci. 2021, 9, 657030. [Google Scholar] [CrossRef]
  105. Mohammady, M.; Davudirad, A. Gully Erosion Susceptibility Assessment Using Different Machine Learning Algorithms: A Case Study of Shazand Watershed in Iran. Environ. Model. Assess. 2024, 29, 249–261. [Google Scholar] [CrossRef]
  106. Gelete, T.B.; Pasala, P.; Abay, N.G.; Woldemariam, G.W.; Yasin, K.H.; Kebede, E.; Aliyi, I. Integrated Machine Learning and Geospatial Analysis Enhanced Gully Erosion Susceptibility Modeling in the Erer Watershed in Eastern Ethiopia. Front. Environ. Sci. 2024, 12, 1410741. [Google Scholar] [CrossRef]
  107. Raj, R.; Yunus, A.P.; Pani, P.; Avtar, R. Towards Evaluating Gully Erosion Volume and Erosion Rates in the Chambal Badlands, Central India. Land Degrad. Dev. 2022, 33, 1495–1510. [Google Scholar] [CrossRef]
  108. Bozzer, C.; Cisneros, J. Temporal and Spatial Evolution of Land Use Change in a Semi-Arid Environment of the Argentine Pampas Applying Random Forest. Idesia 2024, 42, 27–42. [Google Scholar] [CrossRef]
  109. Mirdan, M.M.; Tolba, E.R.; Abdellah, S.; Galal, E.M. Digital Shoreline Analysis System Techniques for Stability Detection: An Applied Case Study on Port Said, Egypt. Egypt. J. Aquat. Res. 2023, 49, 460–470. [Google Scholar] [CrossRef]
  110. Chuma, G.B.; Mugumaarhahama, Y.; Mond, J.M.; Bagula, E.M.; Ndeko, A.B.; Lucungu, P.B.; Karume, K.; Mushagalusa, G.N.; Schmitz, S. Gully Erosion Susceptibility Mapping Using Four Machine Learning Methods in Luzinzi Watershed, Eastern Democratic Republic of Congo. Phys. Chem. Earth Parts A/B/C 2023, 129, 103295. [Google Scholar] [CrossRef]
  111. Ramesh, M.R.R.; Aramanda, N.R.; Kumar, N.P.; Babu, K.P.; Ravi Kumar, D.V. Spatiotemporal Dynamics and Transformation of the Parana State Coastline: A 34-Year Analysis Using RS, GIS, and Machine Learning. J. South. Am. Earth Sci. 2024, 148, 105162. [Google Scholar] [CrossRef]
  112. Tang, Y.; Feng, F.; Guo, Z.; Feng, W.; Li, Z.; Wang, J.; Sun, Q.; Ma, H.; Li, Y. Integrating Principal Component Analysis with Statistically-Based Models for Analysis of Causal Factors and Landslide Susceptibility Mapping: A Comparative Study from the Loess Plateau Area in Shanxi (China). J. Clean. Prod. 2020, 277, 124159. [Google Scholar] [CrossRef]
  113. Khosravi, K.; Farooque, A.A.; Bateni, S.M.; Jun, C.; Mohammadi, D.; Kalantari, Z.; Cooper, J.R. Fluvial Bedload Transport Modelling: Advanced Ensemble Tree-Based Models or Optimized Deep Learning Algorithms? Eng. Appl. Comput. Fluid. Mech. 2024, 18, 2346221. [Google Scholar] [CrossRef]
  114. Roy, P.; Pal, S.C. Modeling Soil Erosion Susceptibility Considering Morphometric Analysis and SWAT Application: Policy Recommendation to Achieve SDGs. Model. Earth Syst. Environ. 2024, 10, 5735–5752. [Google Scholar] [CrossRef]
  115. Mohebzadeh, H.; Biswas, A.; DeVries, B.; Rudra, R.; Daggupati, P. Transferability of Predictive Models to Map Susceptibility of Ephemeral Gullies at Large Scale. Nat. Hazards 2024, 120, 4527–4561. [Google Scholar] [CrossRef]
  116. Franklin, B.; Moore, L.J.; Zinnert, J.C. Predicting Barrier Island Shrub Presence Using Remote Sensing Products and Machine Learning Techniques. J. Geophys. Res. Earth Surf. 2024, 129, e2023JF007465. [Google Scholar] [CrossRef]
  117. Choubin, B.; Hamzehpour, N.; Alizadeh, F.; Mosavi, A. Chapter 10—Machine Learning Modeling of the Wind-Erodible Fraction of Soils. In Remote Sensing of Soil and Land Surface Processes; Melesse, A.M., Rahmati, O., Khosravi, K., Petropoulos, G.P., Eds.; Elsevier: Amsterdam, The Netherlands, 2024; pp. 187–197. ISBN 978-0-443-15341-9. [Google Scholar]
  118. Darvishi Boloorani, A.; Neysani Samany, N.; Papi, R.; Soleimani, M. Dust Source Susceptibility Mapping in Tigris and Euphrates Basin Using Remotely Sensed Imagery. Catena 2022, 209, 105795. [Google Scholar] [CrossRef]
  119. Danilo, C.; Melgani, F. High-Coverage Satellite-Based Coastal Bathymetry through a Fusion of Physical and Learning Methods. Remote Sens. 2019, 11, 376. [Google Scholar] [CrossRef]
  120. Liu, G.; Arabameri, A.; Santosh, M.; Nalivan, O.A. Optimizing Machine Learning Algorithms for Spatial Prediction of Gully Erosion Susceptibility with Four Training Scenarios. Environ. Sci. Pollut. Res. 2023, 30, 46979–46996. [Google Scholar] [CrossRef]
  121. Ciritci, D.; Türk, T. Assessment of the Kalman Filter-Based Future Shoreline Prediction Method. Int. J. Environ. Sci. Technol. 2020, 17, 3801–3816. [Google Scholar] [CrossRef]
  122. Arabameri, A.; Yamani, M.; Pradhan, B.; Melesse, A.; Shirani, K.; Tien Bui, D. Novel Ensembles of COPRAS Multi-Criteria Decision-Making with Logistic Regression, Boosted Regression Tree, and Random Forest for Spatial Prediction of Gully Erosion Susceptibility. Sci. Total Environ. 2019, 688, 903–916. [Google Scholar] [CrossRef]
  123. Nadachowski, P.; Lubniewski, Z.; Trzcinska, K.; Tęgowski, J. Comparison of Deep Learning Approaches in Classification of Lacial Landforms. Int. J. Electron. Telecommun. 2024, 70, 823–829. [Google Scholar] [CrossRef]
  124. Zheng, Z.; Zhang, X.; Li, J.; Ali, E.; Yu, J.; Du, S. Global Perspectives on Sand Dune Patterns: Scale-Adaptable Classification Using Landsat Imagery and Deep Learning Strategies. ISPRS J. Photogramm. Remote Sens. 2024, 218, 781–801. [Google Scholar] [CrossRef]
  125. Lin, Y.; Wang, X.-L.; Qu, P.-C.; Wu, Y.-Z.; Wang, S.-P. Temporal Variations in Karst Spring Flow and Its Response to Climate Change in the Taihang Mountains, China. J. Hydrol. Eng. 2021, 26, 05021026. [Google Scholar] [CrossRef]
  126. Rajat, S.; Rajeshwar Singh, B.; Prakash, C.; Anita, S. Glacier Retreat in Himachal from 1994 to 2021 Using Deep Learning. Remote Sens. Appl. 2022, 28, 100870. [Google Scholar] [CrossRef]
  127. Gholami, H.; Mohammadifar, A.; Song, Y.; Li, Y.; Rahmani, P.; Kaskaoutis, D.G.; Panagos, P.; Borrelli, P. An Assessment of Global Land Susceptibility to Wind Erosion Based on Deep-Active Learning Modelling and Interpretation Techniques. Sci. Rep. 2024, 14, 18951. [Google Scholar] [CrossRef] [PubMed]
  128. Kouchami-Sardoo, I.; Shirani, H.; Esfandiarpour-Boroujeni, I.; Álvaro-Fuentes, J.; Shekofteh, H. Optimal Feature Selection for Prediction of Wind Erosion Threshold Friction Velocity Using a Modified Evolution Algorithm. Geoderma 2019, 354, 113873. [Google Scholar] [CrossRef]
  129. Yang, Y.; Li, B.; Li, C.; Liu, P.; Li, T.; Luo, Y.; Yang, L.; Che, L.; Li, M. Spatiotemporal Comprehensive Evaluation of Water Quality Based on Enhanced Variable Fuzzy Set Theory: A Case Study of a Landfill in Karst Area. J. Clean. Prod. 2024, 450, 141882. [Google Scholar] [CrossRef]
  130. Maya, K.; Vivek, V.R.; Sreelesh, R.; Utpal, M.; Sreelash, K. Hydrogeochemical Signatures of Spring Water in Geologically Diverse Terrains: A Case Study of Southern Western Ghats, India. Environ. Monit. Assess. 2024, 196, 662. [Google Scholar] [CrossRef]
  131. Hembram, T.K.; Paul, G.; Saha, S. Spatial Prediction of Susceptibility to Gully Erosion in Jainti River Basin, Eastern India: A Comparison of Information Value and Logistic Regression Models. Model. Earth Syst. Environ. 2019, 5, 689–708. [Google Scholar] [CrossRef]
  132. Ozturk, U.; Pittore, M.; Behling, R.; Roessner, S.; Andreani, L.; Korup, O. How robust are landslide susceptibility estimates? Landslides 2021, 18, 681–695. [Google Scholar] [CrossRef]
  133. Liu, Y.; Wang, Y.; Jiang, E. Stability Index for the Planview Morphology of Alluvial Rivers and a Case Study of the Lower Yellow River. Geomorphology 2021, 389, 107853. [Google Scholar] [CrossRef]
  134. El-Gamal, A. New Approach for Erosion and Accretion Coasts Discrimination. J. Coast. Res. 2012, 28, 389–398. [Google Scholar] [CrossRef]
  135. Kazhukalo, G.; Novikova, A.; Shabanova, N.; Drugov, M.; Myslenkov, S.; Shabanov, P.; Belova, N.; Ogorodov, S. Coastal Dynamics at Kharasavey Key Site, Kara Sea, Based on Remote Sensing Data. Remote Sens. 2023, 15, 199. [Google Scholar] [CrossRef]
  136. Meilianda, E.; Mauluddin, S.; Pradhan, B.; Sugianto, S. Decadal Shoreline Changes and Effectiveness of Coastal Protection Measures Post-Tsunami on 26 December 2004. Appl. Geomat. 2023, 15, 743–758. [Google Scholar] [CrossRef]
  137. Zhang, Z.; Wang, Z.; Liang, B.; Leng, X.; Yang, B.; Shi, L. Shoreline Change Analysis in the Estuarine Area of Rizhao Based on Remote Sensing Images and Numerical Simulation. Front. Mar. Sci. 2024, 11, 1488577. [Google Scholar] [CrossRef]
  138. Aziz, K. Quantitative Monitoring of Coastal Erosion and Changes Using Remote Sensing in a Mediterranean Delta. Civ. Eng. J. 2024, 10, 1842–1862. [Google Scholar] [CrossRef]
  139. Apostolopoulos, D.; Nikolakopoulos, K. Identifying Sandy Sites under Erosion Regime along the Prefecture of Achaia, Using Remote Sensing Techniques. J. Appl. Remote Sens. 2022, 17, 022206. [Google Scholar] [CrossRef]
  140. Park, S.; Song, A. Shoreline Change Analysis with Deep Learning Semantic Segmentation Using Remote Sensing and GIS Data. KSCE J. Civ. Eng. 2024, 28, 928–938. [Google Scholar] [CrossRef]
  141. McAllister, E.; Payo, A.; Novellino, A.; Dolphin, T.; Medina-Lopez, E. Multispectral Satellite Imagery and Machine Learning for the Extraction of Shoreline Indicators. Coast. Eng. 2022, 174, 104102. [Google Scholar] [CrossRef]
  142. Jiang, F.; Huang, S.; Wu, Y.; Islam, M.U.; Dong, F.; Cao, Z.; Chen, G.; Guo, Y. A Large-Scale Dataset of Conservation and Deep Tillage in Mollisols, Northeast Plain, China. Data 2023, 8, 6. [Google Scholar] [CrossRef]
  143. Xia, Z.; Lü, P.; Ma, F.; Cao, M.; Yu, J. Quantifying Dune Migration Patterns and Influencing Factors in the Central Sahara Desert. Catena 2024, 235, 107686. [Google Scholar] [CrossRef]
  144. Çarman, K.; Marakoğlu, T.; Taner, A.; Mikayilov, F. Measurements and Modelling of Wind Erosion Rate in Different Tillage Practices Using a Portable Wind Erosion Tunnel. Zemdirb. Agric. 2016, 103, 327–334. [Google Scholar] [CrossRef]
  145. Ara Rahman, S.; Chakrabarty, D. Sediment Transport Modelling in an Alluvial River with Artificial Neural Network. J. Hydrol. 2020, 588, 125056. [Google Scholar] [CrossRef]
  146. Paixão, M.A.; Kobiyama, M.; Poleto, C.; Mao, L.; Ávila, I.G.; Takebayashi, H.; Fujita, M. Relationship between Morphology and Sediment Transport in a Canyon River Channel, Southern Brazil. J. Soils Sediments 2023, 23, 4208–4222. [Google Scholar] [CrossRef]
  147. Abdrabo, K.I.; Kantoush, S.A.; Esmaiel, A.; Saber, M.; Sumi, T.; Almamari, M.; Elboshy, B.; Ghoniem, S. An Integrated Indicator-Based Approach for Constructing an Urban Flood Vulnerability Index as an Urban Decision-Making Tool Using the PCA and AHP Techniques: A Case Study of Alexandria, Egypt. Urban. Clim. 2023, 48, 101426. [Google Scholar] [CrossRef]
  148. Gutierrez, R.R.; Abad, J.D. On the Analysis of the Medium Term Planform Dynamics of Meandering Rivers. Water Resour. Res. 2014, 50, 3714–3733. [Google Scholar] [CrossRef]
  149. Pinza, J.G.; Katsanou, K.; Lambrakis, N.; Stigter, T.Y. Temporal Variations of Spring Hydrochemistry as Clues to the Karst System Behaviour: An Example of Louros Catchment. Environ. Monit. Assess. 2024, 196, 624. [Google Scholar] [CrossRef] [PubMed]
  150. El Ghawi, R.; Pekhazis, K.; Doummar, J. Multi-Regression Analysis between Stable Isotope Composition and Hydrochemical Parameters in Karst Springs to Provide Insights into Groundwater Origin and Subsurface Processes: Regional Application to Lebanon. Environ. Earth Sci. 2021, 80, 1–21. [Google Scholar] [CrossRef]
  151. Shojaeezadeh, S.A.; Al-Wardy, M.; Nikoo, M.R.; Mooselu, M.G.; Alizadeh, M.R.; Adamowski, J.F.; Moradkhani, H.; Alamdari, N.; Gandomi, A.H. Soil Erosion in the United States: Present and Future (2020–2050). Catena 2024, 242, 108074. [Google Scholar] [CrossRef]
  152. Wei, Y.; Liu, Z.; Zhang, Y.; Cui, T.; Guo, Z.; Cai, C.; Li, Z. Analysis of Gully Erosion Susceptibility and Spatial Modelling Using a GIS-Based Approach. Geoderma 2022, 420, 115869. [Google Scholar] [CrossRef]
  153. Can, T.; Nefeslioglu, H.A.; Gokceoglu, C.; Sonmez, H.; Duman, T.Y. Susceptibility Assessments of Shallow Earthflows Triggered by Heavy Rainfall at Three Catchments by Logistic Regression Analyses. Geomorphology 2005, 72, 250–271. [Google Scholar] [CrossRef]
  154. Othman, A.; Gloaguen, R.; Andreani, L.; Rahnama, M. Improving Landslide Susceptibility Mapping Using Morphometric Features in the Mawat Area, Kurdistan Region, NE Iraq: Comparison of Different Statistical Models. Geomorphology 2018, 319C, 147–160. [Google Scholar] [CrossRef]
Figure 1. Workflow adopted for the retrieval and classification of scientific literature from Scopus. The process starts with the design of controlled keyword sets for both geomorphology and artificial intelligence (AI), organized by thematic category. Queries are iteratively executed for each year from 1990 to 2024, targeting titles, abstracts, and keywords. Each record is parsed to extract key metadata and assigned to both AI and geomorphological macro-categories. The resulting records are then merged into a final structured dataset. Extracted metadata include bibliographic information (title, year, authors, journal, abstract), author country, and thematically assigned keywords for both domains.
Figure 1. Workflow adopted for the retrieval and classification of scientific literature from Scopus. The process starts with the design of controlled keyword sets for both geomorphology and artificial intelligence (AI), organized by thematic category. Queries are iteratively executed for each year from 1990 to 2024, targeting titles, abstracts, and keywords. Each record is parsed to extract key metadata and assigned to both AI and geomorphological macro-categories. The resulting records are then merged into a final structured dataset. Extracted metadata include bibliographic information (title, year, authors, journal, abstract), author country, and thematically assigned keywords for both domains.
Geosciences 15 00331 g001
Figure 2. Evolution of the application of AI in geomorphological studies. From top: annual trends in publications (bar chart) and journals (line plot); distribution of main AI and geomorphological (GEO) macro-categories; temporal evolution of GEO and AI macro-categories.
Figure 2. Evolution of the application of AI in geomorphological studies. From top: annual trends in publications (bar chart) and journals (line plot); distribution of main AI and geomorphological (GEO) macro-categories; temporal evolution of GEO and AI macro-categories.
Geosciences 15 00331 g002
Figure 3. Number of AI-based geomorphological studies published in the top 30 most frequent journals.
Figure 3. Number of AI-based geomorphological studies published in the top 30 most frequent journals.
Geosciences 15 00331 g003
Figure 4. Geographical distribution of scientific publications over time: total number of papers (top left), earliest year of occurrence (top right), Theil–Sen slopes (bottom left), and corresponding p-values (bottom right) of the Mann–Kendall Test. In the p-value map, countries are colored based on the statistical significance of the trend: green for p < 0.05 (statistically significant), blue for 0.05 ≤ p < 0.10 (marginally significant), red for p ≥ 0.10 (not significant), and light gray for countries with missing data.
Figure 4. Geographical distribution of scientific publications over time: total number of papers (top left), earliest year of occurrence (top right), Theil–Sen slopes (bottom left), and corresponding p-values (bottom right) of the Mann–Kendall Test. In the p-value map, countries are colored based on the statistical significance of the trend: green for p < 0.05 (statistically significant), blue for 0.05 ≤ p < 0.10 (marginally significant), red for p ≥ 0.10 (not significant), and light gray for countries with missing data.
Geosciences 15 00331 g004
Figure 5. Percentage of use of different AI macro-categories within each geomorphological (GEO) category. Values are normalized by GEO category and show which AI techniques are most commonly used in each field.
Figure 5. Percentage of use of different AI macro-categories within each geomorphological (GEO) category. Values are normalized by GEO category and show which AI techniques are most commonly used in each field.
Geosciences 15 00331 g005
Figure 6. Summary of the number of articles by AI and GEO categories. The top charts show the overall frequency of each AI technique (left) and each geomorphological topic (right). The bottom charts show how the use of AI methods (left) and GEO categories (right) has changed over time, with a clear increase in publications after 2015.
Figure 6. Summary of the number of articles by AI and GEO categories. The top charts show the overall frequency of each AI technique (left) and each geomorphological topic (right). The bottom charts show how the use of AI methods (left) and GEO categories (right) has changed over time, with a clear increase in publications after 2015.
Geosciences 15 00331 g006
Figure 7. Temporal and thematic analysis of the most frequent author-provided keywords in the selected literature. The top panel shows the annual number of publications in which each keyword appears (1995–2024). The central heatmap illustrates the co-occurrence of these keywords with major artificial intelligence categories. The bottom panel ranks the 30 most frequent keywords overall.
Figure 7. Temporal and thematic analysis of the most frequent author-provided keywords in the selected literature. The top panel shows the annual number of publications in which each keyword appears (1995–2024). The central heatmap illustrates the co-occurrence of these keywords with major artificial intelligence categories. The bottom panel ranks the 30 most frequent keywords overall.
Geosciences 15 00331 g007
Figure 8. Top 10 most frequent keywords within each of the main six geomorphological macro-categories identified in the literature: Coastal, Eolian, Fluvial, Karst, Process-based, and Hillslope. The numbers in square brackets indicate the total number of papers assigned to each category.
Figure 8. Top 10 most frequent keywords within each of the main six geomorphological macro-categories identified in the literature: Coastal, Eolian, Fluvial, Karst, Process-based, and Hillslope. The numbers in square brackets indicate the total number of papers assigned to each category.
Geosciences 15 00331 g008
Table 1. Category and keywords used for the systematic research in Scopus database.
Table 1. Category and keywords used for the systematic research in Scopus database.
DomainCategoryTerm
Artificial IntelligenceDimensionality Reductiondimensionality reduction, discrete orthogonal transformation, linear discriminant analysis, non-negative matrix factorization, principal component analysis, t-distributed stochastic neighbor embedding
General Aiartificial intelligence, data mining, deep learning, machine learning, predictive modeling, supervised learning, unsupervised learning
Neural Networksartificial neural network, Bayesian neural network, convolutional neural network, deep neural network, generative adversarial network, long short-term memory, multilayer perceptron, multipath convolutional neural network, neural network, recurrent neural network
Object DetectionDeepLab, U-Net, YOLO, feature pyramid network, instance segmentation, mask region-based convolutional network, semantic segmentation, you only look once
Semi Reinforcement LearningQ-learning, deep Q-network, policy gradient method, positive-unlabeled learning, reinforcement learning
Svm And Regressiongaussian naive bayes, gaussian process regression, least squares support vector machine, linear regression, logistic regression, multivariate adaptive regression splines, polynomial kernel regression, stepwise linear regression, support vector machine, support vector regression
Trees And Ensemblesadaptive boosting, cubist regression model, decision tree, deep cascade forest, extra-trees algorithm, extreme gradient boosting, extremely randomized trees, gradient boosting, random forest, random undersampling boosting
Unsupervised Clusteringcluster analysis, density-based spatial clustering, hierarchical clustering, iterative self-organizing data analysis technique, k-means clustering, nearest centroid classifier
GeomorphologyAnthropogenicanthropogenic landform, human-modified terrain, infrastructure-induced geomorphic change, quarry landforms, urban geomorphology
Coastalbarrier island migration, barrier islands, beach ridge, coastal cliff retreat, coastal erosion, coastal progradation, dune-beach interaction, marine terraces, shoreline change, spit formation, tidal flat accretion, wave-cut platform
Eolianaeolian landforms, barchan dune, deflation surface, desert pavement, dune morphology, linear dunes, parabolic dunes, wind erosion, yardang formation
Fluvialalluvial fans, alluvial rivers, bank erosion, bedload transport, braided rivers, channel incision, channel morphology, cutoff meander, floodplain dynamics, fluvial geomorphology, gravel-bed rivers, meandering rivers, point bar, river avulsion, river terraces, suspended sediment transport
Geoheritagegeomorphological heritage site, geomorphosite, geosite with geomorphic relevance, landform of scientific interest, morphostructural viewpoint
Glacialcirque morphology, glacial erosion, glacial landforms, glacial retreat, glacial trough, ice-contact deposits, kame terrace, kettle hole, moraine morphology, outwash plain, proglacial lake
Karstcave passage morphology, doline, karst depression, karst landforms, karst spring, karstification, polje, ponor, sinkhole collapse, solution features, speleogenesis, tufa deposition, uvala
Paleogeomorphologyburied landform, exhumed landform, fossil floodplain, fossil valleys, paleo-drainage, paleo-landscape reconstruction, paleosurface, relict features, relict landform
Process Basedchemical denudation, chemical weathering, colluvial processes, fluvial incision, gully erosion, mechanical weathering, rill erosion, sheet erosion, sheetwash, soil piping, weathering pit, weathering rinds
Hillslopedebris flow fan, earthflow, gullied slope, hillslope evolution, hillslope processes, landslide scar, landslips, mass wasting, rock avalanche, rockfall talus, rockfalls, slope retreat, soil creep
Tectonicactive fault trace, fault scarp, fault scarps, fault-block mountain, fold-controlled drainage, rift escarpment, river offset by fault, tectonic geomorphology, tectonic uplift, terrace uplift, tilted blocks, tilting of landforms, warped terrace
Volcanicignimbrite plateau, lava flow morphology, pyroclastic landforms, volcanic cone degradation, volcanic geomorphology, volcanic landforms
Disclaimer/Publisher’s Note: The statements, opinions and data contained in all publications are solely those of the individual author(s) and contributor(s) and not of MDPI and/or the editor(s). MDPI and/or the editor(s) disclaim responsibility for any injury to people or property resulting from any ideas, methods, instructions or products referred to in the content.

Share and Cite

MDPI and ACS Style

Luppichini, M.; Capolongo, D.; Scardino, G.; Scicchitano, G.; Bini, M. Artificial Intelligence in Geomorphology: A Bibliometric Analysis of Trends, Techniques, and Global Research Patterns. Geosciences 2025, 15, 331. https://doi.org/10.3390/geosciences15090331

AMA Style

Luppichini M, Capolongo D, Scardino G, Scicchitano G, Bini M. Artificial Intelligence in Geomorphology: A Bibliometric Analysis of Trends, Techniques, and Global Research Patterns. Geosciences. 2025; 15(9):331. https://doi.org/10.3390/geosciences15090331

Chicago/Turabian Style

Luppichini, Marco, Domenico Capolongo, Giovanni Scardino, Giovanni Scicchitano, and Monica Bini. 2025. "Artificial Intelligence in Geomorphology: A Bibliometric Analysis of Trends, Techniques, and Global Research Patterns" Geosciences 15, no. 9: 331. https://doi.org/10.3390/geosciences15090331

APA Style

Luppichini, M., Capolongo, D., Scardino, G., Scicchitano, G., & Bini, M. (2025). Artificial Intelligence in Geomorphology: A Bibliometric Analysis of Trends, Techniques, and Global Research Patterns. Geosciences, 15(9), 331. https://doi.org/10.3390/geosciences15090331

Note that from the first issue of 2016, this journal uses article numbers instead of page numbers. See further details here.

Article Metrics

Back to TopTop