A Critical Review of Current States of Practice in Direct Shear Testing of Unfilled Rock Fractures Focused on Multi-Stage and Boundary Conditions
Abstract
1. Introduction
2. History of Direct Shear and Multi-Stage Testing
3. Current Practice for Laboratory Direct Shear Testing of Rock Fractures

4. Direct Shear Test Boundary Conditions
4.1. Constant Normal Load (CNL) and Constant Normal Stress (CNL*)
4.2. Constant Normal Stiffness (CNS)
5. Single- and Multi-Stage Direct Shear Testing
5.1. Conventional Multi-Stage Direct Shear Testing
5.2. Limited Displacement Multi-Stage Direct Shear Testing
6. Shear Behaviour of Clean Rock Joints
6.1. Common Shear Strength Criteria for Rock Fractures
6.1.1. Mohr–Coulomb Linear Shear Strength Criterion
6.1.2. Patton Bilinear Shear Strength Criterion
6.1.3. Barton–Bandis Nonlinear Shear Strength Criterion
Joint Roughness Coefficient
Joint Compressive Strength
Residual Friction Angle
Scale Effect
Inputs to Numerical Models

6.2. Shear Failure Mechanism of Rock Fractures
- T1: Under a low normal stress condition (σn1), the upper asperity will slip along the lower asperity to vertex T1, where major sliding movements occur along the joint. At this point, the shear strength satisfies the lower portion of Patton’s [53,56] bilinear failure envelope, and failure modes of the joint are mainly caused by asperity sliding wear.
- T3: Under a high normal stress condition that exceeds the strength of intact material of the asperity (σn3), no sliding movement occurs, and the asperity is completely sheared through along trajectory T3. At this point, the shear strength satisfies the upper portion of Patton’s [53,56] bilinear failure envelope, and the failure modes of the joint are mainly caused by shearing through the asperities.
- T2: Under moderate normal stress conditions that fall in between σn1 and σn3 (σn2), a combination of the two failure modes is expected. Initially, sliding of the upper asperity will occur whereby the sliding shear stress along the asperity is less than the asperity strength. As the sliding continues, the contact area of the joint gradually reduces, and the effective normal stress gradually increases. Thus, the sliding shear stress of the asperity also gradually increases. At some point, the normal stress in the asperity reaches a critical value where the sliding shear stress is greater than the strength of the asperity, and the behaviour will change from sliding to shear failure along trajectory T2. The failure modes of joints for this scenario are composed of asperity sliding wear and asperity shearing failure.
7. Geomechanical Parameters Calculated from Direct Shear Test Data
7.1. Pre-Yield Deformation Behaviour: Stiffness
7.1.1. Joint Normal Stiffness (Kn)
7.1.2. Joint Shear Stiffness (Ks)
Peak Secant Method
Yield Tangent Method
Best-Fit Chord Method
Grasselli and Egger Linear Relationship
7.2. Yield, Unconstrained Peak, and Constrained Peak Shear Strengths
7.3. Unconstrained and Constrained Peak Shear Displacements
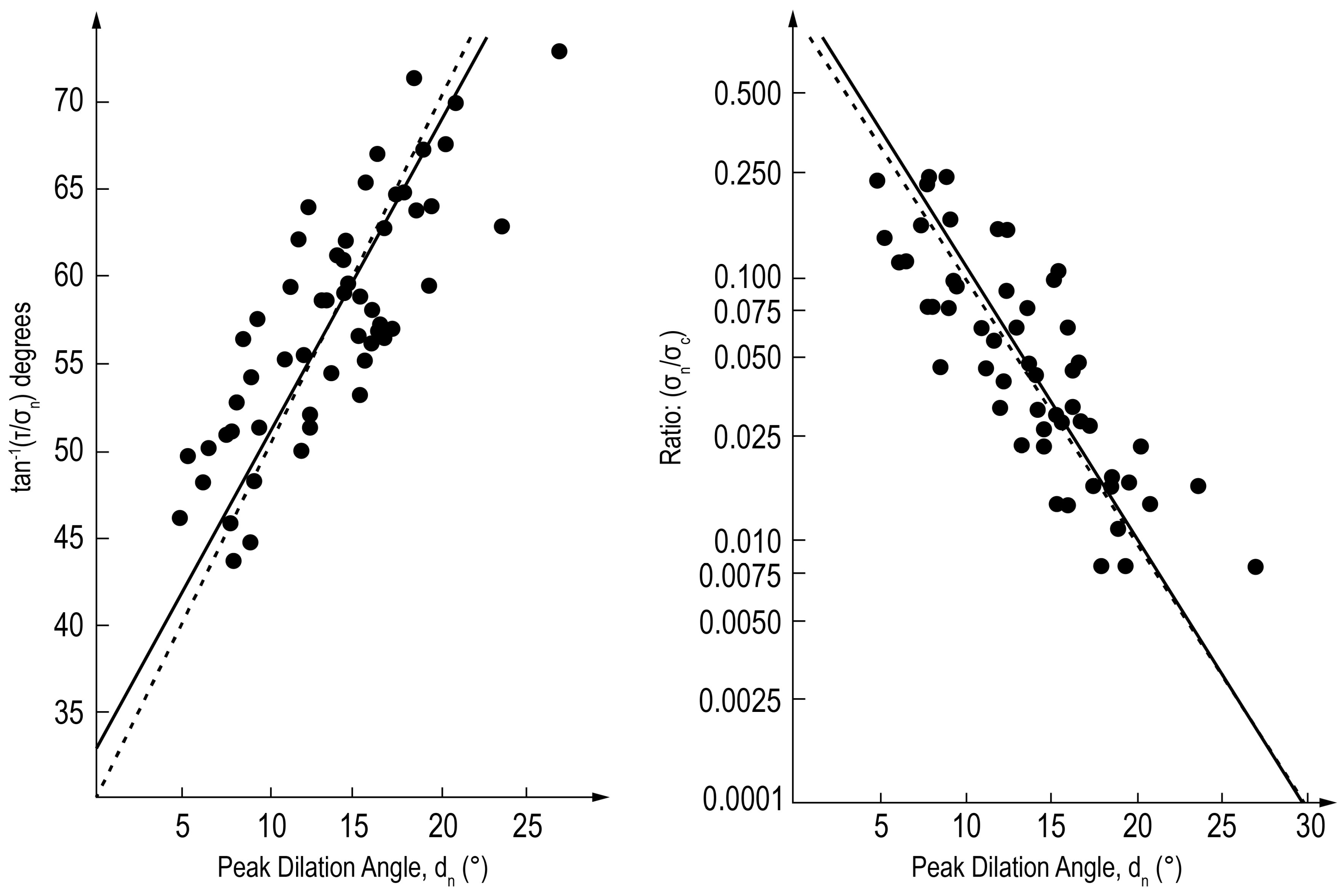
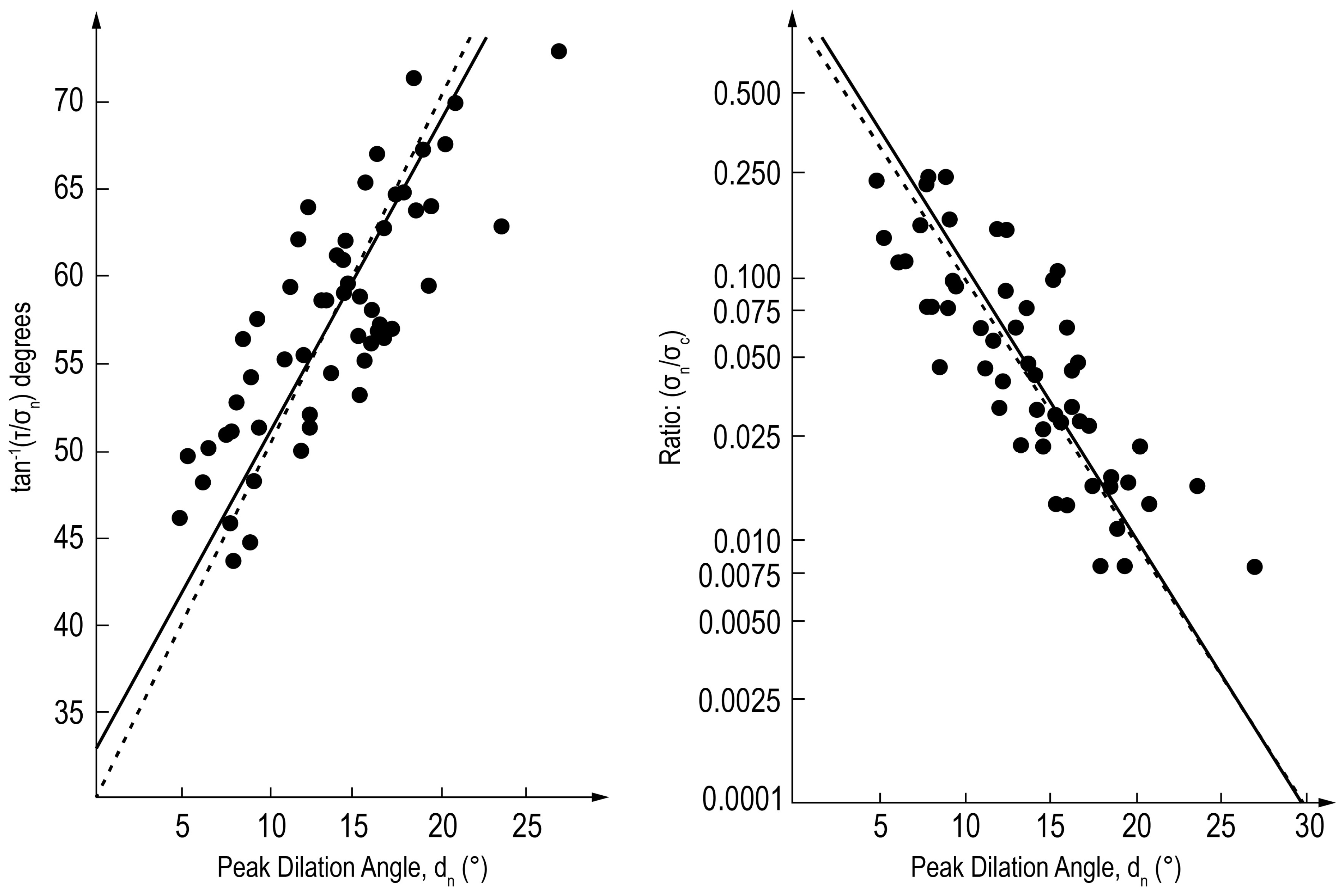
7.4. Peak Friction Angle (ϕ)
7.5. Dilation ()
7.6. Residual Shear Strength (τr)
8. Critical Assessment of Boundary Condition Selection
9. Critical Assessment of Multi-Stage Direct Shear Testing
- “To minimize the influence of damage and wear, each consecutive shear stage should be performed with an increasingly higher normal stress” [2];
- “In the case of multi-stage tests, the apparent cohesion can be exaggerated due to accumulation of damage with successive shearing of the same joint specimen” [2];
- “In order to reduce the potential for the effects of specimen degradation and wear, each consecutive stage should be performed with a higher normal load… Bear in mind that with each repetition the surface will be further damaged” [9].
10. Concluding Remarks
10.1. Boundary Conditions
10.2. Multi-Stage Test Procedures
Author Contributions
Funding
Data Availability Statement
Acknowledgments
Conflicts of Interest
References
- ISRM; Franklin, J.A.; Kanji, M.A.; Herget, G.; Ladanyi, B.; Drozd, K.; Dvorak, A.; Egger, P.; Kutter, H.; Rummel, F.; et al. Suggested methods for determining shear strength. Int Soc Rock Mech Commission on Testing Methods. In The Complete ISRM Suggested Methods for Rock Characterization, Testing and Monitoring: 1974–2006; Ulusay, R., Hudson, J.A., Eds.; ISRM: Ankara, Turkey, 2007; pp. 165–176. [Google Scholar]
- Muralha, J.; Grasselli, G.; Tatone, B.; Blümel, M.; Chryssanthakis, P.; Yujing, J. ISRM suggested method for laboratory determination of the shear strength of rock joints: Revised version. Rock Mech. Rock Eng. 2014, 47, 291–302. [Google Scholar] [CrossRef]
- Goodman, R.E.; Taylor, R.L.; Brekke, T.L. A model for the mechanics of jointed rock. J. Soil Mech. Found. Div. 1968, 94, 637–659. [Google Scholar] [CrossRef]
- Barton, N.; Choubey, V. The shear strength of rock joints in theory and practice. Rock Mech. 1977, 10, 1–54. [Google Scholar] [CrossRef]
- Barton, N. Review of a new shear strength criterion for rock joints. Eng. Geol. 1973, 7, 287–332. [Google Scholar] [CrossRef]
- Day, J.J. The Influence of Healed Intrablock Rockmass Structure on the Behaviour of Deep Excavations in Complex Rockmasses. Ph.D. Thesis, Department of Geological Sciences and Geological Engineering, Queen’s University, Kingston, ON, Canada, 2016. Available online: https://qspace.library.queensu.ca/handle/1974/15306 (accessed on 12 May 2022).
- Packulak, T.R.M.; Day, J.J.; Diederichs, M.S. Enhancement of constant normal stiffness direct shear testing protocols for determining geomechanical properties of fractures. Can. Geotech. J. 2022, 59, 1643–1659. [Google Scholar] [CrossRef]
- Barton, N.; Bandis, S.C. Review of predictive capabilities of JRC-JCS model in engineering practice. In Proceedings of the Rock Joints-Proceeding of a Regional Conference of the International Society for Rock Mechanics, Loen, Norway, 4–6 June 1990; pp. 603–610. [Google Scholar]
- ASTM D5607-16; Standard Test Method for Performing Laboratory Direct Shear Strength Tests of Rock Specimens under Constant Normal Force. ASTM International: West Conshohocken, PA, USA, 2016.
- Barla, G.; Robotti, F.; Vai, L. Revisiting Large Size Direct Shear Testing of Rock Mass Foundations. In Proceedings of the 6th International Conference on Dam Engineering, Lisbon, Portugal, 15–17 February 2011; p. 10. [Google Scholar]
- Petro, M. Characterization of Peak Shear Strength of Rough Rock Joints Using the Limited Displacement Multi-Stage Direct Shear (LDMSD) Test Method. Master’s Thesis, Montana Technological University, Butte, MT, USA, 2018. [Google Scholar]
- MacLaughlin, M.; Berry, S.; Petro, M.; Berry, K.; Bro, A. Characterization of peak shear strength of rough rock joints using limited displacement multi-stage direct shear (LDMDS) tests. E3S Web Conf. 2019, 92, 13011. [Google Scholar] [CrossRef]
- Hencher, S.R.; Richards, L.R. Laboratory direct shear testing of rock discontinuities. Ground Eng. 1989, 22, 24–31. [Google Scholar]
- Hencher, S.R.; Richards, L.R. Assessing the shear strength of rock discontinuities at laboratory and field scales. Rock Mech. Rock Eng. 2015, 48, 883–905. [Google Scholar] [CrossRef]
- Muralha, J. Stress paths in laboratory joint shear tests. In Proceedings of the 11th International Society for Rock Mechanics (ISRM) Congress, Lisbon, Portugal, 9–13 July 2007; Taylor & Francis Group: London, UK, 2007; pp. 431–434. [Google Scholar]
- Barton, N. Shear strength criteria for rock, rock joints, rockfill and rock masses: Problems and some solutions. J. Rock Mech. Geotech. Eng. 2013, 5, 249–261. [Google Scholar] [CrossRef]
- Yathon, J.; Chakrabarti, S.; Penner, O.; Lindenbach, E.; Bergman, B.; Razavi-Darbar, S. A novel approach for characterizing shear strength of concrete joints: Experimental procedure and empirical model. In Proceedings of the 39th Annual Conference and Exhibition, Chicago, IL, USA, 8–11 April 2019; p. 14. [Google Scholar]
- Gaines, S. Interpretation of the peak and residual strength of induced tension fractures in sandstone by single-stage and multi-stage direct shear tests. In Proceedings of the 54th US Rock Mechanics/Geomechanics Symposium, Virtual Event (Physical Event Cancelled), 28 June–1 July 2020. [Google Scholar]
- MacDonald, N.R. A Critical Laboratory Investigation of Multi-Stage Direct Shear Testing Procedures on Rock Joints Using Synthetic Replica Specimens. Master’s Thesis, Department of Geological Sciences and Geological Engineering, Queen’s University, Kingston, ON, Canada, 2022. Available online: https://qspace.library.queensu.ca/handle/1974/30277 (accessed on 15 August 2022).
- Goodman, R.E. Methods of Geological Engineering in Discontinuous Rocks; West Publishing Company: St. Paul, MN, USA, 1976; p. 472. [Google Scholar]
- Ladanyi, B.; Archambault, G. Simulation of shear behavior of a jointed rock mass. In Proceedings of the 11th U.S. Symposium on Rock Mechanics, Berkeley, CA, USA; 1969; pp. 105–125. [Google Scholar]
- Johnston, I.W.; Lam, T.S.K.; Williams, A.F., Sr. Constant normal stiffness direct shear testing for socketed pile design in weak rock. Géotechnique 1987, 37, 83–89. [Google Scholar] [CrossRef]
- Lambe, T.W.; Whitman, R.V. Soil Mechanics; Wiley: New York, NY, USA, 1969. [Google Scholar]
- De Beer, I.E.E. The cell-test. Géotechnique 1950, 2, 162–172. [Google Scholar] [CrossRef]
- Taylor, D.W. A triaxial shear investigation on a partially saturated soil. In Triaxial Testing of Soils and Bitminous Mixtures; Davis, H.E., Holtz, W.G., Housel, W.S., Eds.; ASTM International: West Conshohocken, PA, USA, 1951; pp. 180–191. [Google Scholar]
- Jaeger, J.C. The frictional properties of joints in rock. Geofis. Pura Appl. 1959, 43, 148–158. [Google Scholar] [CrossRef]
- Ripley, C.F.; Lee, K.L. Sliding friction tests on sedimentary rock specimens. In Proceedings of the 7th International Congress on Large Dams, Rome, Italy, 26 June–1 July 1961; pp. 657–671. [Google Scholar]
- Withers, J.H. Sliding Resistance Along Discontinuities in Rock Masses. Ph.D. Thesis, University of Illinois at Urbana-Champaign, Champaign, IL, USA, 1964. [Google Scholar]
- Kovari, K.; Tisa, A. Multiple failure state and strain controlled triaxial tests. Rock Mech. Rock Eng. 1975, 7, 17–33. [Google Scholar] [CrossRef]
- Kim, M.M.; Ko, H.-Y. Multistage triaxial testing of rocks. ASTM Geotech. Test. J. 1979, 2, 98–105. [Google Scholar] [CrossRef]
- Hungr, O.; Coates, D.F. Deformability of joints and its relation to rock foundation settlements. Can. Geotech. J. 1978, 15, 239–249. [Google Scholar] [CrossRef]
- Day, J.J.; Diederichs, M.S.; Hutchinson, D.J. New direct shear testing protocols and analyses for fractures and healed intrablock rockmass discontinuities. Eng. Geol. 2017, 229, 53–72. [Google Scholar] [CrossRef]
- Packulak, T.R.M. Laboratory Investigation of Shear Behaviour in Rock Joints under Varying Boundary Conditions. Master’s Thesis, Department of Geological Sciences and Geological Engineering, Queen’s University, Kingston, ON, Canada, 2018. Available online: https://qspace.library.queensu.ca/handle/1974/24827 (accessed on 1 June 2022).
- Younkin, G.W. Industrial servo control systems fundamentals and applications. In Revised and Expanded, 2nd ed.; Marcel Dekker Inc: New York, NY, USA, 2003; p. 384. [Google Scholar]
- Obert, L.; Brady, B.T.; Schmechel, F.W. The Effect of Normal Stiffness on the Shear Resistance of Rock. Rock Mech. 1976, 8, 57–72. [Google Scholar] [CrossRef]
- Heuze, F.E. Dilatant Effects of Rock Joints. In Proceedings of the 4th International Congress on Rock Mechanics, Montreux, Switzerland, 2–8 September 1979; pp. 169–175. [Google Scholar]
- Indraratna, B.; Haque, A.; Aziz, N. Shear behaviour of idealized infilled joints under constant normal stiffness. Géotechnique 1999, 49, 331–355. [Google Scholar] [CrossRef]
- Saeb, S.; Amadei, B. Modelling rock joints under shear and normal loading. Int. J. Rock Mech. Min. Sci. Geomech. Abstr. 1992, 29, 267–278. [Google Scholar] [CrossRef]
- Skinas, C.A.; Bandis, S.C.; Demiris, C.A. Experimental investigation and modelling of rock joint behaviour under constant stiffness. In Proceedings of the International Symposium on Rock Joints, Loen, Norway, 4–6 June 1990; pp. 301–308. [Google Scholar]
- Barton, N.; Bandis, S. Effect of block size on the shear behavior of jointed rocks. In Proceedings of the 23rd U.S. Symposium on Rock Mechanics, Berkeley, CA, USA, 25–27 August 1982; pp. 739–760. [Google Scholar]
- Liu, Q.; Tian, Y.; Liu, D.; Jiang, Y. Updates to JRC-JCS model for estimating the peak shear strength of rock joints based on quantified surface description. Eng. Geol. 2017, 228, 282–300. [Google Scholar] [CrossRef]
- Plesha, M.E. Constitutive models for rock discontinuities with dilatancy and surface degradation. Int. J. Numer. Anal. Methods Geomech. 1987, 11, 345–362. [Google Scholar] [CrossRef]
- Homand, F.; Belem, T.; Souley, M. Friction and degradation of rock joint surfaces under shear loads. Int. J. Numer. Anal. Methods Geomech. 2001, 25, 973–999. [Google Scholar] [CrossRef]
- Grasselli, G.; Egger, P. Constitutive law for the shear strength of rock joints based on three-dimensional surface parameters. Int. J. Rock Mech. Min. Sci. 2003, 40, 25–40. [Google Scholar] [CrossRef]
- Asadollahi, P.; Tonon, F. Constitutive model for rock fractures: Revisiting Barton’s empirical model. Eng. Geol. 2010, 113, 11–32. [Google Scholar] [CrossRef]
- Ohnishi, Y.; Dharmaratne, P.G.R. Shear behaviour of physical models of rock joints under constant normal stiffness conditions. In Proceedings of the International Symposium on Rock Joints, Loen, Norway, 4–6 June 1990; pp. 267–273. [Google Scholar]
- Shrivastava, A.K.; Rao, K.S. Shear behaviour of rock joints under CNL and CNS boundary conditions. Geotech. Geol. Eng. 2015, 33, 1205–1220. [Google Scholar] [CrossRef]
- Thirukumaran, S.; Indraratna, B. A review of shear strength models for rock joints subjected to constant normal stiffness. J. Rock Mech. Geo. Eng. 2016, 8, 405–414. [Google Scholar] [CrossRef]
- Haque, A.; Indraratna, B. Experimental and Numerical Modelling of Shear Behaviour of Rock Joints. In Proceedings of the ISRM International Symposium, Melbourne, Victoria, Australia, 19–24 November 2000. [Google Scholar]
- Bahaaddini, M.; Sharrock, G.; Hebblewhite, B.K. Numerical direct shear tests to model the shear behaviour of rock joints. Comput. Geotech. 2013, 51, 101–115. [Google Scholar] [CrossRef]
- Nguyen, V.M.; Konietzky, H.; Frühwirt, T. New Methodology to Characterize Shear Behaviour of Joints by Combination of Direct Shear Box Testing and Numerical Simulations. Geotech. Geol. Eng. 2014, 32, 829–846. [Google Scholar] [CrossRef]
- Coulomb, C.A. Essai sur une Application des Règles de Maximis & Minimis à Quelques Problèmes de Statique, Relatifs à L’architecture; De l’Imprimerie Royale: Paris, France, 1776; Volume 7, pp. 343–382. [Google Scholar]
- Patton, F.D. Multiple Modes of Shear Failure in Rock and Related and Related Materials. Ph.D. Thesis, University of Illinois, Geology, Champaign, IL, USA, 1966. [Google Scholar]
- Ghazvinian, A.H.; Azinfar, M.J.; Geranmayeh Vaneghi, R. Importance of Tensile Strength on the Shear Behavior of Discontinuities. Rock Mech. Rock Eng. 2012, 45, 349–359. [Google Scholar] [CrossRef]
- Yang, J.; Rong, F.; Hou, D.; Peng, J.; Zhou, C. Experimental Study on Peak Shear Strength Criterion for Rock Joints. Rock Mech. Rock Eng. 2016, 49, 821–835. [Google Scholar] [CrossRef]
- Patton, F.D. Multiple modes of shear failure in rock. In Proceedings of the 1st International Society for Rock Mechanics, Lisbon, Portugal, 25 September–1 October 1966; Volume 1, pp. 509–513. [Google Scholar]
- Newland, P.L.; Allely, B.H. Volume changes in drained triaxial tests on granular materials. Géotechnique 1957, 7, 17–34. [Google Scholar] [CrossRef]
- Wyllie, D.C.; Mah, C.W. Rock Slope Engineering: Civil and Mining, 4th ed.; Spon Press: Taylor and Francis Group: New York, NY, USA, 2004. [Google Scholar]
- Barton, N.; Bandis, S.; Bakhtar, K. Strength, deformation and conductivity coupling of rock Joints. Int. J. Rock Mech. Min. Sci. Geomech. Abstr. 1985, 22, 121–140. [Google Scholar] [CrossRef]
- Barton, N.; Oslo, A. Details Related to the Ten JRC Profiles and Further Work. Researchgate. 2021. Available online: https://www.researchgate.net/publication/354657828_Details_related_to_the_ten_JRC_profiles_and_further_work (accessed on 25 July 2022).
- Deere, D.U.; Miller, R. Engineering Classification and Index Properties for Intact Rock; Technical Report No. AFWL-TR-65-116; University of Illinois: Urbana, IL, USA, 1966; p. 327. [Google Scholar]
- Barton, N.R.; Bandis, S.C. Characterization and modelling of the shear strength, stiffness and hydraulic behaviour of rock joints for engineering purposes. In Rock Mechanics and Engineering Volume 1, 1st ed.; CRC Press: London, UK, 2017; p. 39. [Google Scholar]
- Pratt, H.R.; Black, A.D.; Brace, W.F. Friction and deformation of jointed quartz diorite. In Proceedings of the 3rd Congress of the International Society for Rock Mechanics, Denver, CO, USA, 1–7 September 1974; pp. 306–310. [Google Scholar]
- Bandis, S. Experimental Studies of Scale Effects on Shear Strength, and Deformation of Rock Joints. Ph.D. Thesis, Department of Earth Sciences, University of Leeds, Leeds, UK, 1980. [Google Scholar]
- Bandis, S.; Lumsden, A.C.; Barton, N. Experimental studies of scale effects on the shear behaviour of rock joints. Int. J. Rock Mech. Min. Sci. Geomech. Abstr. 1981, 18, 1–21. [Google Scholar] [CrossRef]
- Barton, N. Modelling Rock Joint Behavior from In Situ Block Tests: Implications for Nuclear Waste Repository Design; Technical Report; ONWI-308; Terra Tek Inc.: Columbus, OH, USA, 1982. [Google Scholar]
- Itasca Consulting Group Ltd. UDEC Version 7.00.77. 2022. Available online: https://www.itasca.ca/software/UDEC (accessed on 14 May 2022).
- Li, Y.; Song, L.; Jiang, Q.; Yang, C.; Liu, C.; Yang, B. Shearing performance of natural matched joints with different wall strengths under direct shearing tests. ASTM Geotech. Test. J. 2018, 41, 20160315. [Google Scholar] [CrossRef]
- Goodman, R.E. The mechanical properties of joints. In Proceedings of the 3rd Congress of the International Society for Rock Mechanics, Denver, CO, USA, 1–7 September 1974; pp. 1–7. [Google Scholar]
- Swan, G. Determination of stiffness and other joint properties from roughness measurements. Rock Mech. Rock Eng. 1983, 16, 19–38. [Google Scholar] [CrossRef]
- Evans, K.; Kohl, T.; Rybach, L.; Hopkirk, R. The effects of fracture normal compliance on the long term circulation behavior of a hot dry rock reservoir: A parameter study using the new fully-coupled code FRACture. In Proceedings of the Annual Meeting of the Geothermal Resources Council, San Diego, CA, USA, 4–7 October 1992; Volume 16, pp. 449–456. [Google Scholar]
- Zangerl, C.; Evans, K.F.; Eberhardt, E.; Loew, S. Normal stiffness of fractures in granitic rock: A compilation of laboratory and in-situ experiments. Int. J. Rock Mech. Min. Sci. 2008, 45, 1500–1507. [Google Scholar] [CrossRef]
- Bandis, S.C.; Lumsden, A.C.; Barton, N.R. Fundamentals of rock joint deformation. Int. J. Rock Mech. Min. Sci. Geomech. Abstr. 1983, 20, 249–268. [Google Scholar] [CrossRef]
- Packulak, T.R.M.; Day, J.J.; Ahmed Labeid, M.T.; Diederichs, M.S. New data processing protocols to isolate fracture deformations to measure normal and shear joint stiffness. Rock Mech. Rock Eng. 2022, 55, 2631–2650. [Google Scholar] [CrossRef]
- Goodman, R.E. The deformability of joints. In Proceedings of the Determination of the In Situ Modulus of Deformation of Rock, ASTM STP 477, American Society for Testing Materials Winter Meeting, Denver, CO, USA, February 1969; pp. 174–196. [Google Scholar]
- Clough, G.W.; Duncan, J.M. Finite Element Analyses of Port Allen and Old River Locks; Contract Report S-69-6; U.S. Army Engineer Waterways Experiment Station: Vicksburg, MI, USA, 1969. [Google Scholar]
- Barton, N.R. A relationship between joint roughness and joint shear strength. In Proceedings of the Symposium of the International Society for Rock Mechanics and Rock Fracture, Paper I-8, Nancy, France, 4–6 October 1971; p. 20. [Google Scholar]
- Amadei, B.; Wibowo, J.; Sture, S.; Price, R.H. Applicability of existing models to predict the behavior of replicas of natural fractures of welded tuff under different boundary conditions. Geotech. Geol. Eng. 1998, 16, 79–128. [Google Scholar] [CrossRef]
- Barton, N.R. A Model Study of the Behaviour of Steep Excavated Rock Slopes. Ph.D. Thesis, University of London, London, UK, 1971. [Google Scholar]
- Krsmanović, D. Initial and Residual Shear Strength of Hard Rocks. Géotechnique 1967, 17, 145–160. [Google Scholar] [CrossRef]
- Johnston, I.W.; Lam, T.S.K. Shear Behaviour of Regular Triangular Concrete/Rock Joints—Analysis. J. Geotech. Eng. 1989, 115, 711–727. [Google Scholar] [CrossRef]
- Gentier, S.; Riss, J.; Archambault, G.; Flamand, R.; Hopkins, D. Influence of fracture geometry on shear behaviour. Int. J. Rock Mech. Min. Sci. 2000, 37, 161–174. [Google Scholar] [CrossRef]
- Pender, M.J. Prefailure Joint Dilatancy and the Behaviour of a Beam with Vertical Joints. Rock Mech. Rock Eng. 1985, 18, 253–266. [Google Scholar] [CrossRef]
- Archambault, G.; Gentier, S.; Riss, J.; Flamand, R. The evolution of void spaces (permeability) in relation with rock joint shear behaviour. Int. J. Rock Mech. Min. Sci. 1997, 34, 14.e1–14.e15. [Google Scholar] [CrossRef]
- Nguyen, T.S.; Selvadurai, A.P.S. A model for coupled mechanical and hydraulic behaviour of a rock joint. Int. J. Numer. Anal. Meth. Geomech. 1998, 22, 29–48. [Google Scholar] [CrossRef]
- Esaki, T.; Du, S.; Mitani, Y.; Ikusada, K.; Jing, L. Development of a shear-flow test apparatus and determination of coupled properties for a single rock joint. Int. J. Rock Mech. Min. Sci. 1999, 36, 641–650. [Google Scholar] [CrossRef]
- Hans, J.; Boulon, M. A new device for investigating the hydro-mechanical properties of rock joints. Int. J. Numer. Anal. Meth. Geomech. 2003, 27, 513–548. [Google Scholar] [CrossRef]
- Min, K.B.; Rutqvist, J.; Tsang, C.F.; Jing, L. Stress-dependent permeability of fractured rock masses: A numerical study. Int. J. Rock Mech. Min. Sci. 2004, 41, 1191–1210. [Google Scholar] [CrossRef]
- Barton, N. Non-linear shear strength descriptions are still needed in petroleum geomechanics, despite 50 years of linearity. In Proceedings of the 50th U.S. Rock Mechanics/Geomechanics Symposium, Houston, TX, USA, 26–29 June 2016; p. 12. [Google Scholar]
- Li, B.; Bau, R.; Wang, Y.; Liu, R.; Zhao, C. Permeability Evolution of Two Dimensional Fracture Networks During Shear Under Constant Normal Stiffness Boundary Conditions. Rock Mech. Rock Eng. 2021, 54, 409–428. [Google Scholar] [CrossRef]
- Hencher, S.; Richards, L.R. The basic frictional resistance of sheeting joints in Hong Kong granite. Hong Kong Eng. 1982, 11, 21–25. [Google Scholar]
- Muralha, J. Rock joint shear tests. methods, results and relevance for design. In Proceedings of the ISRM International Symposium—Eurock 2012, Stockholm, Sweden, 28–30 May 2012. [Google Scholar]
- Leal-Gomes, M.J.A. Some reflections for an alternative rock mass joint strength model. In Proceedings of the 7th National Geotechnical Congress, Porto, Portugal, 10–13 April 2000; pp. 221–228. (In Portuguese). [Google Scholar]
- Leal-Gomes, M.J.A.; Dinis-da-Gama, C. New insights on the geomechanical concept of joint roughness. In Proceedings of the 11th Congress of the International Society for Rock Mechanics, Lisbon, Portugal, 9–13 July 2007; Taylor & Francis Group: London, UK, 2007; pp. 347–350. [Google Scholar]
- Mogi, K. Pressure Dependence of Rock Strength and Transition from Brittle Fracture to Ductile Flow; Bull Earthquake Research Institute, Tokyo University: Tokyo, Japan, 1966; Volume 44, pp. 215–232. [Google Scholar] [CrossRef]
- Byerlee, J.D. Brittle-ductile transition in rocks. J. Geophys. Res. 1966, 73, 4741–4750. [Google Scholar] [CrossRef]
- Hoek, E. Practical Rock Engineering. Rocscience. 2023. Available online: https://www.rocscience.com/learning/hoeks-corner (accessed on 15 June 2022).






















| Major Findings/Contributions | References |
|---|---|
| Suggested carrying out multi-stage direct shear testing programs using a different normal load for the first stage. This allows the results from the first stage to be used by themselves to define peak shear strength envelopes. | [13,14] |
| Developed an alternative direct shear testing procedure, referred to as the limited displacement multi-stage direct shear test (LDMDS), in efforts to improve multi-stage direct shear testing. | [11,12] |
| Evaluated the limitations involved with peak shear strength measurements and interpreted shear strength parameters when following a multi-stage direct shear testing procedure with repositioning as published by the ASTM and ISRM. Results demonstrated a decrease in peak shear strength with subsequent stages when compared to single-stage results. This impacts the interpreted Mohr–Coulomb shear strength parameters by overestimating the cohesion and underestimating the joint friction angle. | [11,12,18,19] |
| Compared the peak shear strength and interpreted Mohr–Coulomb shear strength parameters of LDMDS vs. multi-stage vs. single-stage direct shear testing procedures. Results demonstrated an improvement in defining peak shear strength parameters for LDMDS testing when compared to multi-stage testing and using single-stage results for comparative purposes. | [11,12,18,19] |
| Evaluated the impact on direct shear testing results when following a multi-stage direct shear testing procedure without repositioning as published by the ASTM and ISRM. Results demonstrated that multi-stage direct shear testing with repositioning is far more accurate than multi-stage without repositioning. | [17,18] |
| Utilized the suggestions from [13,14]. Findings demonstrated that the selection of the initial normal stress along with the magnitude of normal stress increase (or decrease) for each stage will impact the interpreted Mohr–Coulomb shear strength parameters. | [17,18] |
| When following a multi-stage direct shear testing procedure in a descending order (beginning with the highest normal stress for stage 1 and decreasing with each stage), the interpreted Mohr–Coulomb failure envelope will have a lower cohesion and higher friction angle as opposed to a higher cohesion and lower friction angle when following an ascending order. | [17] |
Disclaimer/Publisher’s Note: The statements, opinions and data contained in all publications are solely those of the individual author(s) and contributor(s) and not of MDPI and/or the editor(s). MDPI and/or the editor(s) disclaim responsibility for any injury to people or property resulting from any ideas, methods, instructions or products referred to in the content. |
© 2023 by the authors. Licensee MDPI, Basel, Switzerland. This article is an open access article distributed under the terms and conditions of the Creative Commons Attribution (CC BY) license (https://creativecommons.org/licenses/by/4.0/).
Share and Cite
MacDonald, N.R.; Packulak, T.R.M.; Day, J.J. A Critical Review of Current States of Practice in Direct Shear Testing of Unfilled Rock Fractures Focused on Multi-Stage and Boundary Conditions. Geosciences 2023, 13, 172. https://doi.org/10.3390/geosciences13060172
MacDonald NR, Packulak TRM, Day JJ. A Critical Review of Current States of Practice in Direct Shear Testing of Unfilled Rock Fractures Focused on Multi-Stage and Boundary Conditions. Geosciences. 2023; 13(6):172. https://doi.org/10.3390/geosciences13060172
Chicago/Turabian StyleMacDonald, Nicholas R., Timothy R. M. Packulak, and Jennifer J. Day. 2023. "A Critical Review of Current States of Practice in Direct Shear Testing of Unfilled Rock Fractures Focused on Multi-Stage and Boundary Conditions" Geosciences 13, no. 6: 172. https://doi.org/10.3390/geosciences13060172
APA StyleMacDonald, N. R., Packulak, T. R. M., & Day, J. J. (2023). A Critical Review of Current States of Practice in Direct Shear Testing of Unfilled Rock Fractures Focused on Multi-Stage and Boundary Conditions. Geosciences, 13(6), 172. https://doi.org/10.3390/geosciences13060172

