Weaning Ages Do Not Affect the Overall Growth or Carcass Traits of Hu Sheep
Simple Summary
Abstract
1. Introduction
2. Materials and Methods
2.1. Animals, Feeds and Experimental Design
2.2. Sample Collection and Performance Measurement
2.3. Blood Analysis
2.4. Ruminal Fermentation Characteristics
2.5. Ruminal Morphological Analysis
2.6. Analysis of Carcass Traits and Meat Quality
2.7. Statistical Analyses
3. Results
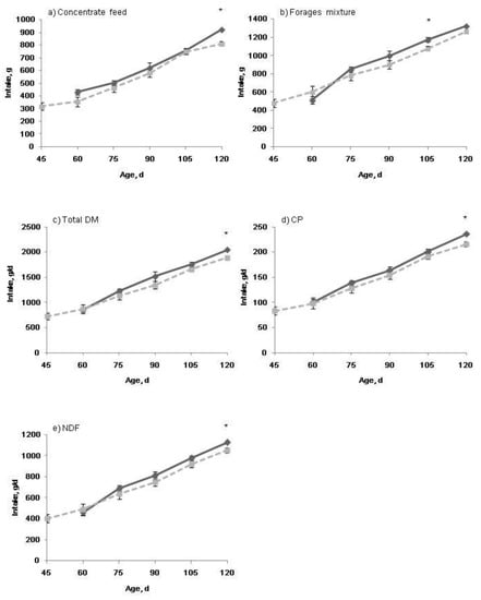
3.1. Feed Intake and BW Gain
3.2. Plasma Variables
3.3. Rumen Development and Fermentation Profiles
3.4. Carcass Traits and Meat Quality
4. Discussion
4.1. Feed Intake and BW Gain
4.2. Rumen Development and Fermentation
4.3. Carcass Traits and Meat Quality
5. Conclusions
Author Contributions
Funding
Acknowledgments
Conflicts of Interest
References
- Holcombe, D.W.; Krysl, L.J.; Judkins, M.B.; Hallford, D.M. Growth performance, serum hormones, and metabolite responses before and after weaning in lambs weaned at 42 days of age: Effect of preweaning milk and postweaning alfalfa or grass hay diets. J. Anim. Sci. 1992, 70, 403–411. [Google Scholar] [CrossRef] [PubMed]
- Özcan, M.; Altinel, A.; Yilmaz, A.; Günes, H. Studies on the possibility of improving lamb production by two-way and three-way crossbreeding with german black-headed mutton, kivircik and chios sheep breeds 1. Fertility, lamb survival and growth of lambs. Turk. J. Vet. Anim. Sci. 2001, 25, 687–694. [Google Scholar]
- Bhatt, R.S.; Tripathi, M.K.; Verma, D.L.; Karim, S.A. Effect of different feeding regimes on pre-weaning growth rumen fermentation and its influence on post-weaning performance of lambs. J. Anim. Physiol. Anim. Nutr. 2009, 93, 568–576. [Google Scholar] [CrossRef] [PubMed]
- Myers, S.E.; Faulkner, D.B.; Ireland, F.A.; Berger, L.L.; Parrett, D.F. Production systems comparing early weaning to normal weaning with or without creep feeding for beef steers. J. Anim. Sci. 1999, 77, 300–310. [Google Scholar] [CrossRef]
- Myers, S.E.; Faulkner, D.B.; Ireland, F.A.; Parrett, D.F. Comparison of three weaning ages on cow-calf performance and steer carcass traits. J. Anim. Sci. 1999, 77, 323–329. [Google Scholar] [CrossRef] [PubMed]
- Ward, G.A.A.; Tawila, M.A.; Sawsan, M.; Gad, A.A.; Abedo, G.; El-Naggar, S. Effect of weaning age on lamb’s performance. World J. Agric. Sci. 2008, 4, 569–573. [Google Scholar]
- Khan, M.A.; Bach, A.; Weary, D.M.; von Keyserlingk, M.A.G. Invited review: Transitioning from milk to solid feed in dairy heifers. J. Dairy Sci. 2016, 99, 885–902. [Google Scholar] [CrossRef]
- Yang, B.; He, B.; Wang, S.S.; Liu, J.X.; Wang, J.K. Early supplementation of starter pellets with alfalfa improves the performance of pre- and postweaning Hu lambs. J. Anim. Sci. 2015, 93, 4984–4994. [Google Scholar] [CrossRef]
- Mao, H.L.; Wang, C.; Yu, Z.T. Dietary leucine supplementation enhances the health of early weaned Hu lambs. Anim. Feed Sci. Technol. 2019, 247, 248–254. [Google Scholar] [CrossRef]
- Hu, W.L.; Liu, J.X.; Ye, J.A.; Wu, Y.M.; Guo, Y.Q. Effect of tea saponin on rumen fermentation in vitro. Anim. Feed Sci. Technol. 2005, 120, 333–339. [Google Scholar] [CrossRef]
- Makkar, H.P.S.; Becker, K. Purine quantification in digesta from ruminants by spectrophotometric and HPLC methods. Br. J. Nutr. 1999, 81, 107–113. [Google Scholar] [CrossRef] [PubMed]
- Aksakal, V.; Macit, M.; Esenbuga, N. Effects of various ages of weaning on growth characteristics, survival rate and some body measurements of Awassi lambs. J. Anim. Vet. Adv. 2009, 8, 1624–1630. [Google Scholar]
- Baldwin, R.L., VI; McLeod, K.R.; Klotz, J.L.; Heitmann, R.N. Rumen development, intestinal growth and hepatic metabolism in the pre- and postweaning ruminant. J. Dairy Sci. 2004, 87 (Suppl. E), 55–65. [Google Scholar] [CrossRef]
- Bunting, L.D.; Tarifa, T.A.; Crochet, B.T.; Fernandez, J.M.; Depew, C.L.; Lovejoy, J.C. Effects of dietary inclusion of chromiun propionate and calcium propionate on glucose disposal and gastrointestinal development in dairy calves. J. Dairy Sci. 2000, 3, 2491–2498. [Google Scholar] [CrossRef]
- Warner, R.G.; Flatt, W.P.; Loosli, J.K. Dietary factors influencing the development of the ruminant stomach. J. Agric. Food Chem. 1956, 4, 788–792. [Google Scholar] [CrossRef]
- Žitňan, R.; Voigt, J.; Wegner, J.; Breves, G.; Schröder, B.; Winckler, C.; Levkut, M.; Kokardová, M.; Schönhusen, U.; Kuhla, S.; et al. Morphological and functional development of the rumen in the calf: Influence of the time of weaning. Arch. Anim. Nutr. 1999, 52, 351–362. [Google Scholar] [CrossRef]
- Nemati, M.; Amanlou, H.; Khorvash, M.; Moshiri, B.; Mirzari, M.; Khan, M.A.; Ghaffari, M.H. Rumen fermentation, blood metabolites, and growth performance of calves during transition from liquid to solid feed: Effects of dietary level and particle size of alfalfa hay. J. Dairy Sci. 2015, 98, 7131–7141. [Google Scholar] [CrossRef] [PubMed]
- Stobo, I.J.F.; Roy, J.H.B.; Gaston, H.J. Rumen development in the calf. 1. The effect of diets containing different proportions of concentrates to hay on rumen development. Br. J. Nutr. 1966, 20, 171–188. [Google Scholar] [CrossRef]
- Kehoe, S.I.; Dechow, C.D.; Heinrichs, A.J. Effects of weaning age and milk feeding frequency on dairy calf growth, health and rumen parameters. Livest. Sci. 2007, 110, 267–272. [Google Scholar] [CrossRef]
- Giesecke, D.; Beck, U.; Wiesmayr, S.; Stangassinger, M. The effect of rumen epithelial development on metabolic activities and ketogenesis by the tissue in vitro. Comp. Biochem. Physiol. B 1979, 62, 459–463. [Google Scholar] [CrossRef]
- Hammon, H.M.; Schiessler, G.; Nussbaum, A.; Blum, J.W. Feed intake patterns, growth performance, and metabolic and endocrine traits in calves fed unlimited amounts of colostrum and milk by automate, starting in the neonatal period. J. Dairy Sci. 2002, 85, 3352–3362. [Google Scholar] [CrossRef]
- Sander, E.G.; Warner, H.N.; Harrison, H.N.; Loosli, J.K. The stimulatory effect of sodium butyrate and sodium propionate on the development of rumen mucosa in the young calf. J. Dairy Sci. 1959, 42, 1600–1605. [Google Scholar] [CrossRef]
- Heinrichs, A.J. Rumen development in the dairy calf. Adv. Dairy Technol. 2005, 17, 179–187. [Google Scholar]
- Mao, H.L.; Xia, Y.F.; Tu, Y.; Wang, C.; Diao, Q.Y. Effects of various weaning times on growth performance, rumen fermentation and microbial population of yellow cattle calves. Asian-Australas. J. Anim. Sci. 2017, 30, 1557–1562. [Google Scholar] [CrossRef] [PubMed]
- Hungate, R.E. The Rumen and Its Microbes; Academic Press: New York, NY, USA, 1966. [Google Scholar]
- Bryant, M.P.; Robinson, I.M. Apparent incorporation of ammonia and amino acid carbon during growth of selected species of ruminai bacteria. J. Dairy Sci. 1963, 46, 150–154. [Google Scholar] [CrossRef]
- Lewis, D. Amino acid metabolism in the rumen of sheep. Br. J. Nutr. 1955, 9, 215–230. [Google Scholar] [CrossRef]
- Deng, K.P.; Fan, Y.X.; Ma, T.W.; Wang, Z.; TanTai, W.J.; Nie, H.T.; Guo, Y.X.; Yu, X.Q.; Sun, L.W.; Wang, F. Carcass traits, meat quality, antioxidant status and antioxidant gene expression in muscle and liver of Hu lambs fed perilla seed. J. Anim. Physiol. Anim. Nutr. 2017, 102, e828–e837. [Google Scholar] [CrossRef]



| Variables b | Treatments c | SEM | p-Value | |
|---|---|---|---|---|
| W30 | W45 | |||
| Biochemical | ||||
| TP, g/L | 38.0 | 48.2 | 3.75 | 0.113 |
| ALB, g/L | 23.2 | 27.6 | 3.98 | 0.480 |
| TG, mmol/L | 1.09 | 1.72 | 0.322 | 0.229 |
| T-CHO, mmol/L | 2.12 | 1.74 | 0.482 | 0.618 |
| LDL-C, mmol/L | 2.38 | 0.61 | 0.497 | 0.064 |
| BUN, mg/L | 367 | 181 | 36.7 | 0.027 |
| Blood ammonia, µmol/L | 196 | 159 | 21.8 | 0.769 |
| Antioxidant | ||||
| T-AOC, U/mL | 3.95 | 3.91 | 0.647 | 0.452 |
| SOD, U/mL | 33.4 | 42.3 | 3.22 | 0.107 |
| GSH-PX, U/mL | 201 | 317 | 22.9 | 0.270 |
| MDA, nmol/mL | 4.55 | 5.48 | 1.002 | 0.342 |
| CAT, U/mL | 1.08 | 3.88 | 0.548 | 0.358 |
| Immune parameters | ||||
| D-lactate, ng/mL | 1024 | 950 | 20.5 | 0.064 |
| Interleukin-6, pg/mL | 143 | 152 | 4.76 | 0.256 |
| Cortisol, ng/mL | 33.2 | 33.0 | 1.97 | 0.924 |
| Growth hormone, ng/mL | 20.9 | 22.2 | 0.59 | 0.184 |
| IGF, ng/mL | 90.4 | 92.2 | 4.35 | 0.763 |
| TNF-α, ng/mL | 307 | 305 | 6.0 | 0.821 |
| Variables | Treatments b | SEM | p-Value | |
|---|---|---|---|---|
| W30 | W45 | |||
| Papillae length, µm | 581 | 985 | 67.2 | 0.017 |
| Papillae width, µm | 323 | 369 | 32.0 | 0.369 |
| VFA Concentration, mg/g | ||||
| Total | 1.58 | 2.50 | 0.370 | 0.203 |
| Acetate | 0.72 | 1.52 | 0.235 | 0.097 |
| Propionate | 0.82 | 0.94 | 0.182 | 0.715 |
| Butyrate | 0.04 | 0.05 | 0.005 | 0.581 |
| VFA Molar proportion, mM/100 mM | ||||
| Acetate | 53.0 | 69.2 | 2.07 | 0.011 |
| Propionate | 45.0 | 29.5 | 2.12 | 0.013 |
| Butyrate | 1.93 | 1.29 | 0.217 | 0.160 |
| Ammonia N, mg/L | 6.51 | 3.66 | 0.988 | 0.117 |
| Microbial protein, mg/ml | 17.4 | 14.1 | 0.70 | 0.045 |
| Variables | Treatments b | SEM | p-value | |
|---|---|---|---|---|
| W30 | W45 | |||
| Carcass characteristics | ||||
| Body weight, kg | 23.7 | 26.4 | 1.35 | 0.190 |
| Carcass weight, kg | 10.0 | 11.3 | 0.59 | 0.160 |
| Dressing percent, % | 42.2 | 42.8 | 0.56 | 0.718 |
| Meat quality | ||||
| GR, cm | 1.08 | 1.02 | 0.113 | 0.477 |
| Drip loss | ||||
| 24 h | 7.55 | 5.55 | 0.680 | 0.272 |
| 48 h | 10.3 | 8.13 | 1.244 | 0.277 |
© 2019 by the authors. Licensee MDPI, Basel, Switzerland. This article is an open access article distributed under the terms and conditions of the Creative Commons Attribution (CC BY) license (http://creativecommons.org/licenses/by/4.0/).
Share and Cite
Mao, H.; Wang, C.; Yu, Z. Weaning Ages Do Not Affect the Overall Growth or Carcass Traits of Hu Sheep. Animals 2019, 9, 356. https://doi.org/10.3390/ani9060356
Mao H, Wang C, Yu Z. Weaning Ages Do Not Affect the Overall Growth or Carcass Traits of Hu Sheep. Animals. 2019; 9(6):356. https://doi.org/10.3390/ani9060356
Chicago/Turabian StyleMao, Huiling, Chong Wang, and Zhongtang Yu. 2019. "Weaning Ages Do Not Affect the Overall Growth or Carcass Traits of Hu Sheep" Animals 9, no. 6: 356. https://doi.org/10.3390/ani9060356
APA StyleMao, H., Wang, C., & Yu, Z. (2019). Weaning Ages Do Not Affect the Overall Growth or Carcass Traits of Hu Sheep. Animals, 9(6), 356. https://doi.org/10.3390/ani9060356

