Prognostic Insights in Feline Mammary Carcinomas: Clinicopathological Factors and the Proposal of a New Staging System
Simple Summary
Abstract
1. Introduction
2. Materials and Methods
2.1. Case Selection
2.2. Data Collection
2.3. Current Clinical Staging System
2.4. Proposal for a New Staging System
2.5. Follow-Up and Survival Endpoints
2.6. Statistical Analysis
3. Results
3.1. Epidemiological Data
3.2. Tumor Characteristics
3.3. Clinical Staging System
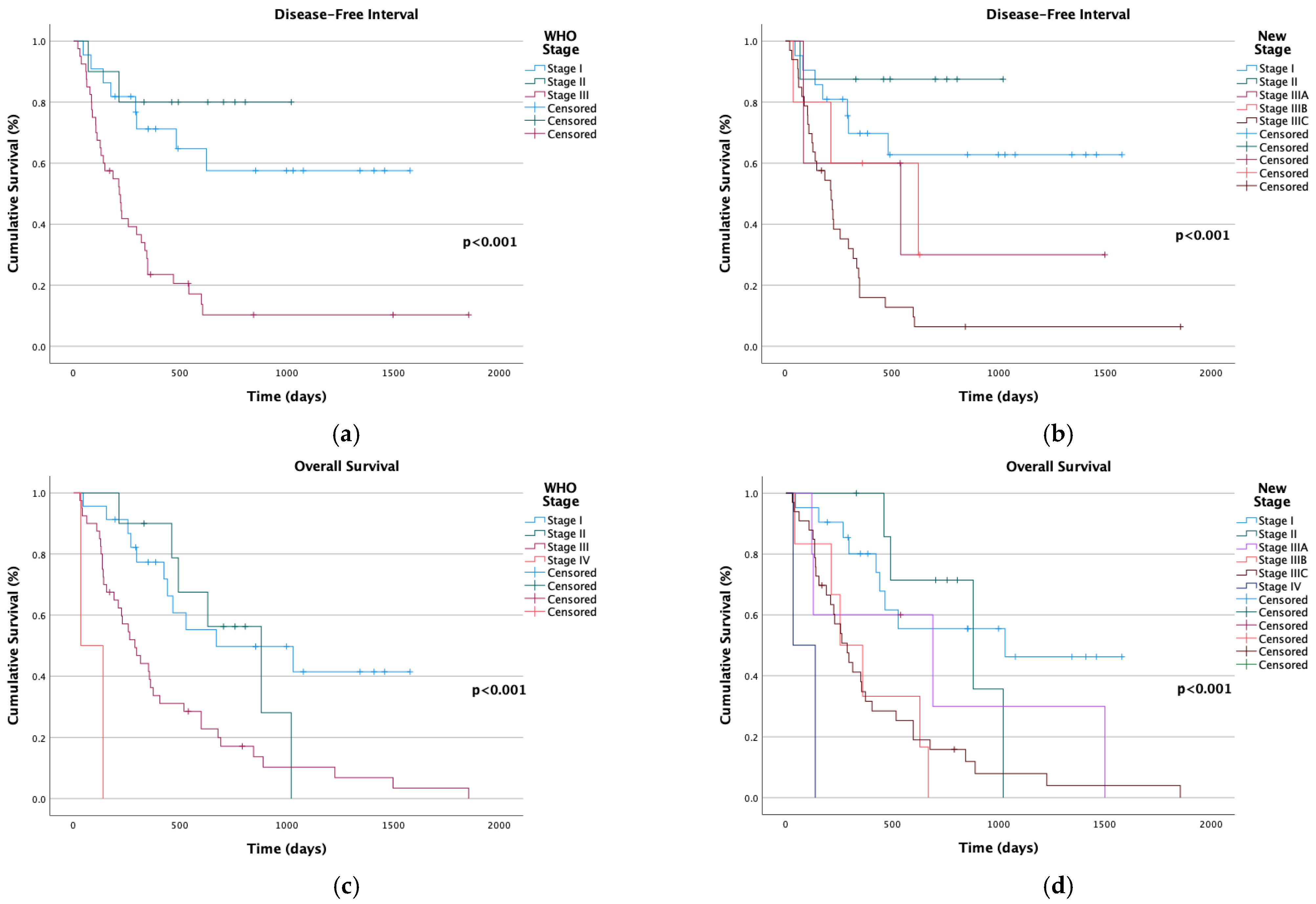
3.4. Survival Analyses
4. Discussion
5. Conclusions
Author Contributions
Funding
Institutional Review Board Statement
Informed Consent Statement
Data Availability Statement
Conflicts of Interest
Abbreviations
| AJCC | American Joint Committee on Cancer |
| DFI | Disease-free interval |
| FMCs | Feline mammary carcinomas |
| HR | Hazard ratio |
| IIIA | Stage T3N0M0, for tumors larger than 3 cm without lymph node involvement |
| IIIB | Stage T4N0M0, for tumors of any size with direct extension to surrounding tissues (e.g., chest wall, abdominal wall, or skin, including ulceration) |
| IIIC | Stage IIIC (Any TN1M0) for cases with regional lymph node metastases |
| NS | New staging |
| OS | Overall survival |
| T1 | Cranial thoracic mammary gland |
| T2 | Caudal thoracic mammary gland |
| A1 | Cranial abdominal mammary gland |
| A2 | Caudal abdominal mammary gland |
| T1 | Tumor size <2cm |
| T2 | Tumor size 2-3 cm |
| T3 | Tumor size >3cm |
| T4 | Tumors of any size with direct extension to the chest wall, abdominal wall and/or skin ulceration. This stage also includes inflammatory mammary carcinomas |
| TNM | Tumor–node–metastasis |
| WHO | World Health Organization |
References
- Pinello, K.; Pires, I.; Castro, A.F.; Carvalho, P.T.; Santos, A.; De Matos, A.; Queiroga, F.; Canadas-Sousa, A.; Dias-Pereira, P.; Catarino, J.; et al. Cross Species Analysis and Comparison of Tumors in Dogs and Cats, by Age, Sex, Topography and Main Morphologies. Data from Vet-OncoNet. Vet. Sci. 2022, 9, 167. [Google Scholar] [CrossRef] [PubMed]
- Hayes, H.; Milne, K.; Mandell, C. Epidemiological Features of Feline Mammary Carcinoma. Vet. Rec. 1981, 108, 476–479. [Google Scholar] [CrossRef] [PubMed]
- Manuali, E.; Forte, C.; Vichi, G.; Genovese, D.A.; Mancini, D.; De Leo, A.A.P.; Cavicchioli, L.; Pierucci, P.; Zappulli, V. Tumours in European Shorthair Cats: A Retrospective Study of 680 Cases. J. Feline Med. Surg. 2020, 22, 1095–1102. [Google Scholar] [CrossRef]
- Pickard Price, P.; Stell, A.; O’Neill, D.; Church, D.; Brodbelt, D. Epidemiology and Risk Factors for Mammary Tumours in Female Cats. J. Small Anim. Pract. 2023, 64, 313–320. [Google Scholar] [CrossRef] [PubMed]
- Giugliano, R.; Dell’Anno, F.; De Paolis, L.; Crescio, M.I.; Ciccotelli, V.; Vivaldi, B.; Razzuoli, E. Mammary Gland, Skin and Soft Tissue Tumors in Pet Cats: Findings of the Feline Tumors Collected from 2002 to 2022. Front. Vet. Sci. 2024, 11, 1320696. [Google Scholar] [CrossRef]
- Dorn, C.R.; Taylor, D.O.; Frye, F.L.; Hibbard, H.H. Survey of Animal Neoplasms in Alameda and Contra Costa Counties, California. I. Methodology and Description of Cases. J. Natl. Cancer Inst. 1968, 40, 295–305. [Google Scholar]
- Egenvall, A.; Bonnett, B.N.; Häggström, J.; Holst, B.S.; Möller, L.; Nødtvedt, A. Morbidity of Insured Swedish Cats during 1999–2006 by Age, Breed, Sex, and Diagnosis. J. Feline Med. Surg. 2010, 12, 948–959. [Google Scholar] [CrossRef]
- Vascellari, M.; Baioni, E.; Ru, G.; Carminato, A.; Mutinelli, F. Animal Tumour Registry of Two Provinces in Northern Italy: Incidence of Spontaneous Tumours in Dogs and Cats. BMC Vet. Res. 2009, 5, 39. [Google Scholar] [CrossRef]
- Sorenmo, K.U.; Worley, D.R.; Zappulli, V. Tumors of the Mammary Gland. In Withrow and MacEwen’s Small Animal Clinical Oncology, 6th ed.; Vail, D.M., Thamm, D.H., Liptak, J.M., Eds.; Elsevier: St. Louis, MO, USA, 2020; pp. 615–620. ISBN 978-0-323-59496-7. [Google Scholar]
- Misdorp, W.; Romijn, A.; Hart, A. Feline Mammary Tumors: A Case-Control Study of Hormonal Factors. Anticancer Res. 1991, 11, 1793–1797. [Google Scholar]
- Overley, B.; Shofer, F.S.; Goldschmidt, M.H.; Sherer, D.; Sorenmo, K.U. Association between Ovarihysterectomy and Feline Mammary Carcinoma. Vet. Intern. Med. 2005, 19, 560–563. [Google Scholar] [CrossRef]
- Dagher, E.; Abadie, J.; Loussouarn, D.; Campone, M.; Nguyen, F. Feline Invasive Mammary Carcinomas: Prognostic Value of Histological Grading. Vet. Pathol. 2019, 56, 660–670. [Google Scholar] [CrossRef] [PubMed]
- Zappulli, V.; Rasotto, R.; Caliari, D.; Mainenti, M.; Peña, L.; Goldschmidt, M.H.; Kiupel, M. Prognostic Evaluation of Feline Mammary Carcinomas: A Review of the Literature. Vet. Pathol. 2015, 52, 46–60. [Google Scholar] [CrossRef] [PubMed]
- Ruple, A.; Bonnett, B.N.; Page, R.L. 4—Epidemiology and the Evidence-Based Medicine Approach. In Withrow and MacEwen’s Small Animal Clinical Oncology, 6th ed.; Vail, D.M., Thamm, D.H., Liptak, J.M., Eds.; W.B. Saunders: Philadelphia, PA, USA, 2019; pp. 81–97. ISBN 9780323594967. Available online: https://www.sciencedirect.com/science/article/pii/B9780323594967000049 (accessed on 4 February 2025).
- Chocteau, F.; Boulay, M.-M.; Besnard, F.; Valeau, G.; Loussouarn, D.; Nguyen, F. Proposal for a Histological Staging System of Mammary Carcinomas in Dogs and Cats. Part 2: Feline Mammary Carcinomas. Front. Vet. Sci. 2019, 6, 387. [Google Scholar] [CrossRef]
- Petrucci, G.N.; Henriques, J.; Gregório, H.; Vicente, G.; Prada, J.; Pires, I.; Lobo, L.; Medeiros, R.; Queiroga, F. Metastatic Feline Mammary Cancer: Prognostic Factors, Outcome and Comparison of Different Treatment Modalities—A Retrospective Multicentre Study. J. Feline Med. Surg. 2021, 23, 549–556. [Google Scholar] [CrossRef]
- Kulkarni, V.; Tsigelny, I.F.; Kouznetsova, V.L. Implementation of Machine Learning-Based System for Early Diagnosis of Feline Mammary Carcinomas through Blood Metabolite Profiling. Metabolites 2024, 14, 501. [Google Scholar] [CrossRef]
- Guimarães, J.C.M.; Petrucci, G.; Prada, J.; Pires, I.; Queiroga, F.L. Immunohistochemical Expression and Prognostic Value of COX-2 and Alpha-Smooth Muscle Actin-Positive Cancer-Associated Fibroblasts in Feline Mammary Cancer. In Vivo 2024, 38, 598–605. [Google Scholar] [CrossRef]
- Ito, T.; Kadosawa, T.; Mochizuki, M.; Matsunaga, S.; Nishimura, R.; Sasaki, N. Prognosis of Malignant Mammary Tumor in 53 Cats. J. Vet. Med. Sci. 1996, 58, 723–726. [Google Scholar] [CrossRef]
- Mills, S.W.; Musil, K.M.; Davies, J.L.; Hendrick, S.; Duncan, C.; Jackson, M.L.; Kidney, B.; Philibert, H.; Wobeser, B.K.; Simko, E. Prognostic Value of Histologic Grading for Feline Mammary Carcinoma: A Retrospective Survival Analysis. Vet. Pathol. 2015, 52, 238–249. [Google Scholar] [CrossRef] [PubMed]
- Seixas, F.; Palmeira, C.; Pires, M.A.; Bento, M.J.; Lopes, C. Grade Is an Independent Prognostic Factor for Feline Mammary Carcinomas: A Clinicopathological and Survival Analysis. Vet. J. 2011, 187, 65–71. [Google Scholar] [CrossRef]
- Viste, J.R.; Myers, S.L.; Singh, B.; Simko, E. Feline Mammary Adenocarcinoma: Tumor Size as a Prognostic Indicator. Aust. Vet. J. 2002, 80, 748. [Google Scholar] [CrossRef]
- Weijer, K.; Hart, A.A.M. Prognostic Factors in Feline Mammary Carcinoma. JNCI J. Natl. Cancer Inst. 1983, 70, 709–716. [Google Scholar] [CrossRef] [PubMed]
- Gemignani, F.; Mayhew, P.D.; Giuffrida, M.A.; Palaigos, J.; Runge, J.J.; Holt, D.E.; Robertson, N.A.; Seguin, B.; Walker, M.; Singh, A.; et al. Association of Surgical Approach with Complication Rate, Progression-Free Survival Time, and Disease-Specific Survival Time in Cats with Mammary Adenocarcinoma: 107 Cases (1991–2014). J. Am. Vet. Med. Assoc. 2018, 252, 1393–1402. [Google Scholar] [CrossRef]
- Frénel, J.; Nguyen, F. Mammary Carcinoma: Comparative Oncology between Small Animals and Humans—New Therapeutic Tools. Reprod. Domest. Anim. 2023, 58, 102–108. [Google Scholar] [CrossRef]
- Vilela, T.; Valente, S.; Correia, J.; Ferreira, F. Advances in Immunotherapy for Breast Cancer and Feline Mammary Carcinoma: From Molecular Basis to Novel Therapeutic Targets. Biochim. Et Biophys. Acta (BBA)—Rev. Cancer 2024, 1879, 189144. [Google Scholar] [CrossRef]
- Sommerville, L.; Howard, J.; Evans, S.; Kelly, P.; McCann, A. Comparative Gene Expression Study Highlights Molecular Similarities between Triple Negative Breast Cancer Tumours and Feline Mammary Carcinomas. Vet. Comp. Oncol. 2022, 20, 535–538. [Google Scholar] [CrossRef]
- Gameiro, A.; Urbano, A.; Ferreira, F. Emerging Biomarkers and Targeted Therapies in Feline Mammary Carcinoma. Vet. Sci. 2021, 8, 164. [Google Scholar] [CrossRef]
- Hernández, I.B.; Kromhout, J.Z.; Teske, E.; Hennink, W.E.; Van Nimwegen, S.A.; Oliveira, S. Molecular Targets for Anticancer Therapies in Companion Animals and Humans: What Can We Learn from Each Other? Theranostics 2021, 11, 3882–3897. [Google Scholar] [CrossRef] [PubMed]
- Kobayashi, Y.; Hashizume, H.; Takiguchi, S.; Ji, J.; Kawano, R.; Koiwai, K.; Yamamoto, H.; Elbadawy, M.; Omatsu, T.; Abugomaa, A.; et al. A Microfluidics Platform for Simultaneous Evaluation of Sensitivity and Side Effects of Anti-Cancer Drugs Using a Three-Dimensional Culture Method. Sci. Rep. 2025, 15, 39. [Google Scholar] [CrossRef] [PubMed]
- Owaki, K.; Murakami, M.; Kato, K.; Hirata, A.; Sakai, H. Reduction of Phosphorylated Signal Transducer and Activator of Transcription-5 Expression in Feline Mammary Carcinoma. J. Vet. Med. Sci. 2024, 86, 816–823. [Google Scholar] [CrossRef]
- Adega, F.; Borges, A.; Chaves, R. Cat Mammary Tumors: Genetic Models for the Human Counterpart. Vet. Sci. 2016, 3, 17. [Google Scholar] [CrossRef]
- Cannon, C. Cats, Cancer and Comparative Oncology. Vet. Sci. 2015, 2, 111–126. [Google Scholar] [CrossRef]
- Cardoso, F.; Paluch-Shimon, S.; Senkus, E.; Curigliano, G.; Aapro, M.S.; André, F.; Barrios, C.H.; Bergh, J.; Bhattacharyya, G.S.; Biganzoli, L.; et al. 5th ESO-ESMO International Consensus Guidelines for Advanced Breast Cancer (ABC 5). Ann. Oncol. 2020, 31, 1623–1649. [Google Scholar] [CrossRef] [PubMed]
- Cardoso, F.; Kyriakides, S.; Ohno, S.; Penault-Llorca, F.; Poortmans, P.; Rubio, I.T.; Zackrisson, S.; Senkus, E. Early Breast Cancer: ESMO Clinical Practice Guidelines for Diagnosis, Treatment and Follow-Up. Ann. Oncol. 2019, 30, 1194–1220. [Google Scholar] [CrossRef]
- Gourgou-Bourgade, S.; Cameron, D.; Poortmans, P.; Asselain, B.; Azria, D.; Cardoso, F.; A’Hern, R.; Bliss, J.; Bogaerts, J.; Bonnefoi, H.; et al. Guidelines for Time-to-Event End Point Definitions in Breast Cancer Trials: Results of the DATECAN Initiative (Definition for the Assessment of Time-to-Event Endpoints in CANcer Trials). Ann. Oncol. 2015, 26, 873–879. [Google Scholar] [CrossRef] [PubMed]
- Di Teodoro, G.; Cito, F.; Salini, R.; Baffoni, M.; Defourny, S.V.P.; Cocco, A.; D’Alterio, N.; Palmieri, C.; Petrini, A. Pathology-Based Animal Cancer Registry of Abruzzo and Molise Regions (Central Italy): A Ten-Year Retrospective Study (2014–2023). Vet. Sci. 2024, 11, 521. [Google Scholar] [CrossRef]
- Webster, J.D.; Dennis, M.M.; Dervisis, N.; Heller, J.; Bacon, N.J.; Bergman, P.J.; Bienzle, D.; Cassali, G.; Castagnaro, M.; Cullen, J.; et al. Recommended Guidelines for the Conduct and Evaluation of Prognostic Studies in Veterinary Oncology. Vet. Pathol. 2011, 48, 7–18. [Google Scholar] [CrossRef] [PubMed]
- Matos, A.J.F.; Baptista, C.S.; Gärtner, M.F.; Rutteman, G.R. Prognostic Studies of Canine and Feline Mammary Tumours: The Need for Standardized Procedures. Vet. J. 2012, 193, 24–31. [Google Scholar] [CrossRef]
- Owen, L.N.; World Health Organization; Veterinary Public Health Unit; WHO Collaborating Center for Comparative Oncology. TNM Classification of Tumours in Domestic Animals, 1st ed.; Owen, L.N., Ed.; World Health Organization: Geneva, Switzerland, 1980. [Google Scholar]
- Edge, S.B.; Byrd, D.R.; Compton, C.C.; Fritz, A.G.; Greene, F.L.; Trotti, A. Breast. In AJCC Cancer Staging Manual, 7th ed.; Springer: Berlin/Heidelberg, Germany, 2010; pp. 345–376. [Google Scholar]
- McNeill, C.J.; Sorenmo, K.U.; Shofer, F.S.; Gibeon, L.; Durham, A.C.; Barber, L.G.; Baez, J.L.; Overley, B. Evaluation of Adjuvant Doxorubicin-Based Chemotherapy for the Treatment of Feline Mammary Carcinoma. Vet. Intern. Med. 2009, 23, 123–129. [Google Scholar] [CrossRef]
- Lana, S. Tumors of the Mammary Gland. In Withrow & MacEwen’s Small Animal Clinical Oncology; Elsevier: Amsterdam, The Netherlands, 2007; pp. 619–636. ISBN 978-0-7216-0558-6. [Google Scholar]
- Sawaki, M.; Shien, T.; Iwata, H. TNM Classification of Malignant Tumors (Breast Cancer Study Group). Jpn. J. Clin. Oncol. 2019, 49, 228–231. [Google Scholar] [CrossRef]
- Song, C.-V.; Van Gils, C.H.; Yip, C.-H.; Soerjomataram, I.; Taib, N.A.M.; See, M.-H.; Lim, A.; Abdul Satar, N.F.; Bhoo-Pathy, N. Discriminatory Ability and Clinical Utility of the AJCC7 and AJCC8 Staging Systems for Breast Cancer in a Middle-Income Setting. Diagnostics 2023, 13, 674. [Google Scholar] [CrossRef]
- Block, G. Evidence-based Veterinary Medicine—Potential, Practice, and Pitfalls. Vet. Intern. Medicne 2024, 38, 3261–3271. [Google Scholar] [CrossRef] [PubMed]
- Fürdös, I.; Fazekas, J.; Singer, J.; Jensen-Jarolim, E. Translating Clinical Trials from Human to Veterinary Oncology and Back. J. Transl. Med. 2015, 13, 265. [Google Scholar] [CrossRef] [PubMed]
- Han, L.; Lee, Y.; Lee, H.; Lee, H.; Lee, J.-I. Overcoming Challenges in Interdisciplinary Collaboration Between Human and Veterinary Medicine. Vet. Sci. 2024, 11, 518. [Google Scholar] [CrossRef] [PubMed]
- Dobson, J.M. Clinical Staging and the TNM Classification. In BSAVA Manual of Canine and Feline Oncology; Dobson, J.M., Lascelles, B.D.X., Eds.; British Small Animal Veterinary Association: Gloucester, UK, 2016; pp. 20–29. ISBN 978-1-905319-21-3. [Google Scholar]
- Giménez, F.; Hecht, S.; Craig, L.E.; Legendre, A.M. Early Detection, Aggressive Therapy: Optimizing the Management of Feline Mammary Masses. J. Feline Med. Surg. 2010, 12, 214–224. [Google Scholar] [CrossRef]
- Elston, C.W.; Ellis, I.O. Pathological Prognostic Factors in Breast Cancer. I. The Value of Histological Grade in Breast Cancer: Experience from a Large Study with Long-Term Follow-Up. Histopathology 1991, 19, 403–410. [Google Scholar] [CrossRef]
- Misdorp, W.; Else, R.W.; Hellmén, E.; Lipscomb, T.P. Histological Classification of Mammary Tumors of the Dog and the Cat. In International Histological Classification of Tumors of Domestic Animals; World Health Organization, Ed.; Armed Forces Institute of Pathology, American Registry of Pathology: Washington, DC, USA, 1999; Volume 7, pp. 11–56. ISBN 978-1-881041-66-5. [Google Scholar]
- Raharison, F.; Sautet, J. Lymph Drainage of the Mammary Glands in Female Cats. J. Morphol. 2006, 267, 292–299. [Google Scholar] [CrossRef]
- Raharison, F.; Sautet, J. The Topography of the Lymph Vessels of Mammary Glands in Female Cats. Anat. Histol. Embryol. 2007, 36, 442–452. [Google Scholar] [CrossRef]
- Borrego, J.F.; Cartagena, J.C.; Engel, J. Treatment of Feline Mammary Tumours Using Chemotherapy, Surgery and a COX-2 Inhibitor Drug (Meloxicam): A Retrospective Study of 23 Cases (2002–2007). Vet. Comp. Oncol. 2009, 7, 213–221. [Google Scholar] [CrossRef]
- Cunha, S.C.; Corgozinho, K.B.; Souza, H.J.; Silva, K.V.; Ferreira, A.M.R. Adjuvant Chemotherapy with Mitoxantrone for Cats with Mammary Carcinomas Treated with Radical Mastectomy. J. Feline Med. Surg. 2015, 17, 1000–1004. [Google Scholar] [CrossRef]
- Meuten, D.J.; Moore, F.M.; Donovan, T.A.; Bertram, C.A.; Klopfleisch, R.; Foster, R.A.; Smedley, R.C.; Dark, M.J.; Milovancev, M.; Stromberg, P.; et al. International Guidelines for Veterinary Tumor Pathology: A Call to Action. Vet. Pathol. 2021, 58, 766–794. [Google Scholar] [CrossRef]
- Rosen, S.; Brisson, B.K.; Durham, A.C.; Munroe, C.M.; McNeill, C.J.; Stefanovski, D.; Sørenmo, K.U.; Volk, S.W. Intratumoral Collagen Signatures Predict Clinical Outcomes in Feline Mammary Carcinoma. PLoS ONE 2020, 15, e0236516. [Google Scholar] [CrossRef] [PubMed]
- Seung, B.-J.; Bae, M.-K.; Sur, J.-H. Regional Variations in and Key Predictors of Feline Tumor Malignancy: A Decade-Long Retrospective Study in Korea. Animals 2024, 14, 2989. [Google Scholar] [CrossRef] [PubMed]
- Souza, F.R.; Moreira, I.S.; Dariva, A.A.; Nakagaki, K.Y.R.; Abreu, C.C.; Balabram, D.; Cassali, G.D. Epidemiologic and Clinicopathological Characterization of Feline Mammary Lesions. Vet. Sci. 2024, 11, 549. [Google Scholar] [CrossRef]
- Laissaoui, N.; Millán, Y.; Simon Betz, D.; El Mrini, M.; Lamalmi, N.; Azrib, R.; Tligui, N. Evaluation of Canine and Feline Tumors in Morocco: Results of a Prospective Observational Study of 250 Cases (2020-2023). Top. Companion Anim. Med. 2024, 63, 100929. [Google Scholar] [CrossRef]
- Seixas, F.; Palmeira, C.; Pires, M.A.; Lopes, C. Mammary Invasive Micropapillary Carcinoma in Cats: Clinicopathologic Features and Nuclear DNA Content. Vet. Pathol. 2007, 44, 842–848. [Google Scholar] [CrossRef]
- Seixas, F.; Pires, M.A.; Lopes, C.A. Complex Carcinomas of the Mammary Gland in Cats: Pathological and Immunohistochemical Features. Vet. J. 2008, 176, 210–215. [Google Scholar] [CrossRef]
- Sorenmo, K.U.; Worley, D.R.; Goldschmidt, M.H. Tumors of the Mammary Gland. In Withrow and MacEwen’s Small Animal Clinical Oncology; Elsevier: Amsterdam, The Netherlands, 2013; pp. 538–556. ISBN 978-1-4377-2362-5. [Google Scholar]
- Morris, J. Mammary Tumours in the Cat: Size Matters, so Early Intervention Saves Lives. J. Feline Med. Surg. 2013, 15, 391–400. [Google Scholar] [CrossRef] [PubMed]
- Dolka, I.; Czopowicz, M.; Stopka, D.; Wojtkowska, A.; Kaszak, I.; Sapierzyński, R. Risk Factor Analysis and Clinicopathological Characteristics of Female Dogs with Mammary Tumours from a Single-Center Retrospective Study in Poland. Sci. Rep. 2024, 14, 5569. [Google Scholar] [CrossRef]
- Del Portillo Miguel, I.; Blackwood, L.; Maiques, E.; Pérez Roger, I.; Poch Jiménez, E.; Borrego, J. Evaluation of the Efficacy and Safety of Toceranib Phosphate in Cats with Macroscopic Mammary Adenocarcinoma. J. Feline Med. Surg. 2024, 26, 1098612X241256473. [Google Scholar] [CrossRef]
- Novosad, C.A.; Bergman, P.J.; O’Brien, M.G.; McKnight, J.A.; Charney, S.C.; Selting, K.A.; Graham, J.C.; Correa, S.S.; Rosenberg, M.P.; Gieger, T.L. Retrospective Evaluation of Adjunctive Doxorubicin for the Treatment of Feline Mammary Gland Adenocarcinoma: 67 Cases. J. Am. Anim. Hosp. Assoc. 2006, 42, 110–120. [Google Scholar] [CrossRef]
- Rodrigues-Jesus, J.; Canadas-Sousa, A.; Santos, M.; Oliveira, P.; Figueira, A.C.; Marrinhas, C.; Petrucci, G.N.; Gregório, H.; Tinoco, F.; Goulart, A.; et al. Level of Necrosis in Feline Mammary Tumors: How to Quantify, Why and for What Purpose? Animals 2024, 14, 3280. [Google Scholar] [CrossRef] [PubMed]
- Rodrigues-Jesus, J.; Canadas-Sousa, A.; Oliveira, P.; Figueira, A.C.; Marrinhas, C.; Petrucci, G.N.; Gregório, H.; Tinoco, F.; Goulart, A.; Felga, H.; et al. Distribution of Inflammatory Infiltrate in Feline Mammary Lesions: Relationship With Clinicopathological Features. Vet. Comp. Oncol. 2024, 22, 398–409. [Google Scholar] [CrossRef] [PubMed]
- Soares, M.; Correia, J.; Peleteiro, M.C.; Ferreira, F. St Gallen Molecular Subtypes in Feline Mammary Carcinoma and Paired Metastases—Disease Progression and Clinical Implications from a 3-Year Follow-up Study. Tumor Biol. 2016, 37, 4053–4064. [Google Scholar] [CrossRef] [PubMed]
- Paphussaro, W.; Roytrakul, S.; Phaonakrop, N.; Buthasane, W.; Rungsipipat, A.; Tharasanit, T.; Suriyaphol, G. Analysis of Serum Peptidome Profiles of Non-Metastatic and Metastatic Feline Mammary Carcinoma Using Liquid Chromatography-Tandem Mass Spectrometry. BMC Vet. Res. 2024, 20, 280. [Google Scholar] [CrossRef]
- Barricklow, Z.; DiVincenzo, M.J.; Angell, C.D.; Carson, W.E. Ulcerated Cutaneous Melanoma: A Review of the Clinical, Histologic, and Molecular Features Associated with a Clinically Aggressive Histologic Phenotype. Clin. Cosmet. Investig. Dermatol. 2022, 15, 1743–1757. [Google Scholar] [CrossRef]
- Gershenwald, J.E.; Scolyer, R.A. Melanoma Staging: American Joint Committee on Cancer (AJCC) 8th Edition and Beyond. Ann. Surg. Oncol. 2018, 25, 2105–2110. [Google Scholar] [CrossRef]
- Güth, U.; Singer, G.; Langer, I.; Schötzau, A.; Herberich, L.; Holzgreve, W.; Wight, E. T4 Category Revision Enhances the Accuracy and Significance of Stage III Breast Cancer. Cancer 2006, 106, 2569–2575. [Google Scholar] [CrossRef]
- Khoury, T.; Gaudioso, C.; Fang, Y.V.; Sanati, S.; Opyrchal, M.; Desouki, M.M.; Karabakhtsian, R.G.; Li, Z.; Wang, D.; Yan, L.; et al. The Role of Skin Ulceration in Breast Carcinoma Staging and Outcome. Breast J. 2018, 24, 41–50. [Google Scholar] [CrossRef]
- Kim, H.J.; Kim, H.J.; Lee, S.B.; Moon, H.-G.; Noh, W.C.; Cho, Y.U.; Yoo, Y.; Ahn, S.H.; Korean Breast Cancer Society. A Proposal for a New Classification of T4 Breast Cancer as Stage IIIC: A Report from the Korean Breast Cancer Society. Breast Cancer Res. Treat. 2015, 153, 153–160. [Google Scholar] [CrossRef]
- Silverman, D.; Ruth, K.; Sigurdson, E.R.; Egleston, B.L.; Goldstein, L.J.; Wong, Y.-N.; Boraas, M.; Bleicher, R.J. Skin Involvement and Breast Cancer: Are T4b Lesions of All Sizes Created Equal? J. Am. Coll. Surg. 2014, 219, 534–544. [Google Scholar] [CrossRef]
- Buracco, P. Mammary Glands. In Feline Soft Tissue and General Surgery; Elsevier: Amsterdam, The Netherlands, 2014; pp. 219–232. ISBN 978-0-7020-4336-9. [Google Scholar]
- Solano-Gallego, L.; Masserdotti, C. Reproductive System. In Canine and Feline Cytopathology; Elsevier: Amsterdam, The Netherlands, 2023; pp. 440–484. ISBN 978-0-323-68368-5. [Google Scholar]
- Pakdeesaneha, T.; Chankow, K.; Techarungchaikul, S.; Thongsima, T.; Kongtia, M.; Tharasanit, T. Comparison of Fine-Needle Aspiration and Core Needle Biopsy for the Pre-Operative Diagnosis of Canine and Feline Mammary Gland Tumours. Vet. Comp. Oncol. 2024, 22, 566–573. [Google Scholar] [CrossRef] [PubMed]
- Castagnaro, M.; Casalone, C.; Bozzetta, E.; De Maria, R.; Biolatti, B.; Caramelli, M. Tumour Grading and the One-Year Post-Surgical Prognosis in Feline Mammary Carcinomas. J. Comp. Pathol. 1998, 119, 263–275. [Google Scholar] [CrossRef] [PubMed]
- Millanta, F.; Citi, S.; Della Santa, D.; Porciani, M.; Poli, A. COX-2 Expression in Canine and Feline Invasive Mammary Carcinomas: Correlation with Clinicopathological Features and Prognostic Molecular Markers. Breast Cancer Res. Treat. 2006, 98, 115–120. [Google Scholar] [CrossRef] [PubMed]
- Bertram, C.A.; Donovan, T.A.; Bartel, A. Mitotic Activity: A Systematic Literature Review of the Assessment Methodology and Prognostic Value in Feline Tumors. Vet. Pathol. 2024, 61, 743–751. [Google Scholar] [CrossRef]
- Millanta, F.; Lazzeri, G.; Mazzei, M.; Vannozzi, I.; Poli, A. MIB-1 Labeling Index in Feline Dysplastic and Neoplastic Mammary Lesions and Its Relationship with Postsurgical Prognosis. Vet. Pathol. 2002, 39, 120–126. [Google Scholar] [CrossRef]
- Brown, M.; Assen, F.P.; Leithner, A.; Abe, J.; Schachner, H.; Asfour, G.; Bago-Horvath, Z.; Stein, J.V.; Uhrin, P.; Sixt, M.; et al. Lymph Node Blood Vessels Provide Exit Routes for Metastatic Tumor Cell Dissemination in Mice. Science 2018, 359, 1408–1411. [Google Scholar] [CrossRef]
- Hassan, B.B.; Elshafae, S.M.; Supsavhad, W.; Simmons, J.K.; Dirksen, W.P.; Sokkar, S.M.; Rosol, T.J. Feline Mammary Cancer: Novel Nude Mouse Model and Molecular Characterization of Invasion and Metastasis Genes. Vet. Pathol. 2017, 54, 32–43. [Google Scholar] [CrossRef] [PubMed]
- Wei, C.; Deng, Y.; Wei, S.; Huang, Z.; Xie, Y.; Xu, J.; Dong, L.; Zou, Q.; Yang, J. Lymphovascular Invasion Is a Significant Risk Factor for Non-Sentinel Nodal Metastasis in Breast Cancer Patients with Sentinel Lymph Node (SLN)-Positive Breast Cancer: A Cross-Sectional Study. World J. Surg. Onc 2023, 21, 386. [Google Scholar] [CrossRef]
- Zhang, Y.; Wang, H.; Zhao, H.; He, X.; Wang, Y.; Wang, H. Prognostic Significance and Value of Further Classification of Lymphovascular Invasion in Invasive Breast Cancer: A Retrospective Observational Study. Breast Cancer Res. Treat. 2024, 206, 397–410. [Google Scholar] [CrossRef]
- Preziosi, R.; Sarli, G.; Benazzi, C.; Mandrioli, L.; Marcato, P.S. Multiparametric Survival Analysis of Histological Stage and Proliferative Activity in Feline Mammary Carcinomas. Res. Vet. Sci. 2002, 73, 53–60. [Google Scholar] [CrossRef]
- Sarli, G.; Sassi, F.; Brunetti, B.; Rizzo, A.; Diracca, L.; Benazzi, C. Lymphatic Vessels Assessment in Feline Mammary Tumours. BMC Cancer 2007, 7, 7. [Google Scholar] [CrossRef] [PubMed]
- Tanabe, S.; Nakadai, T.; Furuoka, H.; Oomachi, T.; Kobayashi, Y.; Omata, Y.; Koyama, T.; Hondo, E.; Uzuka, Y.; Sarashina, T.; et al. Expression of mRNA of Chemokine Receptor CXCR4 in Feline Mammary Adenocarcinoma. Vet. Rec. 2002, 151, 729–733. [Google Scholar] [PubMed]
- Chocteau, F.; Mordelet, V.; Dagher, E.; Loussouarn, D.; Abadie, J.; Nguyen, F. One-year Conditional Survival of Dogs and Cats with Invasive Mammary Carcinomas: A Concept Inspired from Human Breast Cancer. Vet. Comp. Oncol. 2021, 19, 140–151. [Google Scholar] [CrossRef] [PubMed]
- MacEwen, E.G.; Hayes, A.A.; Harvey, H.J.; Patnaik, A.K.; Mooney, S.; Passe, S. Prognostic Factors for Feline Mammary Tumors. J. Am. Vet. Med. Assoc. 1984, 185, 201–204. [Google Scholar] [CrossRef] [PubMed]
- Skorupski, K.A.; Overley, B.; Shofer, F.S.; Goldschmidt, M.H.; Miller, C.A.; Sørenmo, K.U. Clinical Characteristics of Mammary Carcinoma in Male Cats. Vet. Intern. Med. 2005, 19, 52–55. [Google Scholar] [CrossRef]
- Edge, S.B.; Byrd, D.R.; Compton, C.C.; Fritz, A.G.; Greene, F.L.; Trotti, A. 1- Purposes and Principles of Cancer Staging. In AJCC Cancer Staging Manual, 7th ed.; Springer: Berlin/Heidelberg, Germany, 2010; pp. 1–14. [Google Scholar]
- Senkus, E.; Kyriakides, S.; Ohno, S.; Penault-Llorca, F.; Poortmans, P.; Rutgers, E.; Zackrisson, S.; Cardoso, F. Primary Breast Cancer: ESMO Clinical Practice Guidelines for Diagnosis, Treatment and Follow-Up. Ann. Oncol. 2015, 26, v8–v30. [Google Scholar] [CrossRef]
- Waks, A.G.; Winer, E.P. Breast Cancer Treatment: A Review. JAMA 2019, 321, 288. [Google Scholar] [CrossRef]
- SEER*Explorer Application. Available online: https://seer.cancer.gov/statistics-network/explorer/application.html?site=55&data_type=4&graph_type=5&compareBy=stage&chk_stage_104=104&series=age_range&chk_age_range_1=1&chk_age_range_9=9&chk_age_range_141=141&chk_age_range_157=157&sex=3&race=1&advopt_precision=1&advopt_show_ci=on&hdn_view=0&advopt_show_apc=on&advopt_display=2#resultsRegion0 (accessed on 20 July 2024).
- Bellera, C.A.; Pulido, M.; Gourgou, S.; Collette, L.; Doussau, A.; Kramar, A.; Dabakuyo, T.S.; Ouali, M.; Auperin, A.; Filleron, T.; et al. Protocol of the Definition for the Assessment of Time-to-Event Endpoints in CANcer Trials (DATECAN) Project: Formal Consensus Method for the Development of Guidelines for Standardised Time-to-Event Endpoints’ Definitions in Cancer Clinical Trials. Eur. J. Cancer 2013, 49, 769–781. [Google Scholar] [CrossRef]
- Wood, C.J.; Chu, M.L.; Selmic, L.E.; Mayhew, P.D.; Holt, D.E.; Martano, M.; Séguin, B.; Singh, A.; Boston, S.E.; Lux, C.; et al. Effect of Perioperative Desmopressin in Cats with Mammary Carcinoma Treated with Bilateral Mastectomy. Vet. Comp. Oncol. 2021, 19, 724–734. [Google Scholar] [CrossRef]
- Engel, J.; Eckel, R.; Halfter, K.; Schubert-Fritschle, G.; Hölzel, D. Breast Cancer: Emerging Principles of Metastasis, Adjuvant and Neoadjuvant Treatment from Cancer Registry Data. J. Cancer Res. Clin. Oncol. 2023, 149, 721–735. [Google Scholar] [CrossRef]
- Molnár, A.; Horkovics-Kováts, G.S.; Kucsma, N.; Szegő, Z.; Tauber, B.; Egri, A.; Szkupien, Z.; Deák, B.A.; McKenzie, J.S.; Thuróczy, J.; et al. Characterisation of Canine and Feline Breast Tumours, Their Metastases, and Corresponding Primary Cell Lines Using LA-REIMS and DESI-MS Imaging. Int. J. Mol. Sci. 2024, 25, 7752. [Google Scholar] [CrossRef] [PubMed]


| WHO Stage | New Staging | ||
|---|---|---|---|
| I | T1 N0 M0 | I | T1 N0 M0 |
| II | T2 N0 M0 | II | T2 N0 M0 |
| III | T1 or 2 N1 M0 T3 N0 or N1 M0 | IIIA | T3 N0 M0 |
| IIIB | T4 N0 M0 | ||
| IIIC | Any T N1 M0 | ||
| IV | Any T Any N M1 | IV | Any T Any N M1 |
| Clinicopathological Variables | n (%) | |
|---|---|---|
| Number of lesions (n = 75) | Single | 35 (46.7) |
| Multiple | 40 (53.3) | |
| Anatomic location (n = 71) | Thoracic | 23 (32.4) |
| Abdominal | 29 (40.8) | |
| Combined | 19 (26.8) | |
| Tumor size (cm) (n = 75) | T1—<2 cm | 36 (48.0) |
| T2—≥2–<3 cm | 16 (21.3) | |
| T3—≥3 | 23 (30.7) | |
| Ulceration (n = 75) | Absent | 61 (81.3) |
| Present | 14 (18.7) | |
| Histological type (n = 75) | Tubulopapillary C. | 43 (57.3) |
| Solid C. | 15 (20.0) | |
| Cribriform C. | 9 (12.0) | |
| Micropapillary C. | 4 (5.3) | |
| Others | 4 (5.3) | |
| Histological grade (n = 75) | I | 9 (12.0) |
| II | 28 (37.3) | |
| III | 38 (50.7) | |
| Lymphovascular invasion (n = 75) | Absent | 48 (64.0) |
| Present | 27 (36.0) | |
| Lymph node metastasis (n = 75) | Absent | 41 (54.7) |
| Present | 34 (45.3) | |
| Metastasized lymph node (n = 34) | Axillary | 10 (29.4) |
| Superficial inguinal | 21 (61.8) | |
| Both | 3 (8.8) | |
| Distant metastasis (n = 75) | Absent | 73 (97.0) |
| Present | 2 (3.0) | |
| Disease-Free-Interval (Days) | Overall Survival (Days) | |||||||||
|---|---|---|---|---|---|---|---|---|---|---|
| n | Median (d) | Cumulative Survival (%) | p | n | Median (d) | Cumulative Survival (%) | p | |||
| Variables | 500 d | 1000 d | 500 d | 1000 d | ||||||
| Age (years) | 0.829 | 0.427 | ||||||||
| ≤11 | 38 | 348 | 42.2 | 28.2 | 41 | 518 | 51.9 | 25.5 | ||
| >11 | 34 | 318 | 42.4 | *** | 34 | 374 | 34.6 | 24.3 | ||
| Number of lesions | 0.524 | 0.689 | ||||||||
| Single | 34 | 348 | 43.3 | 38.9 | 35 | 374 | 42.1 | 28.3 | ||
| Multiple | 38 | 291 | 40.7 | 28.5 | 40 | 466 | 45.9 | 24.3 | ||
| Anatomic Location | 0.698 | 0.714 | ||||||||
| Thoracic | 23 | 348 | 43.5 | 37.3 | 23 | 461 | 49.4 | 28.2 | ||
| Abdominal | 27 | 318 | 40.4 | 26.9 | 29 | 356 | 41.4 | 20.7 | ||
| Combined | 18 | 226 | 33.7 | 33.7 | 19 | 405 | 32.1 | 16.0 | ||
| Tumor Size (cm) | 0.003 | <0.001 | ||||||||
| T1 (<2) | 36 | 318 | 35.3 | 30.9 | 36 | 466 | 47.8 | 30.7 | ||
| T2 (≥2 and <3) | 15 | *** | 80.0 | 62.2 | 16 | 890 | 67.7 | 40.6 | ||
| T3 (≥3) | 21 | 129 | 23.8 | 15.9 | 23 | 141 | 21.7 | 5.4 | ||
| Ulceration | 0.010 | 0.001 | ||||||||
| Absent | 59 | 469 | 46.2 | 36.5 | 61 | 492 | 49.8 | 29.0 | ||
| Present | 13 | 129 | 23.1 | 0 | 14 | 141 | 21.4 | 0 | ||
| Type of surgery | 0.160 | 0.555 | ||||||||
| Regional | 37 | 296 | 31.3 | 22.3 | 38 | 374 | 37.1 | 15.9 | ||
| Unilateral | 25 | 482 | 49.6 | 38.6 | 27 | 461 | 48.6 | 31.9 | ||
| Bilateral | 10 | *** | 60.0 | 60.0 | 10 | 630 | 57.1 | 34.3 | ||
| Histological type | 0.430 | 0.437 | ||||||||
| Tubulopapillary C. | 42 | 348 | 46.8 | 40.1 | 43 | 466 | 48.5 | 27.7 | ||
| Micropapillary C. | 4 | 212 | 25.0 | 0 | 4 | 225 | 25.0 | 0 | ||
| Solid C. | 14 | 226 | 26.8 | 0 | 15 | 405 | 38.1 | 0 | ||
| Cribriform C. | 9 | 296 | 41.7 | *** | 9 | 296 | 41.7 | 41.7 | ||
| Others | 3 | 541 | *** | 0 | 4 | 45 | 50.0 | 0 | ||
| Histological grade | <0.001 | <0.001 | ||||||||
| I | 9 | *** | 100 | 100 | 9 | 1500 | 100 | 100 | ||
| II | 28 | *** | 54.9 | 41.2 | 28 | 492 | 48.4 | 18.5 | ||
| III | 35 | *** | 17.3 | 8.7 | 38 | 225 | 27.6 | 12.6 | ||
| LVI | <0.001 | <0.001 | ||||||||
| Absent | 47 | 606 | 57.8 | 45.7 | 48 | 678 | 58.2 | 39.0 | ||
| Present | 25 | 215 | 11.4 | 0 | 27 | 263 | 19.8 | 0 | ||
| Lymph node metastasis | <0.001 | <0.001 | ||||||||
| Absent | 39 | *** | 67.7 | 59.2 | 41 | 670 | 58.0 | 41.3 | ||
| Present | 33 | 215 | 12.8 | 6.4 | 34 | 263 | 27.7 | 7.7 | ||
| Distant metastasis | 0.699 | <0.001 | ||||||||
| Absent | 70 | 344 | 41.6 | 32.8 | 73 | 461 | 45.4 | 25.8 | ||
| Present | 2 | 185 | 50.0 | 0 | 2 | 34 | 0 | 0 | ||
| WHO staging | <0.001 | <0.001 | ||||||||
| I | 22 | *** | 64.8 | 57.6 | 23 | 670 | 60.8 | 49.7 | ||
| II | 10 | *** | 80 | *** | 10 | 881 | 67.5 | 28.1 | ||
| III | 40 | 215 | 20.6 | 10.3 | 40 | 288 | 31.2 | 10.3 | ||
| IV | n/a | n/a | n/a | n/a | 2 | 34 | 0 | 0 | ||
| New staging | <0.001 | <0.001 | ||||||||
| I | 21 | *** | 62.8 | *** | 21 | 1031 | 61.6 | 55.5 | ||
| II | 8 | *** | 87.5 | *** | 8 | 881 | 71.4 | 35.7 | ||
| IIIA | 5 | 541 | 60 | 30 | 5 | 691 | 60 | 30 | ||
| IIIB | 5 | 624 | 60 | 0 | 6 | 255 | 33.3 | 0 | ||
| IIIC | 33 | 215 | 12.8 | 6.4 | 33 | 288 | 28.5 | 7.9 | ||
| IV | n/a | n/a | n/a | n/a | 2 | 34 | 0 | 0 | ||
| Adjuvant treatment | 0.092 | 0.612 | ||||||||
| No | 44 | 624 | 54.1 | 46.9 | 47 | 361 | 42.9 | 34.7 | ||
| Yes | 28 | 318 | 24.1 | 14.4 | 28 | 466 | 47.0 | 10.9 | ||
| Local recurrence | n/a | 0.022 | ||||||||
| No | n/a | n/a | n/a | n/a | 52 | 492 | 48.9 | 35.2 | ||
| Yes | n/a | n/a | n/a | n/a | 23 | 356 | 34.8 | 6.5 | ||
| Distant metastases | n/a | <0.001 | ||||||||
| No | n/a | n/a | n/a | n/a | 33 | 1031 | 76.0 | 57.4 | ||
| Yes | n/a | n/a | n/a | n/a | 42 | 257 | 21.4 | 3.6 | ||
| Variable | Disease-Free-Interval | Overall Survival | ||||
|---|---|---|---|---|---|---|
| HR | 95% CI | p | HR | 95% CI | p | |
| WHO Stage | <0.001 | <0.001 | ||||
| I | 1 | - | 1 | |||
| II | 0.261 | 0.120–0.570 | 0.001 | 1.248 | 0.458–3.403 | 0.665 |
| III | 0.130 | 0.031–0.545 | 0.005 | 3.087 | 1.562–6.104 | 0.001 |
| IV | n/a | n/a | n/a | 23.171 | 4.607–116.553 | <0.001 |
| New Stage * | 0.001 | |||||
| I | 1 | - | 1 | - | ||
| II | 0.322 | 0.04–2.620 | 0.290 | 1.118 | 0.341–3.665 | 0.854 |
| IIIA | 2.080 | 0.536–8.064 | 0.289 | 2.100 | 0.642–6.873 | 0.220 |
| IIIB | 1.932 | 0.499–7.473 | 0.340 | 4.390 | 1.526–12.627 | 0.006 |
| IIIC | 4.622 | 2.007–10.641 | <0.001 | 3.819 | 1.795–8.125 | 0.001 |
| IV | n/a | n/a | n/a | 28.186 | 5.442–145.980 | <0.001 |
Disclaimer/Publisher’s Note: The statements, opinions and data contained in all publications are solely those of the individual author(s) and contributor(s) and not of MDPI and/or the editor(s). MDPI and/or the editor(s) disclaim responsibility for any injury to people or property resulting from any ideas, methods, instructions or products referred to in the content. |
© 2025 by the authors. Licensee MDPI, Basel, Switzerland. This article is an open access article distributed under the terms and conditions of the Creative Commons Attribution (CC BY) license (https://creativecommons.org/licenses/by/4.0/).
Share and Cite
Monteiro, M.; Petrucci, G.; Queiroga, F.L. Prognostic Insights in Feline Mammary Carcinomas: Clinicopathological Factors and the Proposal of a New Staging System. Animals 2025, 15, 779. https://doi.org/10.3390/ani15060779
Monteiro M, Petrucci G, Queiroga FL. Prognostic Insights in Feline Mammary Carcinomas: Clinicopathological Factors and the Proposal of a New Staging System. Animals. 2025; 15(6):779. https://doi.org/10.3390/ani15060779
Chicago/Turabian StyleMonteiro, Mónica, Gonçalo Petrucci, and Felisbina L. Queiroga. 2025. "Prognostic Insights in Feline Mammary Carcinomas: Clinicopathological Factors and the Proposal of a New Staging System" Animals 15, no. 6: 779. https://doi.org/10.3390/ani15060779
APA StyleMonteiro, M., Petrucci, G., & Queiroga, F. L. (2025). Prognostic Insights in Feline Mammary Carcinomas: Clinicopathological Factors and the Proposal of a New Staging System. Animals, 15(6), 779. https://doi.org/10.3390/ani15060779

