Daily Gain, Feed Conversion, and Rumen Fermentation in Finishing Steers Fed a Total Mixed Ration Supplemented with a Blend of Essential Oils, Tannins, and Bioflavonoids or Monensin †
Simple Summary
Abstract
1. Introduction
2. Materials and Methods
2.1. Experimental Design and Feeding Management
2.2. Dry Matter Intake, Average Daily Gain, and Feed Conversion Efficiency
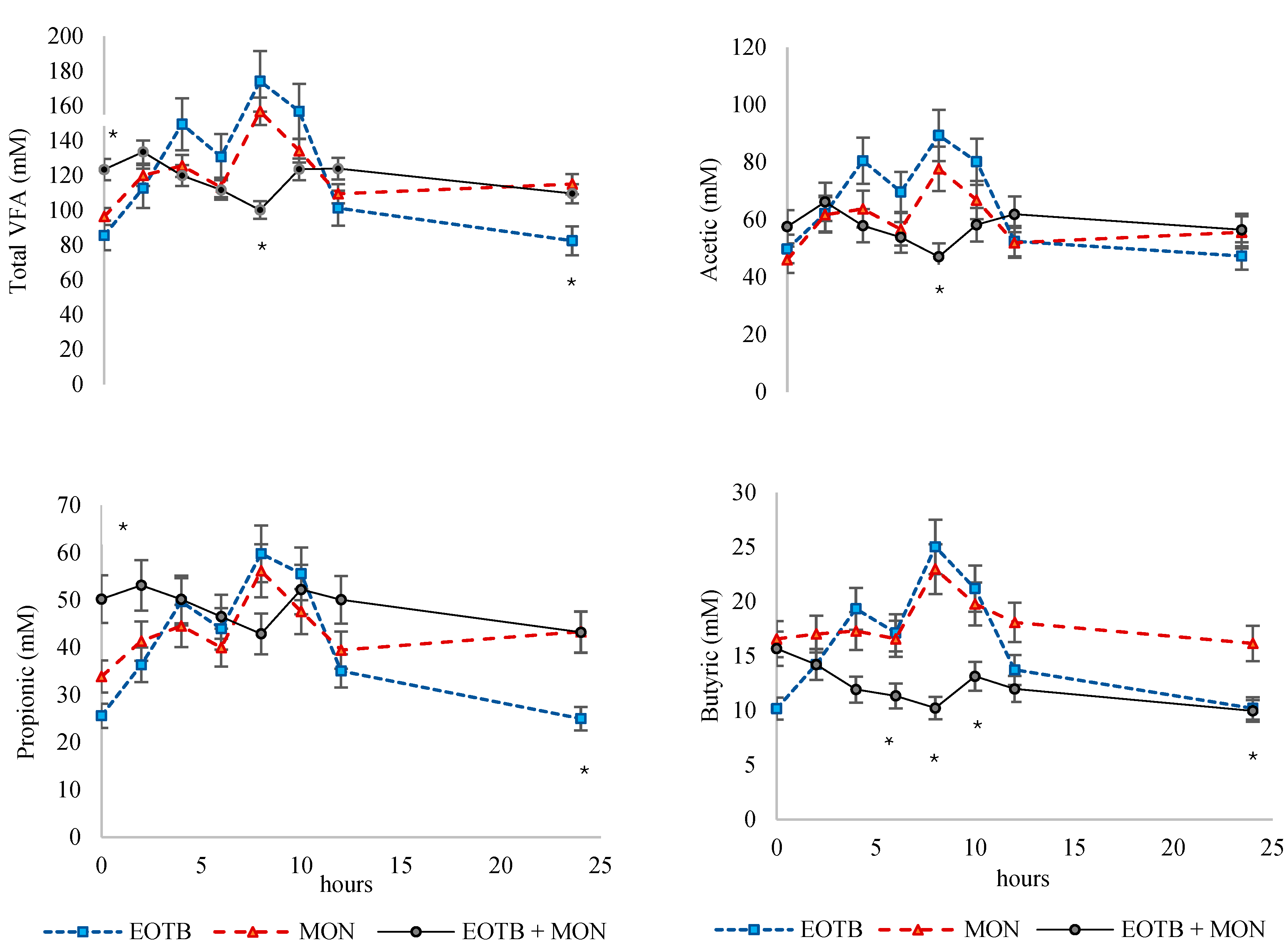
2.3. Ruminal Environment
2.4. Chemical Analysis of Feeds
2.5. Statistical Analysis
3. Results
4. Discussion
5. Conclusions
Author Contributions
Funding
Institutional Review Board Statement
Informed Consent Statement
Data Availability Statement
Acknowledgments
Conflicts of Interest
Abbreviations
| ADF | acid detergent fiber |
| ADG | average daily gain |
| BW | body weight |
| CP | crude protein |
| GCG | ground corn grain |
| DM | dry matter |
| DMI | dry matter intake |
| EOs | essential oils |
| EOTB | essential oil tannin blend |
| EOTB + MON | combination of EOTB and MON |
| FCR | feed conversion ratio |
| HPLC | High-Performance Liquid Chromatography |
| MON | monensin |
| TMR | total mixed ration |
| VFAs | volatile fatty acids |
References
- Brown, M.S.; Ponce, C.H.; Pulikanti, R. Adaptation of Beef Cattle to High-Concentrate Diets: Performance and Ruminal Metabolism. J. Anim. Sci. 2006, 84, E25–E33. [Google Scholar] [CrossRef] [PubMed]
- Duffield, T.F.; Rabiee, A.R.; Lean, I.J. A Meta-Analysis of the Impact of Monensin in Lactating Dairy Cattle: Part 1. Metabolic Effects. J. Dairy Sci. 2008, 91, 1334–1346. [Google Scholar] [CrossRef] [PubMed]
- Marques, R.D.S.; Cooke, R.F. Effects of Ionophores on Ruminal Function of Beef Cattle. Animals 2021, 11, 2871. [Google Scholar] [CrossRef] [PubMed] [PubMed Central]
- Duffield, T.F.; Merrill, J.K.; Bagg, R.N. Meta-Analysis of the Effects of Monensin in Beef Cattle on Feed Efficiency, Body Weight Gain, and Dry Matter Intake. J. Anim. Sci. 2012, 90, 4583–4592. [Google Scholar] [CrossRef] [PubMed]
- de Moura, D.C.; Nazaré Santos Torres, R.; Melo da Silva, H.; Beltrani Donadia, A.; Menegazzo, L.; Marques Xavier, M.C.; Alessi, K.C.; Rodrigues Soares, S.; Paludo Ghedini, C.; Soares de Oliveira, A. Meta-Analysis of the Effects of Ionophores Supplementation on Dairy Cows Performance and Ruminal Fermentation. Livest. Sci. 2021, 254, 104729. [Google Scholar] [CrossRef]
- Calsamiglia, S.; Busquet, M.; Cardozo, P.W.; Castillejos, L.; Ferret, A. Invited Review: Essential Oils as Modifiers of Rumen Microbial Fermentation. J. Dairy Sci. 2007, 90, 2580–2595. [Google Scholar] [CrossRef] [PubMed]
- Devant, M.; Anglada, A.; Bach, A. Effects of Plant Extract Supplementation on Rumen Fermentation and Metabolism in Young Holstein Bulls Consuming High Levels of Concentrate. Anim. Feed Sci. Technol. 2007, 137, 46–57. [Google Scholar] [CrossRef]
- Meyer, N.F.; Erickson, G.E.; Klopfenstein, T.J.; Greenquist, M.A.; Luebbe, M.K.; Williams, P.; Engstrom, M.A. Effect of Essential Oils, Tylosin, and Monensin on Finishing Steer Performance, Carcass Characteristics, Liver Abscesses, Ruminal Fermentation, and Digestibility. J. Anim. Sci. 2009, 87, 2346–2354. [Google Scholar] [CrossRef]
- Belanche, A.; Newbold, C.J.; Morgavi, D.P.; Bach, A.; Zweifel, B.; Yáñez-Ruiz, D.R. A Meta-Analysis Describing the Effects of the Essential Oils Blend Agolin Ruminant on Performance, Rumen Fermentation, and Methane Emissions in Dairy Cows. Animals 2020, 10, 620. [Google Scholar] [CrossRef] [PubMed]
- Drong, C.; Meyer, U.; von Soosten, D.; Frahm, J.; Rehage, J.; Breves, G.; Dänicke, S. Effect of Monensin and Essential Oils on Performance and Energy Metabolism of Transition Dairy Cows. J. Anim. Physiol. Anim. Nutr. 2016, 100, 537–551. [Google Scholar] [CrossRef]
- Dorman, H.J.D.; Deans, S.G. Antimicrobial Agents from Plants: Antibacterial Activity of Plant Volatile Oils. J. Appl. Microbiol. 2000, 88, 308–316. [Google Scholar] [CrossRef] [PubMed]
- Roman, S.; Voaides, C.; Babeanu, N. Exploring the Sustainable Exploitation of Bioactive Compounds in Pelargonium sp.: Beyond a Fragrant Plant. Plants 2023, 12, 4123. [Google Scholar] [CrossRef] [PubMed]
- Nehme, R.; Andrés, S.; Pereira, R.B.; Ben Jemaa, M.; Bouhallab, S.; Ceciliani, F.; López, S.; Rahali, F.Z.; Ksouri, R.; Pereira, D.M.; et al. Essential Oils in Livestock: From Health to Food Quality. Antioxidants 2021, 10, 330. [Google Scholar] [CrossRef] [PubMed]
- Matloup, O.H.; Abd El-Tawab, A.M.; Hassan, A.A.; Hadhoud, F.I.; Khattab, M.S.A.; Khalel, M.S.; Sallam, S.M.; Kholif, A.E. Performance of Lactating Friesian Cows Fed a Diet Supplemented with Coriander Oil as an Alternative to Antibiotic Feed Additives: Feed Intake, Nutrient Digestibility, Ruminal Fermentation, Blood Chemistry, and Milk Production. Anim. Feed Sci. Technol. 2017, 226, 88–97. [Google Scholar] [CrossRef]
- Shahwar, M.K.; El-Ghorab, A.H.; Anjum, F.M.; Butt, M.S.; Hussain, S.; Nadeem, M. Characterization of Coriander (Coriandrum sativum L.) Seeds and Leaves: Volatile and Non-Volatile Extracts. Int. J. Food Prop. 2012, 15, 736–747. [Google Scholar] [CrossRef]
- Hassanat, F.; Benchaar, C. Assessment of the Effect of Condensed (Acacia and Quebracho) and Hydrolysable (Chestnut and Valonea) Tannins on Rumen Fermentation and Methane Production In Vitro. J. Sci. Food Agric. 2013, 93, 332–339. [Google Scholar] [CrossRef] [PubMed]
- Aboagye, I.A.; Beauchemin, K.A. Potential of Molecular Weight and Structure of Tannins to Reduce Methane Emissions from Ruminants: A Review. Animals 2019, 9, 856. [Google Scholar] [CrossRef] [PubMed]
- Olagaray, K.E.; Bradford, B.J. Plant Flavonoids to Improve Productivity of Ruminants: A Review. J. Anim. Feed Sci. 2019, 251, 21–36. [Google Scholar] [CrossRef]
- Rossi, C.A.S.; Grossi, S.; Dell’Anno, M.; Compiani, R.; Rossi, L. Effect of a Blend of Essential Oils, Bioflavonoids, and Tannins on In Vitro Methane Production and In Vivo Production Efficiency in Dairy Cows. Animals 2022, 12, 728. [Google Scholar] [CrossRef] [PubMed]
- Grossi, S.; Compiani, R.; Rossi, C.A.S. Effect of the Administration of a Blend of Essential Oils, Bioflavonoids, and Tannins to Veal Calves on Growth Performance, Health Status and Methane Emissions. Large Anim. Rev. 2024, 30, 163–169. [Google Scholar]
- FAO. World Food and Agriculture—Statistical Yearbook 2023; FAO: Rome, Italy, 2023. [Google Scholar] [CrossRef]
- Mendel, M.; Chłopecka, M.; Dziekan, N.; Karlik, W. Phytogenic Feed Additives as Potential Gut Contractility Modifiers—A Review. Anim. Feed Sci. Technol. 2017, 230, 30–46. [Google Scholar] [CrossRef]
- Nastoh, N.A.; Waqas, M.; Çınar, A.A.; Salman, M. The Impact of Phytogenic Feed Additives on Ruminant Production: A Review. J. Anim. Feed Sci. 2024, 33, 431–453. [Google Scholar] [CrossRef]
- NRC. Nutrient Requirements of Beef Cattle: Eighth Revised Edition; National Academies of Sciences, Engineering, and Medicine: Washington, DC, USA, 2016. [Google Scholar] [CrossRef]
- Weatherburn, M.W. Phenol-Hypochlorite Reaction for Determination of Ammonia. Anal. Chem. 1967, 39, 971–974. [Google Scholar] [CrossRef]
- Adams, R.F.; Jones, R.L.; Conway, P.L. High-Performance Liquid Chromatography of Microbial Acid Metabolites. J. Chromatogr. B Biomed. Appl. 1984, 336, 125–137. [Google Scholar] [CrossRef] [PubMed]
- AOAC. Official Methods of Analysis of the AOAC International; Association of Official Analytical Chemists International: Washington, DC, USA, 1990. [Google Scholar]
- Van Soest, P.J.; Robertson, J.B.; Lewis, B.A. Methods for Dietary Fiber, Neutral Detergent Fiber, and Non-Starch Polysaccharides in Relation to Animal Nutrition. J. Dairy Sci. 1991, 74, 3583–3597. [Google Scholar] [CrossRef] [PubMed]
- Diepersloot, E.; Pupo, R.M.; Heinzen, C., Jr.; Souza, M.S.; Ferraretto, L.F. Effect of Monensin and Essential Oil Blend Supplementation on Lactation Performance and Feeding Behavior by Dairy Cows. J. Dairy Sci. 2024, 25834. [Google Scholar] [CrossRef] [PubMed]
- Wood, K.M.; Pinto, A.C.J.; Millen, D.D.; Kanafany Guzman, R.; Penner, G.B. The Effect of Monensin Concentration on Dry Matter Intake, Ruminal Fermentation, Short-Chain Fatty Acid Absorption, Total Tract Digestibility, and Total Gastrointestinal Barrier Function in Beef Heifers. J. Anim. Sci. 2016, 94, 2471–2478. [Google Scholar] [CrossRef] [PubMed]
- e Silva, S.N.S.; Chabrillat, T.; Kerros, S.; Guillaume, S.; Gandra, J.R.; de Carvalho, G.G.P.; da Silva, F.F.; Mesquita, L.G.; Gordiano, L.A.; Camargo, G.M.F.; et al. Effects of Plant Extract Supplementations or Monensin on Nutrient Intake, Digestibility, Ruminal Fermentation and Metabolism in Dairy Cows. Anim. Feed Sci. Technol. 2021, 275, 114886. [Google Scholar] [CrossRef]
- Silvestre, T.; Martins, L.F.; Cueva, S.F.; Wasson, D.E.; Stepanchenko, N.; Räisänen, S.E.; Sommai, S.; Hile, M.L.; Hristov, A.N. Lactational Performance, Rumen Fermentation, Nutrient Use Efficiency, Enteric Methane Emissions, and Manure Greenhouse Gas-Emitting Potential in Dairy Cows Fed a Blend of Essential Oils. J. Dairy Sci. 2023, 106, 7661–7674. [Google Scholar] [CrossRef] [PubMed]
- Atzori, A.S.; Porcu, M.A.; Fulghesu, F.; Ledda, A.; Correddu, F. Evaluation of a Dietary Blend of Essential Oils and Polyphenols on Methane Emission by Ewes. Anim. Prod. Sci. 2023, 63, 1483–1493. [Google Scholar] [CrossRef]
- Frutos, P.; Hervás, G.; Giráldez, F.J.; Mantecón, A.R. Review: Tannins and Ruminant Nutrition. Span. J. Agric. Res. 2004, 2, 191–202. [Google Scholar] [CrossRef]
- Nagaraja, T.G.; Titgemeyer, E.C. Ruminal Acidosis in Beef Cattle: The Current Microbiological and Nutritional Outlook. J. Dairy Sci. 2007, 90, E17–E38. [Google Scholar] [CrossRef] [PubMed]
- Flores, A.J.; Garciarena, A.D.; Hernández Vieyra, J.M.; Beauchemin, K.A.; Colombatto, D. Effects of Specific Essential Oil Compounds on the Ruminal Environment, Milk Production and Milk Composition of Lactating Dairy Cows at Pasture. Anim. Feed Sci. Technol. 2013, 186, 20–26. [Google Scholar] [CrossRef]
- Vasta, V.; Daghio, M.; Cappucci, A.; Buccioni, A.; Serra, A.; Viti, C.; Mele, M. Invited Review: Plant Polyphenols and Rumen Microbiota Responsible for Fatty Acid Biohydrogenation, Fiber Digestion, and Methane Emission: Experimental Evidence and Methodological Approaches. J. Dairy Sci. 2019, 102, 3781–3804. [Google Scholar] [CrossRef]
- Buccioni, A.; Pauselli, M.; Viti, C.; Minieri, S.; Pallara, G.; Roscini, V.; Rapaccini, S.; Trabalza Marinucci, M.; Lupi, P.; Conte, G.; et al. Milk Fatty Acid Composition, Rumen Microbial Population, and Animal Performances in Response to Diets Rich in Linoleic Acid Supplemented with Chestnut or Quebracho Tannins in Dairy Ewes. J. Dairy Sci. 2015, 98, 1145–1156. [Google Scholar] [CrossRef] [PubMed]
- Min, B.R.; Barry, T.N.; Attwood, G.T.; McNabb, W.C. The Effect of Condensed Tannins on the Nutrition and Health of Ruminants Fed Fresh Temperate Forages: A Review. Anim. Feed Sci. Technol. 2003, 106, 3–19. [Google Scholar] [CrossRef]
- Asif, M. Bioactive Phytochemical Constituents of Some Edible Fruits of Myrtaceae Family. Am. J. Nutr. Res. 2015, 1, 1–17. [Google Scholar]
- Yang, C.M.; Russell, J.B. The Effect of Monensin Supplementation on Ruminal Ammonia Accumulation In Vivo and the Numbers of Amino Acid-Fermenting Bacteria. J. Anim. Sci. 1993, 71, 3470–3476. [Google Scholar] [CrossRef] [PubMed]
- Huang, Q.; Liu, X.; Zhao, G.; Hu, T.; Wang, Y. Potential and Challenges of Tannins as an Alternative to In-Feed Antibiotics for Farm Animal Production. Anim. Nutr. 2017, 3, 187. [Google Scholar] [CrossRef]
- Ciancio, E.; Santana, A.; Diez, H.; Longueira, E.; Hernández, D.M.; Repetto, J.L.; Cajarville, C. Anavrin®, monensin or both on the diet of finishing steers fed TMR: Effect on performance and rumen fermentation. In Proceedings of the ASAS-CSAS Annual Meeting, Oklahoma, OK, USA, 26–30 June 2022. [Google Scholar]


| TMR | GCG | SM | Hay | |
|---|---|---|---|---|
| Ingredients of TMR | ||||
| Ground corn grain (GCG) | 71.7 | |||
| Solvent extracted soybean meal (SM) | 10.1 | |||
| Pasture hay (Hay) | 17.0 | |||
| Vitamin-mineral premix 1 | 1.2 | |||
| Water (% as feed) | 27.1 | |||
| Nutrient composition | ||||
| DM, % as feed | 88.3 (1.6) | 86.7 (0.4) | 91.3 (0.2) | 86.6 (1.0) |
| OM | 95.8 (0.4) | 98.6 (0.01) | 93.0 (0.01) | 92.4 (0.01) |
| NDF | 16.9 (2.8) | 8.0 (0.4) | 10.7 (0.4) | 59.4 (1.0) |
| ADF | 8.9 (0.8) | 2.4 (0.1) | 7.8 (0.9) | 37.9 (0.6) |
| CP | 11.4 (1.5) | 9.0 (0.1) | 38.6 (3.2) | 6.3 (0.1) |
| EOTB | MON | EOTB + MON | SEM | p | |
|---|---|---|---|---|---|
| DMI, kg/d | 12.3 a | 11.8 ab | 11.3 b | 0.46 | 0.02 |
| Initial BW, kg | 447.1 | 440.9 | 435.9 | 11.50 | 0.62 |
| Final BW, kg | 534.7 | 519.8 | 516.3 | 15.26 | 0.33 |
| Average DG, kg/d (60 d) | 1.5 | 1.3 | 1.4 | 0.10 | 0.40 |
| FCR, DMI/DG | 8.7 | 9.1 | 8.9 | 0.66 | 0.90 |
| p | |||||||
|---|---|---|---|---|---|---|---|
| EOTB | MON | EOTB + MON | SEM | T | H | T × H | |
| pH | 6.0 | 5.8 | 5.9 | 0.06 | 0.18 | <0.01 | 0.94 |
| Total VFAs, mM | 127.3 | 123.4 | 119.4 | 8.80 | 0.75 | <0.01 | 0.03 |
| Acetic, mM | 67.0 | 63.6 | 56.3 | 5.39 | 0.15 | <0.01 | 0.05 |
| Propionic, mM | 44.2 | 42.6 | 49.7 | 5.90 | 0.50 | <0.01 | 0.11 |
| Butyric, mM | 16.2 ab | 18.4 a | 14.4 b | 1.77 | 0.01 | <0.01 | 0.01 |
| Acetic, % | 53.7 | 50.1 | 47.4 | 3.51 | 0.37 | <0.01 | 0.10 |
| Propionic, % | 33.3 y | 34.9 x, y | 42.1 x | 3.27 | 0.06 | <0.01 | 0.84 |
| Butyric, % | 13.0 ab | 14.7 a | 11.5 b | 1.42 | 0.02 | 0.21 | 0.18 |
| Acetic/Propionic | 1.7 | 1.5 | 1.1 | 0.26 | 0.18 | <0.01 | 0.81 |
| NH3-N, mg/dL | 17.9 | 16.9 | 20.7 | 8.20 | 0.684 | <0.01 | 0.90 |
Disclaimer/Publisher’s Note: The statements, opinions and data contained in all publications are solely those of the individual author(s) and contributor(s) and not of MDPI and/or the editor(s). MDPI and/or the editor(s) disclaim responsibility for any injury to people or property resulting from any ideas, methods, instructions or products referred to in the content. |
© 2025 by the authors. Licensee MDPI, Basel, Switzerland. This article is an open access article distributed under the terms and conditions of the Creative Commons Attribution (CC BY) license (https://creativecommons.org/licenses/by/4.0/).
Share and Cite
Repetto, J.L.; Ciancio, E.; Castro, G.; Santana, A.; Cajarville, C. Daily Gain, Feed Conversion, and Rumen Fermentation in Finishing Steers Fed a Total Mixed Ration Supplemented with a Blend of Essential Oils, Tannins, and Bioflavonoids or Monensin. Animals 2025, 15, 594. https://doi.org/10.3390/ani15040594
Repetto JL, Ciancio E, Castro G, Santana A, Cajarville C. Daily Gain, Feed Conversion, and Rumen Fermentation in Finishing Steers Fed a Total Mixed Ration Supplemented with a Blend of Essential Oils, Tannins, and Bioflavonoids or Monensin. Animals. 2025; 15(4):594. https://doi.org/10.3390/ani15040594
Chicago/Turabian StyleRepetto, José Luis, Eliana Ciancio, Guillermo Castro, Alvaro Santana, and Cecilia Cajarville. 2025. "Daily Gain, Feed Conversion, and Rumen Fermentation in Finishing Steers Fed a Total Mixed Ration Supplemented with a Blend of Essential Oils, Tannins, and Bioflavonoids or Monensin" Animals 15, no. 4: 594. https://doi.org/10.3390/ani15040594
APA StyleRepetto, J. L., Ciancio, E., Castro, G., Santana, A., & Cajarville, C. (2025). Daily Gain, Feed Conversion, and Rumen Fermentation in Finishing Steers Fed a Total Mixed Ration Supplemented with a Blend of Essential Oils, Tannins, and Bioflavonoids or Monensin. Animals, 15(4), 594. https://doi.org/10.3390/ani15040594

