Lameness Recognition of Dairy Cows Based on Compensation Behaviour Analysis by Swing and Posture Features from Top View Depth Image
Simple Summary
Abstract
1. Introduction
2. Materials and Methods
2.1. Experimental Setup
2.1.1. Data Collection
2.1.2. Data Pre-Processing
- Ground correction
- 2.
- Background and head–neck region removed
2.2. Obtaining the Motion Curve of Key Points
2.2.1. Locating the Key Points on the Back
- Localisation of the spinal line in dairy cows
- 2.
- Localisation of the hook bone in dairy cows
- 3.
- Localisation of the pin bone in dairy cows
- 4.
- Localisation of the sacrum in dairy cows
2.2.2. Drawing of Motion Curves
2.3. Analysis of the Stability Mechanism of the Key Points
2.3.1. Analysis of Back Compensation Behaviour
2.3.2. Extraction of CMFs
- The swing features are as follows:
- The posture features are as follows:
2.3.3. Analysis of Feature Correlation Across Different Samples
2.4. Classification
2.4.1. Machine Learning
2.4.2. Threshold Discrimination
- Identification of compensatory behaviours
- 2.
- Classification of lameness severity
3. Results
3.1. Back Key Point Localisation Results
3.2. The Stability Mechanisms of the Key Points
3.2.1. Back–Hind Hoof Coordination Mechanism
- Hind Hoof–Hook Coordination Mechanism
- 2.
- Hind hoof–pin coordination mechanism
- 3.
- Hind hoof–sacrum coordination mechanism
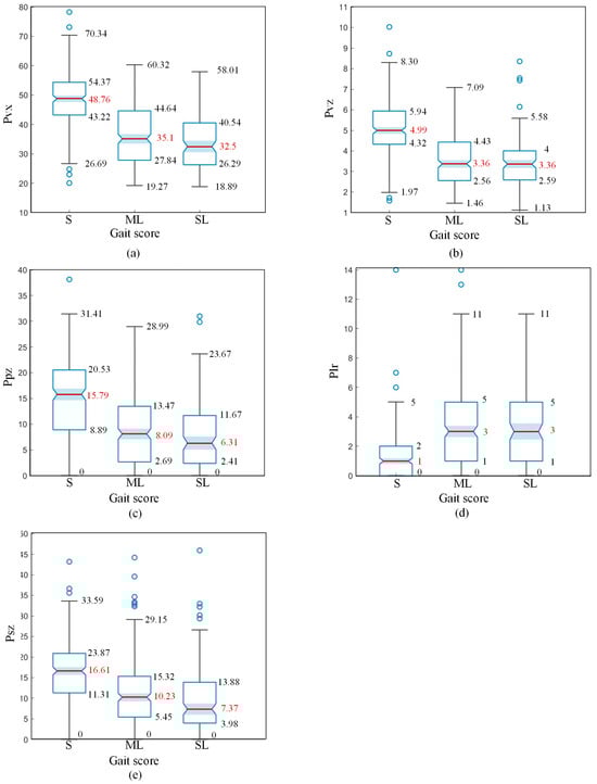
3.2.2. Compensation Behaviour
- The cow’s ability to move freely decreases, and the speed of forward movement of the hook and pin bones slows down.
- The cow’s joints become stiff, and the average speed of lifting and landing of the hook and pin decreases.
- Due to the reduced support capability of the affected limb, the speed of movement of the pin decreases at the moment the hind hoof lands.
- The upward and downward movement trends of the left and right pins are no longer completely synchronised, increasing asymmetry in movement. During normal walking, the left and right pins should move up or down simultaneously. When one of the cow’s hooves is affected by disease, the cow compensates by altering its movement, causing different trends in the left and right pins.
- The amplitude of the sacrum up-and-down swing at the moment of hind hoof landing decreases. The sacrum is almost at the centre of the cow’s hindquarters, and its height variation reflects the height changes in the entire hindquarters. During normal walking, the stride and lift height of the hind hoof are larger, resulting in greater up-and-down swing amplitude of the hindquarters and sacrum at the moment of hoof landing. When the cow suffers from lameness, leading to stiff limbs, the stride and lift height of the hind hoof are smaller, resulting in reduced up-and-down swing amplitude of the hindquarters and sacrum. This characteristic indirectly reflects the cow’s movement consistency and stride length.
- The contour of the spinal line is no longer flat, showing a certain degree of curvature. This change is more pronounced during the suspension phase of the hind hoof.
- Due to the decreased support capability of the affected limb, the body’s centre of gravity shifts either forward or backward. This change is more noticeable during the suspension phase of the hind hoof.
- The average height of the pin’s movement is significantly lower than that of the hook’s movement. According to the skeletal structure of the cow, the pin is normally slightly lower than the hook. When the cow suffers from severe lameness, the hind hoof’s upper joints flex to lower the centre of gravity of the hind part of the body to alleviate the load. Therefore, in cases of severe lameness, the height of the pin during movement is markedly lower than that of the hook.
3.2.3. Correlation of Features Across Different Samples
- Hypothesis Testing
- 2
- Visualisation analysis
3.3. Classification Results
4. Discussion
4.1. Compensatory Behaviour and Initial Diagnosis of the Affected Limb
4.2. Characteristics of the Spine at the Suspended Point
4.3. Factors Affecting Recognition Accuracy
4.4. Comparison with Similar Studies
5. Conclusions
Author Contributions
Funding
Institutional Review Board Statement
Informed Consent Statement
Data Availability Statement
Acknowledgments
Conflicts of Interest
References
- Douphrate, D.I.; Hagevoort, G.R.; Nonnenmann, M.W.; Kolstrup, C.L.; Reynolds, S.J.; Jakob, M.; Kinsel, M. The Dairy Industry: A Brief Description of Production Practices, Trends, and Farm Characteristics Around the World. J. Agromedicine 2013, 18, 187–197. [Google Scholar] [CrossRef] [PubMed]
- Brito, L.F.; Oliveira, H.R.; McConn, B.R.; Schinckel, A.P.; Arrazola, A.; Marchant-Forde, J.N.; Johnson, J.S. Large-Scale Phenotyping of Livestock Welfare in Commercial Production Systems: A New Frontier in Animal Breeding. Front. Genet. 2020, 11, 793. [Google Scholar] [CrossRef] [PubMed]
- Zhao, K.X.; Zhang, M.; Shen, W.Z.; Liu, X.H.; Ji, J.T.; Dai, B.S.; Zhang, R.H. Automatic body condition scoring for dairy cows based on efficient net and convex hull features of point clouds. Comput. Electron. Agric. 2023, 205, 107588. [Google Scholar] [CrossRef]
- Zhao, K.X.; Duan, Y.J.; Chen, J.L.; Li, Q.W.; Hong, X.; Zhang, R.H.; Wang, M.J. Detection of Respiratory Rate of Dairy Cows Based on Infrared Thermography and Deep Learning. Agriculture 2023, 13, 1939. [Google Scholar] [CrossRef]
- Norton, T.; Berckmans, D. Developing precision livestock farming tools for precision dairy farming. Anim. Front. 2017, 7, 18–23. [Google Scholar] [CrossRef]
- Kang, X.; Zhang, X.D.; Liu, G. A Review: Development of Computer Vision-Based Lameness Detection for Dairy Cows and Discussion of the Practical Applications. Sensors 2021, 21, 753. [Google Scholar] [CrossRef] [PubMed]
- Van De Gucht, T.; Van Weyenberg, S.; Van Nuffel, A.; Lauwers, L.; Vangeyte, J.; Saeys, W. Supporting the Development and Adoption of Automatic Lameness Detection Systems in Dairy Cattle: Effect of System Cost and Performance on Potential Market Shares. Animals 2017, 7, 77. [Google Scholar] [CrossRef] [PubMed]
- Grimm, K.; Haidn, B.; Erhard, M.; Tremblay, M.; Döpfer, D. New insights into the association between lameness, behavior, and performance in Simmental cows. J. Dairy Sci. 2019, 102, 2453–2468. [Google Scholar] [CrossRef]
- Van Nuffel, A.; Zwertvaegher, I.; Pluym, L.; Van Weyenberg, S.; Thorup, V.M.; Pastell, M.; Sonck, B.; Saeys, W. Lameness Detection in Dairy Cows: Part 1. How to Distinguish between Non-Lame and Lame Cows Based on Differences in Locomotion or Behavior. Animals 2015, 5, 838–860. [Google Scholar] [CrossRef]
- Sadiq, M.B.; Ramanoon, S.Z.; Shaik Mossadeq, W.M.; Mansor, R.; Syed Hussain, S.S. Dairy Farmers’ Perceptions of and Actions in Relation to Lameness Management. Animals 2019, 9, 270. [Google Scholar] [CrossRef]
- Dolecheck, K.; Bewley, J. Animal board invited review: Dairy cow lameness expenditures, losses and total cost. Animal 2018, 12, 1462–1474. [Google Scholar] [CrossRef] [PubMed]
- Warnick, L.D.; Janssen, D.; Guard, C.L.; Grohn, Y.T. The effect of lameness on milk production in dairy cows. J. Dairy Sci. 2001, 84, 1988–1997. [Google Scholar] [CrossRef] [PubMed]
- Grohn, Y.T.; Rajala-Schultz, P.J.; Allore, H.G.; DeLorenzo, M.A.; Hertl, J.A.; Galligan, D.T. Optimizing replacement of dairy cows: Modeling the effects of diseases. Prev. Vet. Med. 2003, 61, 27–43. [Google Scholar] [CrossRef]
- Booth, C.J.; Warnick, L.D.; Gröhn, Y.T.; Maizon, D.O.; Guard, C.L.; Janssen, D. Effect of lameness on culling in dairy cows. J. Dairy Sci. 2004, 87, 4115–4122. [Google Scholar] [CrossRef] [PubMed]
- Sadiq, M.B.; Ramanoon, S.Z.; Shaik Mossadeq, W.M.; Mansor, R.; Syed-Hussain, S.S. Association between Lameness and Indicators of Dairy Cow Welfare Based on Locomotion Scoring, Body and Hock Condition, Leg Hygiene and Lying Behavior. Animals 2017, 7, 79. [Google Scholar] [CrossRef] [PubMed]
- Li, Q.; Chu, M.Y.; Kang, X.; Liu, G. Research progress on lameness recognition technology in dairy cows using computer vision. Trans. Chin. Soc. Agric. Eng. 2022, 38, 159–169. [Google Scholar] [CrossRef]
- Van Nuffel, A.; Zwertvaegher, I.; Van Weyenberg, S.; Pastell, M.; Thorup, V.M.; Bahr, C.; Sonck, B.; Saeys, W. Lameness Detection in Dairy Cows: Part 2. Use of Sensors to Automatically Register Changes in Locomotion or Behavior. Animals 2015, 5, 861–885. [Google Scholar] [CrossRef] [PubMed]
- Schlageter-Tello, A.; Bokkers, E.A.M.; Groot Koerkamp, P.W.G.; Van Hertem, T.; Viazzi, S.; Romanini, C.E.B.; Halachmi, I.; Bahr, C.; Berckmans, D.; Lokhorst, K. Effect of merging levels of locomotion scores for dairy cows on intra- and interrater reliability and agreement. J. Dairy Sci. 2014, 97, 5533–5542. [Google Scholar] [CrossRef]
- Blackie, N.; Bleach, E.; Amory, J.; Scaife, J. Impact of lameness on gait characteristics and lying behaviour of zero grazed dairy cattle in early lactation. Appl. Anim. Behav. Sci. 2011, 129, 67–73. [Google Scholar] [CrossRef]
- Anagnostopoulos, A.; Griffiths, B.E.; Siachos, N.; Neary, J.; Smith, R.F.; Oikonomou, G. Initial validation of an intelligent video surveillance system for automatic detection of dairy cattle lameness. Front. Vet. Sci. 2023, 10, 1111057. [Google Scholar] [CrossRef] [PubMed]
- Weigele, H.C.; Gygax, L.; Steiner, A.; Wechsler, B.; Burla, J.B. Moderate lameness leads to marked behavioral changes in dairy cows. J. Dairy Sci. 2018, 101, 2370–2382. [Google Scholar] [CrossRef] [PubMed]
- Zhao, K.X.; Zhang, M.; Ji, J.T.; Zhang, R.H.; Bewley, J.M. Automatic lameness scoring of dairy cows based on the analysis of head- and back-hoof linkage features using machine learning methods. Biosyst. Eng. 2023, 230, 424–441. [Google Scholar] [CrossRef]
- Song, H.B.; Jiang, B.; Wu, Q.; Li, T.; He, D.J. Detection of dairy cow lameness based on fitting line slope feature of head and neck outline. Trans. Chin. Soc. Agric. Eng. 2018, 34, 190–199. [Google Scholar] [CrossRef]
- Su, L.D.; Zhang, Y.; Wang, J.; Yin, Y.; Zong, Z.Y.; Gong, C.L. Segmentation Method of Dairy Cattle Gait Based on Improved Dynamic Time Warping Algorithm. Trans. Chin. Soc. Agric. Mach. 2020, 51, 52–59. [Google Scholar] [CrossRef]
- Zillner, J.C.; Tücking, N.; Plattes, S.; Heggemann, T.; Büscher, W. Using walking speed for lameness detection in lactating dairy cows. Livest. Sci. 2018, 218, 119–123. [Google Scholar] [CrossRef]
- Alsaaod, M.; Fadul, M.; Steiner, A. Automatic lameness detection in cattle. Vet. J. 2019, 246, 35–44. [Google Scholar] [CrossRef]
- Viazzi, S.; Bahr, C.; Schlageter-Tello, A.; Van Hertem, T.; Romanini, C.E.B.; Pluk, A.; Halachmi, I.; Lokhorst, C.; Berckmans, D. Analysis of individual classification of lameness using automatic measurement of back posture in dairy cattle. J. Dairy Sci. 2013, 96, 257–266. [Google Scholar] [CrossRef] [PubMed]
- de Mol, R.M.; André, G.; Bleumer, E.J.B.; van der Werf, J.T.N.; de Haas, Y.; van Reenen, C.G. Applicability of day-to-day variation in behavior for the automated detection of lameness in dairy cows. J. Dairy Sci. 2013, 96, 3703–3712. [Google Scholar] [CrossRef] [PubMed]
- Lavrova, A.I.; Choucair, A.; Palmini, A.; Stock, K.F.; Kammer, M.; Querengässer, F.; Doherr, M.G.; Müller, K.E.; Belik, V. Leveraging Accelerometer Data for Lameness Detection in Dairy Cows: A Longitudinal Study of Six Farms in Germany. Animals 2023, 13, 3681. [Google Scholar] [CrossRef] [PubMed]
- Thorup, V.M.; do Nascimento, O.F.; Skjoth, F.; Voigt, M.; Rasmussen, M.D.; Bennedsgaard, T.W.; Ingvartsen, K.L. Changes in gait symmetry in healthy and lame dairy cows based on 3-dimensional ground reaction force curves following claw trimming. J. Dairy Sci. 2014, 97, 7679–7684. [Google Scholar] [CrossRef]
- Yang, L.J.; Zhang, Y.; Liu, D.H.; Xu, B.T.; Liu, C.X. Early Recognition for Dairy Cow Lameness Based on Pressure Distribution Measurement System. Trans. Chin. Soc. Agric. Mach. 2016, 47, 426–432. [Google Scholar] [CrossRef]
- Coe, A.; Blackie, N. Comparison of Low- and High-Cost Infrared Thermal Imaging Devices for the Detection of Lameness in Dairy Cattle. Vet. Sci. 2022, 9, 414. [Google Scholar] [CrossRef] [PubMed]
- Zheng, Z.Y.; Zhang, X.Q.; Qin, L.F.; Yue, S.; Zeng, P.B. Cows’ legs tracking and lameness detection in dairy cattle using video analysis and Siamese neural networks. Comput. Electron. Agric. 2023, 205, 107618. [Google Scholar] [CrossRef]
- Van Hertem, T.; Bahr, C.; Tello, A.S.; Viazzi, S.; Steensels, M.; Romanini, C.E.B.; Lokhorst, C.; Maltz, E.; Halachmi, I.; Berckmans, D. Lameness detection in dairy cattle: Single predictor v. multivariate analysis of image-based posture processing and behaviour and performance sensing. Animals 2016, 10, 1525–1532. [Google Scholar] [CrossRef]
- Kang, X.; LI, S.D.; Zhang, X.D.; Liu, G. Features extraction and detection of cow lameness movement based on thermal infrared videos. Trans. Chin. Soc. Agric. Eng. 2021, 37, 169–178. [Google Scholar] [CrossRef]
- Lin, Y.-C.; Mullan, S.; Main, D.C.J. Optimising lameness detection in dairy cattle by using handheld infrared thermometers. Vet. Med. Sci. 2018, 4, 218–226. [Google Scholar] [CrossRef]
- Poursaberi, A.; Bahr, C.; Pluk, A.; Van Nuffel, A.; Berckmans, D. Real-time automatic lameness detection based on back posture extraction in dairy cattle: Shape analysis of cow with image processing techniques. Comput. Electron. Agric. 2010, 74, 110–119. [Google Scholar] [CrossRef]
- Jia, Z.W.; Yang, X.H.; Wang, Z.; Yu, R.R.; Wang, R.B. Automatic lameness detection in dairy cows based on machine vision. Int. J. Agric. Biol. Eng. 2023, 16, 217–224. [Google Scholar] [CrossRef]
- Jiang, B.; Song, H.B.; Wang, H.; Li, C.Y. Dairy cow lameness detection using a back curvature feature. Comput. Electron. Agric. 2022, 194, 106729. [Google Scholar] [CrossRef]
- Zhao, K.; Bewley, J.M.; He, D.; Jin, X. Automatic lameness detection in dairy cattle based on leg swing analysis with an image processing technique. Comput. Electron. Agric. 2018, 148, 226–236. [Google Scholar] [CrossRef]
- Wu, D.H.; Wu, Q.; Yin, X.Q.; Jiang, B.; Wang, H.; He, D.J.; Song, H.B. Lameness detection of dairy cows based on the YOLOv3 deep learning algorithm and a relative step size characteristic vector. Biosyst. Eng. 2020, 189, 150–163. [Google Scholar] [CrossRef]
- Li, Q.; Si, Y.; Chu, M.; Liu, N.; Kang, X.; Liu, G. A novel lameness detection method for dairy cows based on temporal gait and spatial post features. Comput. Electron. Agric. 2024, 224, 109172. [Google Scholar] [CrossRef]
- Barney, S.; Dlay, S.; Crowe, A.; Kyriazakis, I.; Leach, M. Deep learning pose estimation for multi-cattle lameness detection. Sci. Rep. 2023, 13, 4499. [Google Scholar] [CrossRef] [PubMed]
- Li, Q.; He, Z.J.; Liu, X.W.; Chu, M.Y.; Wang, Y.C.; Kang, X.; Liu, G. Lameness detection system for dairy cows based on instance segmentation. Expert Syst. Appl. 2024, 249, 123775. [Google Scholar] [CrossRef]
- Jiang, B.; Yin, X.Q.; Song, H.B. Single-stream long-term optical flow convolution network for action recognition of lameness dairy cow. Comput. Electron. Agric. 2020, 175, 105536. [Google Scholar] [CrossRef]
- Li, Q.; Chu, M.; Kang, X.; Liu, G. Temporal aggregation network using micromotion features for early lameness recognition in dairy cows. Comput. Electron. Agric. 2023, 204, 107562. [Google Scholar] [CrossRef]
- Kang, X.; Li, S.D.; Li, Q.; Liu, G. Dimension-reduced spatiotemporal network for lameness detection in dairy cows. Comput. Electron. Agric. 2022, 197, 106922. [Google Scholar] [CrossRef]
- Li, Z.Y.; Zhang, Q.R.; Lv, S.C.; Han, M.X.; Jiang, M.; Song, H.B. Fusion of RGB, optical flow and skeleton features for the detection of lameness in dairy cows. Biosyst. Eng. 2022, 218, 62–77. [Google Scholar] [CrossRef]
- Tun, S.C.; Onizuka, T.; Tin, P.; Aikawa, M.; Kobayashi, I.; Zin, T.T. Revolutionizing Cow Welfare Monitoring: A Novel Top-View Perspective with Depth Camera-Based Lameness Classification. J. Imaging 2024, 10, 67. [Google Scholar] [CrossRef] [PubMed]
- Jabbar, K.A.; Hansen, M.F.; Smith, M.L.; Smith, L.N. Early and non-intrusive lameness detection in dairy cows using 3-dimensional video. Biosyst. Eng. 2017, 153, 63–69. [Google Scholar] [CrossRef]
- Zin, T.T.; Htet, Y.; Tun, S.C.; Tin, P. Artificial Intelligence Fusion in Digital Transformation Techniques for Lameness Detection in Dairy Cattle. Int. J. Biomed. Soft Comput. Hum. Sci. Off. J. Biomed. Fuzzy Syst. Assoc. 2023, 28, 1–8. [Google Scholar] [CrossRef]
- Viazzi, S.; Bahr, C.; Van Hertem, T.; Schlageter-Tello, A.; Romanini, C.E.B.; Halachmi, I.; Lokhorst, C.; Berckmans, D. Comparison of a three-dimensional and two-dimensional camera system for automated measurement of back posture in dairy cows. Comput. Electron. Agric. 2014, 100, 139–147. [Google Scholar] [CrossRef]
- Flower, F.C.; Weary, D.M. Effect of hoof pathologies on subjective assessments of dairy cow gait. J. Dairy Sci. 2006, 89, 139–146. [Google Scholar] [CrossRef] [PubMed]
- Fischler, M.A.; Bolles, R.C. Random sample consensus: A paradigm for model fitting with applications to image analysis and automated cartography. Commun. ACM 1981, 24, 381–395. [Google Scholar] [CrossRef]
- Rusu, R.B.; Cousins, S. 3D is here: Point Cloud Library (PCL). In Proceedings of the 2011 IEEE International Conference on Robotics and Automation, Shanghai, China, 9–13 May 2011. [Google Scholar]
- Redmon, J.; Divvala, S.; Girshick, R.; Farhadi, A.; IEEE. You Only Look Once: Unified, Real-Time Object Detection. In Proceedings of the 2016 IEEE Conference on Computer Vision and Pattern Recognition (CVPR), Las Vegas, NV, USA, 27–30 June 2016; pp. 779–788. [Google Scholar]













| Body Parts | Left Hook | Right Hook | Left Pin | Right Pin |
|---|---|---|---|---|
| Average LE 1 | 20.33 | 23.16 | 27.78 | 24.96 |
| Feature | Pvx | Pvz | Ppz | Plr | Psz | Pbm | Pbx | Pd |
|---|---|---|---|---|---|---|---|---|
| S-ML 1 | 0 | 0 | 0 | 0 | 0 | 0 | 0.001 | 0.396 |
| ML-SL 2 | 0.054 | 0.014 | 0.137 | 0.309 | 0.029 | 0 | 0 | 0 |
| S-SL 3 | 0 | 0 | 0 | 0 | 0 | 0 | 0 | 0 |
| Feature | Pvx | Pvz | Ppz | Plr | Psz | Pbm | Pbx | Pd |
|---|---|---|---|---|---|---|---|---|
| S-ML | 0 | 0 | 0 | 0 | 0 | 0 | 0.001 | 0.589 |
| ML-SL | 0.018 | 0.133 | 0.174 | 0.143 | 0.089 | 0 | 0 | 0 |
| S-SL | 0 | 0 | 0 | 0 | 0 | 0 | 0 | 0 |
| Algorithms | DT | QDA | LR | SVM | KNN | EC | NN |
|---|---|---|---|---|---|---|---|
| Accuracy, % | 77.5 | 78.5 | 81.6 | 79.6 | 76.5 | 80.6 | 79.6 |
Disclaimer/Publisher’s Note: The statements, opinions and data contained in all publications are solely those of the individual author(s) and contributor(s) and not of MDPI and/or the editor(s). MDPI and/or the editor(s) disclaim responsibility for any injury to people or property resulting from any ideas, methods, instructions or products referred to in the content. |
© 2024 by the authors. Licensee MDPI, Basel, Switzerland. This article is an open access article distributed under the terms and conditions of the Creative Commons Attribution (CC BY) license (https://creativecommons.org/licenses/by/4.0/).
Share and Cite
Zhang, R.; Zhao, K.; Ji, J.; Wang, J. Lameness Recognition of Dairy Cows Based on Compensation Behaviour Analysis by Swing and Posture Features from Top View Depth Image. Animals 2025, 15, 30. https://doi.org/10.3390/ani15010030
Zhang R, Zhao K, Ji J, Wang J. Lameness Recognition of Dairy Cows Based on Compensation Behaviour Analysis by Swing and Posture Features from Top View Depth Image. Animals. 2025; 15(1):30. https://doi.org/10.3390/ani15010030
Chicago/Turabian StyleZhang, Ruihong, Kaixuan Zhao, Jiangtao Ji, and Jinjin Wang. 2025. "Lameness Recognition of Dairy Cows Based on Compensation Behaviour Analysis by Swing and Posture Features from Top View Depth Image" Animals 15, no. 1: 30. https://doi.org/10.3390/ani15010030
APA StyleZhang, R., Zhao, K., Ji, J., & Wang, J. (2025). Lameness Recognition of Dairy Cows Based on Compensation Behaviour Analysis by Swing and Posture Features from Top View Depth Image. Animals, 15(1), 30. https://doi.org/10.3390/ani15010030
