The Response of the miRNA Profiles of the Thyroid Gland to the Artificial Photoperiod in Ovariectomized and Estradiol-Treated Ewes
Simple Summary
Abstract
1. Introduction
2. Materials and Methods
2.1. Ethics Statement
2.2. Sample Collection
2.3. RNA Extraction and Sequencing
2.4. Data Quality Control and Sequence Alignment
2.5. GO and KEGG Pathway Enrichment Analysis of Differentially Expressed Genes
2.6. Construction of Integral miRNA–mRNA Interaction Network
2.7. Statistical Analysis
3. Results
3.1. Reference Sequence Alignment Analysis
3.2. Gene Region Annotation
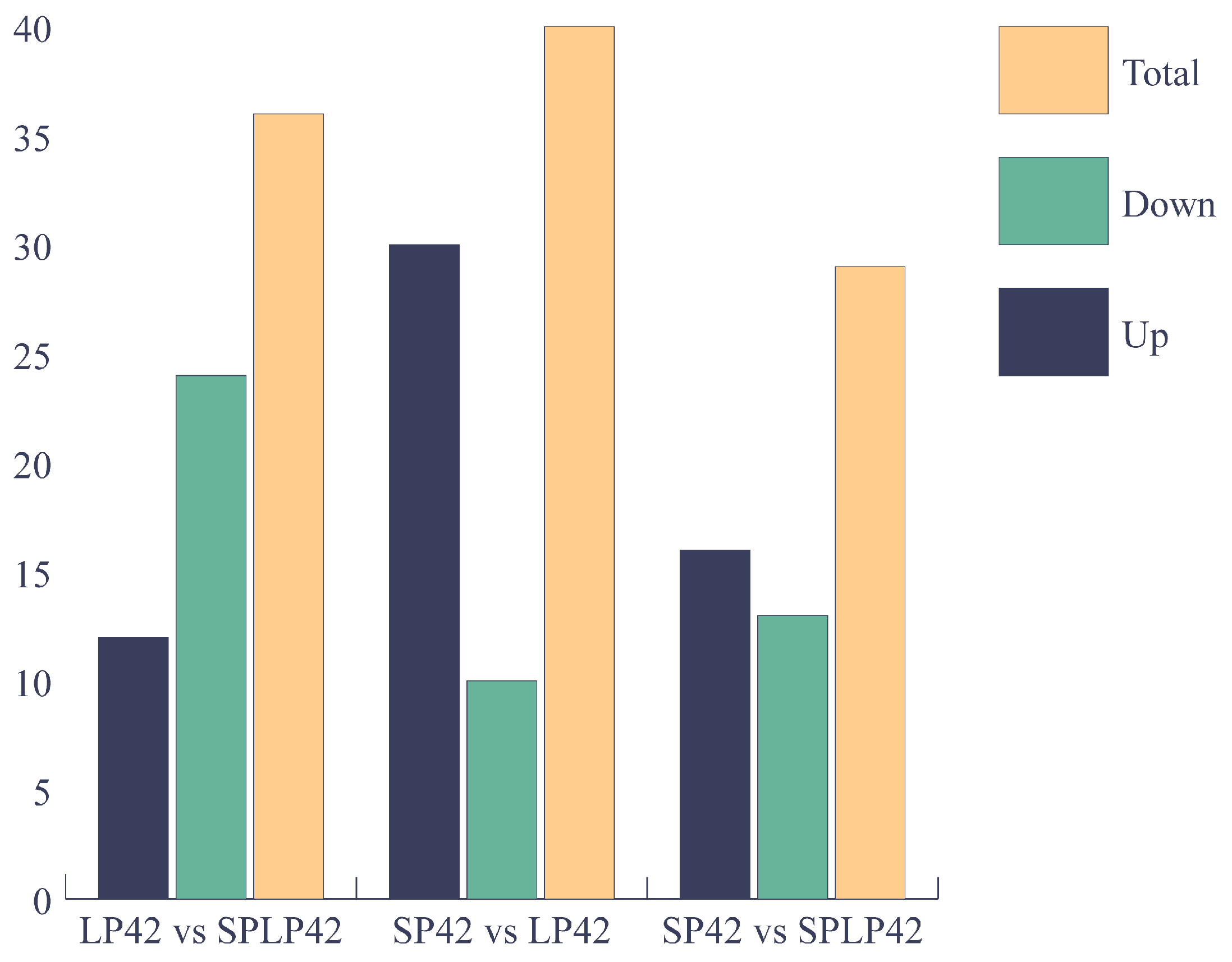
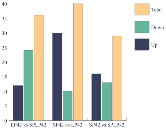
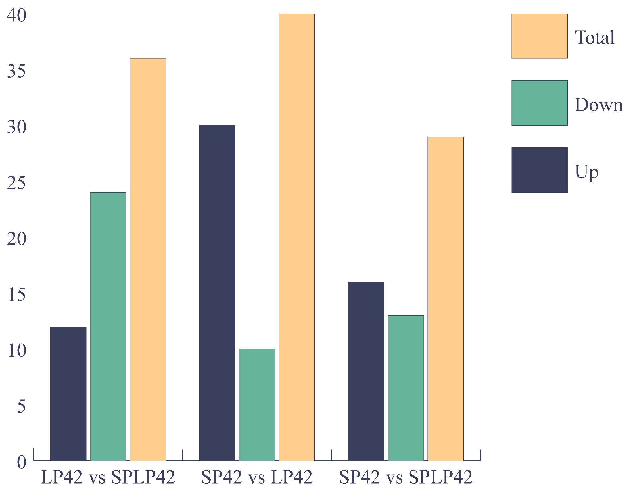
3.3. Differentially Expressed miRNA of Three Photoperiods in the Ovine Thyroid Gland
4. lncRNA-miRNA-mRNA Co-Expression Network Construction
5. Discussion
6. Conclusions
Author Contributions
Funding
Institutional Review Board Statement
Informed Consent Statement
Data Availability Statement
Conflicts of Interest
References
- La, Y.; He, X.; Zhang, L.; Di, R.; Wang, X.; Gan, S.; Zhang, X.; Zhang, J.; Hu, W.; Chu, M. Comprehensive Analysis of Differentially Expressed Profiles of mRNA, lncRNA, and circRNA in the Uterus of Seasonal Reproduction Sheep. Genes 2020, 11, 301. [Google Scholar] [CrossRef] [PubMed]
- Wang, Z.; Ma, W.; Fu, X.; Qi, Y.; Zhao, Y.; Zhang, S. Development and applications of mRNA treatment based on lipid nanoparticles. Biotechnol. Adv. 2023, 65, 108130. [Google Scholar] [CrossRef] [PubMed]
- Wood, S.; Loudon, A. Clocks for all seasons: Unwinding the roles and mechanisms of circadian and interval timers in the hypothalamus and pituitary. J. Endocrinol. 2016, 228, X1. [Google Scholar] [CrossRef] [PubMed]
- Silva, J.F.; Ocarino, N.M.; Serakides, R. Thyroid hormones and female reproduction. Biol. Reprod. 2018, 99, 907–921. [Google Scholar] [CrossRef]
- Brent, G.A. Mechanisms of thyroid hormone action. J. Clin. Investig. 2012, 122, 3035–3043. [Google Scholar] [CrossRef] [PubMed]
- Yao, B.; Tan, Y.; An, K.; Kang, Y.; Hou, Q.; Zhang, D.; Su, J. Seasonal patterns of miRNA and mRNA expression profiles in the testes of plateau zokors (Eospalax baileyi). Comp. Biochem. Physiol. Part D Genom. Proteom. 2023, 48, 101143. [Google Scholar] [CrossRef]
- Zhao, C.; Wang, S.; Liu, Y.; Chu, P.; Han, B.; Ning, X.; Wang, T.; Yin, S. Acute cold stress leads to zebrafish ovarian dysfunction by regulating miRNA and mRNA. Comp. Biochem. Physiol. Part D Genom. Proteom. 2023, 48, 101139. [Google Scholar] [CrossRef] [PubMed]
- Banerjee, P.; Diniz, W.J.S.; Dyce, P.W. Dataset for miRNA expression analysis in the peripheral white blood cells of beef heifers at weaning. Data Brief 2023, 50, 109515. [Google Scholar] [CrossRef]
- Ghaderi, P.; Fallah, S.; Khaledi, H.R.; Tehranian, A.; Rahmati, F.; Sheikhhasani, S. Expression levels of foxo-1, p27kip1, miR-27, miR-186 and akt1/akt-p proteins in women with endometrial cancer and hyperplasia: Implications for the human reproductive system. Acta Endocrinol. 2023, 19, 1–9. [Google Scholar] [CrossRef]
- Yang, J.; Li, X.; Cao, Y.H.; Pokharel, K.; Hu, X.J.; Chen, Z.H.; Xu, S.S.; Peippo, J.; Honkatukia, M.; Kantanen, J.; et al. Comparative mRNA and miRNA expression in European mouflon (Ovis musimon) and sheep (Ovis aries) provides novel insights into the genetic mechanisms for female reproductive success. Heredity 2019, 122, 172–186. [Google Scholar] [CrossRef]
- Gao, R.; Lyu, X.; Yang, Y.; Fu, J.; Zhao, C.; Guan, H.; Ma, X. Evaluating the progression to abnormal thyrotropin in euthyroid preconception women: A population-based study. Thyroid. Res. 2024, 17, 5. [Google Scholar] [CrossRef]
- Chang, C.; He, X.; Di, R.; Wang, X.; Han, M.; Liang, C.; Chu, M. Thyroid transcriptomic profiling reveals the differential regulation of lncRNA and mRNA related to prolificacy in small tail han sheep with FecB BB genotype. Anim. Biotechnol. 2024, 35, 2312393. [Google Scholar] [CrossRef] [PubMed]
- Norris, D.O. Thyroid and reproduction in amphibians and reptiles. J. Exp. Zool. A Ecol. Integr. Physiol. 2023, 339, 869–877. [Google Scholar] [CrossRef] [PubMed]
- Poppe, K. Management of endocrine disease: Thyroid and female infertility: More questions than answers?! Eur. J. Endocrinol. 2021, 184, R123–R135. [Google Scholar] [CrossRef] [PubMed]
- Toraih, E.A.; Ruiz, E.; Ning, B.; Tortelote, G.G.; Hilliard, S.; Moroz, K.; Hu, T.; Fawzy, M.S.; Kandil, E. Chromatin-Accessible miRNA regulons driving thyroid tumorigenesis and progression. J. Am. Coll. Surg. 2023, 236, 732–750. [Google Scholar] [CrossRef] [PubMed]
- Aranda, A. MicroRNAs and thyroid hormone action. Mol. Cell. Endocrinol. 2021, 525, 111175. [Google Scholar] [CrossRef] [PubMed]
- Fuziwara, C.S.; Kimura, E.T. MicroRNAs in thyroid development, function and tumorigenesis. Mol. Cell. Endocrinol. 2017, 456, 44–50. [Google Scholar] [CrossRef]
- Lu, N.; Min, J.; Peng, L.; Huang, S.; Chai, X.; Wang, S.; Wang, J. MiR-297 inhibits tumour progression of liver cancer by targeting PTBP3. Cell Death Dis. 2023, 14, 564. [Google Scholar] [CrossRef]
- Badehnoosh, B.; Rajabpoor Nikoo, N.; Asemi, R.; Shafabakhsh, R.; Asemi, Z. MiRNAs: Emerging agents for therapeutic effects of polyphenols on ovarian cancer. Mini-Rev. Med. Chem. 2024, 24, 440–452. [Google Scholar] [CrossRef]
- Dosil, S.G.; Rodríguez-Galán, A.; Sánchez-Madrid, F.; Fernández-Messina, L. MicroRNAs in T cell-immunotherapy. Int. J. Mol. Sci. 2022, 24, 250. [Google Scholar] [CrossRef]
- Mellis, D.; Caporali, A. MicroRNA-based therapeutics in cardiovascular disease: Screening and delivery to the target. Biochem. Soc. Trans. 2018, 46, 11–21. [Google Scholar] [CrossRef]
- Dardente, H.; Wood, S.; Ebling, F.; Sáenz de Miera, C. An integrative view of mammalian seasonal neuroendocrinology. J. Neuroendocrinol. 2019, 31, e12729. [Google Scholar] [CrossRef]
- Guh, Y.J.; Tamai, T.K.; Yoshimura, T. The underlying mechanisms of vertebrate seasonal reproduction. Proc. Jpn. Acad. Ser. B Phys. Biol. Sci. 2019, 95, 343–357. [Google Scholar] [CrossRef]
- Legoff, L.; Dali, O.; De La Mata Santaella, E.; Jaulin, C.; D’Cruz, S.C.; Smagulova, F. Histone deacetylase inhibition leads to regulatory histone mark alterations and impairs meiosis in oocytes. Epigenet. Chromatin 2021, 14, 39. [Google Scholar] [CrossRef] [PubMed]
- Xia, Q.; Chu, M.; He, X.; Liu, Q.; Zhang, X.; Zhang, J.; Guo, X.; Di, R. Corrigendum: Identification of photoperiod-induced lncRNAs and mRNAs in pituitary pars tuberalis of sheep. Front. Vet. Sci. 2021, 8, 753614. [Google Scholar] [CrossRef] [PubMed]
- He, X.; Tao, L.; Zhong, Y.; Di, R.; Xia, Q.; Wang, X.; Guo, X.; Gan, S.; Zhang, X.; Zhang, J.; et al. Photoperiod induced the pituitary differential regulation of lncRNAs and mRNAs related to reproduction in sheep. PeerJ 2021, 9, e10953. [Google Scholar] [CrossRef] [PubMed]
- Quinlan, A.R.; Hall, I.M. Bedtools: A flexible suite of utilities for comparing genomic features. Bioinformatics 2010, 26, 841–842. [Google Scholar] [CrossRef]
- Reyhan, V.D.; Sadeghi, M.; Miraei-Ashtiani, S.R.; Ghafouri, F.; Kastelic, J.P.; Barkema, H.W. Integrated transcriptome and regulatory network analyses identify candidate genes and pathways modulating ewe fertility. Gene Rep. 2022, 28, 101659. [Google Scholar] [CrossRef]
- Wang, W.; He, X.; Di, R.; Wang, X.; Chu, M. Photoperiods induced the circRNA differential expression in the thyroid gland of OVX+E2 ewes. Front. Endocrinol. 2022, 13, 974518. [Google Scholar] [CrossRef]
- Wang, W.; He, X.; Di, R.; Wang, X.; Chu, M. Transcriptome analysis revealed long non-coding RNAs associated with mRNAs in sheep thyroid gland under different photoperiods. Genes 2022, 13, 606. [Google Scholar] [CrossRef]
- Gonzalez, G.; Behringer, R.R. Dicer is required for female reproductive tract development and fertility in the mouse. Mol. Reprod. Dev. 2009, 76, 678–688. [Google Scholar] [CrossRef] [PubMed]
- Ikegami, K.; Yoshimura, T. The hypothalamic-pituitary-thyroid axis and biological rhythms: The discovery of TSH’s unexpected role using animal models. Best. Pract. Res. Clin. Endocrinol. Metab. 2017, 31, 475–485. [Google Scholar] [CrossRef]
- Medenica, S.; Nedeljkovic, O.; Radojevic, N.; Stojkovic, M.; Trbojevic, B.; Pajovic, B. Thyroid dysfunction and thyroid autoimmunity in euthyroid women in achieving fertility. Eur. Rev. Med. Pharmacol. Sci. 2015, 19, 977–987. [Google Scholar]
- Piccirilli, D.; Baldini, E.; Massimiani, M.; Camaioni, A.; Salustri, A.; Bernardini, R.; Centanni, M.; Ulisse, S.; Moretti, C.; Campagnolo, L. Thyroid hormone regulates protease expression and activation of notch signaling in implantation and embryo development. J. Endocrinol. 2018, 236, 1–12. [Google Scholar] [CrossRef]
- Miao, X.; Luo, Q.; Zhao, H.; Qin, X. Ovarian transcriptomic study reveals the differential regulation of miRNAs and lncRNAs related to fecundity in different sheep. Sci. Rep. 2016, 6, 35299. [Google Scholar] [CrossRef]
- Feng, X.; Li, F.; Wang, F.; Zhang, G.; Pang, J.; Ren, C.; Zhang, T.; Yang, H.; Wang, Z.; Zhang, Y. Genome-wide differential expression profiling of mRNAs and lncRNAs associated with prolificacy in Hu sheep. Biosci. Rep. 2018, 38, BSR20171350. [Google Scholar] [CrossRef] [PubMed]
- Zhang, Z.; Tang, J.; Di, R.; Liu, Q.; Wang, X.; Gan, S.; Zhang, X.; Zhang, J.; Hu, W.; Chu, M. Comparative transcriptomics reveal key sheep (Ovis aries) hypothalamus lncRNAs that affect reproduction. Animals 2019, 9, 152. [Google Scholar] [CrossRef] [PubMed]
- Mulvey, B.B.; Olcese, U.; Cabrera, J.R.; Horabin, J.I. An interactive network of long non-coding RNAs facilitates the drosophila sex determination decision. Biochim. Biophys. Acta 2014, 1839, 773–784. [Google Scholar] [CrossRef] [PubMed]
- Xu, Z.; Zhang, T.; Hu, J.; Zhang, J.; Yang, G.; He, J.; Wang, H.; Jiang, R.; Yao, G. MicroRNA-338-3p helps regulate ovarian function by affecting granulosa cell function and early follicular development. J. Ovarian Res. 2023, 16, 175. [Google Scholar] [CrossRef] [PubMed]
- Fernandez, H.; Agostini, A.; Baffet, H.; Chabbert-Buffet, N.; Descamps, P.; Estrade, J.P.; Giraudet, G.; Hocke, C.; Salle, B.; Tremollieres, F.; et al. Update on the management of endometriosis-associated pain in France. J. Gynecol. Obstet. Hum. Reprod. 2023, 52, 102664. [Google Scholar] [CrossRef]
- Eidem, H.R.; Ackerman, W.E., 4th; McGary, K.L.; Abbot, P.; Rokas, A. Gestational tissue transcriptomics in term and preterm human pregnancies: A systematic review and meta-analysis. BMC Med. Genom. 2015, 8, 27. [Google Scholar] [CrossRef]
- Sanders, A.P.; Burris, H.H.; Just, A.C.; Motta, V.; Svensson, K.; Mercado-Garcia, A.; Pantic, I.; Schwartz, J.; Tellez-Rojo, M.M.; Wright, R.O.; et al. MicroRNA expression in the cervix during pregnancy is associated with length of gestation. Epigenetics 2015, 10, 221–228. [Google Scholar] [CrossRef]
- Williams, K.C.; Renthal, N.E.; Gerard, R.D.; Mendelson, C.R. The microRNA (miR)-199a/214 cluster mediates opposing effects of progesterone and estrogen on uterine contractility during pregnancy and labor. Mol. Endocrinol. 2012, 26, 1857–1867. [Google Scholar] [CrossRef]
- Williams, K.C.; Renthal, N.E.; Condon, J.C.; Gerard, R.D.; Mendelson, C.R. MicroRNA-200a serves a key role in the decline of progesterone receptor function leading to term and preterm labor. Proc. Natl. Acad. Sci. USA 2012, 109, 7529–7534. [Google Scholar] [CrossRef] [PubMed]
- Renthal, N.E.; Chen, C.C.; Williams, K.C.; Gerard, R.D.; Prange-Kiel, J.; Mendelson, C.R. MiR-200 family and targets, ZEB1 and ZEB2, modulate uterine quiescence and contractility during pregnancy and labor. Proc. Natl. Acad. Sci. USA 2010, 107, 20828–20833. [Google Scholar] [CrossRef]
- Yao, J. Imaging transcriptional regulation of eukaryotic mRNA genes: Advances and outlook. J. Mol. Biol. 2017, 429, 14–31. [Google Scholar] [CrossRef]
- Kowalski, P.S.; Rudra, A.; Miao, L.; Anderson, D.G. Delivering the messenger: Advances in technologies for therapeutic mRNA delivery. Mol. Ther. 2019, 27, 710–728. [Google Scholar] [CrossRef] [PubMed]
- Liu, C.; Shi, Q.; Huang, X.; Koo, S.; Kong, N.; Tao, W. MRNA-based cancer therapeutics. Nat. Rev. Cancer 2023, 23, 526–543. [Google Scholar] [CrossRef]
- Yu, D.; Pan, M.; Li, Y.; Lu, T.; Wang, Z.; Liu, C.; Hu, G. RNA N6-methyladenosine reader IGF2BP2 promotes lymphatic metastasis and epithelial-mesenchymal transition of head and neck squamous carcinoma cells via stabilizing slug mRNA in an m6A-dependent manner. J. Exp. Clin. Cancer Res. 2022, 41, 6. [Google Scholar] [CrossRef]
- Boucsein, A.; Benzler, J.; Hempp, C.; Stöhr, S.; Helfer, G.; Tups, A. Photoperiodic and Diurnal Regulation of WNT Signaling in the Arcuate Nucleus of the Female Djungarian Hamster, Phodopus sungorus. Endocrinology 2016, 157, 799–809. [Google Scholar] [CrossRef] [PubMed][Green Version]
- Duchartre, Y.; Kim, Y.M.; Kahn, M. The Wnt signaling pathway in cancer. Crit. Rev. Oncol. Hematol. 2016, 99, 141–149. [Google Scholar] [CrossRef] [PubMed]
- Gao, Y.; Chen, N.; Fu, Z.; Zhang, Q. Progress of Wnt Signaling Pathway in Osteoporosis. Biomolecules 2023, 13, 483. [Google Scholar] [CrossRef]
- Helfer, G.; Tups, A. Hypothalamic Wnt Signalling and its Role in Energy Balance Regulation. J. Neuroendocrinol. 2016, 28, 12368. [Google Scholar] [CrossRef]
- Liu, J.; Xu, Y.; Wang, Y.; Zhang, J.; Fu, Y.; Liufu, S.; Jiang, D.; Pan, J.; Ouyang, H.; Huang, Y.; et al. The DNA methylation status of the serotonin metabolic pathway associated with reproductive inactivation induced by long-light exposure in Magang geese. BMC Genom. 2023, 24, 355. [Google Scholar] [CrossRef] [PubMed]
- Saiki, H.; Hayashi, Y.; Yoshii, S.; Kimura, E.; Nakagawa, K.; Kato, M.; Uema, R.; Inoue, T.; Sakatani, A.; Yoshihara, T.; et al. The apelin-apelin receptor signaling pathway in fibroblasts is involved in tumor growth via p53 expression of cancer cells. Int. J. Oncol. 2023, 63, 139. [Google Scholar] [CrossRef]
- Zheng, X.D.; Huang, Y.; Li, H. Regulatory role of Apelin-13-mediated PI3K/AKT signaling pathway in the glucose and lipid metabolism of mouse with gestational diabetes mellitus. Immunobiology 2021, 226, 152135. [Google Scholar] [CrossRef] [PubMed]
- de Oliveira, A.A.; Vergara, A.; Wang, X.; Vederas, J.C.; Oudit, G.Y. Apelin pathway in cardiovascular, kidney, and metabolic diseases: Therapeutic role of apelin analogs and apelin receptor agonists. Peptides 2022, 147, 170697. [Google Scholar] [CrossRef] [PubMed]
- Cassuto, N.G.; Piquemal, D.; Boitrelle, F.; Larue, L.; Lédée, N.; Hatem, G.; Ruoso, L.; Bouret, D.; Siffroi, J.P.; Rouen, A.; et al. Molecular Profiling of Spermatozoa Reveals Correlations between Morphology and Gene Expression: A Novel Biomarker Panel for Male Infertility. BioMed Res. Int. 2021, 2021, 1434546. [Google Scholar] [CrossRef] [PubMed]
- He, W.; Huang, H.; Zhang, H.; Sun, H. Comparative Phosphoproteomic Profiling in the Prefrontal Cortex of Prenatally Stressed Male Offspring Rats. Dev. Neurosci. 2022, 44, 532–546. [Google Scholar] [CrossRef]
- Houillier, P. Calcium-sensing in the kidney. Curr. Opin. Nephrol. Hypertens. 2013, 22, 566–571. [Google Scholar] [CrossRef]
- Shi, Y.; Tang, L.; Bai, X.; Du, K.; Wang, H.; Jia, X.; Lai, S. Heat Stress Altered the Vaginal Microbiome and Metabolome in Rabbits. Front. Microbiol. 2022, 13, 813622. [Google Scholar] [CrossRef] [PubMed]
- Yang, Z.L.; Chen, J.N.; Lu, Y.Y.; Lu, M.; Wan, Q.L.; Wu, G.S.; Luo, H.R. Inositol polyphosphate multikinase IPMK-1 regulates development through IP3/calcium signaling in caenorhabditis elegans. Cell Calcium 2021, 93, 102327. [Google Scholar] [CrossRef]
- Gholizadeh, M.; Esmaeili-Fard, S.M. Meta-analysis of genome-wide association studies for litter size in sheep. Theriogenology 2022, 180, 103–112. [Google Scholar] [CrossRef] [PubMed]







| Group | Light Treatment | Number |
|---|---|---|
| Room 1 | Short photoperiod (SP) | 3 |
| Room 2 | Long photoperiod (LP) | 3 |
| Room 3 | short photoperiod to a long photoperiod (SPLP) | 3 |
| Sample | A1 | A2 | A3 | B1 | B2 | B3 | C1 | C2 | C3 |
|---|---|---|---|---|---|---|---|---|---|
| Mapping rate (%) | 50.86 | 53.19 | 52.05 | 50.38 | 54.15 | 50.98 | 51.31 | 53.51 | 51.58 |
| Known miRNA number | 117 | 127 | 128 | 136 | 129 | 123 | 117 | 124 | 139 |
| Novel miRNA number | 73 | 76 | 91 | 91 | 89 | 65 | 114 | 82 | 73 |
| Sample | A1 | A2 | A3 | B1 | B2 | B3 | C1 | C2 | C3 |
|---|---|---|---|---|---|---|---|---|---|
| Total clean reads (mature) | 8,066,453 | 8,940,877 | 9,139,311 | 7,944,340 | 11,095,413 | 8,491,940 | 8,689,677 | 9,725,668 | 7,425,343 |
| Unique clean reads (mature) | 1493 | 1494 | 1445 | 1627 | 1508 | 1403 | 1516 | 1387 | 1692 |
Disclaimer/Publisher’s Note: The statements, opinions and data contained in all publications are solely those of the individual author(s) and contributor(s) and not of MDPI and/or the editor(s). MDPI and/or the editor(s) disclaim responsibility for any injury to people or property resulting from any ideas, methods, instructions or products referred to in the content. |
© 2024 by the authors. Licensee MDPI, Basel, Switzerland. This article is an open access article distributed under the terms and conditions of the Creative Commons Attribution (CC BY) license (https://creativecommons.org/licenses/by/4.0/).
Share and Cite
Ren, Z.; Wang, W.; He, X.; Chu, M. The Response of the miRNA Profiles of the Thyroid Gland to the Artificial Photoperiod in Ovariectomized and Estradiol-Treated Ewes. Animals 2025, 15, 11. https://doi.org/10.3390/ani15010011
Ren Z, Wang W, He X, Chu M. The Response of the miRNA Profiles of the Thyroid Gland to the Artificial Photoperiod in Ovariectomized and Estradiol-Treated Ewes. Animals. 2025; 15(1):11. https://doi.org/10.3390/ani15010011
Chicago/Turabian StyleRen, Zizhen, Wei Wang, Xiaoyun He, and Mingxing Chu. 2025. "The Response of the miRNA Profiles of the Thyroid Gland to the Artificial Photoperiod in Ovariectomized and Estradiol-Treated Ewes" Animals 15, no. 1: 11. https://doi.org/10.3390/ani15010011
APA StyleRen, Z., Wang, W., He, X., & Chu, M. (2025). The Response of the miRNA Profiles of the Thyroid Gland to the Artificial Photoperiod in Ovariectomized and Estradiol-Treated Ewes. Animals, 15(1), 11. https://doi.org/10.3390/ani15010011

