Assessment of a Teaching Module for Cardiac Auscultation of Horses by Veterinary Students
Abstract
Simple Summary
Abstract
1. Introduction
2. Methodology
2.1. Live Animal Recordings
2.2. Resource Development and Distribution
2.3. Survey Data Capture
2.4. Method of Data Analysis
3. Results
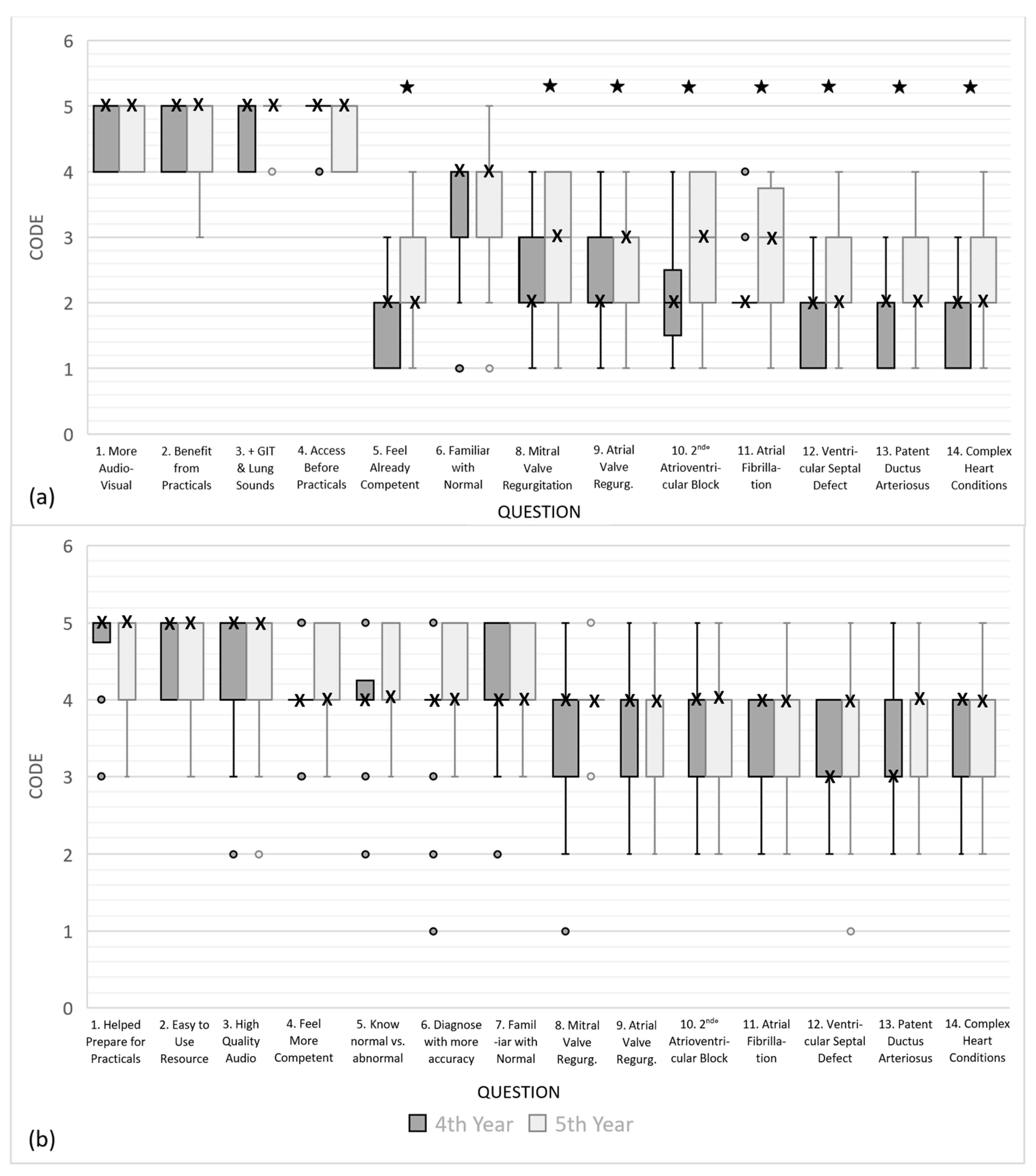
3.1. Quantitative Data
3.2. Qualitative Data
4. Discussion
5. Conclusions
Supplementary Materials
Author Contributions
Funding
Institutional Review Board Statement
Informed Consent Statement
Data Availability Statement
Acknowledgments
Conflicts of Interest
References
- Eichel, J.-C.; Korb, W.; Schlenker, A.; Bausch, G.; Brehm, W.; Delling, U. Evaluation of a training model to teach veterinary students a technique for injecting the jugular vein in horses. J. Vet. Med. Educ. 2013, 40, 288–295. [Google Scholar] [CrossRef] [PubMed]
- Duijvestijn, M.B.H.M.; Van der Wiel, B.M.W.K.; Vinke, C.M.; Diaz Espineira, M.M.; Bok, H.G.J.; Vernooij, J.C.M. Implementation of a Blended Learning Module to Teach Handling, Restraint, and Physical Examination of Cats in Undergraduate Veterinary Training. J. Vet. Med. Educ. 2021, 49, 537–546. [Google Scholar] [CrossRef]
- Voin, V.; Oskouian, R.J.; Loukas, M.; Tubbs, R.S. Auscultation of the heart. Clin. Anat. 2017, 30, 58–60. [Google Scholar] [CrossRef] [PubMed]
- Travis, L.D. Auscultation Resources. J. Electron. Resour. Med. Libr. 2015, 12, 190–197. [Google Scholar] [CrossRef]
- Dilly, M.; Read, E.K.; Baillie, S. A Survey of Established Veterinary Clinical Skills Laboratories from Europe and North America: Present Practices and Recent Developments. J. Vet. Med. Educ. 2017, 44, 580–589. [Google Scholar] [CrossRef]
- George, J.H.; Doto, F.X. A simple five-step method for teaching clinical skills. Fam. Med. 2001, 33, 577–578. [Google Scholar]
- Silva-Fletcher, A. The modern outcome-based curriculum and the role of the clinical skills laboratory. In Veterinary Clinical Skills Manual; Coombes, N., Silva-Fletcher, A., Eds.; CAB International: Wallingford, UK, 2018; pp. 9–15. [Google Scholar]
- Lake, F.R.; Hamdorf, J.M. Teaching a skill. In Teaching on the Run; Australasian Medical Publishing Company: Pyrmont, Australia, 2007; pp. 15–18. [Google Scholar]
- Muca, E.; Cavallini, D.; Raspa, F.; Bordin, C.; Bergero, D.; Valle, E. Integrating New Learning Methods into Equine Nutrition Classrooms: The Importance of Students’ Perceptions. J. Equine Vet. Sci. 2023, 126, 104537. [Google Scholar] [CrossRef] [PubMed]
- Baillie, S.; Decloedt, A.; Londgren, M.F. Designing Flipped Classrooms to Enhance Learning in the Clinical Skills Laboratory. J. Vet. Med. Educ. 2021, 49, 699–704. [Google Scholar] [CrossRef] [PubMed]
- Bok, H.G.J.; Jaarsma, D.A.D.C.; Teunissen, P.W.; van der Vleuten, C.P.M.; van Beukelen, P. Development and Validation of a Competency Framework for Veterinarians. J. Vet. Med. Educ. 2011, 38, 262–269. [Google Scholar] [CrossRef] [PubMed]
- Danielson, J.A. Key Assumptions Underlying a Competency-Based Approach to Medical Sciences Education, and Their Applicability to Veterinary Medical Education. Front. Vet. Sci. 2021, 8, 688457. [Google Scholar] [CrossRef]
- Jani, V.; Danford, D.A.; Thompson, W.R.; Schuster, A.; Manlhiot, C.; Kutty, S. The discerning ear: Cardiac auscultation in the era of artificial intelligence and telemedicine. Eur. Heart J. Digit. Health 2021, 2, 456–466. [Google Scholar] [CrossRef] [PubMed]
- Barrett, M.J.; Mackie, A.S.; Finley, J.P. Cardiac Auscultation in the Modern Era: Premature Requiem or Phoenix Rising? Cardiol. Rev. 2017, 25, 205–210. [Google Scholar] [CrossRef] [PubMed]
- Machado, A.; Oliveira, A.; Jácome, C.; Pereira, M.; Moreira, J.; Rodrigues, J.; Aparício, J.; Jesus, L.M.T.; Marques, A. Usability of Computerized Lung Auscultation–Sound Software (CLASS) for learning pulmonary auscultation. Med. Biol. Eng. Comput. 2018, 56, 623–633. [Google Scholar] [CrossRef] [PubMed]
- Kelmenson, D.A.; Heath, J.K.; Ball, S.A.; Kaafarani, H.M.A.; Baker, E.M.; Yeh, D.D.; Bittner, E.A.; Eikermann, M.; Lee, J. Prototype electronic stethoscope vs conventional stethoscope for auscultation of heart sounds. J. Med. Eng. Technol. 2014, 38, 307–310. [Google Scholar] [CrossRef] [PubMed]
- Jones, J.L.; Rinehart, J.; Spiegel, J.J.; Englar, R.E.; Sidaway, B.K.; Rowles, J. Development of Veterinary Anesthesia Simulations for Pre-Clinical Training: Design, Implementation, and Evaluation Based on Student Perspectives. J. Vet. Med. Educ. 2018, 45, 232–240. [Google Scholar] [CrossRef] [PubMed]
- Read, E.K.; Vallevand, A.; Farrell, R.M. Evaluation of veterinary student surgical skills preparation for ovariohysterectomy using simulators: A pilot study. J. Vet. Med. Educ. 2016, 43, 190–213. [Google Scholar] [CrossRef] [PubMed]
- Panagiotakos, D.B. Value of p-value in biomedical research. Open Cardiovasc. Med. J. 2008, 2, 97–99. [Google Scholar] [CrossRef] [PubMed]
- Braun, V.; Clarke, V. Using thematic analysis in psychology. Qual. Res. Psychol. 2006, 3, 77–101. [Google Scholar] [CrossRef]
- King, E.; Norman, E.J.; Mossop, L.H.; Cobb, K.A.; Matthew, S.M.; Scholz, E.C.; Schull, D.N. Qualitative Research in Veterinary Medical Education: Part 1—Principles of Qualitative Design. J. Vet. Med. Educ. 2021, 48, 511–518. [Google Scholar] [CrossRef]
- Myers, S.A.; Blackmore, M.J.; Smith, T.F.; Carter, R.W.B. Climate change and stewardship: Strategies to build community resilience in the Capricorn Coast. Australas. J. Environ. Manag. 2012, 19, 164–181. [Google Scholar] [CrossRef]
- Leximancer User Guide. Available online: https://static1.squarespace.com/static/5e26633cfcf7d67bbd350a7f/t/61a84738789d220c1a865559/1638418279565/Leximancer-User-Guide-5.pdf (accessed on 1 November 2022).
- Sotiriadou, P.; Brouwers, J.; Le, T.-A. Choosing a qualitative data analysis tool: A comparison of NVivo and Leximancer. Ann. Leis. Res. 2014, 17, 218–234. [Google Scholar] [CrossRef]
- Crofts, K.; Bisman, J. Interrogating accountability: An illustration of the use of Leximancer software for qualitative data analysis. Qual. Res. Account. Manag. 2010, 7, 180–207. [Google Scholar] [CrossRef]
- King, E.; Scholz, E.C.; Matthew, S.M.; Mossop, L.H.; Cobb, K.A.; Norman, E.J.; Schull, D.N. Qualitative Research in Veterinary Medical Education: Part 2—Carrying Out Research Projects. J. Vet. Med. Educ. 2021, 48, 519–527. [Google Scholar] [CrossRef] [PubMed]
- Patton, M.Q. Enhancing the quality and credibility of qualitative analysis. Health Serv. Res. 1999, 34, 1189–1208. [Google Scholar] [PubMed]
- Butter, J.; McGaghie, W.C.; Cohen, E.R.; Kaye, M.; Wayne, D.B. Simulation-based Mastery Learning Improves Cardiac Auscultation Skills in Medical Students. J. Gen. Intern. Med. 2010, 25, 780–785. [Google Scholar] [CrossRef]
- McKinney, J.; Cook, D.A.; Wood, D.; Hatala, R. Simulation-Based Training for Cardiac Auscultation Skills: Systematic Review and Meta-Analysis. J. Gen. Intern. Med. 2013, 28, 283–291. [Google Scholar] [CrossRef] [PubMed]
- Power, J.E.; Toft, L.E.B.; Barrett, M. The Murmur Online Learning Experience (MOLE) Curriculum Improves Medical Students’ Ability to Correctly Identify Cardiac Murmurs. MedEdPORTAL 2020, 16, 10904. [Google Scholar] [CrossRef] [PubMed]
- Ward, J.J.; Wattier, B.A. Technology for enhancing chest auscultation in clinical simulation. Respir. Care 2011, 56, 834–845. [Google Scholar] [CrossRef] [PubMed]
- Finley, J.P.; Sharratt, G.P.; Nanton, M.A.; Chen, R.P.; Roy, D.L.; Paterson, G. Auscultation of the heart: A trial of classroom teaching versus computer-based independent learning. Med. Educ. 1998, 32, 357–361. [Google Scholar] [CrossRef]
- Radu, M.-C.; Schnakovszky, C.; Herghelegiu, E.; Ciubotariu, V.-A.; Cristea, I. The Impact of the COVID-19 Pandemic on the Quality of Educational Process: A Student Survey. Int. J. Env. Res. Public. Health 2020, 17, 7770. [Google Scholar] [CrossRef]
- Mahdy, M.A.A. The Impact of COVID-19 Pandemic on the Academic Performance of Veterinary Medical Students. Front. Vet. Sci. 2020, 7, 594261. [Google Scholar] [CrossRef] [PubMed]
- Mahdy, M.A.A.; Sayed, R.K.A. Evaluation of the online learning of veterinary anatomy education during the COVID-19 pandemic lockdown in Egypt: Students’ perceptions. Anat. Sci. Educ. 2022, 15, 67–82. [Google Scholar] [CrossRef] [PubMed]
- Stoian, C.E.; Fărcașiu, M.A.; Dragomir, G.-M.; Gherheș, V. Transition from Online to Face-to-Face Education after COVID-19: The Benefits of Online Education from Students’ Perspective. Sustainability 2022, 14, 12812. [Google Scholar] [CrossRef]
- Muca, E.; Cavallini, D.; Odore, R.; Baratta, M.; Bergero, D.; Valle, E. Are Veterinary Students Using Technologies and Online Learning Resources for Didactic Training? A Mini-Meta Analysis. Educ. Sci. 2022, 12, 573. [Google Scholar] [CrossRef]
- Christley, R.M.; Perkins, E. Researching hard to reach areas of knowledge: Qualitative research in veterinary science: Researching hard to reach areas of knowledge. Equine Vet. J. 2010, 42, 285–286. [Google Scholar] [CrossRef]
- Henderson, D.; Baffour, T. Applying a Socio-Ecological Framework to Thematic Analysis Using a Statewide Assessment of Disproportionate Minority Contact in the United States. Qual. Rep. 2015, 20, 1960. [Google Scholar] [CrossRef]
- Royal College of Veterinary Surgeons. Code of Professional Conduct for Veterinary Surgeons. Available online: https://www.rcvs.org.uk/setting-standards/advice-and-guidance/code-of-professional-conduct-for-veterinary-surgeons/ (accessed on 2 November 2022).
- Mullowney, D.; Fuentes, V.L.; Barfield, D. Cardiac auscultation skills in final year veterinary students and recent veterinary graduates, referral hospital veterinary surgeons and veterinary cardiologists or cardiology residents. Vet. Rec. 2021, 189, e305. [Google Scholar] [CrossRef]
- Cook, D.A. If you teach them, they will learn: Why medical education needs comparative effectiveness research. Adv. Health Sci. Educ. Theory Pract. 2012, 17, 305–310. [Google Scholar] [CrossRef] [PubMed]
- Selek, M.; Duyar, M.; Isler, Y. Electronic Stethoscope Design. J. Intell. Syst. Appl. 2020, 3, 10–16. [Google Scholar] [CrossRef]
- Fan, M.; Wang, Q.; Liu, J.; Su, L.; Wang, B.; Xu, H.; Li, Q.; Zhang, Z. Real-world evaluation of the Stemoscope electronic tele-auscultation system. Biomed. Eng. Online 2022, 21, 63. [Google Scholar] [CrossRef]








| Year & Total Responses | Pre-Intervention Cohort | Post-Intervention Cohort | |||
|---|---|---|---|---|---|
| Year & Cohort | Total | Responses | Percentage | Responses | Percentage |
| 2021 4th year | 112 | 35 | 31% | 26 | 23% |
| 2021 5th year | 110 | 16 | 15% | 9 | 8% |
| 2022 4th year | 119 | 14 | 12% | 8 | 7% |
| 2022 5th year | 112 | 24 | 21% | 14 | 13% |
| Pre-Intervention Survey Difference for 4th versus 5th Year Responses | Post-Intervention Survey Difference for 4th and 5th Year Responses | Pre and Post-Survey Comparison of Pooled Responses | |||
|---|---|---|---|---|---|
| Question | p Value | Question | p Value | Question | p Value |
| 1. I am interested in more audio-visual learning resources for cardiac auscultation | 0.66 | 1. This resource helped me prepare for practicals/training | 0.50 | Questions 1–7 are not comparable between the pooled pre-and post-intervention responses | |
| 2. I think these resources would benefit practical studies immensely | 0.99 | 2. The resource was easy to work with | 0.11 | ||
| 3. I would like to see more resources with recordings of GIT and lung sounds also | 0.14 | 3. I prefer clear high-quality audio without background noise and artefacts for learning new auscultation techniques, | 0.87 | ||
| 4. I/students would feel more competent in practicals if we/they had access to such learning resources beforehand | 0.46 | 4. I feel more competent with my practical and diagnostic skills | 0.28 | ||
| 5. I am already competent at auscultating sounds over each of the heart valves | 0.005 * | 5. I can differentiate between normal and abnormal equine heart sounds | 0.30 | ||
| 6. I am familiar with identifying normal heart sounds | 0.72 | 6. I believe I can diagnose heart sounds with more accuracy after using the resource | 0.14 | ||
| 7. # | 7. I am familiar with identifying normal heart sounds | 0.32 | |||
| 8. I am able to identify mitral valve regurgitation (systolic murmur) | 0.0001 * | 8. I am able to identify mitral valve regurgitation (systolic murmur) | 0.11 | 8. | <0.0001 √ |
| 9. I am able to identify aortic valve regurgitation (diastolic murmur) | 0.007 * | 9. I am able to identify aortic valve regurgitation (diastolic murmur) | 0.36 | 9. | <0.0001 √ |
| 10. I am able to identify second degree atrioventricular blocks (AVB) | 0.0001 * | 10. I am able to identify second degree atrioventricular blocks (AVB) | 0.24 | 10. | <0.0001 √ |
| 11. I am able to identify atrial fibrillation | 0.0008 * | 11. I am able to identify atrial fibrillation | 0.55 | 11. | <0.0001 √ |
| 12. I am able to identify ventricular septal defects (VSD) | 0.005 * | 12. I am able to identify ventricular septal defects (VSD) | 0.17 | 12. | <0.0001 √ |
| 13. I am able to identify a patent ductus arteriosus (PDA) | 0.008 * | 13. I am able to identify a patent ductus arteriosus (PDA) | 0.05 | 13. | <0.0001 √ |
| 14. I understand how to diagnose complex heart conditions | 0.01* | 14. I understand how to diagnose complex heart conditions | 0.29 | 14. | <0.0001 √ |
| Pre-Intervention Survey Question: ‘What Do You Find Most Difficult about Developing Auscultation Skills?’ | |||
| Title | Code | Attributes | Responses |
| Practical skills | PRAC | Few opportunities to gain practical skills in auscultation | 41 |
| Abnormal versus normal | A&N | Difficulty in distinguishing between normal and abnormal cardiac sounds/pathologies to make a diagnosis | 23 |
| Anatomy and physiology | A&P | Understanding anatomy, physiology and placement of stethoscope for auscultation | 16 |
| Heart murmur | MUR | Heart murmurs specifically subtle/low-grade heart murmurs | 13 |
| Teaching and learning | TEA | Having supervision when auscultating, teachers or learning resources | 11 |
| GIT auscultation | GIT | GIT auscultation | 3 |
| Other | OTH | Anything that doesn’t fit any of the above | 4 |
| Post-intervention survey question: ‘What was most helpful about the learning resource?’ | |||
| Title | Code | Attributes | Responses |
| Complete resource | RES | The helpfulness of having the material condensed into a single resource | 5 |
| Audio visual | AV | The audio or visuals being helpful or the inclusion of audio recordings and/or ECG’s in the resource | 46 |
| Abnormal | ABN | Including information regarding abnormalities or pathologies | 6 |
| Nothing | NOT | The resource not being helpful | 1 |
| Revision | REV | Anatomy and/or revision | 5 |
| Heart murmur | MUR | Heart murmurs specifically | 5 |
| Clear explanation | CLE | Clear explanations and descriptions | 13 |
| Ease of use | EASE | Ease of use | 2 |
| Understanding | UN | Understanding information presented in the resource | 5 |
| Other | OTH | Anything that doesn’t fit any of the above | 1 |
| Post-intervention survey question: ‘What would improve the learning resource?’ | |||
| Title | Code | Attributes | Responses |
| Clearer explanations | CLA | The explanations and clarity of information in the resource | 3 |
| Audio | AUD | The clearness of audio recordings or inclusion of more recordings | 17 |
| Concise | CON | Improving the conciseness of the slides | 5 |
| Nothing | NOT | The resource not needing any improvements | 1 |
| Cases | CAS | More cases and/or inclusion of more quiz questions | 5 |
| More interaction | INT | Technology and improved graphics to make it even more interactive | 17 |
| Accessibility | ACC | More accessibility to the resource and/or incorporation in more areas of the curriculum | 2 |
| Additional information | INFO | Additional information to include | 6 |
| Other | OTH | Anything that doesn’t fit any of the above | 2 |
Disclaimer/Publisher’s Note: The statements, opinions and data contained in all publications are solely those of the individual author(s) and contributor(s) and not of MDPI and/or the editor(s). MDPI and/or the editor(s) disclaim responsibility for any injury to people or property resulting from any ideas, methods, instructions or products referred to in the content. |
© 2024 by the authors. Licensee MDPI, Basel, Switzerland. This article is an open access article distributed under the terms and conditions of the Creative Commons Attribution (CC BY) license (https://creativecommons.org/licenses/by/4.0/).
Share and Cite
Wood, A.; Shapter, F.M.; Stewart, A.J. Assessment of a Teaching Module for Cardiac Auscultation of Horses by Veterinary Students. Animals 2024, 14, 1341. https://doi.org/10.3390/ani14091341
Wood A, Shapter FM, Stewart AJ. Assessment of a Teaching Module for Cardiac Auscultation of Horses by Veterinary Students. Animals. 2024; 14(9):1341. https://doi.org/10.3390/ani14091341
Chicago/Turabian StyleWood, Alyse, Frances Marie Shapter, and Allison J. Stewart. 2024. "Assessment of a Teaching Module for Cardiac Auscultation of Horses by Veterinary Students" Animals 14, no. 9: 1341. https://doi.org/10.3390/ani14091341
APA StyleWood, A., Shapter, F. M., & Stewart, A. J. (2024). Assessment of a Teaching Module for Cardiac Auscultation of Horses by Veterinary Students. Animals, 14(9), 1341. https://doi.org/10.3390/ani14091341

