Sign in to use this feature.

Years

Between: -

Subjects

remove_circle_outline
remove_circle_outline
remove_circle_outline
remove_circle_outline
remove_circle_outline
remove_circle_outline
remove_circle_outline
remove_circle_outline
remove_circle_outline

Journals

remove_circle_outline
remove_circle_outline
remove_circle_outline
remove_circle_outline
remove_circle_outline
remove_circle_outline
remove_circle_outline
remove_circle_outline
remove_circle_outline
remove_circle_outline
remove_circle_outline
remove_circle_outline
remove_circle_outline
remove_circle_outline
remove_circle_outline
remove_circle_outline
remove_circle_outline
remove_circle_outline
remove_circle_outline
remove_circle_outline
remove_circle_outline
remove_circle_outline
remove_circle_outline
remove_circle_outline
remove_circle_outline
remove_circle_outline
remove_circle_outline

Article Types

Countries / Regions

remove_circle_outline
remove_circle_outline
remove_circle_outline
remove_circle_outline
remove_circle_outline
remove_circle_outline
remove_circle_outline
remove_circle_outline

Search Results (3,281)

Search Parameters:
Keywords = arrhythmia

Order results
Result details
Results per page
Select all
Export citation of selected articles as:
17 pages, 914 KB  
Article
Machine Learning Reveals Novel Pediatric Heart Failure Phenotypes with Distinct Mortality and Hospitalization Outcomes
by Muhammad Junaid Akram, Asad Nawaz, Lingjuan Liu, Jinpeng Zhang, Haixin Huang, Bo Pan, Yuxing Yuan and Jie Tian
Diagnostics 2025, 15(22), 2893; https://doi.org/10.3390/diagnostics15222893 - 14 Nov 2025
Abstract
Background: Pediatric heart failure (PHF) is a heterogeneous syndrome with high morbidity, but existing classification systems inadequately capture its developmental and pathophysiological complexity due to reliance on adult-centric parameters. Using machine learning, we aimed to identify clinically distinct PHF phenotypes with unique [...] Read more.
Background: Pediatric heart failure (PHF) is a heterogeneous syndrome with high morbidity, but existing classification systems inadequately capture its developmental and pathophysiological complexity due to reliance on adult-centric parameters. Using machine learning, we aimed to identify clinically distinct PHF phenotypes with unique outcomes and therapeutic implications. Methods: In this multicenter retrospective study, we analyzed 2903 consecutive PHF patients (≤18 years) from 30 Chinese tertiary centers from 20 provinces (2013–2022). Unsupervised machine learning (k-means clustering with PCA) evaluated 99 clinical, biomarker, and echocardiographic variables to derive phenotypes, which were compared for mortality, hospitalization, and treatment responses. Results: Three phenotypically distinct clusters emerged. Cluster 1 (Chronic Hypertensive and Cardiorenal Profile, 30.1%) predominantly affected older children (78%) with hypertension (54.4%), renal dysfunction (creatinine 45.8 μmol/L), and ventricular tachycardia (53.8%). This cluster showed the lowest in-hospital mortality (2.5%) but frequent 7–14 day hospitalizations (35.8%) and the highest beta-blocker use (54.5%). Cluster 2 (Preterm and CHD-Associated HF, 43.4%) comprised preterm infants (71.4%) with congenital heart disease (72.2%) and preserved LVEF (67%), demonstrating the highest mortality (5.1%) and prolonged stays (>30 days: 10.6%) with predominant diuretic (40.6%) and antibiotic use (54.3%). Cluster 3 (Fulminant Myocarditis Profile, 26.5%) exhibited cardiogenic shock with severely reduced LVEF (33%) and elevated BNP (3234 pg/mL), showing bimodal outcomes (4.8% LOS < 3 days vs. 32.2% LOS 15–30 days) and the highest IVIG utilization (46.5%) with intermediate mortality (3.8%). The majority of between-group differences were statistically significant (p < 0.001). Conclusions: Machine learning identified three PHF phenotypes with distinct in-hospital risk profiles and therapeutic implications, challenging current classification systems. These findings highlight the potential for phenotype-specific management strategies and provide a rationale for future research into arrhythmia prevention in hypertensive profiles and early immunomodulation in fulminant myocarditis, while highlighting the need for specialized care pathways for preterm/CHD patients. Prospective validation is warranted to translate this framework into clinical practice. Full article
Show Figures

Figure 1

9 pages, 561 KB  
Article
Apnoeic Oxygenation Using High-Flow Oxygen: Effects on Partial Pressure of Carbon Dioxide in Rigid Bronchoscopy
by Bon-Sung Koo, Yang-Hoon Chung, Misoon Lee, Sung-Hwan Cho and Jaewoong Jung
J. Clin. Med. 2025, 14(22), 8064; https://doi.org/10.3390/jcm14228064 - 14 Nov 2025
Abstract
Background/Objectives: Rigid bronchoscopy poses safety challenges due to airway leakage. Although apnoeic oxygenation is a potential strategy, concerns over carbon dioxide (CO2) retention have limited its adoption. The introduction of high-flow nasal cannula (HFNC) has renewed interest by potentially mitigating [...] Read more.
Background/Objectives: Rigid bronchoscopy poses safety challenges due to airway leakage. Although apnoeic oxygenation is a potential strategy, concerns over carbon dioxide (CO2) retention have limited its adoption. The introduction of high-flow nasal cannula (HFNC) has renewed interest by potentially mitigating CO2 accumulation during prolonged apnoea. This study investigated changes in the arterial partial pressure of CO2 (PaCO2) during apnoeic oxygenation using Optiflow™. Methods: We retrospectively analysed patients undergoing rigid bronchoscopy with HFNC (70 L·min−1) from 2020 to 2022. The apnoeic period was defined from the onset of apnoeic oxygenation to ventilation resumption. Arterial blood gas levels and complications, including arrhythmia and desaturation, were evaluated. Regression analysis was used to evaluate changes over time. Results: Apnoeic oxygenation was performed in 10 male patients (mean age 65 ± 14 years; body mass index 24.75 ± 4.18 kg·m−2). The mean duration of apnoea was 33.7 ± 13.7 min, with PaCO2 rising linearly at 1.50 mmHg/min. No interventions were required to maintain SpO2 above 91% for all patients. Except for one case of atrial fibrillation that occurred during emergence rather than the apnoeic period, no significant complications were observed. Conclusions: The observed increase in PaCO2 was lower than in previously reported studies using HFNC via the nares, suggesting that direct delivery of oxygen to the distal airway via bronchoscopy may enhance CO2 clearance through more effective washout. Apnoeic oxygenation with HFNC could potentially overcome airway leakage for selected patients, but vigilant monitoring remains essential throughout the apnoeic period. Further research is warranted to enhance patient safety. Full article
Show Figures

Figure 1

31 pages, 1673 KB  
Review
Cardiac Involvement in Myotonic Dystrophy Type 1: Mechanisms, Clinical Perspectives, and Emerging Therapeutic Strategies
by Vamsi Krishna Murthy Ginjupalli, Jean-Baptiste Reisqs, Michael Cupelli, Mohamed Chahine and Mohamed Boutjdir
Int. J. Mol. Sci. 2025, 26(22), 10992; https://doi.org/10.3390/ijms262210992 - 13 Nov 2025
Abstract
Myotonic Dystrophy Type 1 (DM1) is a complex multisystemic genetic disorder caused by CTG repeat expansions in the DMPK gene, leading to RNA toxicity and widespread splicing defects. These splicing abnormalities affect multiple systems, including the respiratory, skeletal, cardiac, nervous, and endocrine systems, [...] Read more.
Myotonic Dystrophy Type 1 (DM1) is a complex multisystemic genetic disorder caused by CTG repeat expansions in the DMPK gene, leading to RNA toxicity and widespread splicing defects. These splicing abnormalities affect multiple systems, including the respiratory, skeletal, cardiac, nervous, and endocrine systems, resulting in aggressive symptoms that significantly impact quality of life and survival. Cardiac complications are the second leading cause of deaths in DM1, after respiratory insufficiency. Current research is largely focused on understanding cardiac pathology in DM1. This review highlights recent advancements in the clinical and pathological characterization of DM1 cardiac involvement, preclinical models used to study cardiac dysfunction, and emerging therapeutic strategies that target the molecular basis of DM1. Promising approaches include RNA-targeting strategies such as antisense oligonucleotides (ASOs), gene-editing tools like CRISPR-Cas9, and small molecules that modulate RNA splicing. ASOs aim to reduce toxic RNA accumulation, CRISPR-based approaches aim to excise or correct the expanded CTG repeats, and repurposed small-molecule drugs, such as vorinostat, tideglusib, and metformin, could serve as potential therapeutic agents for DM1 patients with cardiac complications. Despite this progress, several challenges remain: the heterogeneity of cardiac manifestations, unpredictable and often silent progression of arrhythmias, limited therapeutic options beyond implantable cardioverter-defibrillator (ICD)/pacemaker implantations, and complex interplay with the multisystemic nature of DM1. More research and well-designed clinical trials are urgently needed to translate these promising strategies into effective treatments for DM1-associated cardiac disease. Here, we discuss the current knowledge in DM1 cardiac pathology and preclinical models as well as the benefits and pitfalls of the available therapeutic approaches. Full article
(This article belongs to the Special Issue Antisense Oligonucleotides: Versatile Tools with Broad Applications)
Show Figures

Figure 1

10 pages, 2204 KB  
Article
Diagnosis and Surgical Treatment Outcomes of Cardiac Myxoma: Twenty Years of Data at a Single Institution
by Gabriele Jakuskaite, Povilas Jakuska, Rimantas Benetis, Jolanta Justina Vaskelyte and Egle Ereminiene
Medicina 2025, 61(11), 2025; https://doi.org/10.3390/medicina61112025 - 13 Nov 2025
Abstract
Background and Objectives: Cardiac myxoma (CM) is the most common primary benign neoplasm of the heart. This study’s objective was to analyse diagnostic features of CM, surgical data and postoperative courses of patients over a 20-year period in a single institution. Materials and [...] Read more.
Background and Objectives: Cardiac myxoma (CM) is the most common primary benign neoplasm of the heart. This study’s objective was to analyse diagnostic features of CM, surgical data and postoperative courses of patients over a 20-year period in a single institution. Materials and Methods: We conducted a retrospective analysis of patients with diagnosed and pathologically confirmed CM who underwent surgical resection in our hospital from 1 January 2004 to 1 January 2024. Data was assessed and analysed from medical records. Results: The study included 76 patients (mean age, 61.7 ± 12.6 years; 60.5% female). The majority of patients (93.7%) had symptoms, most commonly presenting with dyspnoea (64.5%), chest pain (39.5%) and arrhythmias (35.5%). Myxomas were found in the left atrium (89.5%), right atrium (9.2%) and left ventricle (1.3%). Isolated tumour extirpation surgery was performed in 50 patients (65.8%). During the early postoperative period, arrhythmias were the most common complication (n = 16, 21.1%). Early in-hospital mortality occurred in two patients due to cardiopulmonary failure. In the late postoperative period, 11 deaths (14.9%) were observed 4 to 17.5 years after surgery. No recurrence of CM was found in any patient during the follow-up period, yet tumours of other localisations were detected in nine patients. Conclusions: Surgery is the first-line treatment for CM, with a good prognosis. Although during the late postoperative period no cardiac tumour recurrence was observed in our study, 12.2% patients were newly diagnosed with non-cardiac neoplasms. Therefore, we suggest monitoring patients not only for cardiac disorders but also for the occurrence of extracardiac tumours. Full article
(This article belongs to the Section Cardiology)
Show Figures

Figure 1

16 pages, 1414 KB  
Article
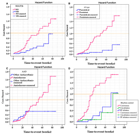
Targeting Atrial Fibrillation in HFpEF: Comparative Effectiveness of Rhythm Control Strategies and Modulatory Effects of SGLT2 Inhibitors
by Marius-Dragoș Mihăilă, Ioan-Alexandru Minciună, Bogdan Caloian, Florina Iulia Frîngu, Samuel Bogdan Todor, Andrei Iulian Aleman and Dana Pop
J. Clin. Med. 2025, 14(22), 8003; https://doi.org/10.3390/jcm14228003 - 11 Nov 2025
Viewed by 103
Abstract
Background: Atrial fibrillation (AF) is a common comorbidity in heart failure with preserved ejection fraction (HFpEF), yet the optimal rhythm control strategies and the emerging role of sodium–glucose cotransporter-2 inhibitors (SGLT2i) in maintaining sinus rhythm remain unclear. Methods: We conducted a [...] Read more.
Background: Atrial fibrillation (AF) is a common comorbidity in heart failure with preserved ejection fraction (HFpEF), yet the optimal rhythm control strategies and the emerging role of sodium–glucose cotransporter-2 inhibitors (SGLT2i) in maintaining sinus rhythm remain unclear. Methods: We conducted a single-centre, retrospective study of 120 consecutive HFpEF patients with paroxysmal or persistent AF, treated by electrical cardioversion, radiofrequency ablation (RFA), or cryoablation. The primary outcome was AF recurrence, with secondary outcomes including time to recurrence and the impact of SGLT2i on AF recurrence. Results: Both cryoablation (HR = 0.226, 95% CI: 0.089–0.573, p = 0.002) and RFA (HR = 0.293, 95% CI: 0.131–0.654, p = 0.003) were associated with lower AF recurrence rates and longer arrhythmia-free survival compared to electrical cardioversion. SGLT2i therapy was independently associated with fewer recurrences (HR = 0.421, 95% CI: 0.266–0.786, p = 0.007) and a 12-week extension of AF-free time. Conclusions: In HFpEF with AF, prioritising catheter ablation over cardioversion and combining rhythm control with SGLT2i improves rhythm durability. Full article
Show Figures

Figure 1

28 pages, 3721 KB  
Systematic Review
Effects of Sodium Glucose Co-Transporter 2 Inhibitors on Atrial Fibrillation Recurrences After Catheter Ablation in Atrial Fibrillation Patients: A Systematic Review and Meta-Analysis
by Saketh Parsi, Kunal Sonavane, Usha Ravi, Pallavi D. Shirsat, Venkata S. Chamarthi, Mohamed Gabr, Harikrishna Choudary Ponnam, Salim Surani, Vikas Bansal and Rahul Kashyap
J. Clin. Med. 2025, 14(22), 8001; https://doi.org/10.3390/jcm14228001 - 11 Nov 2025
Viewed by 184
Abstract
Background/Objectives: Sodium glucose co-transporter 2 inhibitors (SGLT2is) have demonstrated a reduction in heart failure (HF) hospitalizations in HF patients and decreased recurrence of atrial fibrillation (AF), including in those who have undergone catheter ablation (CA). The effects of SGLT2i are likely due to [...] Read more.
Background/Objectives: Sodium glucose co-transporter 2 inhibitors (SGLT2is) have demonstrated a reduction in heart failure (HF) hospitalizations in HF patients and decreased recurrence of atrial fibrillation (AF), including in those who have undergone catheter ablation (CA). The effects of SGLT2i are likely due to suppression of the renin–angiotensin–aldosterone system, reduction in oxidative stress with subsequent improvement in myocardial efficiency, and attenuation of cardiac remodeling. We aim to present the effects of SGLT2i on AF recurrence in patients who have undergone CA for AF. Methods: This is a systematic review and meta-analysis of randomized controlled trials (RCTs) and retrospective studies evaluating the effect of SGLT2i on AF recurrence following CA compared with non-SGLT2i. The primary outcome was the recurrence of AF by the final follow-up reported in each study. Secondary outcomes include AF recurrence by the first follow-up within 12 to 24 months and follow-up intervals (6, 12, 18, 24, and 36 to 42 months) post-ablation, multivariate risk of AF recurrence, and the effect on left atrial diameter (LAD) (less than 45 mm vs. greater than or equal to 45 mm). For risk of bias (ROB) analysis, the NIH ROB and Cochrane ROB2 tool were used. All statistical, heterogeneity, and sensitivity analyses were conducted using Cochrane Review Manager. A random-effect model was employed for all pooled statistical analyses. Results: A total of nine studies, two RCTs and seven retrospective studies, were included (N = 6874) for the primary outcome. Compared to non-SGLT2i (N = 3693), SGLT2i (N = 3181) significantly decreased AF recurrence by the final follow-up (OR = 0.62; 95% CI: 0.45–0.85; p = 0.008). For secondary outcomes, SGLT2i significantly reduced AF recurrence by the first follow-up within 12 to 24 months post-ablation (OR = 0.58; p = 0.0001) and by the different follow-up periods, 6-month (OR = 0.53; p = 0.02), 12-month (OR = 0.56; p = 0.0001), 18-month (OR = 0.55; p = 0.01), and 24-month (OR = 0.60; p = 0.12) follow-up periods. On the other hand, by 36 to 42 months, SGLT2i was associated with increased risk of AF recurrence (OR = 1.41; p = 0.004). Conclusions: We conclude that SGLT2i demonstrated a reduction in AF recurrence following CA, particularly by 12 to 18 months post-ablation. Full article
Show Figures

Figure 1

28 pages, 4780 KB  
Article
Calmodulin D133H Disrupts Cav1.2 and Kv7.1 Regulation to Prolong Cardiac Action Potentials in Long QT Syndrome
by Nitika Gupta, Liam F. McCormick, Ella M. B. Richards, Kirsty Wadmore, Rachael Morris, Vanessa S. Morris, Pavel Kirilenko, Ewan D. Fowler, Caroline Dart and Nordine Helassa
Cells 2025, 14(22), 1763; https://doi.org/10.3390/cells14221763 - 11 Nov 2025
Viewed by 92
Abstract
Calmodulin (CaM) plays a central role in cardiac excitation–contraction coupling by regulating ion channels, including the L-type calcium (Ca2+) channel Cav1.2 and the voltage-gated potassium (K+) channel Kv7.1. Mutations in CaM are linked to severe [...] Read more.
Calmodulin (CaM) plays a central role in cardiac excitation–contraction coupling by regulating ion channels, including the L-type calcium (Ca2+) channel Cav1.2 and the voltage-gated potassium (K+) channel Kv7.1. Mutations in CaM are linked to severe arrhythmogenic disorders such as Long QT syndrome (LQTS), yet the molecular mechanisms remain incompletely understood. Here, we investigate the structural and functional consequences of the arrhythmia-associated CaM variant D133H. Biophysical analysis revealed that D133H destabilises Ca2+ binding at the C-terminal lobe of CaM, altering its Ca2+-dependent conformational changes. Electrophysiological recordings demonstrated that CaM D133H impairs Ca2+-dependent inactivation (CDI) of Cav1.2, prolonging Ca2+ influx, while also reducing activation of Kv7.1, thereby limiting repolarising K+ currents. Together, these dual defects converge to prolong action potential duration, providing a mechanistic basis for arrhythmogenesis in LQTS. Our findings establish that CaM D133H perturbs both Ca2+ and K+ channel regulation, highlighting a shared pathway by which calmodulinopathy mutations disrupt cardiac excitability. Full article
(This article belongs to the Section Cell Signaling)
Show Figures

Graphical abstract

15 pages, 820 KB  
Review
Myocardial Fibrosis in Athletes: Risk Marker or Physiological Adaptation?
by Vasiliki Katsi, Epameinondas Triantafyllou, Christos Fragoulis, Christos Vazaios, Spyridon Maragkoudakis, Alexandros Kasiakogias, Charalampos Vlachopoulos and Konstantinos P. Tsioufis
Biomedicines 2025, 13(11), 2747; https://doi.org/10.3390/biomedicines13112747 - 10 Nov 2025
Viewed by 155
Abstract
Endurance exercise is widely recognized for its cardiovascular benefits, including improved longevity and metabolic health. However, excessive endurance training may lead to adverse cardiac adaptations, such as myocardial fibrosis, detected via late gadolinium enhancement (LGE) on cardiac magnetic resonance imaging (CMR). This review [...] Read more.
Endurance exercise is widely recognized for its cardiovascular benefits, including improved longevity and metabolic health. However, excessive endurance training may lead to adverse cardiac adaptations, such as myocardial fibrosis, detected via late gadolinium enhancement (LGE) on cardiac magnetic resonance imaging (CMR). This review examines the dual role of myocardial fibrosis in athletes—as a potential risk marker for life-threatening arrhythmias or a benign byproduct of physiological remodeling. While moderate exercise promotes beneficial cardiac hypertrophy, ultra-endurance athletes exhibit a 10–20% increase in ventricular size and mass, alongside elevated cardiac biomarkers post-exercise. Myocardial fibrosis, particularly in the left ventricle (LV), is associated with arrhythmias and sudden cardiac death, especially when presenting as a subepicardial/midmyocardial patchy pattern. Studies report that 22% of athletes with this pattern experienced malignant arrhythmias, underscoring its clinical significance. Conversely, fibrosis may also reflect adaptive remodeling in some cases, complicating its interpretation. The mechanisms underlying fibrosis in athletes remain unclear but may involve repeated cardiac stress, inflammation, or distinct atherosclerotic plaque dynamics. CMR is critical for detecting fibrosis, though differentiating pathological from physiological patterns requires careful clinical correlation. Risk stratification must consider LGE patterns, arrhythmia history, and symptoms. Despite concerns, elite athletes generally exhibit increased longevity, highlighting the complex interplay between exercise benefits and risks. Further research is needed to clarify fibrosis mechanisms, refine diagnostic criteria, and guide management strategies to ensure athlete safety while preserving the advantages of endurance training. Full article
(This article belongs to the Section Cell Biology and Pathology)
Show Figures

Figure 1

22 pages, 12048 KB  
Article
Detection of Atrial Fibrillation Using Multi-Site Ballistocardiogram with Piezoelectric Rubber Sheet Sensors
by Satomi Hamada, Miki Amemiya and Tetsuo Sasano
Sensors 2025, 25(22), 6833; https://doi.org/10.3390/s25226833 - 8 Nov 2025
Viewed by 287
Abstract
Ballistocardiography (BCG) is a noninvasive modality for detecting cardiac activity. This study developed a robust atrial fibrillation (AF) detection algorithm using multiple BCG sensors at different locations and evaluated the improvement in accuracy by combining data from multiple sensors. We recorded the BCG [...] Read more.
Ballistocardiography (BCG) is a noninvasive modality for detecting cardiac activity. This study developed a robust atrial fibrillation (AF) detection algorithm using multiple BCG sensors at different locations and evaluated the improvement in accuracy by combining data from multiple sensors. We recorded the BCG using a piezoelectric rubber sheet sensor and an electrocardiogram in 84 participants (29 with AF and 55 without AF) in the supine position. Four BCGs (BCG1–4) were obtained using sensors placed from the head to the lumbar region (0, 25, 45, and 65 cm from the head). The BCG signals were divided into 32 s blocks and analyzed. After applying fast Fourier transform, we input the power spectrum, focusing on frequencies below 10 Hz, into machine learning (ML) classifiers to distinguish between AF and non-AF with parameter tuning. The AdaBoost classifier for BCG2 exhibited the highest accuracy (0.88) among the ML models for each sensor. When we applied the classifier to other BCGs, it achieved accuracies of 0.92, 0.73, and 0.78 for BCG1, 3, and 4, respectively. The combined model using multiple sensors exhibited an accuracy of 0.92. The optimized model for BCG2 was robust against shifts in the sensor toward the head and lumbar directions. A combined assessment using multiple sensors improved performance. Full article
(This article belongs to the Special Issue Biomedical Imaging, Sensing and Signal Processing)
Show Figures

Figure 1

16 pages, 482 KB  
Review
RASopathy and Sudden Cardiac Death: A Literature Review
by Cecilia Salzillo and Andrea Marzullo
BioChem 2025, 5(4), 38; https://doi.org/10.3390/biochem5040038 - 7 Nov 2025
Viewed by 153
Abstract
RASopathies are a heterogeneous group of genetic syndromes caused by germline mutations in genes encoding proteins of the RAS/MAPK pathway, which are essential in the regulation of cell proliferation, differentiation and survival. Although characterized by common phenotypic manifestations such as craniofacial dysmorphism, congenital [...] Read more.
RASopathies are a heterogeneous group of genetic syndromes caused by germline mutations in genes encoding proteins of the RAS/MAPK pathway, which are essential in the regulation of cell proliferation, differentiation and survival. Although characterized by common phenotypic manifestations such as craniofacial dysmorphism, congenital heart defects, and growth retardation, an aspect of great clinical relevance is the increased risk of sudden cardiac death, especially in relation to hypertrophic cardiomyopathy (HCM) and ventricular arrhythmias. Pathogenic variants in genes such as RAF1, RIT1, PTPN11, BRAF and SHOC2 have been associated with phenotypes with increased incidence of HCM, sometimes with early onset and a rapidly evolving course. The literature highlights the importance of early identification of patients at risk; however, specific surveillance protocols and follow-up strategies are defined in expert guidelines. This literature review aims to provide an updated overview of the main RASopathies with cardiac involvement, highlighting the genotype-phenotype correlations, the pathogenic mechanisms underlying sudden cardiac death, and current diagnosis, monitoring, and prevention strategies. The aim is to promote greater clinical awareness and encourage a multidisciplinary approach aimed at reducing mortality in these rare genetic conditions. Full article
(This article belongs to the Special Issue Feature Papers in BioChem, 2nd Edition)
Show Figures

Figure 1

14 pages, 266 KB  
Article
The B-S2CALED Score’s Utility in Predicting Stroke Risk in Breast Cancer Patients with Atrial Fibrillation
by Lakshya Seth, Nickolas Stabellini, Aditya Bhave, Gaurav Gopu, Sandeep Yerraguntla, Ahmed Shetewi, John Lester, Vraj Patel, Stephanie Jiang, Madison James, Stanley Joseph, Sai Kollapaneni, Viraj Shah, Susan Dent, Michael G. Fradley, Lars Køber, Anne Blaes and Avirup Guha
Cancers 2025, 17(22), 3600; https://doi.org/10.3390/cancers17223600 - 7 Nov 2025
Viewed by 257
Abstract
Background: Breast cancer (BC) patients have heightened risks of atrial fibrillation (AF) and ischemic stroke (IS). Standard IS scores are poorly validated in cancer, omit cancer-specific factors, and guidelines offer no cancer-tailored management. Objectives: To develop and validate a novel score to predict [...] Read more.
Background: Breast cancer (BC) patients have heightened risks of atrial fibrillation (AF) and ischemic stroke (IS). Standard IS scores are poorly validated in cancer, omit cancer-specific factors, and guidelines offer no cancer-tailored management. Objectives: To develop and validate a novel score to predict IS risk in BC patients with AF. Methods: Data sources: UH Seidman Cancer Center (derivation; 40% set aside for internal validation) and MCG Cancer Center (external validation). Adults ≥ 18 years old with DCIS or stage I–IV BC who developed AF after diagnosis were included. Variable selection by LASSO Cox regression; continuous predictors dichotomized via cubic splines; points assigned from multivariable hazards to form B-S2CALED. Continuous scores were split into risk groups. Discrimination of categorized B-S2CALED versus CHA2DS2-VASc was assessed with the concordance index (C-index) and net reclassification improvement (NRI). Results: In the internal validation cohort (n = 935), 87 patients experienced IS/TIA. The B-S2CALED score achieved a C-index of 0.64 (95% CI 0.59–0.70) compared with 0.54 (95% CI: 0.51–0.56) for CHA2DS2-VASc, yielding a total NRI of 0.188. In the external validation cohort (n = 95), 8 patients developed IS/TIA. The B-S2CALED score produced a C-index of 0.77 (95% CI: 0.72–0.83) versus 0.53 (95% CI: 0.51–0.56) for CHA2DS2-VASc, with a total NRI of 0.563. Similar advantages were observed when the score was treated as a continuous variable. Conclusions: The BC-specific B-S2CALED score outperformed CHA2DS2-VASc for predicting thromboembolic events in BC patients with AF. Validation in larger datasets is needed before clinical adoption. Full article
16 pages, 1666 KB  
Article
Epigenetic Drugs Splitomicin, Suberohydroxamic Acid, CPTH6, BVT-948, and PBIT Moderate Fibro-Fatty Development in Arrhythmogenic Cardiomyopathy
by Melania Lippi, Silvia Moimas, Luca Braga, Yohan Santin, Arianna Galotta, Mauro Giacca, Giulio Pompilio and Elena Sommariva
Biomolecules 2025, 15(11), 1565; https://doi.org/10.3390/biom15111565 - 6 Nov 2025
Viewed by 358
Abstract
Arrhythmogenic cardiomyopathy (ACM) is a cardiac disorder manifesting through electrical and contractile dysfunction of the ventricles, characterized by fibro-fatty substitution of the myocardium. Cardiac mesenchymal stromal cells (CMSCs) are key contributors to this remodeling. In clinical management, several pharmacological approaches address ACM arrhythmias [...] Read more.
Arrhythmogenic cardiomyopathy (ACM) is a cardiac disorder manifesting through electrical and contractile dysfunction of the ventricles, characterized by fibro-fatty substitution of the myocardium. Cardiac mesenchymal stromal cells (CMSCs) are key contributors to this remodeling. In clinical management, several pharmacological approaches address ACM arrhythmias and heart failure, but, to date, none specifically target fibro-adipose replacement. Despite genetic origin, several studies have reported that non-genetic aspects influence ACM phenotype, including epigenetic factors. Little is known about their mechanisms in ACM and their potential therapeutic applications. In this work, we aimed to test whether, by perturbing the epigenetic landscape of ACM CMSCs, we could influence their propensity to fibro-fatty differentiation. We conducted a hypothesis-free screening of 157 epigenetic drugs on CMSCs, isolated from ACM patients. Through fluorescence assays, we evaluated lipid droplet accumulation, collagen deposition, and cell viability. Of the 157 drugs screened, five (splitomicin, suberohydroxamic acid, CPTH6, BVT-948, and PBIT) attenuated adipogenic differentiation of ACM CMSCs, with BVT-948 and CPTH6 also reducing collagen production. Overall, this study identified specific epigenetic drugs that were effective in reducing the fibro-fatty phenotype of ACM stromal cells, thus offering potential for adjunctive therapies in the clinical management of ACM patients. Full article
(This article belongs to the Special Issue Genetic Insights into Cardiomyopathy: From Mechanisms to Medicine)
Show Figures

Figure 1

53 pages, 4809 KB  
Review
Epigallocatechin Gallate as a Molecular Therapeutic in Heart Failure and Cardio-Oncology: Mechanistic Pathways and Translational Perspectives
by Faika Ajaz, Jewel Haddad, Bintul Huda, Maryam Yousuf, Rajashree Patnaik, Farida Bhurka and Yajnavalka Banerjee
Int. J. Mol. Sci. 2025, 26(21), 10798; https://doi.org/10.3390/ijms262110798 - 6 Nov 2025
Viewed by 255
Abstract
The global burden of heart failure (HF) continues to escalate, with a lifetime risk approaching one in four adults in the United States. Concurrently, advances in cancer therapeutics have created a burgeoning population of long-term survivors, who now face the significant morbidity and [...] Read more.
The global burden of heart failure (HF) continues to escalate, with a lifetime risk approaching one in four adults in the United States. Concurrently, advances in cancer therapeutics have created a burgeoning population of long-term survivors, who now face the significant morbidity and mortality of chemotherapy-induced cardiovascular disease (CVD). This review addresses the critical overlap of these two pathologies, which share fundamental drivers such as oxidative stress, inflammation, and metabolic dysregulation. Epigallocatechin gallate (EGCG), the most abundant and biologically active polyphenol in green tea, has demonstrated pleiotropic bioactivity in preclinical models, encompassing potent antioxidant, anti-inflammatory, and anti-apoptotic properties. The central aim of this review is to provide a critical and comprehensive synthesis of the evidence supporting EGCG’s dual protective role. This review dissects its molecular mechanisms in modulating key pathways in HF and cardio-oncology, evaluates its translational potential, and importantly, delineates the significant gaps that must be addressed for its clinical application. This analysis uniquely positions EGCG not merely as a nutraceutical, but as a multi-target molecular therapeutic capable of simultaneously addressing the convergent pathological cascades of heart failure and cancer-related cardiotoxicity. The synthesis of preclinical evidence with a critical analysis of its translational barriers offers a novel perspective and a strategic roadmap for future research. Full article
(This article belongs to the Section Molecular Biology)
Show Figures

Figure 1

9 pages, 652 KB  
Article
Early Ventricular Arrhythmias Correlate with Adverse Outcome in Takotsubo Syndrome: Analysis of a Large Single-Center Database
by Sati Güler-Eren, Fatih Güner, Charleen-Therese Wanjek, Hilke Könemann, Nawar Alhourani, Fabienne Kreimer, Julian Wolfes, Benjamin Rath, Christian Ellermann, Julia Köbe, Florian Reinke, Gerrit Frommeyer, Felix Wegner and Lars Eckardt
J. Cardiovasc. Dev. Dis. 2025, 12(11), 437; https://doi.org/10.3390/jcdd12110437 - 6 Nov 2025
Viewed by 176
Abstract
Background: Takotsubo syndrome (TTS) is an acute cardiac condition characterized by transient left ventricular dysfunction. Although generally considered reversible, early arrhythmias are a dreaded complication and their prognostic significance remains incompletely understood. Methods: In this study, 104 consecutive patients diagnosed with TTS (January [...] Read more.
Background: Takotsubo syndrome (TTS) is an acute cardiac condition characterized by transient left ventricular dysfunction. Although generally considered reversible, early arrhythmias are a dreaded complication and their prognostic significance remains incompletely understood. Methods: In this study, 104 consecutive patients diagnosed with TTS (January 2007 to September 2024) were examined for the prognostic relevance of in-hospital arrhythmias during monitoring at the time of diagnosis. The median follow-up was 2.1 years. The primary combined endpoint included cardiac death, TTS recurrence, occurrence of arrhythmias, and rehospitalization for cardiac causes. Results: In-hospital arrhythmias occurred in 35.6% of the patients. Ventricular arrhythmias were significantly associated with an increased risk of adverse cardiac events (odds ratio 3.94, 95% confidence interval 1.22–12.69; p = 0.021). Reduced left ventricular ejection fraction and QTc prolongation, while frequently observed, were not independently associated with adverse outcomes when analyzed separately from arrhythmic events. Supraventricular arrhythmias exhibited a non-significant trend (p = 0.145). Conclusions: In a large registry of consecutive TTS patients, in-hospital ventricular arrhythmias at diagnosis were significantly associated with adverse outcomes, underscoring the importance of early rhythm monitoring. Full article
(This article belongs to the Special Issue Ventricular Arrhythmias: Epidemiology, Diagnosis and Treatment)
Show Figures

Graphical abstract

9 pages, 278 KB  
Article
Droxidopa for Intravenous Vasopressor Weaning in the Intensive Care Unit: A Descriptive Study
by Calvin Diep, Daniella Veloria and Amy Kloosterboer
Therapeutics 2025, 2(4), 20; https://doi.org/10.3390/therapeutics2040020 - 6 Nov 2025
Viewed by 177
Abstract
Background/Objectives: Our objective was to describe the safety and efficacy of enteral droxidopa, a norepinephrine prodrug, for intravenous (IV) vasopressor weaning in intensive care unit (ICU) patients. Methods: This was a single-center, retrospective descriptive study of adult ICU patients. Patients who [...] Read more.
Background/Objectives: Our objective was to describe the safety and efficacy of enteral droxidopa, a norepinephrine prodrug, for intravenous (IV) vasopressor weaning in intensive care unit (ICU) patients. Methods: This was a single-center, retrospective descriptive study of adult ICU patients. Patients who received ≥ 4 consecutive doses of droxidopa for IV vasopressor weaning were included. The cessation of the IV vasopressor without re-initiation within 72 h of droxidopa initiation was the primary outcome. The adverse events assessed included hypotension, hypertension, and arrhythmias. Results: Forty-six patients were included, with a median age of 61. Forty-two patients (91%) were on midodrine at the time of droxidopa initiation. The median daily midodrine dose was 80 mg. The median time from ICU admission to droxidopa initiation was 17 days. Patients were on a median of one IV vasopressor at the time of droxidopa initiation, with norepinephrine as the most common agent (50%). The median initial daily droxidopa dose was 300 mg, with a median maximum daily dose of 900 mg. Vasopressor support was discontinued within 72 h of droxidopa initiation in 46% of patients, with a median time to IV vasopressor cessation of 3.3 days. There were no incidences of hypotension, hypertension, arrhythmias, or ICU readmissions related to droxidopa. Droxidopa was continued upon discharge in 29% of patients. Conclusions: Droxidopa may be a safe and effective option to facilitate the weaning of IV vasopressor support in patients who are refractory or intolerant to midodrine. Larger prospective studies are needed to confirm these findings. Full article
Show Figures

Figure 1

Back to TopTop