Next Article in Journal
Effects of Individual Essential Amino Acids on Growth Rates of Young Rats Fed a Low-Protein Diet
Previous Article in Journal
A Novel and Effective Therapeutic Method for Treating Aeromonas schubertii Infection in Channa maculata
 
 
Font Type:
Arial Georgia Verdana
Font Size:
Aa Aa Aa
Line Spacing:
Column Width:
Background:
Article

Effects of Butterfly Pea Extracts on Phagocytic Activity of Blood Polymorphonuclear Leukocytes and Muscular Lipid Peroxidation in Rabbits

1
Department of Agriculture, Forest, and Food Sciences, University of Turin, Largo P. Braccini 2, 10095 Turin, Italy
2
Department of Physiology, Faculty of Veterinary Medicine, Kasetsart University, Bangkok 10900, Thailand
3
Institute of Science of Food Production, National Research Council, Largo P. Braccini 2, 10095 Turin, Italy
4
Department of Large Animal and Wildlife Clinical Sciences, Faculty of Veterinary Medicine, Kasetsart University, Nakhon Pathom 73140, Thailand
*
Author to whom correspondence should be addressed.
Animals 2024, 14(6), 958; https://doi.org/10.3390/ani14060958
Submission received: 20 February 2024 / Revised: 12 March 2024 / Accepted: 18 March 2024 / Published: 20 March 2024
(This article belongs to the Section Animal Physiology)

Abstract

Simple Summary

Tropical herb extracts, which could be used to provide health benefits, might be an effective strategy to promote benefits for rabbit farming. The present study indicated that the supplementation of rabbit diets with butterfly pea (Clitoria ternatea L.) crude extract had no effect on phagocytic function but did improve digestibility. Modification of the meat color and delayed lipid peroxidation were observed. Supplementation with Clitoria ternatea L. crude extract at 0.5 g/kg body weight could be useful in the production of rabbits for meat consumption, prolonging shelf life by delaying lipid peroxidation.

Abstract

Sixteen 35-day-old male crossbred rabbits (New Zealand white × Thai native breed) with an initial weight of 484 ± 11.3 g were randomly divided into two groups of eight, constituting control and treatment groups. The treatment group was orally administered a crude extract of butterfly pea (Clitoria ternatea L.) at 0.5 g/kg body weight from weaning (at 35 days) to slaughter (at 90 days). The effects on the phagocytic activity of blood polymorphonuclear leukocytes, serum biochemistry, meat quality, muscular lipid peroxidation, the apparent digestibility of dry matter and nutrients, and gut histology were studied. The results revealed that the phagocytic function of circulating leukocytes (75 and 90 days) and alveolar macrophages (90 days) did not differ between the two groups. At slaughter, treated rabbits had lower blood urea nitrogen concentrations and higher liver weight than control rabbits (p < 0.05). After chilling at 4 °C for 24 h, a lower meat pH and the alteration of meat color (brighter, less yellow, lower hue angle, and decreased color saturation) were observed in the treated group (p < 0.05). Furthermore, lipid peroxidation (measured at 3, 5, and 7 storage days) in the meat of treated rabbits was lower than in controls (p < 0.05). The apparent digestibility of organic matter and ether extract (analyzed at 46 days for 4 days) was improved in the treated group (p < 0.05), whereas gut histology was unaffected. In conclusion, butterfly pea extract supplementation did not affect phagocytic function but led to a modification in meat color, delayed lipid peroxidation, and improved digestibility.

1. Introduction

An excess of reactive oxygen species and/or nitrogen species beyond the cellular antioxidant capacity can result in oxidative damage to lipids, proteins, and DNA, leading to cell membrane damage, the loss of enzyme activities, and mutagenesis [1]. Free radical molecules adversely affect health status and cause many major diseases [1], including digestive diseases [2]. Oxidative stress is essential in the pathogenesis and progression of inflammatory bowel disease and its relationship with the mucosal immune response [3]. Consequently, oxidative stress generates inflammation in the intestinal wall and causes the flattening of the gross folds of the intestinal lining, leading to a loss of surface area and a syndrome marked by a reduced ability to digest and absorb nutrients.
In rabbits, the causes of this syndrome are often multifactorial. An inappropriate diet or environmental conditions put them at greater risk of developing it [4]. The excessive production of reactive oxygen species that cannot be counteracted by the action of antioxidant enzymes in the body causes many diseases; the imbalance between oxidant species and the antioxidant defense system can trigger specific factors that are responsible for oxidative damage in the cell [5]. Therefore, antioxidant substances have been used to prevent or reduce damage to the gastrointestinal tract caused by oxidative stress. The resulting benefits of longevity, immunity, and health should interest those involved in the pet and fur trades because they keep rabbits for a long time. Furthermore, supplementing feed with some antioxidants could improve productive performance, health, and meat quality, which should interest rabbit meat producers [6].
Synthetic antioxidants are commonly used in the food industry to prevent the deterioration of meat products. However, their use is increasingly limited because they are considered highly unstable. Furthermore, relevant legislation is becoming very strict, as they are suspected to have carcinogenetic and mutagenic properties [7]. Recently, there has been increasing interest in natural antioxidants extracted from plants, which can be used as alternatives to synthetic antioxidants; consumers prefer these natural and organic additives and ingredients because they are perceived as healthier and more sustainable [8,9,10,11]. Phenolic compounds are secondary metabolites in plants with significant antioxidant and chelating properties; they have been widely studied in the production of livestock and rabbits [8,9,10,11]. Therefore, it could be hypothesized that plant-based dietary supplementation could be an alternative strategy to provide positive results without side effects.
Clitoria ternatea (CT) is an ornamental perennial climber from the Fabaceae family, commonly known as butterfly pea. It is native to tropical equatorial Asia, including Thailand. In human medicine, CT is thought to have been used in Ayurvedic medicine, one of the world’s oldest medical systems [8,9,10,11]. A range of properties—including antioxidant, anti-inflammatory, analgesic, antipyretic, and antimicrobial properties—have also been reported in CT studies [8,9,10,11], probably due to the presence of flavanol and anthocyanin glycosides, triterpenoids, tannins, rutin, and phytosterols [8,9,10,11]. Supplementation with CTE has been studied in broilers [12] and layers [13] but not in rabbits.
In rabbits, CT has been used as a protein source rather than for its antioxidant abilities and has been offered directly to rabbits rather than as an extract [14,15]. Rabbit production in Thailand is intensive (50–200 reproductive uses), but it is a primary job for most farmers. However, health problems—mainly digestive and respiratory disorders—have been observed, with negative consequences [16]. From this point of view, using tropical herb extracts to provide health benefits might be an effective strategy. Therefore, this study evaluated the possible effects of CT crude extract (CTE) supplementation on rabbits’ immunity and health status. Phagocytic activity, serum biochemistry, and intestinal histology were investigated. Furthermore, considering the importance of rabbits in human nutrition, digestibility and meat quality were also evaluated.

2. Materials and Methods

The experiment was approved by the Institutional Animal Care and Use Committee of Kasetsart University, Bangkok, Thailand (ACKU61-VET-001).

2.1. Plant Preparation and Extraction

CT (purple pedal breed) was planted at the Chiang Mai Animal Husbandry and Research Center, Chiang Mai, Thailand. Plants were harvested at 90 days (during the flowering period). The extraction method was described by Suwannamanee [13]. Briefly, whole plants (including leaves and flowers, but not roots) were chopped, mixed, milled using rubber-edged mills with water for 30 min, and filtered. Subsequently, the solid part was separated from the liquid part by heating at 60 °C for 40 min. The solid part was dried by incubating at 60 °C for 72 h and then powdered and kept in a desiccator at 4 °C until use.

2.2. Animals, Housing, Diet, and Recording

The experiment was carried out in the experimental facility of the Department of Large Animal and Wildlife Clinical Sciences, Faculty of Veterinary Medicine, Kasetsart University, Nakhon Pathom, Thailand. Sixteen 35-day-old male crossbred rabbits (New Zealand white × Thai native breed; 484 ± 11.3 g) were randomly housed in individual wire cages (L × W × H: 45 cm × 45 cm × 45 cm) inside the facility and maintained at 23 ± 2 °C (12 h light/12 h dark) for the experimental period of 55 days. The rabbits were separated into two groups of eight individuals. CTE in water (0.5 g/kg body weight) was administered orally to the treated rabbits once a day at 09:00 h for the entire experimental period; water (placebo) was administered to the control rabbits. A commercial pellet diet (Lee Feed Mill, Publ. Co., Ltd., Phetchaburi, Thailand) and clean water were provided ad libitum. The diets and CTE were analyzed in duplicate for dry matter (DM), crude protein (CP), ether extract (EE), crude fiber, and ash by ignition, according to guidelines from the Association of Official Analytical Chemists [17]. The neutral detergent fiber, acid detergent fiber, and acid detergent lignin were determined according to the procedures of Van Soest et al. [18]. The level of starch was determined using Ewer’s polarimetric method [19]. The rabbits’ live weight and feed intake were checked once every two weeks to obtain preliminary data on growth performance. Mortality and morbidity were controlled daily by the same observer, according to Gidenne et al. [20].

2.3. Apparent Digestibility and Digestive Tract Histology

According to the procedure of Kovitvadhi et al. [15], feces were collected daily at 46 days for 4 days (n = 8 per treatment), weighed, and then stored at −20 °C for chemical analysis in duplicate, recording DM, ash, EE, and CP, according to the A.O.A.C. [17]. The apparent digestibility of DM, organic matter, CP, and EE was calculated using the European standardized method [21]. A 10 mm length of the mid-jejunum and ileum (n = 8 per group) was obtained after slaughter at 90 days and preserved in 10% buffered neutral formaldehyde solution (pH 7.2–7.4). Tissue samples were processed, embedded in paraffin, sectioned with an 8 µm thickness using a rotary microtome (Shandon AS325, Southeast Pathology Instrument Services, Charleston, SC, USA), and stained with hematoxylin and eosin staining method. The height of the villi and the depth of the crypts were measured under a BX53 light microscope (Olympus, Tokyo, Japan) using an image analysis program (CellSens standard, Olympus Ver 01 07 imaging software, Tokyo, Japan).

2.4. Phagocytosis Assay and Serum Biochemistry

At 75 and 90 days, blood samples were taken from the lateral saphenous vein (eight rabbits per group) and collected in a sterile tube containing heparin, whereas alveolar macrophages were taken by flushing 10 mL of Roswell Park Memorial Institute 1640 Medium (RPMI; Sigma-Aldrich, St Louis, MO, USA) into the lungs of slaughtered rabbits. Both samples were performed in duplicate, kept at 4 °C, and immediately transported to the laboratory for the phagocytosis assay. The polymorphonuclear leukocyte fraction was isolated from whole blood using PolymorphprepTM (Axis-shield, Oslo, Norway). This fraction and the alveolar macrophages were harvested and resuspended in RPMI medium with 10% fetal bovine serum (Sigma-Aldrich, Saint Louis, MO, USA) to reach concentrations of 75 × 104 and 20 × 104 cells/mL, respectively. These mixtures were incubated overnight in a 96-well plate at 37 °C in 5% carbon dioxide. Subsequently, the phagocytosis assay was performed following the manufacturer’s instructions (CytoSelect TM, Cell Biolabs Inc., San Diego, CA, USA), and the absorbance was read by a spectrophotometer (Infinite® F50, Tecan, Männedorf, Switzerland) at 450 nm. The results are expressed as optical density from ingested bacterial cells. Serum biochemistry was analyzed using standard protocols (Kasetsart University Veterinary Teaching Hospital, Kasetsart University, Nakorn Pathom, Thailand), where blood samples were collected from eight rabbits per group during slaughter.

2.5. Meat Quality and Lipid Peroxidation

The rabbits were euthanized by electric stunning, followed by a jugular vein incision. The carcasses were prepared following the indications of Kovitvadhi et al. [15]. After 24 h of chilling, eight carcasses per group were halved, and then two longissimus dorsi (LD) muscles were excised. The left part of the LD muscle was used to assess meat pH after 24 h of chilling (pH24). An ultra-basic portable pH meter (Denver InstrumentTM, Bohemia, NY, USA) was used, with a homogenized mixture of 10 g of LD and 100 mL of distilled deionized water to establish color (Color checker NR-1, Nippon Denshoku Industries, Tokyo, Japan). The approximate chemical composition (moisture, CP, EE, and ash) was then analyzed according to the procedure of Kovitvadhi et al. [15]. The right part of the LD was separated into four pieces that were then covered with polyvinyl chloride wrap to perform the thiobarbituric acid-reactive substances (TBARS) assay after preservation at 4 °C for 1, 3, 5, or 7 days. Fresh meat (5 g, n = 8 per group, in duplicate) was homogenized in 25 mL of 7.5% trichloroacetic acid using a Polytron tissue homogenizer (Type PT 10-35, Kinematica GmbH, Luzern, Switzerland). Lipid peroxidation was determined using a modified TBARS method according to the protocol of Witte et al. [22]. The results are expressed as µg of malondialdehyde per kg of fresh meat, using a standard curve that covered a concentration range of 0.5–10 µM 1,1,3,3-tetramethoxypropane (Sigma-Aldrich, Steinheim, Germany). Absorbance was measured at 532 nm using a UV-1601 spectrophotometer (Shimadzu Corporation, Kyoto, Japan).

2.6. Statistical Analysis

All statistical analyses were performed using the R-studio software version 2023.12.1+402 with the package Rcmdr. Statistically significant differences between the groups in each parameter were analyzed using the Student t-test, while Welch’s t-test was applied when groups had unequal variances. Statistical significance was established at p < 0.05.

3. Results and Discussion

3.1. The Chemical Composition of the Diets and CTE

The chemical composition of the diets and CTE was analyzed and is presented in Table 1. The CTE contained a high level of crude protein, followed by ether extract and ash. Supplementation was at a very low level, around 1% of the diet if we calculate it for a 2 kg rabbit with a feed intake of 100 g/day. Therefore, these nutrients could not interfere with the major nutrients. The active ingredients were not determined in this study; therefore, the consequences could be explained by the CTE. The CP, ash, EE, and crude fiber contents in butterfly pea without extraction have been reported to be in the ranges of 25.11–28.62%, 6.71–8.36%, 3.33–3.61%, and 15.78–19.66%, respectively [23]. The extraction process can lead to an increase in the leaf protein concentrate (LPC) in the CTE used in this study. Many other plant leaves, like cowpea, berry, sweet potato, neem leaves, etc., are useful for the extraction of leaf proteins. The LPC could become a very useful alternative source of protein for animal production [24]. LPCs from different biomass sources had a protein content ranging from 67.2 to 87.7% [25]. However, in the current study, the chemical composition of the CTE was similar to that in previous studies of butterfly pea extract [13]. In general, the highest protein content in the LPC depends on the processing of the extraction with the chemical solution and the purity of the LPC, as other phytochemical compounds, e.g., polyphenolic compounds, may strongly associate with the leaf proteins [25], as well as other chemical components of the primary metabolites of plants.

3.2. Apparent Digestibility and Digestive Tract Histology

No statistically significant differences were observed in terms of performance indicators. Slaughter weights at 90 days between the control and CTE groups were 2279 and 2275 g (p = 0.98). Additionally, comparable results between the control and CTE groups were found for daily weight gain (32.8 vs. 32.6 g/d; p = 0.95), daily feed intake (94.7 vs. 106 g/d; p = 0.29), and the feed conversion ratio (2.91 vs. 3.28; p = 0.13). It is important to note that, due to the limited number of rabbits per group, these findings provide only preliminary data on growth performance. As such, conclusive statements regarding the effect of CTE on rabbit performance could not be made based solely on this information. However, the digestibility of organic matter and EE increased significantly (p < 0.05) in rabbits fed CTE compared to the control group (Table 2). Differences in the digestibility of DM and CP showed a slight trend toward significance (p = 0.09 and 0.07, respectively). An improvement in the digestibility of EE was observed in rabbits and broilers after supplementation with thyme (Thymus vulgaris) [14], essential oils of thyme and star anise as the main active components [26], and an essential oil blend of oregano, cinnamon, and pepper [27]. Digestibility may be improved by active compounds and/or functions that these plants share with CT. However, a study on the mechanisms of each chemical compound should be performed. Gut histology (villi height and crypt depth) is another possible indicator of digestive function, but there were no statistically significant differences in this study (Table 2). However, the villi height and crypt depth of the jejunum and ilium of CTE-fed rabbits tended to increase compared to control rabbits, possibly indicating improved digestion and absorption in the intestinal tract. Intestinal crypts are invaginations of the epithelium around the villi. They are lined by enzyme-secreting epithelial cells, and the bases of the crypts are constantly dividing to maintain the villi structure [28]. No morbidity or mortality was observed during the experimental period, reflecting good environmental conditions. The current study indicated that the CTE-containing supplement may be safe and support gut health. A healthy gut includes multiple positive aspects of the gastrointestinal tract, specifically effective digestive and absorption functions of the intestinal brush border and villi improvement with phenolic and flavonoids, especially anthocyanin [29], found in flowers (4.72 mg/L) and leaves (2.92 mg/L) [30]. The phenolic content was found in flowers and leaves with values of 37.58 and 56.74 GAE/g, respectively. The leaves had the greatest total flavonoid content (5.69 mg QE/g), while the lowest level of flavonoids was found in the flowers (1.45 mg QE/g) [30]. These secondary metabolites are compounds in specific cells that are indirectly essential for respiratory photosynthesis or the metabolism and survival of plants, as they protect plant tissues from injuries and insect and animal attacks. Phenolics and flavonoids are considered abundant classes of phytochemicals with health-promoting qualities and functions [31] that possess antibacterial activity against a wide range of microbial species, including pathogenic bacteria, the main cause of disorders of the digestive tract [32]. Oral secondary metabolite administration to animals improves the intestinal barrier integrity and function, with a reduction in proinflammatory molecules, improvement in the tight-junction protein expression, and improvement in antioxidant intracellular activity [33]. However, some phytochemical compounds in plants can have both adverse and beneficial health effects in animals; these are anti-nutritional factors. Anti-nutritional factors exhibit beneficial attributes at optimal levels. Therefore, higher amounts of anti-nutrients may cause adverse effects on animal and human health [20].

3.3. Phagocytic Function and Serum Biochemistry

No statistically significant differences were observed regarding phagocytic activities (Table 2). Phagocytosis is a nonspecific defense mechanism with five stages. Both neutrophils and macrophages have similar mechanisms during the destruction stage. A respiratory burst involves the production of potent oxidants in a chain reaction to eradicate ingested pathogens, working with several enzymes. In a normal situation, glutathione, redox-active metals, and antioxidants such as vitamins C and E have enough potential to detoxify the end products after the destructive mechanism [34]. However, unsuitable conditions can cause the increased formation of oxidative molecules beyond the protective level, damaging cellular biomolecules [6]. Therefore, supplementing the diet with exogenous antioxidants should optimize the eradication mechanism, improving phagocytic function. Unfortunately, phagocytic activity was not improved in either circulating leukocytes or alveolar macrophages after CTE supplementation in this study. The reason may be that the experiment was conducted in normal conditions, as the formation of reactive oxygen species did not exceed the cellular antioxidant capacity. Therefore, clear effects on phagocytic function after supplementation should be observed in experiments with poor conditions, pathogen infection, or stimulated stress, each promoting increased oxidative stress.
In this study, blood chemistry was used to establish the physiological and biochemical status of the rabbits. Alanine aminotransferase (AST) and aspartate aminotransferase (ALT) were present in lower concentrations in treated rabbits than in the control group, but these differences were not significant (50.3 vs. 60.2 U/L, p = 0.52, and 35.7 vs. 53.2 U/L, p = 0.20, respectively; Table 2). The hepatoprotective property of AST and ALT reduction, induced by acetaminophen with CTE supplementation at 200 mg/kg [35] and other phyto-additions [36], was reported in mice. The unclear result in the present study might be due to the study design, which did not include the induction of hepatotoxicity [36]. A decrease in blood nitrogen and creatinine was observed in rabbits with CTE supplementation compared to the control group (12.0 vs. 14.8%, p = 0.05, and 0.86 vs. 1.08%, p = 0.12, respectively; Table 2), which was similar to a study on CTE addition to alloxan-induced diabetic rats [37]. These results suggest that CTE may contain hepatoprotective or renal properties, although further study is required to confirm these benefits. Other parameters of serum biochemistry were unaffected by the treatment.

3.4. Meat Quality and Lipid Peroxidation

The treated group was found to have heavier livers (6.78 vs. 5.41% of cold carcass weight, SEM = 0.33, p = 0.03), while carcass traits and meat chemical composition did not differ between groups (Table 2). The increased liver weight in treated rabbits may be due to enhanced liver function and/or fat storage. However, there were no clinical signs or gross lesions due to hepatic lipidosis or liver enlargement in the treated rabbits. In addition, serum AST and ALT, which indicate liver damage, did not increase. For these reasons, it can be concluded that CTE supplementation did not adversely affect liver function. CTE supplementation decreased pH24, yellowness (b*), hue angle (H*), and chroma (C*) while increasing the lightness (L*) of rabbit meat (Table 2). Meat color influences consumers’ purchasing decisions, and surface discoloration can lead to rejection by consumers, directly influencing economic losses. In most studies, antioxidant supplementation did not influence meat color [6]. However, higher meat brightness was reported after the dietary addition of vitamin E in rabbits [38] and of CTE in broilers [13] and the rabbits in this study. The reason may be the protection of the cellular membrane by antioxidants, reducing the loss of liquids into the extracellular space and thus increasing light refraction and maintaining a bright color. Furthermore, this mechanism might lead to higher moisture in the meat of treated rabbits, increasing the meat’s brightness (Table 2). Lo Fiego et al. [38] found a negative correlation between pH24 and L* in rabbit meat, as was also found in the present study. The lower pH24 in CTE-treated rabbits should be beneficial because proteolytic bacteria developed rapidly when the pH value was around 6 [39]. Lower yellowness in the CTE-treated group may lead to a smaller hue angle and lower saturation. The small amount of fat in the meat of treated rabbits may be related to a lower yellowness value compared to the control group. Rabbit meat is considered healthy from a commercial point of view [39]; therefore, brighter and less yellow meat should attract the attention of consumers who aim to eat healthily.
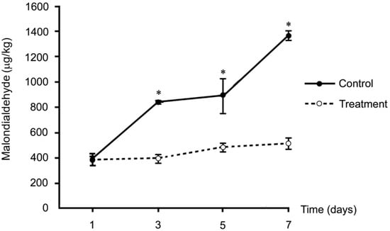
The level of lipid peroxidation did not differ between the two groups on the first storage day, but this chemical reaction was clearly delayed in the treated group after 3, 5, and 7 storage days compared to the control group (p < 0.05; Figure 1). The level of lipid oxidation involves three stages: initiation, propagation, and termination. The first day of storage is the initiation stage of the reaction. Initiation is frequently attributed to the reaction of fatty acids with active oxygen species; in this stage, the accumulation of levels of lipid oxidation products is low, and free radicals preferentially oxidize the natural antioxidants present in meat. This process protects fatty acids in the earliest stage of oxidation or the β-scission reaction, which is minimal during this stage but increases exponentially during the propagation and termination stages [40] after the third day of storage. Antioxidant materials used in meat products are mainly composed of phenolic compounds and flavonoids, which are able to inhibit the lipid peroxidation of meat products, thereby preserving meat quality [41]. Phenolic compounds have strong hydrogen-radical-donating activity, and the presence of the aromatic hydroxyl group is a critical determinant of their H donation and free radical scavenging activity, while free OH flavonoid groups scavenge free radicals and chelate metal ions, including Fe2+, Fe3+, and Cu2+, that bind to chain-formation-initiating catalysts [41]. High levels of polyunsaturated fatty acids are characteristic of rabbit meat, reducing meat quality during storage in terms of nutritive value and safety from lipid peroxidation. However, supplementation with antioxidant-containing substances can prevent or slow this reduction. In an in vitro study, CTE had antioxidant activities in a 2,2-diphenyl-1-picrylhydrazyl radical (DPPH) scavenging assay, and it was suggested that anthocyanin is the main active chemical compound responsible for these activities [35,42,43]. Increased DPPH in broiler thigh and breast meat was reported following dietary CTE supplementation of 0.25 or 0.5% [13], the same level as in the present study. These beneficial effects in preventing lipid peroxidation in meat should confirm the bioavailability of CTE following oral supplementation. However, further studies should be performed to isolate the responsible compounds and determine their modes of action.
There was a limitation in this study. The number of animals per group appears to be low for measuring performance parameters, but it is important to note that the focus of this study was not primarily on performance metrics, as we present these as preliminary results. Instead, our study focused on evaluating phagocytic function, serum biochemistry, digestibility, gut histology, meat color, and lipid peroxidation in meat. With this focus, a sample size of eight rabbits per group was deemed sufficient to discern meaningful outcomes. Significantly different results were observed in organic matter digestibility, ether extract digestibility, meat color, and lipid peroxidation (p < 0.05). Hence, the number of animals per group adequately captured the effects of the supplements under investigation. Furthermore, the power of analysis (1-β) exceeded 0.8 for all parameters of interest, further bolstering the robustness of our findings. However, further study on a higher number of animals could be performed.

4. Conclusions

This study indicated that supplementation with CT crude extract in rabbit diets had no effect on phagocytic function but did improve the apparent digestibility of organic matter and ether extract. Modification of the meat color and delayed lipid peroxidation were also observed. Therefore, supplementation at 0.5 g/kg body weight could be useful in the production of rabbits for meat consumption, prolonging shelf life by delaying lipid peroxidation.

Author Contributions

Conceptualization, A.K, L.G., I.Z. and T.R.; methodology, A.K., L.G., I.Z. and T.R.; software, A.K.; validation, A.K.; formal analysis, A.K.; investigation, A.K.; data curation, A.K.; writing—original draft preparation, A.K. and T.R.; writing—review and editing, A.K. and T.R.; visualization, A.K.; supervision, L.G., I.Z. and T.R.; project administration, A.K. and T.R.; funding acquisition, T.R. All authors have read and agreed to the published version of the manuscript.

Funding

This research and the APC were funded by the Faculty of Veterinary Medicine, Kasetsart University.

Institutional Review Board Statement

The present study was approved by the Institutional Animal Care and Use Committee and performed in accordance with the guidelines of animal care and use under the Ethics Board of the Office of the National Research Council of Thailand (NRCT) for the performance of scientific research. The approval number is ACKU61-VET-001, dated 30 January 2018.

Informed Consent Statement

Written informed consent is not necessary because the study was conducted as an experimental set-up in rabbits, which were purchased from the farm.

Data Availability Statement

The data that support the findings of this study are available on request from the corresponding author.

Acknowledgments

Supachai Srithiwong from Chiang Mai Rajabhat University is thanked for providing the butterfly pea crude extracts for the whole experiment. Pipatpong Chundang from the Department of Physiology, Faculty of Veterinary Medicine, Kasetsart University, is thanked for his assistance in editing the revised manuscript.

Conflicts of Interest

The authors declare no conflict of interest.

References

  1. Devasagayam, T.P.A.; Tilak, J.C.; Boloor, K.K.; Sane, K.S.; Ghaskadbi, S.S.; Lele, R.D. Free radicals and antioxidants in human health: Current status and future prospects. J. Assoc. Phys. India 2004, 52, 794–804. [Google Scholar]
  2. Liu, Z.; Ren, Z.; Zhang, J.; Chuang, C.C.; Kandaswamy, E.; Zhou, T.; Zuo, L. Role of ROS and nutritional antioxidants in human diseases. Front. Physiol. 2018, 9, 477. [Google Scholar] [CrossRef] [PubMed]
  3. Tian, T.; Wang, Z.; Zhang, J. Phatomechanisms of oxidative stress in inflammatory bowel disease and potential antioxidant therapies. Oxid. Med. Cell. Longev. 2017, 4535194. [Google Scholar] [CrossRef]
  4. Oglesbee, B.L.; Lord, B. Gastrointestinal diseases of rabbits. In Ferrets, Rabbits, and Rodents: Clinical Medicine and Surgery, 4th ed.; Saunders: London, UK, 2020; pp. 174–187. [Google Scholar] [CrossRef]
  5. Skowron, M.; Zalejska-Fiolka, J.; Blaszczyk, U.; Chwalinska, E.; Owczarek, A.; Brikner, E. Antioxidant enzyme activities in rabbits under oxidative stress induced by hight fat diet. J. Vet. Res. 2018, 62, 199–205. [Google Scholar] [CrossRef] [PubMed]
  6. Abdel-Khalek, A.M. Supplemental antioxidants in rabbit nutrition: A review. Livest. Sci. 2013, 158, 95–105. [Google Scholar] [CrossRef]
  7. Krishnaiah, D.; Sarbatly, R.; Nithyanandam, R. A review of the antioxidant potential of medicinal plant species. Food Bioprod. Process. 2011, 89, 217–233. [Google Scholar] [CrossRef]
  8. Ratha, J.; Yongram, C.; Panyatip, P.; Powijitkul, P.; Siriparu, P.; Datham, S.; Priprem, A.; Srisongkram, T.; Puthongking, P. Polyphenol and tryptophan contents of purple corn (Zea mays L.) variety knd and butterfly pea (Clitoria ternatea) aqueous extracts: Insights into phytochemical profiles with antioxidant activities and pca analysis. Plants 2023, 12, 603. [Google Scholar] [CrossRef]
  9. Oguis, G.K.; Gilding, E.K.; Jackson, M.A.; Craik, D.J. Butterfly pea (Clitoria ternatea), a cyclotide-bearing plant with applications in agriculture and medicine. Front. Plant Sci. 2019, 10, 645. [Google Scholar] [CrossRef]
  10. Maneesai, P.; Iampanichakul, M.; Chaihongsa, N.; Poasakate, A.; Potue, P.; Rattanakanokchai, S.; Bunbupha, S.; Chiangsaen, P.; Pakdeechote, P. Butterfly pea flower (Clitoria ternatea Linn.) extract ameliorates cardiovascular dysfunction and oxidative stress in nitric oxide-deficient hypertensive rats. Antioxidants 2021, 10, 523. [Google Scholar] [CrossRef]
  11. Jeyaraj, E.J.; Lim, Y.Y.; Choo, W.S. Extraction methods of butterfly pea (Clitoria ternatea) flower and biological activities of its phytochemicals. J. Food Sci. Technol. 2021, 58, 2054–2067. [Google Scholar] [CrossRef]
  12. Sapsuha, Y.; Sjafani, N.; Fatmona, S.; Tjokrodiningrat, S. Butterfly pea (Clitoria ternatea) extract as a potential feed additive for broiler chickens. Livest. Res. Rural. Dev. 2023, 35, 89. [Google Scholar]
  13. Suwannamanee, J.; Sritiwong, S.; Krutthai, N.; Chaiwang, N.; Marupanthorn, K.; Wattanakul, W. Eggs production and quality from hens fed with concentrate containing butterfly pea plant extract. Khon Kaen Agric. J. 2022, 50, 471–480. [Google Scholar] [CrossRef]
  14. Gerencsér, Z.S.; Szendrő, Z.S.; Matics, Z.S.; Radnai, I.; Kovacs, M.; Nagy, I.; Cullere, M.; Bosco, A.D.; Zotte, A.D. Effect of Dietary supplementation of Spirulina (Arthrospira platensis) and Thyme (Thymus vulgaris) on apparent digestibility and productive performance of growing rabbits. World Rabbit Sci. 2014, 22, 1–9. [Google Scholar] [CrossRef]
  15. Kovitvadhi, A.; Gasco, L.; Ferrocino, I.; Rotolo, L.; Dabbou, S.; Malfatto, V.; Gai, F.; Peiretti, P.G.; Falzone, M.; Vignolini, C.; et al. Effect of purple loosestrife (Lythrum salicaria) diet supplementation in rabbit nutrition on performance, digestibility, health and meat quality. Animal 2016, 10, 10–18. [Google Scholar] [CrossRef] [PubMed]
  16. Mukherjee, P.K.; Kumar, V.; Kumar, N.S.; Heinrich, M. The ayurvedic medicine Clitoria ternatea—From traditional use to scientific assessment. J. Ethnopharmacol. 2008, 20, 291–301. [Google Scholar] [CrossRef] [PubMed]
  17. AOAC. Official Method of Analysis, 17th ed.; Association of Official Analytical Chemists: Gaithersburg, MD, USA, 2000. [Google Scholar]
  18. Van Soest, P.J.; Robertson, J.B.; Lewis, B.A. Methods for dietary fibre, neutral detergent fibre, and nonstarch polysaccharides in relation to animal nutrition. J. Dairy Sci. 1991, 74, 3583–3597. [Google Scholar] [CrossRef] [PubMed]
  19. European Economic Community. Analytical determination of starch. OJEC 1972, 123, 7. [Google Scholar]
  20. Gidenne, T.; Combes, S.; Feugier, A.; Jehl, N.; Arveux, P.; Boisot, P.; Briens, C.; Corrent, E.; Fortune, H.; Montessuy, S.; et al. Feed restriction strategy in the growing rabbit. 2. Impact on digestive health, growth and carcass characteristics. Animal 2009, 3, 509–515. [Google Scholar] [CrossRef]
  21. Perez, J.M.; Lebas, F.; Gidenne, T.; Maertens, L.; Xiccato, G.; Parigi-Bini, R.; Dalle Zotte, A.; Cossu, M.E.; Carazzolo, A.; Vilamide, M.J.; et al. European reference method for in vivo determination of diet digestibility in rabbits. World Rabbit Sci. 1995, 3, 41–43. [Google Scholar]
  22. Witte, V.C.; Krause, G.F.; Bailey, M.E. A new extraction method for determining 2-thiobarbituric acid values of pork and beef during storage. J. Food Sci. 1970, 35, 582–585. [Google Scholar] [CrossRef]
  23. Umami, N.; Wardi, W.W.; Nisa, R.L.; Suhartanto, B.; Suseno, N. Butterfly pea (Clitoria ternatea) plants nutrient content and In vitro digestibility at different harvest ages at the second defoliation. Adv. Biol. Sci. Res. 2022, 21, 6–10. [Google Scholar] [CrossRef]
  24. Patil, P.V.; Gendley, M.K.; Patil, M.K. Leaf protein: New protein source for ruminants. J. Entomol. Zool. Stud. 2021, 9, 161–165. [Google Scholar]
  25. Nynäs, A.L.; Newason, W.R.; Langton, M.; Wouters, A.G.B.; Johansson, E. Application of leaf protein concentrate from various sources in food: Solubility at food-relevant pH values and air-water interfacial properties. LWT 2023, 184, 114962. [Google Scholar] [CrossRef]
  26. Amad, A.A.; Männer, K.; Wendler, K.R.; Neumann, K.; Zentek, J. Effects of a phytogenic feed additive on growth performance and ileal nutrient digestibility in broiler chickens. Poult. Sci. 2011, 90, 2811–2816. [Google Scholar] [CrossRef] [PubMed]
  27. Hernández, F.; Madrid, J.; García, V.; Orengo, J.; Megías, M.D. Influence of two plant extracts on broilers performance, digestibility, and digestive organ size. Poult. Sci. 2004, 83, 169–174. [Google Scholar] [CrossRef] [PubMed]
  28. Chwen, L.T.; Foo, H.L.; Than, N.T.; Choe, D.W. Growth performance, plasma fatty acids, villous height and crypt depth of preweaning piglets fed with medium chain triacylglycerol. Asian Australs J. Anim. Sci. 2013, 26, 700–704. [Google Scholar] [CrossRef] [PubMed]
  29. Verediano, T.A.; Stampini Duarte Martino, H.; Dias Paes, M.C.; Tako, E. Effects of Anthocyanin on Intestinal Health: A Systematic Review. Nutrients 2021, 13, 1331. [Google Scholar] [CrossRef]
  30. Nurcholis, W.; Iqbal, T.M.; Sulistiyani, S.; Liwanda, N. Profile of secondary metabolites in different parts of the butterfly pea (Clitoria ternatea) plant with antioxidant activity. Yuzuncu Yıl Univ. J. Agric. Sci. 2023, 33, 231–247. [Google Scholar] [CrossRef]
  31. Swallah, M.S.; Sun, H.; Affoh, R.; Fu, H.; Yu, H. Antioxidant potential overviews of secondary metabolites (polyphenols) in fruits. Int. J. Food Sci. 2020, 2020, 9081686. [Google Scholar] [CrossRef]
  32. Prihambodo, T.R.; Sholikin, M.M.; Qomariyah, N.; Jayanegara, A.; Batubara, I.; Utomo, D.B.; Nahrowi, N. Effects of dietary flavonoids on performance, blood constituents, carcass composition and small intestinal morphology of broilers: A meta-analysis. Anim. Biosci. 2020, 34, 434–442. [Google Scholar] [CrossRef]
  33. Sandoval-Ramírez, B.A.; Catalán, Ú.; Pedret, A.; Valls, R.M.; Motilva, M.J.; Rubió, L.; Solá, R. Exploring the effects of phenolic compounds to reduce intestinal damage and improve the intestinal barrier integrity: A systematic review of in vivo animal studies. Clin. Nutr. 2020, 40, 1719–1732. [Google Scholar] [CrossRef] [PubMed]
  34. Tizard, I. Veterinary Immunology, 9th ed.; Elsevier Saunders: St. Louis, MO, USA, 2013. [Google Scholar]
  35. Nithianantham, K.; Ping, K.Y.; Latha, L.Y.; Jothy, S.L.; Darah, I.; Chen, Y.; Chew, A.-L.; Sasidharan, S. Evaluation of hepatoprotective effect of methanolic extract of Clitoria ternatea (Linn.) flower against acetaminophen-induced liver damage. Asian Pac. J. Trop. Dis. 2013, 3, 314–319. [Google Scholar] [CrossRef]
  36. Kumar, C.H.; Ramesh, A.; Kumar, J.N.S.; Mohammed Ishaq, B. A review on hepatoprotective activity of medicinal plants. Int. J. Pharm. Sci. Res. 2011, 2, 501–515. [Google Scholar] [CrossRef]
  37. Daisy, P.; Santosh, K.; Rajathi, M. Antihyperglycemic and antihyperlipidemic effects of Clitoria ternatea Linn. in alloxan-induced diabetic rats. Afr. J. Microbiol. Res. 2009, 3, 287–291. [Google Scholar]
  38. Lo Fiego, D.P.; Santoro, P.; Macchioni, P.; Mazzoni, D.; Piattoni, F.; Tassone, F.; De Leonibus, E. The effect of dietary supplementation of vitamins C and E on the a-tocopherol content of muscles, liver and kidney, on the stability of lipids, and on certain meat quality parameters of the longissimus dorsi of rabbits. Meat Sci. 2004, 67, 319–327. [Google Scholar] [CrossRef] [PubMed]
  39. Dalle Zotte, A. Perception of rabbit meat quality and major factors influencing the rabbit carcass and meat quality. Livest. Prod. Sci. 2002, 75, 11–32. [Google Scholar] [CrossRef]
  40. Domínguez, R.; Pateiro, M.; Gagaoua, M.; Barba, F.J.; Zhang, W.; Lorenzo, J.M. A Comprehensive Review on Lipid Oxidation in Meat and Meat Products. Antioxidants. 2019, 8, 429. [Google Scholar] [CrossRef] [PubMed]
  41. Lee, S.Y.; Lee, D.Y.; Kim, O.Y.; Kang, H.J.; Kim, H.S.; Hur, S.J. Overview of studies on the use natural antioxidative materials in meat products. Food Sci. Anim. Resour. 2020, 40, 863–880. [Google Scholar] [CrossRef]
  42. Mukhopadhyay, R.; Bhattacharya, S.; Biswas, M. In vitro free radical scavenging activity of Clitorea ternatea leaf extracts. J. Adv. Pharm. Educ. Res. 2012, 2, 206–209. [Google Scholar]
  43. Rabeta, M.S.; An Nabil, Z. Total phenolic compounds and scavenging activity in Clitoria ternatea and Vitex negundo linn. Int. Food Res. J. 2013, 20, 495–500. [Google Scholar]
Figure 1. Muscular lipid peroxidation—malondialdehyde (MDA) formation in control (n = 8) and Clitoria ternatea extract (CTE)-treated (n = 8) rabbits during 7 days of storage. Asterisks (*) indicate that the mean MDA between control and treatment (CTE-treated) group at each sampling time were significantly different (p < 0.05).
Figure 1. Muscular lipid peroxidation—malondialdehyde (MDA) formation in control (n = 8) and Clitoria ternatea extract (CTE)-treated (n = 8) rabbits during 7 days of storage. Asterisks (*) indicate that the mean MDA between control and treatment (CTE-treated) group at each sampling time were significantly different (p < 0.05).
Animals 14 00958 g001
Table 1. Chemical composition on a dry matter basis (%) of the experimental diets (control) and Clitoria ternatea crude extract (CTE).
Table 1. Chemical composition on a dry matter basis (%) of the experimental diets (control) and Clitoria ternatea crude extract (CTE).
Chemical Components ControlCTE
Metabolizable energy (kcal/kg)2570-
Dry matter90.191.6
Crude protein (CP)16.543.7
Ether extract (EE)2.3810.2
Ash7.1711.4
Crude fiber13.02.90
Neutral detergent fiber (NDF)27.7-
Acid detergent fiber (ADF)17.7-
Acid detergent lignin (ADL)4.53-
Starch29.723.4
Table 2. Effects of Clitoria ternatea extract (CTE) on the parameters of apparent digestibility, health status, and some qualities of meat in rabbits.
Table 2. Effects of Clitoria ternatea extract (CTE) on the parameters of apparent digestibility, health status, and some qualities of meat in rabbits.
ParametersGroupsSEM 1p-Value
Control
(n = 8)
CTE
(n = 8)
Apparent digestibility (%)
   Dry matter 66.068.50.710.09
   Organic matter 57.967.92.620.04
   Ether extract 55.461.72.150.003
   Crude protein 93.494.80.390.07
Leukocyte phagocytic activity 2
   75 days0.871.060.070.17
   90 days1.261.420.060.50
Alveolar macrophage activity 20.970.860.060.43
   Serum biochemistry
   Total protein (g%)5.785.550.130.42
   Albumin (g%)3.353.280.050.59
   Globulin (g%)2.432.270.110.51
   Aspartate aminotransferase (AST, U/L)60.250.37.050.52
   Alanine aminotransferase (ALT, U/L)53.235.76.670.20
   Blood urea nitrogen (g%)14.812.00.690.05
   Creatinine (g%)1.080.860.060.12
   Cholesterol (g%)96.588.511.20.74
Villus height and crypt depth (µm)
   Jejunal height47447620.00.97
   Ileal height62365835.30.64
   Jejunal crypt1081144.270.49
   Ileal crypt1221243.300.74
Carcass characteristics
   Skin, paws, and feet (%SW)18.018.40.310.49
   Full gastrointestinal tract (%SW)22.323.71.400.63
   Cold carcass weight (CCW, g)1397136760.00.82
   Dressing percentage (%)61.259.30.730.23
   Liver (%CCW)5.416.780.330.03
   Kidneys (%CCW)1.141.180.050.76
   Perirenal fat (%CCW)2.352.020.220.51
   Thoracic organs (%CCW)1.491.400.050.69
Cecal trials
   Full caecum (%SW)6.847.450.550.60
   Empty caecum (%SW)1.521.610.090.65
   Cecal content (%SW)5.315.840.470.60
   Cecal pH6.576.450.070.46
Meat quality
   pH245.895.790.010.005
   Lightness (L*)52.156.20.600.001
   Redness (a*)1.541.600.040.49
   Yellowness (b*)3.501.710.360.01
   Hue (H*)60.733.75.090.006
   Chroma (C*)3.932.810.270.03
   Moisture (%fresh meat)76.477.10.230.13
   Protein (%dry matter)92.892.40.230.39
   Ether extract (%dry matter)1.861.820.240.95
   Ash (%dry matter)4.935.040.060.45
1 Pooled standard error of the mean. 2 The results are expressed as optical density from ingested bacterial cells.
Disclaimer/Publisher’s Note: The statements, opinions and data contained in all publications are solely those of the individual author(s) and contributor(s) and not of MDPI and/or the editor(s). MDPI and/or the editor(s) disclaim responsibility for any injury to people or property resulting from any ideas, methods, instructions or products referred to in the content.

Share and Cite

MDPI and ACS Style

Kovitvadhi, A.; Gasco, L.; Zoccarato, I.; Rukkwamsuk, T. Effects of Butterfly Pea Extracts on Phagocytic Activity of Blood Polymorphonuclear Leukocytes and Muscular Lipid Peroxidation in Rabbits. Animals 2024, 14, 958. https://doi.org/10.3390/ani14060958

AMA Style

Kovitvadhi A, Gasco L, Zoccarato I, Rukkwamsuk T. Effects of Butterfly Pea Extracts on Phagocytic Activity of Blood Polymorphonuclear Leukocytes and Muscular Lipid Peroxidation in Rabbits. Animals. 2024; 14(6):958. https://doi.org/10.3390/ani14060958

Chicago/Turabian Style

Kovitvadhi, Attawit, Laura Gasco, Ivo Zoccarato, and Theera Rukkwamsuk. 2024. "Effects of Butterfly Pea Extracts on Phagocytic Activity of Blood Polymorphonuclear Leukocytes and Muscular Lipid Peroxidation in Rabbits" Animals 14, no. 6: 958. https://doi.org/10.3390/ani14060958

APA Style

Kovitvadhi, A., Gasco, L., Zoccarato, I., & Rukkwamsuk, T. (2024). Effects of Butterfly Pea Extracts on Phagocytic Activity of Blood Polymorphonuclear Leukocytes and Muscular Lipid Peroxidation in Rabbits. Animals, 14(6), 958. https://doi.org/10.3390/ani14060958

Note that from the first issue of 2016, this journal uses article numbers instead of page numbers. See further details here.

Article Metrics

Back to TopTop