An Epidemiological Study on Salmonella in Tibetan Yaks from the Qinghai–Tibet Plateau Area in China
Simple Summary
Abstract
1. Introduction
2. Materials and Methods
2.1. Sample Collection
2.2. Isolation and Cultivation of Salmonella
2.3. Antimicrobial Susceptibility Testing
2.4. DNA Extraction
2.5. Detection of Antimicrobial Resistance Genes and Virulence Genes
2.6. Statistical Analysis of Data
2.7. Salmonella Serotype Identification
2.8. Master Gene Profiling with Multi-Locus Sequence Typing
2.9. Multi-Locus Sequence Typing and Phylogenetic Analysis
3. Results
3.1. The Prevalence of Salmonella
3.2. Results of the Antimicrobial Resistance Tests
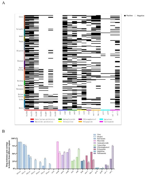
3.3. Results of PCR-Based Detection of Antimicrobial Resistance Genes in Salmonella
3.4. Results of PCR-Based Detection of Virulence Genes in Salmonella
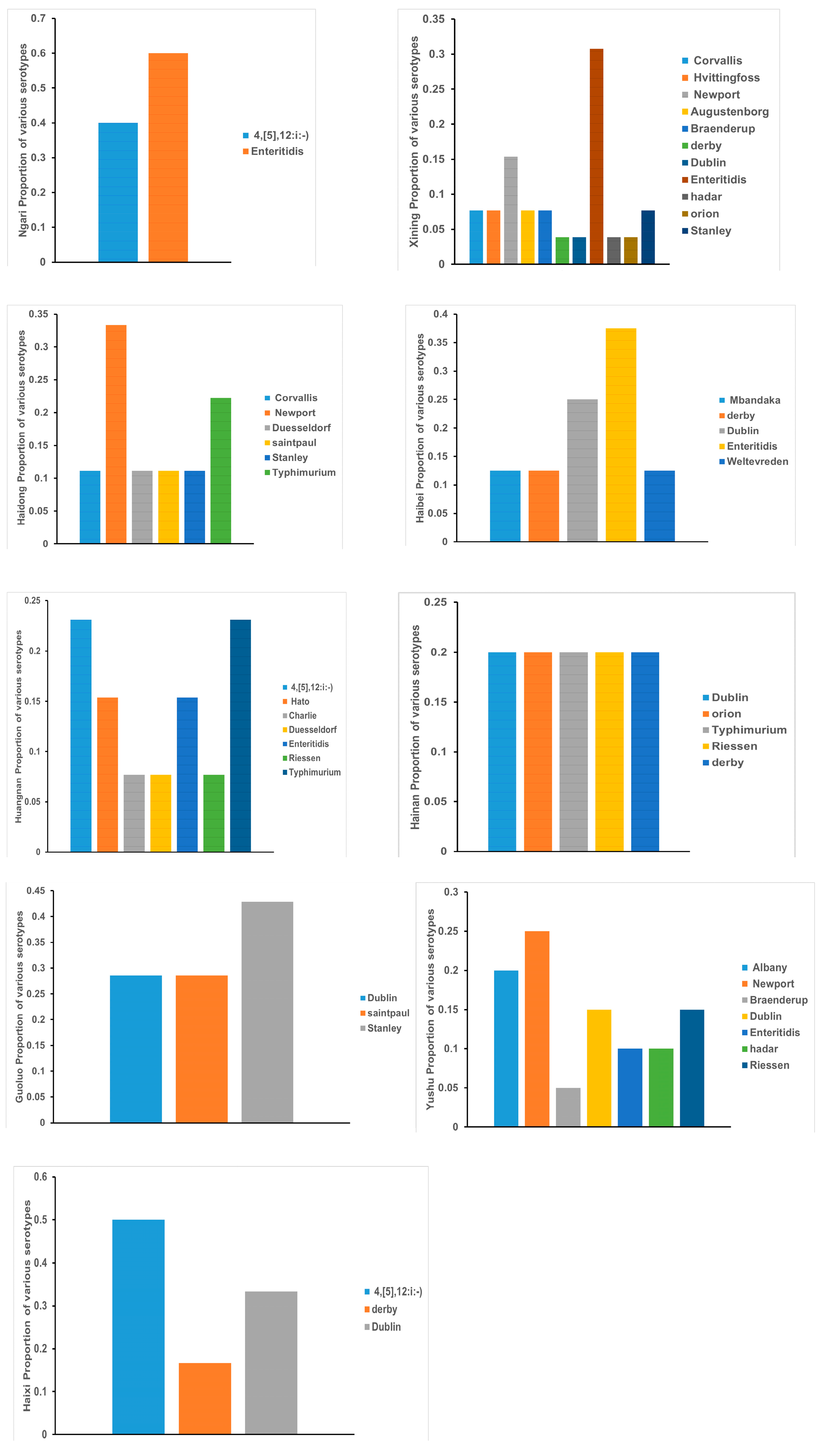
3.5. Serotyping of Salmonella Isolated from Yaks on the Qinghai–Tibet Plateau
3.6. Salmonella ST and Minimum Spanning Tree Analysis
3.7. Phylogenetic and Genetic Diversity Analyses
4. Discussion
5. Conclusions
Supplementary Materials
Author Contributions
Funding
Institutional Review Board Statement
Informed Consent Statement
Data Availability Statement
Conflicts of Interest
References
- Recht, J.; Schuenemann, V.J.; Sánchez-Villagra, M.R. Host diversity and origin of zoonoses: The ancient and the new. Animals 2020, 10, 1672. [Google Scholar] [CrossRef]
- Andreychev, A.; Boyarova, E.; Brandler, O.; Tukhbatullin, A.; Kapustina, S. Terrestrial and subterranean mammals as reservoirsof zoonotic diseases in the central part of European Russia. Diversity 2023, 15, 39. [Google Scholar] [CrossRef]
- Crum-Cianflone, N.F. Salmonellosis and the gastrointestinal tract: More than just peanut butter. Curr. Gastroenterol. Rep. 2008, 10, 424–431. [Google Scholar] [CrossRef]
- Qian, M.; Xu, D.; Wang, J.; Zaeim, D.; Han, J.; Qu, D. Isolation, antimicrobial resistance and virulence characterization of Salmonella spp. from fresh foods in retail markets in Hangzhou, China. PLoS ONE 2023, 19, e0292621. [Google Scholar] [CrossRef]
- Besser, J.M. Salmonella epidemiology: A whirlwind of change. Food Microbiol. 2018, 71, 55–59. [Google Scholar] [CrossRef] [PubMed]
- European Food Safety Authority (EFSA); European Centre for Disease Prevention and Control (ECDC). The European Union One Health 2022 Zoonoses Report. EFSA J. 2023, 21, e8442. [Google Scholar]
- Tang, B.; Siddique, A.; Jia, C.; Ed-Dra, A.; Wu, J.; Lin, H.; Yue, M. Genome-based risk assessment for foodborne Salmonella enterica from food animals in China: A One Health perspective. Int. J. Food Microbiol. 2023, 390, 110120. [Google Scholar] [CrossRef] [PubMed]
- Thomas, K.M.; De, G.W.A.; Barker, G.C.; Benschop, J.; Buza, J.J.; Cleaveland, S.; Davis, M.A.; French, N.P.; Mmbaga, B.T.; Prinsen, G.; et al. Prevalence of Campylobacter and Salmonella in African food animals and meat: A systematic review and meta-analysis. Int. J. Food Microbiol. 2020, 315, 108382. [Google Scholar] [CrossRef]
- Talukder, H.; Roky, S.A.; Debnath, K.; Sharma, B.; Ahmed, J.; Roy, S. Prevalence and Antimicrobial Resistance Profile of Salmonella Isolated from Human, Animal and Environment Samples in South Asia: A 10-Year Meta-analysis. J. Epidemiol. Glob. Health 2023, 13, 637–652. [Google Scholar] [CrossRef] [PubMed]
- Canning, M.; Birhane, M.G.; Dewey-Mattia, D.; Lawinger, H.; Cote, A.; Gieraltowski, L.; Schwensohn, C.; Tagg, K.A.; Francois Watkins, L.K.; Park, R.M.; et al. Salmonella Outbreaks Linked to Beef, United States, 2012–2019. J. Food Prot. 2023, 86, 100071. [Google Scholar] [CrossRef]
- Yue, H.; Zhu, X.; Zhang, B.; Zhang, H.; Tang, C. Emergence of the virulence plasmid in Salmonella onarimon and Salmonella blegdam from yak. Vet. Microbiol. 2013, 162, 296–297. [Google Scholar] [CrossRef]
- Zhang, J.; Long, K.; Wang, J.; Zhang, J.; Jin, L.; Tang, Q.; Li, X.; Ma, J.; Li, M.; Jiang, A. Yak miR-2285o-3p attenuates hypoxia-induced apoptosis by targeting caspase-3. Anim. Genet. 2022, 53, 49–57. [Google Scholar] [CrossRef]
- Han, X.; Liu, H.; Hu, L.; Zhao, N.; Xu, S.; Lin, Z.; Chen, Y. Bacterial Community Characteristics in the Gastrointestinal Tract of Yak (Bos grunniens) Fully Grazed on Pasture of the Qinghai-Tibetan Plateau of China. Animals 2021, 11, 2243. [Google Scholar] [CrossRef] [PubMed]
- Denkel, L.A.; Horst, S.A.; Rouf, S.F.; Kitowski, V.; Böhm, O.M.; Rhen, M.; Jäger, T.; Bange, F.C. Methionine sulfoxide reductases are essential for virulence of Salmonella typhimurium. PLoS ONE 2011, 6, e26974. [Google Scholar] [CrossRef] [PubMed]
- D’Aoust, J.Y. Pathogenicity of foodborne Salmonella. Int. J. Food Microbiol. 1991, 12, 17–40. [Google Scholar] [CrossRef]
- Groisman, E.A.; Ochman, H. How Salmonella became a pathogen. Trends Microbiol. 1997, 5, 343–349. [Google Scholar] [CrossRef]
- Hrelfall, E.J. Antimicrobial drug resistance in Salmonella: Problems and perspectives in food- and water-borne infections. FEMS Microbiol. Rev. 2002, 26, 141–148. [Google Scholar] [CrossRef] [PubMed]
- McDermott, P.F.; Zhao, S.; Tate, H. Antimicrobial Resistance in Nontyphoidal Salmonella. Microbiol. Spectr. 2018, 6, 5515–5520. [Google Scholar] [CrossRef] [PubMed]
- García-Fernández, A.; Gallina, S.; Owczarek, S.; Dionisi, A.M.; Benedetti, I.; Decastelli, L.; Luzzi, I. Emergence of Ciprofloxacin-Resistant Salmonella enterica Serovar Typhi in Italy. PLoS ONE 2015, 10, e0132065. [Google Scholar] [CrossRef]
- Nguyen, T.T.; Le, H.V.; Vu, T.H.H.; Nguyen, T.T.; Nguyen, H.M.; Pham, X.D.; Tran, T.T.H.; Le, T.H.H. Whole-Genome Analysis of Antimicrobial-Resistant Salmonella enterica Isolated from Duck Carcasses in Hanoi, Vietnam. Curr. Issues Mol. Biol. 2023, 45, 2213–2229. [Google Scholar] [CrossRef]
- Ashae, K.; Leekitcharoenphon, P.; Hendriksen, R.S. Phenotypic and genotypic comparison of Salmonellae from diarrhoeic and healthy humans and cattle, Nigeria. Zoonoses Public Health 2018, 65, e185–e195. [Google Scholar]
- Tamang, M.D.; Gurung, M.; Nam, H.M.; Moon, D.C.; Kim, S.R.; Jang, G.C.; Jung, D.Y.; Jung, S.C.; Park, Y.H.; Lim, S.K. Prevalence and characterization of Salmonella in pigs from conventional and organic farms and first report of S. serovar 1,4,[5],12:i:- from Korea. Vet. Microbiol. 2015, 178, 119–124. [Google Scholar] [CrossRef] [PubMed]
- Yang, J.; Gao, S.; Chang, Y.; Su, M.; Xie, Y.; Sun, S. Occurrence and Characterization of Salmonella Isolated from Large-Scale Breeder Farms in Shandong Province, China. Biomed. Res. Int. 2019, 2019, 8159567. [Google Scholar] [CrossRef]
- Carroll, L.M.; Pierneef, R.; Mathole, M.; Matle, I. Genomic Characterization of Endemic and Ecdemic Non-typhoidal Salmonella enterica Lineages Circulating Among Animals and Animal Products in South Africa. Front. Microbiol. 2021, 12, 748611. [Google Scholar] [CrossRef]
- Harbottle, H.; White, D.G.; McDermott, P.F.; Walker, R.D.; Zhao, S. Comparison of multilocus sequence typing, pulsed-field gel electrophoresis, and antimicrobial susceptibility typing for characterization of Salmonella enterica serotype Newport isolates. J. Clin. Microbiol. 2006, 44, 2449–2457. [Google Scholar] [CrossRef] [PubMed]
- Foley, S.L.; Lynne, A.M.; Nayak, R. Molecular typing methodologies for microbial source tracking and epidemiological investigations of Gram-negative bacterial foodborne pathogens. Infect. Genet. Evol. 2009, 9, 430–440. [Google Scholar] [CrossRef]
- Quainoo, S.; Coolen, J.P.M.; Van, H.S.A.F.T.; Huynen, M.A.; Melchers, W.J.G.; Van, S.W.; Wertheim, H.F.L. Whole-Genome Sequencing of Bacterial Pathogens: The Future of Nosocomial Outbreak Analysis. Clin. Microbiol. Rev. 2017, 30, 1015–1063. [Google Scholar] [CrossRef] [PubMed]
- Stepan, R.M.; Sherwood, J.S.; Petermann, S.R.; Logue, C.M. Molecular and comparative analysis of Salmonella enterica Senftenberg from humans and animals using PFGE, MLST and NARMS. BMC Microbiol. 2011, 11, 153. [Google Scholar] [CrossRef] [PubMed]
- Thrusfield, M.V. Veterinary Epidemiology, 3rd ed.; Blackwell Science: Oxford, UK, 2005; pp. 234–238. [Google Scholar]
- Ge, Z.; Xue, S.; Jianmei, Z.; Yuehua, L.I.; Juan, W.; Xiumei, H.; Zhina, Q.U.; Yudong, W.; Shigan, Y.; Junwei, W. Isolation, Identification, and Characterization of Foodborne Pathogens Isolated from Egg Internal Contents in China. J. Food Prot. 2016, 79, 2107–2112. [Google Scholar] [CrossRef] [PubMed]
- Song, H.; Zhu, A. Isolation and Identification of Salmonella in Pork. Methods Mol. Biol. 2021, 2182, 197–203. [Google Scholar]
- Franklin, R.; Cockerill, I. Performance Standards for Antimicrobial Susceptibility Testing. Twenty-First Informational Supplement M100-MS21; Clinical and Laboratory Standards Institute: Wayne, PA, USA, 2011. [Google Scholar]
- Borah, P.; Dutta, R.; Das, L.; Hazarika, G.; Choudhury, M.; Deka, N.K.; Malakar, D.; Hussain, M.I.; Barkalita, L.M. Prevalence, antimicrobial resistance and virulence genes of Salmonella serovars isolated from humans and animals. Vet. Res. Commun. 2022, 46, 799–810. [Google Scholar] [CrossRef] [PubMed]
- Bhatta, D.R.; Bangtrakulnonth, A.; Tishyadhigama, P.; Saroj, S.D.; Bandekar, J.R.; Hendriksen, R.S.; Kapadnis, B.P. Serotyping, PCR, phage-typing and antibiotic sensitivity testing of Salmonella serovars isolated from urban drinking water supply systems of Nepal. Lett. Appl. Microbiol. 2007, 44, 588–594. [Google Scholar] [CrossRef] [PubMed]
- Ewing, W.H. The nomenclature of Salmonella, its usage, and definitions for the three species. Can. J. Microbiol. 1972, 18, 1629–1637. [Google Scholar] [CrossRef]
- Yan, S.; Zhang, W.; Li, C.; Liu, X.; Zhu, L.; Chen, L.; Yang, B. Serotyping, MLST, and Core Genome MLST Analysis of Salmonella enterica From Different Sources in China During 2004–2019. Front. Microbiol. 2021, 12, 688614. [Google Scholar] [CrossRef]
- Yan, S.; Jiang, Z.; Zhang, W.; Liu, Z.; Dong, X.; Li, D.; Liu, Z.; Li, C.; Liu, X.; Zhu, L. Genomes-based MLST, cgMLST, wgMLST and SNP analysis of Salmonella Typhimurium from animals and humans. Comp Immunol Microbiol Infect Dis. 2023, 96, 101973. [Google Scholar] [CrossRef] [PubMed]
- Arkali, A.; Çetinkaya, B. Molecular identification and antibiotic resistance profiling of Salmonella species isolated from chickens in eastern Turkey. BMC Vet. Res. 2020, 19, 205. [Google Scholar] [CrossRef] [PubMed]
- Zhang, C.; Wang, Y.; Lu, Y.; Xu, X. Multilocus sequence typing analysis and second-generation sequencing analysis of Salmonella Wandsworth. J. Clin. Lab. Anal. 2021, 35, e23901. [Google Scholar] [CrossRef]
- Magiorakos, A.P.; Srinivasan, A.; Carey, R.B.; Carmeli, Y.; Falagas, M.E.; Giske, C.G.; Harbarth, S.; Hindler, J.F.; Kahlmeter, G.; Ols-son-Liljequist, B.; et al. Multidrug-resistant, extensively drug-resistant and pandrug-resistant bacteria: An international expert proposal for interim standard defini-tions for acquired resistance. Clin. Microbiol. Infect. 2012, 18, 268–281. [Google Scholar] [CrossRef]
- Ferrari, R.G.; Rosario, D.K.A.; Cunha-Neto, A.; Mano, S.B.; Figueiredo, E.E.S.; Conte-Junior, C.A. Worldwide Epidemiology of Salmonella Serovars in Animal-Based Foods: A Meta-analysis. Appl. Environ. Microbiol. 2019, 85, e00591-19. [Google Scholar] [CrossRef] [PubMed]
- Sun, H.; Wan, Y.; Du, P.; Bai, L. The Epidemiology of Monophasic Salmonella Typhimurium. Foodborne Pathog. Dis. 2020, 17, 87–97. [Google Scholar] [CrossRef]
- Ali, S.; Alsayeqh, A.F. Review of major meat-borne zoonotic bacterial pathogens. Front Public Health. 2022, 10, 1045599. [Google Scholar] [CrossRef] [PubMed]
- Van, K.E.G.; Smulders, F.J. A comparison of different enrichment media for the isolation of Salmonella dublin from livers, kidneys and muscles of Salmonella-positive veal calves. Int. J. Food Microbiol. 1990, 10, 177–182. [Google Scholar]
- Garrido, V.; Sánchez, S.; San Román, B.; Fraile, L.; Migura-García, L.; Grilló, M.J. Salmonella Infection in Mesenteric Lymph Nodes of Breeding Sows. Foodborne Pathog. Dis. 2020, 17, 411–417. [Google Scholar] [CrossRef]
- Peek, S.E.; Hartmann, F.A.; Thomas, C.B.; Nordlund, K.V. Isolation of Salmonella spp. from the environment of dairies without any history of clinical salmonellosis. J. Am. Vet. Med. Assoc. 2004, 225, 574–577. [Google Scholar] [CrossRef]
- Park, J.H.; Kim, H.S.; Yim, J.H.; Kim, Y.J.; Kim, D.H.; Chon, J.W.; Kim, H.; Om, A.S.; Seo, K.H. Comparison of the isolation rates and characteristics of Salmonella isolated from antibiotic-free and conventional chicken meat samples. Poult. Sci. 2017, 96, 2831–2838. [Google Scholar] [CrossRef]
- Asai, T.; Fujii, S.; Osumi, T.; Otagiri, Y.; Namimatsu, T.; Sato, S. Isolation and serological survey of Salmonella in pigs in Japan. J. Vet. Med. Sci. 2002, 64, 1011–1015. [Google Scholar] [CrossRef] [PubMed]
- Hiko, A.; Irsigler, H.; Ameni, G.; Zessin, K.H.; Fries, R. Salmonella serovars along two beef chains in Ethiopia. J. Infect. Dev. Ctries. 2016, 10, 1168–1176. [Google Scholar] [CrossRef] [PubMed]
- Xie, Y.; Savell, J.W.; Arnold, A.N.; Gehring, K.B.; Gill, J.J.; Taylor, T.M. Prevalence and Characterization of Salmonella enterica and Salmonella Bacteriophages Recovered from Beef Cattle Feedlots in South Texas. J. Food Prot. 2016, 79, 1332–1341. [Google Scholar] [CrossRef]
- Lapuz, R.R.; Umali, D.V.; Suzuki, T.; Shirota, K.; Katoh, H. Comparison of the prevalence of Salmonella infection in layer hens from commercial layer farms with high and low rodent densities. Avian Dis. 2012, 56, 29–34. [Google Scholar] [CrossRef]
- Mussayeva, A.; Yegorova, N.; Namet, A.; Kozhabayev, M.; Syrym, N. Salmonella sheep abortion: Distribution, diagnosis, and control measures. J. Appl. Anim. Welf. Sci. 2023, 24, 11–15. [Google Scholar] [CrossRef] [PubMed]
- Pan, H.U.; Zhou, J.; Dawa, Z.; Dai, Y.; Zhang, Y.; Yang, H.; Wang, C.; Liu, H.; Zhou, H.; Lu, X.; et al. Diversity of Culturable Bacteria Isolated from Highland Barley Cultivation Soil in Qamdo, Tibet Autonomous Region. Pol. J. Microbiol. 2021, 70, 87–97. [Google Scholar] [CrossRef]
- Kumar, S.; Suyal, D.C.; Yadav, A.; Shouche, Y.; Goel, R. Microbial diversity and soil physiochemical characteristic of higher altitude. PLoS ONE 2019, 14, e0213844. [Google Scholar] [CrossRef]
- Dargatz, D.A.; Traub-Dargatz, J.L. Multidrug-resistant Salmonella and nosocomial infections. Vet. Clin. North Am. Equine Pract. 2004, 20, 587–600. [Google Scholar] [CrossRef]
- Xu, Z.; Chen, X.; Tan, W.; Cui, H.; Zhu, Z.; Yang, C.; Huang, Q.; Meng, X.; Li, S. Prevalence and Antimicrobial Resistance of Salmonella and Staphylococcus aureus in Fattening Pigs in Hubei Province, China. Microb. Drug Resist. 2021, 27, 1594–1602. [Google Scholar] [CrossRef]
- Sodagari, H.R.; Mashak, Z.; Ghadimianazar, A. Prevalence and antimicrobial resistance of Salmonella serotypes isolated from retail chicken meat and giblets in Iran. J. Infect. Dev. Ctries. 2015, 9, 463–469. [Google Scholar] [CrossRef]
- Sevilla, E.; Vico, J.P.; Delgado-Blas, J.F.; González-Zorn, B.; Marín, C.M.; Uruén, C.; Martín-Burriel, I.; Bolea, R.; Mainar-Jaime, R.C. Resistance to colistin and production of extended-spectrum β-lactamases and/or AmpC enzymes in Salmonella isolates collected from healthy pigs in Northwest Spain in two periods: 2008–2009 and 2018. Int. J. Food Microbiol. 2021, 338, 108967. [Google Scholar] [CrossRef]
- Srednik, M.E.; Lantz, K.; Hicks, J.A.; Morningstar-Shaw, B.R.; Mackie, T.A.; Schlater, L.K. Antimicrobial resistance and genomic characterization of Salmonella Dublin isolates in cattle from the United States. PLoS ONE 2021, 16, e0249617. [Google Scholar] [CrossRef] [PubMed]
- Zhang, R.; Yang, S.; An, Y.; Wang, Y.; Lei, Y.; Song, L. Antibiotics and antibiotic resistance genes in landfills: A review. Sci, Total Environ. 2022, 806, 150647. [Google Scholar] [CrossRef]
- Li, M.; Lv, R.; Li, X.; Song, C.; Xingxin, L.; Zhang, H. Antimicrobial resistance, serogroups, virulence gene profiles and MLST of Escherichia coli from giant panda. Front. Microbiol. 2024, 14, 1236227. [Google Scholar] [CrossRef]
- Liao, C.; Huang, X.; Wang, Q.; Yao, D.; Lu, W. Virulence Factors of Pseudomonas Aeruginosa and Antivirulence Strategies to Combat Its Drug Resistance. Front. Cell Infect. Microbiol. 2022, 12, 926758. [Google Scholar] [CrossRef]
- Pakbin, B.; Brück, W.M.; Rossen, J.W.A. Virulence Factors of Enteric Pathogenic Escherichia coli: A Review. Int. J. Mol. Sci. 2021, 22, 9922. [Google Scholar] [CrossRef]
- Yan, S.; Liu, X.; Li, C.; Jiang, Z.; Li, D.; Zhu, L. Genomic virulence genes profile analysis of Salmonella enterica isolates from animal and human in China from 2004 to 2019. Microb. Pathog. 2022, 173, 105808. [Google Scholar] [CrossRef] [PubMed]
- Khoo, E.; Roslee, R.; Zakaria, Z.; Ahmad, N.I. Virulence gene profiles and antimicrobial susceptibility of Salmonella Brancaster from chicken. J. Vet. Sci. 2023, 24, e82. [Google Scholar] [CrossRef]
- Marcus, S.L.; Brumell, J.H.; Pfeifer, C.G.; Finlay, B.B. Salmonella pathogenicity islands: Big virulence in small packages. Microbes Infect. 2000, 2, 145–156. [Google Scholar] [CrossRef]
- Conner, C.P.; Heithoff, D.M.; Julio, S.M.; Sinsheimer, R.L.; Mahan, M.J. Differential patterns of acquired virulence genes distinguish Salmonella strains. Proc. Natl. Acad. Sci. USA 1998, 95, 4641–4645. [Google Scholar] [CrossRef]
- Shi, C.; Singh, P.; Ranieri, M.L.; Wiedmann, M.; Moreno, S.A.I. Molecular methods for serovar determination of Salmonella. Crit. Rev. Microbiol. 2015, 41, 309–325. [Google Scholar] [CrossRef]
- Kim, S.H.; Sung, G.H.; Park, E.H.; Hwang, I.Y.; Kim, G.R.; Song, S.A.; Lee, H.K.; Uh, Y.; Kim, Y.A.; Jeong, S.H.; et al. Serotype Distribution and Antimicrobial Resistance of Salmonella Isolates in Korea between 2016 and 2017. Ann. Lab. Med. 2022, 42, 268–273. [Google Scholar] [CrossRef]
- Ghoddusi, A.; Nayeri, F.B.; Zahraei, S.T.; Akbarein, H. Serotype Distribution and Antimicrobial Resistance of Salmonella Isolates in Human, Chicken, and Cattle in Iran. Arch. Razi Inst. 2019, 74, 259–266. [Google Scholar]
- Cho, S.; Hiott, L.M.; House, S.L.; Woodley, T.A.; McMillan, E.A.; Sharma, P.; Barrett, J.B.; Adams, E.S.; Brandenburg, J.M.; Hise, K.B.; et al. Analysis of Salmonella enterica Isolated from a Mixed-Use Watershed in Georgia, USA: Antimicrobial Resistance, Serotype Diversity, and Genetic Relatedness to Human Isolates. Appl. Env. Microbiol. 2022, 88, e0039322. [Google Scholar] [CrossRef] [PubMed]
- Xu, L.; He, Q.; Tang, Y.; Wen, W.; Chen, L.; Li, Y.; Yi, C.; Fu, B. Multi-locus sequence and drug resistance analysis of Salmonella infection in children with diarrhea in Guangdong to identify the dominant ST and cause of antibiotic-resistance. Exp. Ther. Med. 2022, 24, 678. [Google Scholar] [CrossRef]
- Wang, Y.; YangM, B.; Wu, Y.; Zhang, Z.; Meng, X.; Xi, M.; Wang, X.; Xia, X.; Shi, X.; Wang, D.; et al. Molecular characterization of Salmonella enterica serovar Enteritidis on retail raw poultry in six provinces and two National cities in China. Food Microbiol. 2015, 46, 74–80. [Google Scholar] [CrossRef]
- Sultana, K.F.; Saha, O.; Hoque, M.N.; Sultana, M.; Hossain, M.A. Multilocus sequence typing of multidrug-resistant Salmonella strains circulating in poultry farms of Bangladesh. Braz. J. Microbiol. 2021, 52, 2385–2399. [Google Scholar] [CrossRef]
- Zakaria, Z.; Hassan, L.; Sharif, Z.; Ahmad, N.; Mohd, A.R.; Amir, H.S.; Mohamed, S.N.; Abu, B.S.; Garba, B. Virulence Gene Profile, Antimicrobial Resistance and Multilocus Sequence Typing of Salmonella enterica Subsp. Enterica Serovar Enteritidis from Chickens and Chicken Products. Animals 2022, 12, 97. [Google Scholar] [CrossRef] [PubMed]











| Province | Separation Date | Location of Isolation | Total Number of Samples | Isolation Rate |
|---|---|---|---|---|
| Tibet | 2018/5 | Lhasa | 115 | 25.2% (29/115) |
| 2018/9 | Nyingchi | 120 | 15.8% (19/120) | |
| 2018/10 | Qamdo | 60 | 20.0% (12/60) | |
| 2019/7 | Nagqu | 100 | 22.0% (22/100) | |
| 2020/10 | Shigatse | 104 | 23.1% (24/104) | |
| 2021/11 | Shannan | 64 | 25.0% (16/64) | |
| 2022/5 | Ngari | 22 | 22.7% (5/22) | |
| Total 1 | 585 | 21.7% (127/585) | ||
| 2018/6 | Xining | 147 | 17.7% (26/147) | |
| 2018/6 | Haidong | 70 | 15.7% (11/70) | |
| Qinghai | 2019/8 | Haibei | 79 | 10.1% (8/79) |
| 2019/8 | Huangnan | 60 | 11.8% (13/60) | |
| 2020/5 | Hainan | 33 | 21.7% (5/33) | |
| 2020/5 | Guoluo | 43 | 16.3% (7/43) | |
| 2021/9 | Yushu | 170 | 11.8% (20/170) | |
| 2022/6 | Haixi | 35 | 17.1% (6/35) | |
| Total 2 | 637 | 15.1% (96/637) | ||
| Total 3 | 1222 | 18.3% (223/1222) |
| Genes | aroC | dnaN | hemD | hisD | purE | sucA | thrA |
|---|---|---|---|---|---|---|---|
| Fragment size/bp | 826 | 833 | 666 | 894 | 510 | 643 | 852 |
| Number of alleles | 32 | 26 | 22 | 24 | 15 | 27 | 25 |
| Average number of alleles | 17.24 | 11.63 | 9.28 | 17.33 | 3.40 | 8.31 | 6.11 |
| Simpson’s diversity index (Ds) | 0.9135 | 0.8767 | 0.7831 | 0.8236 | 0.4963 | 0.9024 | 0.8534 |
Disclaimer/Publisher’s Note: The statements, opinions and data contained in all publications are solely those of the individual author(s) and contributor(s) and not of MDPI and/or the editor(s). MDPI and/or the editor(s) disclaim responsibility for any injury to people or property resulting from any ideas, methods, instructions or products referred to in the content. |
© 2024 by the authors. Licensee MDPI, Basel, Switzerland. This article is an open access article distributed under the terms and conditions of the Creative Commons Attribution (CC BY) license (https://creativecommons.org/licenses/by/4.0/).
Share and Cite
Li, D.; Zhang, K.; Xue, X.; Bai, Z.; Yang, L.; Qi, J.; Suolang, S. An Epidemiological Study on Salmonella in Tibetan Yaks from the Qinghai–Tibet Plateau Area in China. Animals 2024, 14, 3697. https://doi.org/10.3390/ani14243697
Li D, Zhang K, Xue X, Bai Z, Yang L, Qi J, Suolang S. An Epidemiological Study on Salmonella in Tibetan Yaks from the Qinghai–Tibet Plateau Area in China. Animals. 2024; 14(24):3697. https://doi.org/10.3390/ani14243697
Chicago/Turabian StyleLi, Dengyu, Kaiqin Zhang, Xiaofeng Xue, Zhanchun Bai, La Yang, Jingjing Qi, and Sizhu Suolang. 2024. "An Epidemiological Study on Salmonella in Tibetan Yaks from the Qinghai–Tibet Plateau Area in China" Animals 14, no. 24: 3697. https://doi.org/10.3390/ani14243697
APA StyleLi, D., Zhang, K., Xue, X., Bai, Z., Yang, L., Qi, J., & Suolang, S. (2024). An Epidemiological Study on Salmonella in Tibetan Yaks from the Qinghai–Tibet Plateau Area in China. Animals, 14(24), 3697. https://doi.org/10.3390/ani14243697
