Assessing the Variability of Energy Metabolisability in Barley, Rye, and Wheat Varieties for Broiler Diets
Simple Summary
Abstract
1. Introduction
2. Materials and Methods
2.1. Bird Management, Husbandry, Experimental Design, and Diets
2.2. Excreta Sampling
2.3. Laboratory Analyses
2.4. Calculations
2.5. Statistical Analyses
3. Results
3.1. Cereal and Diet Analyses
3.2. Energy and Nutrient Flow in Excreta
3.3. Metabolisability of Energy
4. Discussion
4.1. Critical Evaluation of the Method
4.2. Variability of Energy Value Among Cereals and Varieties
4.3. Enzyme Addition Response
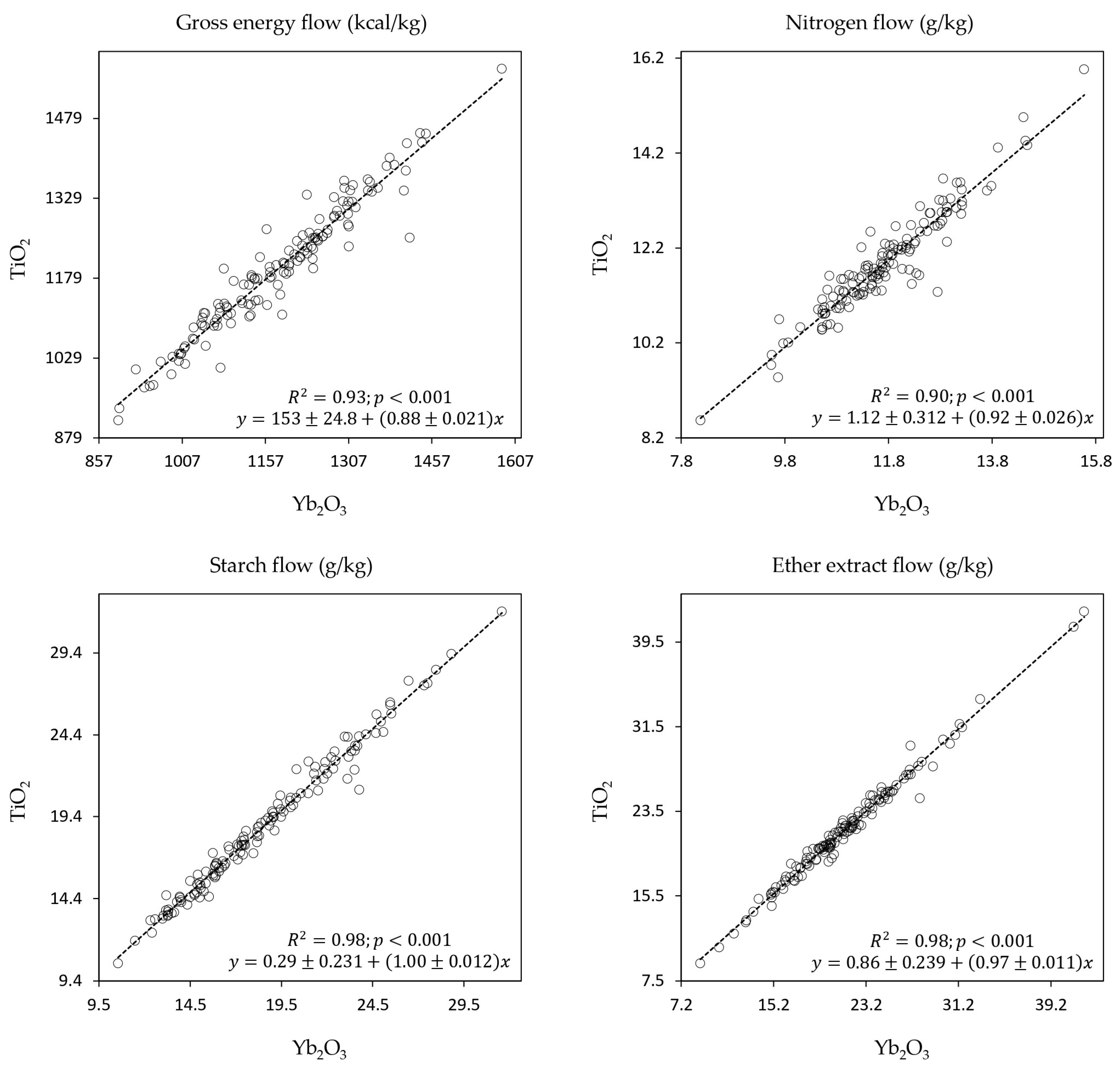
4.4. Ytterbium as Indigestible Marker
5. Conclusions
Author Contributions
Funding
Institutional Review Board Statement
Informed Consent Statement
Data Availability Statement
Acknowledgments
Conflicts of Interest
Correction Statement
Appendix A
| Cereal | Annotation | CP | Starch | CF | NDF | ADF | EE | Ca | P | Zn | GE | AMEn | Institution |
|---|---|---|---|---|---|---|---|---|---|---|---|---|---|
| (%) | (mg) | (kcal) | |||||||||||
| Barley | Barley | 10.8 | 52.1 | 4.25 | 16.2 | 5.31 | 1.7 | 0.05 | 0.35 | 29 | 3830 | 2701 | Brazilian tables [17] |
| Barley | 9.9 | 52.3 | 4.7 | 18.7 | 5.6 | 1.6 | 0.07 | 0.34 | 30 | 3820 | 2600 | INRAE [19] | |
| Barley | 10.2 | 51.7 | 4.7 | 14.1 | 5.6 | 1.8 | 0.05 | 0.32 | 30 | 2552 | CVB [18] | ||
| Barley | 11 | 5.5 | 1.8 | 0.03 | 0.36 | 30 | 2640 | NRC [20] | |||||
| Barley 1 (6 Row) | 9.6 | 50.6 | 5.6 | 1.7 | 2703 | WPSA [15] | |||||||
| Barley 2 (2 Row) | 11.7 | 52.2 | 4.3 | 2.2 | 2817 | WPSA [15] | |||||||
| Barley 1 | 11.3 | 51.9 | 4.7 | 18.1 | 5.5 | 1.7 | 0.06 | 0.32 | 30 | 2785 | FEDNA [16] | ||
| Barley 2 | 9.6 | 52.5 | 4.7 | 18.1 | 5.5 | 1.7 | 0.06 | 0.32 | 30 | 2750 | FEDNA [16] | ||
| Rye | Rye | 10.3 | 59.6 | 1.9 | 14.1 | 3.1 | 1.6 | 1.8 | 0.1 | 3749 | 2870 | Brazilian tables [17] | |
| Rye | 8.5 | 53.7 | 2 | 12.9 | 2.8 | 1.2 | 0.06 | 0.3 | 22 | 3720 | 2330 | INRAE [19] | |
| Rye | 9.3 | 54 | 2.1 | 9.8 | 3 | 1.3 | 0.04 | 0.31 | 33 | CVB [18] | |||
| Rye | 12.1 | 2.2 | 1.5 | 0.06 | 0.46 | 31 | 2626 | NRC [20] | |||||
| Rye | 10 | 56.9 | 2.6 | 1.7 | 2495 | WPSA [15] | |||||||
| Rye | 9.4 | 55.3 | 2.3 | 13.6 | 3.4 | 1.3 | 0.04 | 0.3 | 25 | 2730 | FEDNA [16] | ||
| Rye (German) | 10.1 | 53.7 | 2.2 | 11.2 | 3.2 | 1.8 | 0.03 | 0.32 | 25 | 2750 | FEDNA [16] | ||
| Wheat | Wheat | 11.5 | 56.7 | 2.37 | 11.32 | 3.09 | 1.61 | 0.06 | 0.32 | 53.11 | 3810 | 3039 | Brazilian tables [17] |
| Wheat | 11 | 60 | 2.4 | 12.8 | 3.3 | 1.4 | 0.06 | 0.31 | 26 | 3780 | 2860 | INRAE [19] | |
| Wheat | 11 | 59.2 | 2.3 | 11.7 | 3.5 | 1.5 | 0.03 | 0.3 | 28 | 2868 | CVB [18] | ||
| Wheat | 11.5 | 3 | 2.5 | 0.05 | 0.31 | 28 | 3120 | NRC [20] | |||||
| Wheat | 11.3 | 61.8 | 2.6 | 2.2 | 3067 | WPSA [15] | |||||||
| Wheat 1 | 12.9 | 60.1 | 2.4 | 10.8 | 3.2 | 1.4 | 0.05 | 0.29 | 50 | 3155 | FEDNA [16] | ||
| Wheat 2 | 11.2 | 60.4 | 2.4 | 10.6 | 3.1 | 1.4 | 0.05 | 0.29 | 50 | 3100 | FEDNA [16] | ||
| Wheat 3 | 10.2 | 60.6 | 2.4 | 10.3 | 3 | 1.4 | 0.05 | 0.29 | 50 | 3075 | FEDNA [16] | ||
| Wheat (English) | 11 | 60 | 2 | 9.3 | 3.1 | 1.6 | 0.04 | 0.3 | 30 | 3090 | FEDNA [16] | ||
References
- Mateos, G.G.; Cámara, L.; Fondevila, G.; Lázaro, R.P. Critical Review of the Procedures Used for Estimation of the Energy Content of Diets and Ingredients in Poultry. J. Appl. Poult. Res. 2019, 28, 506–525. [Google Scholar] [CrossRef]
- Wu, S.-B.; Choct, M.; Pesti, G. Historical flaws in bioassays used to generate metabolizable energy values for poultry feed formulation: A critical review. Poult. Sci. 2020, 99, 385–406. [Google Scholar] [CrossRef] [PubMed]
- Morgan, N.K.; Scholey, D.V.; Burton, E.J. A Comparison of Two Methods for Determining Titanium Dioxide Marker Content in Broiler Digestibility Studies. Animal 2014, 8, 529–533. [Google Scholar] [CrossRef] [PubMed]
- EFSA Panel on Food Additives and Flavourings (FAF). Scientific Opinion on the Safety Assessment of Titanium Dioxide (E171) as a Food Additive. EFSA J. 2021, 19, 6585. [Google Scholar] [CrossRef]
- FEDNA (Fundación Española para el Desarrollo de la Nutrición Animal). Necesidades nutricionales para avicultura: Normas FEDNA, 2a ed.; Fundación Española para el Desarrollo de la Nutrición Animal: Madrid, Spain, 2018. [Google Scholar]
- AOAC International. Official Methods of Analysis of AOAC International, 17th ed.; AOAC International: Gaithersburg, MD, USA, 2000. [Google Scholar]
- UNE-EN ISO 9831:2004; Animal feeding stuffs—Determination of gross energy content—Bomb calorimeter method (ISO 9831:1998). AENOR: Madrid, Spain, 2004.
- Englyst, H.N.; Quigley, M.E.; Hudson, G.J. Determination of dietary fibre as non-starch polysaccharides with gas−liquid chromatographic, high-performance liquid chromatographic or spectrophotometric measurement of constituent sugars. Analyst 1994, 119, 1497–1509. [Google Scholar] [CrossRef]
- Englyst, K.N.; Englyst, H.N.; Hudson, G.J.; Cole, T.J.; Cummings, J.H. Rapidly available glucose in foods: An in vitro measurement that reflects the glycemic response. Am. J. Clin. Nutr. 1999, 69, 448–454. [Google Scholar] [CrossRef]
- Molist Gasa, F.; Ywazaki, M.; Gómez de Segura, A.; Ugalde, R.; Hermes, G.; Gasa Gasó, J.; Pérez Hernández, J.F. Administration of loperamide and addition of wheat bran to the diets of weaner pigs decrease the incidence of diarrhea and enhance their gut maturation. Br. J. Nutr. 2009, 103, 879–885. [Google Scholar] [CrossRef]
- Anguita, M.; Gasa, J.; Nofrarias, M.; Martín-Orúe, S.M.; Pérez, J.F. Effect of coarse ground corn sugar beet pulp and wheat bran on the voluntary intake and physicochemical characteristics of digesta of growing pigs. Livest. Sci. 2007, 107, 182–191. [Google Scholar] [CrossRef]
- Hill, F.; Anderson, D. Comparison of metabolizable energy and productive energy determinations with growing chicks. J. Nutr. 1958, 64, 587–603. [Google Scholar] [CrossRef]
- Cozannet, P.; Lessire, M.; Gady, C.; Metayer, J.; Primot, Y.; Skiba, F.; Noblet, J. Energy value of wheat dried distillers grains with solubles in roosters, broilers, layers, and turkeys. Poult. Sci. 2010, 89, 2230–2241. [Google Scholar] [CrossRef]
- Di Rienzo, J.A.; Casanoves, F.; Balzarini, M.G.; Gonzalez, L.; Tablada, M.; Robledo, C.W. InfoStat. Centro de Transferencia 518 InfoStat, FCA, Universidad Nacional de Córdoba, Argentina. 2020. Available online: http://www.infostat.com.ar (accessed on 1 January 2023).
- WPSA (World’s Poultry Science Association). European Table of Energy Values for Poultry Feedstuffs, 3rd ed.; Subcommittee of Energy of the Working Group No. 2; Nutrition of the European Federation of Branches of the World’s Poultry Science Association, Spelderholt Centre for Poultry Research: Beekbergen, The Netherlands, 1989. [Google Scholar]
- FEDNA (Fundación Española para el Desarrollo de la Nutrición Animal). FEDNA Tables on the Composition and Nutritional Value of Raw Materials for the Production of Compound Animal Feeds, 4th ed.; FEDNA: Madrid, Spain, 2021. [Google Scholar]
- Rostagno, H.S.; Albino, L.F.T.; Hannas, M.I.; Donzele, J.L.; Sakomura, N.K.; Perazzo, F.G.; Saraiva, A.; de Abereu, M.L.T.; Rodrigues, P.B.; Oliveira, R.F.; et al. Brazilian Tables for poultry and swine: Feedstuff Composition and Nutritional Requirements, 4th ed.; Federal University of Viçosa: Viçosa, Brazil, 2017. [Google Scholar]
- CVB (Centraal Veevoeder Bureau). Chemical Composition and Nutritional Values of Feedstuffs; Centraal Veevoeder Bureau: Wageningen, The Netherlands, 2022. [Google Scholar]
- INRAE-CIRAD-AFZ, 2021. Tables of Composition and Nutritional Values of Feed Materials. INRAE, CIRAD, AFZ. Available online: https://www.feedtables.com (accessed on 1 March 2023).
- NRC (National Research Council). Nutrient Requirements of Poultry, 9th ed.; National Academies Press: Washington, DC, USA, 1994. [Google Scholar]
- Nyström, L.; Lampi, A.M.; Andersson, A.A.M.; Kamal-Eldin, K.; Gebruers, K.; Courtin, C.M.; Delcour, J.A.; Li, L.; Ward, J.L.; Fraś, A.; et al. Phytochemicals and Dietary Fiber Components in Rye Varieties in the HEALTHGRAIN Diversity Screen. J. Agric. Food Chem. 2008, 56, 9758–9766. [Google Scholar] [CrossRef] [PubMed]
- McGhee, M.L.; Stein, H.H. Apparent and standardized ileal digestibility of AA and starch in hybrid rye, barley, wheat, and corn fed to growing pigs. J. Anim. Sci. 2018, 96, 3319–3329. [Google Scholar] [CrossRef] [PubMed]
- Antoniou, T.; Marquardt, R.R. Influence of Rye Pentosans on the Growth of Chicks. Poult. Sci. 1981, 60, 1898–1904. [Google Scholar] [CrossRef]
- White, B.W.; Bird, H.R.; Sunde, M.L.; Prentice, N.; Burger, W.C.; Marlett, J.A. The viscosity interaction of barley β-glucan with Trichoderma viride cellulase in the chick intestine. Poult. Sci. 1981, 60, 1043–1048. [Google Scholar] [CrossRef] [PubMed]
- Aastrup, S. The relationship between the viscosity of an acid flour extract of barley and its β-glucan content. Carlsberg Res. Commun. 1979, 44, 289–304. [Google Scholar] [CrossRef]
- Henry, R.J. Pentosan and 1-3-1-4 β-glucan concentrations in endosperm and whole grain of wheat, barley, oats, and rye. J. Cereal Chem. 1987, 6, 253–258. [Google Scholar] [CrossRef]
- Bederska-Łojewska, D.; Świątkiewicz, S.; Arczewska-Włosek, A.; Schwarz, T. Rye non-starch polysaccharides: Their impact on poultry intestinal physiology, nutrients digestibility, and performance indices—A review. Ann. Anim. Sci. 2017, 17, 351–369. [Google Scholar] [CrossRef]
- Marquardt, R.R.; Boros, D.; Guenter, W.; Crow, G. The nutritive value of barley, rye, wheat and corn for young chicks as affected by use of a Trichoderma reesei enzyme preparation. Anim. Feed Sci. Technol. 1994, 45, 363–378. [Google Scholar] [CrossRef]
- Villamide, M.J.; Fuente, P.; Perez de Ayala, P.; Flores, A. Energy evaluation of eight barley cultivars for poultry: Effect of dietary enzyme addition. Poult. Sci. 1997, 76, 834–840. [Google Scholar] [CrossRef]
- Scott, T.A.; Silversides, F.G.; Classen, H.L.; Swift, M.L.; Bedford, M.R. Effect of cultivar and environment on the feeding value of Western Canadian wheat and barley samples with and without enzyme supplementation. Can. J. Anim. Sci. 1998, 78, 649–656. [Google Scholar] [CrossRef]
- Perera, W.N.U.; Abdollahi, M.R.; Ravindran, V.; Zaefarian, F.; Wester, T.J.; Ravindran, G. Nutritional evaluation of two barley cultivars without and with carbohydrase supplementation for broilers: Metabolisable energy and standardised amino acid digestibility. Br. Poult. Sci. 2019, 60, 404–413. [Google Scholar] [CrossRef] [PubMed]
- Svihus, B.; Gullord, M. Effect of chemical content and physical characteristics on nutritional value of wheat, barley and oats for poultry. Anim. Feed Sci. Technol. 2002, 102, 71–92. [Google Scholar] [CrossRef]
- Choct, M.; Hughes, R.J.; Perez-Maldonado, R.; van Barneveld, R.J. The metabolisable energy value of sorghum and barley for broiler and layers. Aust. Poult. Sci. Symp. 2001, 13, 39–42. [Google Scholar]
- Jacob, J.P.; Pescatore, A.J. Using barley in poultry diets—A review. J. Appl. Poult. Res. 2012, 21, 915–940. [Google Scholar] [CrossRef]
- Jeroch, H.; Dänicke, S. Barley in poultry feeding: A review. World Poult. Sci. J. 1995, 51, 271–291. [Google Scholar] [CrossRef]
- Perera, W.N.U.; Abdollahi, M.R.; Zaefarian, F.; Wester, T.J.; Ravindran, V. Barley, an Undervalued Cereal for Poultry Diets: Limitations and Opportunities. Animals 2022, 12, 2525. [Google Scholar] [CrossRef]
- Del Alamo, A.G.; Verstegen, M.W.A.; Den Hartog, L.A.; De Ayala, P.P.; Villamide, M.J. Effect of Wheat Cultivar and Enzyme Addition to Broiler Chicken Diets on Nutrient Digestibility, Performance and Apparent Metabolizable Energy Content. Poult. Sci. 2008, 87, 759–767. [Google Scholar] [CrossRef]
- Smeets, N.; Nuyens, F.; Van Campenhout, L.; Delezie, E.; Pannecoucque, J.; Niewold, T. Relationship between wheat characteristics and nutrient digestibility in broilers: Comparison between total collection and marker (titanium dioxide) technique. Poult. Sci. 2015, 94, 1584–1591. [Google Scholar] [CrossRef]
- Karunaratne, N.D.; Abbott, D.A.; Hucl, P.J.; Chibbar, R.N.; Pozniak, C.J.; Classen, H.L. Starch digestibility and apparent metabolizable energy of western Canadian wheat market classes in broiler chickens. Poult. Sci. 2018, 97, 2818–2828. [Google Scholar] [CrossRef]
- Choct, M.; Hughes, R.J.; Annison, G. Apparent metabolisable energy and chemical composition of Australian wheat in relation to environmental factors. Aust. J. Agric. Res. 1999, 50, 447. [Google Scholar] [CrossRef]
- Lázaro, R.; García, M.; Araníbar, M.J.; Mateos, G.G. Effect of enzyme addition to wheat-, barley-, and rye-based diets on nutrient digestibility and performance of laying hens. Br. Poult. Sci. 2003, 44, 256–265. [Google Scholar] [CrossRef] [PubMed]
- Vukic Vranjes, M.; Pfirter, H.P.; Wenk, C. Influence of processing on dietary enzyme effect and nutritive value of diets for laying hens. Can. J. Anim. Sci. 1995, 75, 453–460. [Google Scholar] [CrossRef][Green Version]
- Pan, C.F.; Ignasan, F.A.; Guenter, W.; Marquardt, R.R. The effects of enzyme and inorganic phosphorus supplements in wheat- and rye-based diets on laying hen performance, energy, and phosphorus availability. Poult. Sci. 1998, 77, 83–89. [Google Scholar] [CrossRef] [PubMed]
- Ravindran, V.; Selle, P.; Bryden, W. Effects of phytase supplementation, individually and in combination with glycanase, on the nutritive value of wheat and barley. Poult. Sci. 1999, 78, 1588–1595. [Google Scholar] [CrossRef] [PubMed]
- Ravindran, V.; Tilman, Z.V.; Morel, P.C.H.; Ravindran, G.; Coles, G.D. Influence of β-glucanase supplementation on the metabolisable energy and ileal nutrient digestibility of normal starch and waxy barleys for broiler chickens. Anim. Feed Sci. Technol. 2007, 134, 45–55. [Google Scholar] [CrossRef]
- Perera, W.N.U.; Abdollahi, M.R.; Zaefarian, F.; Wester, T.J.; Ravindran, V. The effect of graded inclusions of waxy starch hull-less barley and a multi-component exogenous carbohydrase on the growth performance, nutrient digestibility and intestinal morphometry of broiler chickens. Br. Poult. Sci. 2020, 61, 442–453. [Google Scholar] [CrossRef]
- Rotter, B.A.; Friesen, O.D.; Guenter, W.; Marquardt, R.R. Influence of Enzyme Supplementation on the Bioavailable Energy of Barley. Poult. Sci. 1990, 69, 1174–1181. [Google Scholar] [CrossRef]
- Flores, M.P.; Castaño, J.I.R.; McNab, J.M. Effect of enzyme supplementation of wheat and triticale based diets for broilers. Anim. Feed Sci. Technol. 1994, 49, 237–243. [Google Scholar] [CrossRef]
- Teeter, T.G.; Smith, M.O.; Sarani, S. Comparison of Ferric Oxide and Ytterbium Chloride as Digesta Markers in Broiler Chicks. Poult. Sci. 1985, 64, 2392–2393. [Google Scholar] [CrossRef]
- Deering, M.J.; Hewitt, D.R.; Sarac, H.Z. A Comparison of Inert Markers Used to Estimate Protein Digestibility in the Leader Prawn Penaeus monodon. J. World Aquac. Soc. 1996, 27, 103–106. [Google Scholar] [CrossRef]
- Delagarde, R.; Pérez-Ramírez, E.; Peyraud, J.L. Ytterbium oxide has the same accuracy as chromic oxide for estimating variations of faecal dry matter output in dairy cows fed a total mixed ration at two feeding levels. Anim. Feed Sci. Technol. 2010, 161, 121–131. [Google Scholar] [CrossRef]
- The European Parliament; The Council Of The European Union. Regulation (EC) No. 1272/2008 on classification, labeling, and packaging of substances and mixtures. Off. J. Eur. Union 2008, 353, 1–1355. [Google Scholar]


| Item | Adaptation Diet (d1–15) | Experimental Diets 4 (d16–25) |
|---|---|---|
| Ingredients | ||
| Corn | 32.28 | 32.28 |
| Wheat | 40 | - |
| Test ingredient 1 | - | 40 |
| Extruded soybean | 18 | 18 |
| Processed animal protein 2 | 8 | 8 |
| L-Lysine | 0.34 | 0.34 |
| DL-Methionine | 0.31 | 0.31 |
| L-Threonine | 0.19 | 0.19 |
| Isoleucine | 0.125 | 0.125 |
| Tryptophan | 0.02 | 0.02 |
| Salt | 0.33 | 0.33 |
| Vitamin and mineral premix 3 | 0.4 | 0.4 |
| Calculated composition | ||
| AME (kcal/kg) | 3246 | |
| Crude protein | 19.6 | |
| Calcium | 0.48 | |
| Phosphorus | 0.5 |
| Barley | Rye | Wheat | ||||||||||
|---|---|---|---|---|---|---|---|---|---|---|---|---|
| Item (%) | B1 | B2 | B3 | B4 | R1 | R2 | R3 | R4 | W1 | W2 | W3 | W4 |
| Dry matter | 88.6 | 88.2 | 88.4 | 88.4 | 87.7 | 88.3 | 88.6 | 88.2 | 87.4 | 87.6 | 88.3 | 87.3 |
| Ether extract | 1.65 | 1.40 | 1.01 | 1.13 | 0.87 | 0.89 | 0.86 | 0.94 | 1.14 | 1.13 | 1.15 | 0.90 |
| Crude protein | 9.6 | 9.09 | 8.15 | 9.87 | 8.7 | 6.22 | 6.68 | 8.64 | 9.63 | 10.9 | 13.7 | 10.6 |
| Gross energy (kcal/kg) | 3870 | 3850 | 3827 | 3839 | 3745 | 3763 | 3786 | 3796 | 3786 | 3800 | 3880 | 3787 |
| Total sugars | 2.2 | 2.5 | 2.9 | 1.4 | 4.8 | 6.0 | 5.2 | 6.0 | 2.7 | 3.6 | 2.3 | 1.6 |
| Calcium | 0.04 | 0.05 | 0.04 | 0.03 | 0.03 | 0.03 | 0.03 | 0.04 | 0.04 | 0.04 | 0.05 | 0.03 |
| Phosphorus | 0.32 | 0.29 | 0.27 | 0.29 | 0.31 | 0.29 | 0.26 | 0.30 | 0.35 | 0.32 | 0.32 | 0.29 |
| Zinc (mg/kg) | 47 | 45 | 21 | 28 | 20 | 26 | 24 | 21 | 18 | 28 | 26 | 23 |
| Amino acids | ||||||||||||
| Aspartic acid | 0.60 | 0.61 | 0.58 | 0.64 | 0.58 | 0.53 | 0.53 | 0.59 | 0.50 | 0.55 | 0.64 | 0.52 |
| Glutamic acid | 2.27 | 2.00 | 1.85 | 2.33 | 1.95 | 1.14 | 1.27 | 1.91 | 2.77 | 3.08 | 4.15 | 3.03 |
| Serine | 0.47 | 0.44 | 0.40 | 0.46 | 0.42 | 0.29 | 0.31 | 0.42 | 0.46 | 0.48 | 0.61 | 0.49 |
| Histidine | 0.24 | 0.20 | 0.19 | 0.21 | 0.19 | 0.15 | 0.15 | 0.20 | 0.22 | 0.24 | 0.31 | 0.18 |
| Glycine | 0.45 | 0.38 | 0.32 | 0.36 | 0.36 | 0.25 | 0.28 | 0.37 | 0.37 | 0.42 | 0.50 | 0.45 |
| Threonine | 0.38 | 0.36 | 0.33 | 0.37 | 0.32 | 0.26 | 0.26 | 0.34 | 0.33 | 0.31 | 0.39 | 0.30 |
| Arginine | 0.53 | 0.5 | 0.46 | 0.51 | 0.47 | 0.39 | 0.39 | 0.49 | 0.50 | 0.57 | 0.65 | 0.53 |
| Alanine | 0.41 | 0.40 | 0.38 | 0.41 | 0.38 | 0.31 | 0.31 | 0.39 | 0.37 | 0.39 | 0.43 | 0.38 |
| Tyrosine | 0.34 | 0.27 | 0.27 | 0.32 | 0.23 | 0.18 | 0.18 | 0.24 | 0.30 | 0.30 | 0.40 | 0.32 |
| Valine | 0.52 | 0.42 | 0.41 | 0.46 | 0.38 | 0.30 | 0.30 | 0.38 | 0.39 | 0.43 | 0.49 | 0.41 |
| Methionine | 0.16 | 0.14 | 0.13 | 0.16 | 0.13 | 0.09 | 0.09 | 0.12 | 0.14 | 0.15 | 0.19 | 0.16 |
| Phenylalanine | 0.49 | 0.46 | 0.44 | 0.53 | 0.41 | 0.28 | 0.29 | 0.41 | 0.44 | 0.52 | 0.69 | 0.48 |
| Isoleucine | 0.35 | 0.31 | 0.30 | 0.34 | 0.29 | 0.22 | 0.22 | 0.29 | 0.32 | 0.36 | 0.47 | 0.34 |
| Leucine | 0.62 | 0.63 | 0.60 | 0.62 | 0.55 | 0.40 | 0.41 | 0.56 | 0.58 | 0.67 | 0.88 | 0.65 |
| Lysine | 0.36 | 0.35 | 0.32 | 0.37 | 0.32 | 0.23 | 0.26 | 0.34 | 0.29 | 0.35 | 0.41 | 0.30 |
| Proline | 1.01 | 0.87 | 0.81 | 1.03 | 0.78 | 0.46 | 0.49 | 0.77 | 0.90 | 1.01 | 1.44 | 0.99 |
| Swelling capacity | 313 | 287 | 280 | 297 | 448 | 499 | 477 | 397 | 184 | 181 | 170 | 182 |
| Water retention capacity | 107 | 107 | 103 | 103 | 119 | 128 | 128 | 123 | 81 | 75 | 80 | 80 |
| NIR predictions * | ||||||||||||
| AMEn, %GE | 72.5 | 72.3 | 75.0 | 71.7 | 67.5 | 68.3 | 69.2 | 67.6 | 80.7 | 80.4 | 79.1 | 80.6 |
| AMEs, %GE | 74.1 | 73.9 | 76.4 | 73.4 | 69.0 | 69.4 | 70.3 | 69.0 | 82.4 | 82.2 | 81.5 | 82.4 |
| Barley | Rye | Wheat | ||||||||||
|---|---|---|---|---|---|---|---|---|---|---|---|---|
| Item | B1 | B2 | B3 | B4 | R1 | R2 | R3 | R4 | W1 | W2 | W3 | W4 |
| Starch fractions 1 | ||||||||||||
| Rapidly digestible starch | 22.5 | 22.3 | 19.8 | 18.3 | 29.4 | 29.4 | 28.3 | 25.3 | 25.6 | 22.8 | 22.7 | 27.7 |
| Slowly digestible starch | 28.9 | 30.4 | 34.6 | 32.3 | 26.7 | 28.2 | 28.4 | 27.1 | 34.2 | 35.6 | 34.2 | 34.0 |
| Available starch | 51.3 | 52.6 | 54.4 | 50.6 | 56.2 | 57.6 | 56.7 | 52.4 | 59.8 | 58.4 | 56.9 | 61.6 |
| Resistant starch | 0.5 | 0.8 | 0.5 | 0.7 | 0.3 | 0.4 | 0.3 | 0.4 | 0.4 | 0.7 | 0.3 | 0.3 |
| Total starch | 51.9 | 53.4 | 54.9 | 51.3 | 56.5 | 58.0 | 57.0 | 52.8 | 60.2 | 59.2 | 57.2 | 61.9 |
| Soluble NSP (g/100 g) | ||||||||||||
| Rhamnose | 0.0 | 0.0 | 0.0 | 0.0 | 0.0 | 0.0 | 0.0 | 0.0 | 0.0 | 0.0 | 0.1 | 0.0 |
| Fucose | 0.0 | 0.0 | 0.0 | 0.0 | 0.0 | 0.0 | 0.0 | 0.0 | 0.0 | 0.0 | 0.0 | 0.0 |
| Arabinose | 0.5 | 0.4 | 0.3 | 0.5 | 1.1 | 1.1 | 1.1 | 1.3 | 0.6 | 0.5 | 0.5 | 0.6 |
| Xylose | 0.7 | 0.5 | 0.4 | 0.6 | 1.9 | 1.9 | 1.8 | 2.3 | 1.1 | 0.8 | 0.8 | 1.0 |
| Mannose | 0.2 | 0.2 | 0.1 | 0.2 | 0.1 | 0.2 | 0.2 | 0.2 | 0.1 | 0.1 | 0.1 | 0.1 |
| Galactose | 0.2 | 0.2 | 0.2 | 0.2 | 0.2 | 0.2 | 0.2 | 0.2 | 0.3 | 0.3 | 0.3 | 0.2 |
| Glucose | 3.6 | 4.1 | 3.2 | 4.4 | 1.3 | 1.2 | 1.3 | 1.4 | 0.5 | 0.5 | 0.3 | 0.4 |
| Glucuronic acid | 0.0 | 0.0 | 0.0 | 0.0 | 0.0 | 0.0 | 0.0 | 0.0 | 0.0 | 0.0 | 0.0 | 0.0 |
| Galacturonic acid | 0.0 | 0.0 | 0.0 | 0.0 | 0.0 | 0.0 | 0.0 | 0.0 | 0.0 | 0.0 | 0.0 | 0.0 |
| Insoluble NSP (g/100 g) | ||||||||||||
| Rhamnose | 0.0 | 0.0 | 0.1 | 0.1 | 0.0 | 0.0 | 0.0 | 0.0 | 0.1 | 0.0 | 0.1 | 0.0 |
| Fucose | 0.0 | 0.0 | 0.0 | 0.0 | 0.0 | 0.0 | 0.0 | 0.0 | 0.0 | 0.0 | 0.0 | 0.0 |
| Arabinose | 1.7 | 1.6 | 1.3 | 1.5 | 1.4 | 1.4 | 1.4 | 1.5 | 1.4 | 1.2 | 1.4 | 1.0 |
| Xylose | 3.7 | 3.8 | 2.1 | 3.7 | 2.3 | 2.2 | 2.3 | 2.5 | 3.4 | 2.0 | 2.3 | 1.8 |
| Mannose | 0.3 | 0.3 | 0.2 | 0.3 | 0.3 | 0.4 | 0.4 | 0.4 | 0.3 | 0.2 | 0.2 | 0.2 |
| Galactose | 0.2 | 0.2 | 0.1 | 0.2 | 0.2 | 0.2 | 0.3 | 0.2 | 0.2 | 0.1 | 0.2 | 0.1 |
| Glucose | 3.9 | 3.8 | 2.1 | 3.9 | 2.3 | 2.5 | 2.5 | 2.4 | 4.0 | 2.0 | 2.0 | 1.4 |
| Glucuronic acid | 0.0 | 0.0 | 0.0 | 0.0 | 0.0 | 0.0 | 0.0 | 0.0 | 0.0 | 0.0 | 0.0 | 0.0 |
| Galacturonic acid | 0.0 | 0.0 | 0.0 | 0.0 | 0.0 | 0.0 | 0.0 | 0.0 | 0.0 | 0.0 | 0.0 | 0.0 |
| Total NSP (g/100 g) | 15.1 | 15.1 | 10.1 | 15.4 | 11.1 | 11.5 | 11.5 | 12.5 | 11.9 | 7.8 | 8.2 | 6.8 |
| % Soluble NSP | 34.5 | 36.1 | 41.5 | 38.1 | 41.5 | 40.6 | 39.7 | 44.0 | 21.7 | 28.6 | 24.9 | 33.8 |
| % Insoluble NSP | 65.5 | 63.9 | 58.5 | 61.9 | 58.5 | 59.4 | 60.3 | 56.0 | 78.3 | 71.4 | 75.1 | 66.2 |
| Enzyme Activity | ||||||
|---|---|---|---|---|---|---|
| Phytase | Xylanase | β-Glucanase | ||||
| Diets | Cereal | Enzymes 1 | Variety 2 | (FTU/kg) | (BXU/kg) | (BU/kg) |
| B1 | Barley | − | B1 | <50 | <2000 | 8810 |
| B2 | B2 | <50 | <2000 | 10,800 | ||
| B3 | B3 | <50 | <2000 | 6720 | ||
| B4 | B4 | <50 | <2000 | 7340 | ||
| B1+ | + | B1 | 1590 | 12,800 | 32,000 | |
| B2+ | B2 | 1560 | 15,600 | 30,500 | ||
| B3+ | B3 | 1370 | 14,300 | 32,000 | ||
| B4+ | B4 | 1390 | 17,600 | 31,900 | ||
| R1 | Rye | − | R1 | <50 | <2000 | 11,500 |
| R2 | R2 | <50 | <2000 | 13,800 | ||
| R3 | R3 | <50 | <2000 | 17,600 | ||
| R4 | R4 | <50 | <2000 | 10,600 | ||
| R1+ | + | R1 | 1900 | 17,100 | 39,600 | |
| R2+ | R2 | 1590 | 17,300 | 28,700 | ||
| R3+ | R3 | 1490 | 17,200 | 29,600 | ||
| R4+ | R4 | 1620 | 16,800 | 31,900 | ||
| W1 | Wheat | − | W1 | <50 | <2000 | 7420 |
| W2 | W2 | <50 | <2000 | 6490 | ||
| W3 | W3 | <50 | <2000 | 9120 | ||
| W4 | W4 | <50 | <2000 | 7440 | ||
| W1+ | + | W1 | 1140 | 14,000 | 30,300 | |
| W2+ | W2 | 1640 | 17,400 | 29,900 | ||
| W3+ | W3 | 1550 | 15,500 | 32,200 | ||
| W4+ | W4 | 1110 | 16,500 | 24,700 | ||
| GE (kcal) | Starch (g) | N (g) | EE (g) | ||
|---|---|---|---|---|---|
| Main effects | |||||
| Cereal (C) 1 | Barley | 1191 b | 15.68 c | 11.63 | 20.97 b |
| Rye | 1287 a | 21.08 a | 11.98 | 23.32 a | |
| Wheat | 1093 c | 19.36 b | 12.01 | 20.58 b | |
| SEM 2 | 34.8 | 0.760 | 0.245 | 1.128 | |
| Enzymes (E) 3 | − | 1224 | 19.33 | 12.19 | 22.79 |
| + | 1155 | 18.08 | 11.56 | 20.46 | |
| SEM | 33.4 | 0.673 | 0.231 | 1.013 | |
| Marker (M) | TiO2 | 1197 | 18.93 | 11.96 | 21.57 |
| Yb2O3 | 1181 | 18.64 | 11.78 | 21.26 | |
| SEM | 32.1 | 0.709 | 0.270 | 0.987 | |
| p-Values | |||||
| C | <0.001 | <0.001 | 0.124 | 0.008 | |
| E | <0.001 | <0.001 | <0.001 | <0.001 | |
| M | 0.118 | 0.490 | 0.181 | 0.554 | |
| C × E | 0.222 | 0.661 | 0.303 | 0.227 |
| Barley-Based | Rye-Based | Wheat-Based | |||||||||||
|---|---|---|---|---|---|---|---|---|---|---|---|---|---|
| GE (kcal) | Starch (g) | N (g) | EE (g) | GE (kcal) | Starch (g) | N (g) | EE (g) | GE (kcal) | Starch (g) | N (g) | EE (g) | ||
| Main effects | |||||||||||||
| Variety (V) 1 | 1 | 1224 | 15.62 | 12.06 | 22.16 | 1272 | 20.70 | 12.15 | 22.23 | 1163 a | 21.73 a | 12.08 | 22.06 |
| 2 | 1202 | 16.53 | 11.66 | 21.50 | 1298 | 21.71 | 11.89 | 24.30 | 1091 b | 19.21 ab | 11.97 | 20.55 | |
| 3 | 1110 | 14.99 | 10.79 | 19.27 | 1268 | 21.52 | 11.79 | 23.61 | 1073 bc | 18.49 b | 12.38 | 18.08 | |
| 4 | 1228 | 15.68 | 11.99 | 21.04 | 1308 | 20.50 | 12.11 | 23.15 | 1025 c | 17.76 b | 11.48 | 21.59 | |
| SEM 2 | 38.9 | 1.289 | 0.291 | 1.756 | 31.1 | 1.049 | 0.270 | 1.119 | 44.8 | 1.054 | 0.625 | 1.757 | |
| Enzymes (E) 3 | − | 1218 | 16.21 | 11.84 | 21.64 | 1333 | 21.82 | 12.26 | 24.54 | 1114 | 19.97 | 12.81 | 22.20 |
| + | 1164 | 15.15 | 11.41 | 20.35 | 1240 | 20.35 | 11.71 | 22.11 | 1062 | 18.75 | 11.56 | 18.94 | |
| SEM | 35.4 | 1.055 | 0.191 | 1.622 | 25.6 | 0.741 | 0.205 | 0.790 | 41.3 | 0.605 | 0.553 | 0.932 | |
| Marker (M) | TiO2 | 1198 | 15.76 | 11.67 | 20.85 | 1290 | 21.36 | 12.01 | 23.38 | 1102 | 19.57 | 12.15 | 20.56 |
| Yb2O3 | 1185 | 15.59 | 11.54 | 20.65 | 1283 | 21.23 | 11.95 | 23.27 | 1073 | 19.05 | 11.82 | 19.99 | |
| SEM | 35.5 | 0.984 | 0.152 | 1.700 | 24.7 | 0.874 | 0.190 | 0.678 | 41.2 | 0.528 | 0.533 | 1.099 | |
| p-Values | |||||||||||||
| V | <0.001 | 0.653 | 0.004 | 0.124 | 0.497 | 0.770 | 0.575 | 0.682 | <0.001 | 0.049 | 0.390 | 0.301 | |
| E | <0.001 | 0.009 | 0.006 | 0.985 | <0.001 | 0.031 | <0.001 | 0.003 | 0.002 | 0.047 | <0.001 | <0.001 | |
| M | 0.324 | 0.778 | 0.491 | 0.750 | 0.699 | 0.874 | 0.695 | 0.911 | 0.107 | 0.455 | 0.222 | 0.577 | |
| V × E | <0.001 | 0.002 | <0.001 | 0.140 | 0.206 | 0.915 | 0.402 | 0.209 | 0.058 | 0.734 | 0.125 | 0.149 | |
| Cereal | Variety 1 | GE (kcal/kg) | Metabolisabilityn 2 (% GE) | AMEn (kcal/kg) | Metabolisabilitys 3 (% GE) | AMEs (kcal/kg) | ΔAMEn 4 (kcal/kg diet) |
|---|---|---|---|---|---|---|---|
| Barley | B1 | 3870 | 72.7 c | 2814 c | 74.5 c | 2883 c | 86.9 a |
| B2 | 3850 | 77.2 b | 2972 b | 78.9 b | 3036 b | −13.2 b | |
| B3 | 3827 | 82.1 a | 3142 a | 83.1 a | 3181 a | 27.2 ab | |
| B4 | 3839 | 72.4 c | 2780 c | 74.3 c | 2854 c | 79.2 a | |
| SEM | 1.55 | 59.5 | 1.55 | 59.5 | 63.24 | ||
| p-Value | <0.001 | <0.001 | <0.001 | <0.001 | 0.008 | ||
| Rye | R1 | 3745 | 67.8 | 2540 | 69.5 | 2605 | 127.8 |
| R2 | 3763 | 69.3 | 2608 | 70.8 | 2663 | 57.5 | |
| R3 | 3786 | 70.7 | 2677 | 72.2 | 2732 | 69.2 | |
| R4 | 3796 | 68.6 | 2603 | 70.0 | 2658 | 72.5 | |
| SEM | 2.06 | 77.4 | 2.06 | 77.4 | 47.04 | ||
| p-Value | 0.540 | 0.371 | 0.605 | 0.441 | 0.362 | ||
| Wheat | W1 | 3786 | 77.2 b | 2921 c | 78.8 b | 2981 c | 68.9 |
| W2 | 3800 | 80.4 ab | 3055 bc | 82.2 ab | 3124 bc | 83.2 | |
| W3 | 3880 | 84.1 a | 3261 a | 86.4 a | 3351 a | −13.2 | |
| W4 | 3787 | 84.5 a | 3202 ab | 86.5 a | 3277 ab | 23.7 | |
| SEM | 2.68 | 102.1 | 2.68 | 102.1 | 67.32 | ||
| p-Value | 0.002 | <0.001 | <0.001 | <0.001 | 0.123 | ||
| Barley | 76.2 b | 2930 b | 77.8 b | 2991 b | 44.1 | ||
| Rye | 69.1 c | 2607 c | 70.6 c | 2665 c | 81.8 | ||
| Wheat | 81.3 a | 3104 a | 83.3 a | 3177 a | 41.6 | ||
| SEM | 0.79 | 30.6 | 0.79 | 30.7 | 54.42 | ||
| p-Value | <0.001 | <0.001 | <0.001 | <0.001 | 0.091 |
Disclaimer/Publisher’s Note: The statements, opinions and data contained in all publications are solely those of the individual author(s) and contributor(s) and not of MDPI and/or the editor(s). MDPI and/or the editor(s) disclaim responsibility for any injury to people or property resulting from any ideas, methods, instructions or products referred to in the content. |
© 2024 by the authors. Licensee MDPI, Basel, Switzerland. This article is an open access article distributed under the terms and conditions of the Creative Commons Attribution (CC BY) license (https://creativecommons.org/licenses/by/4.0/).
Share and Cite
Kaikat, I.; Solà-Oriol, D.; Pérez, J.F. Assessing the Variability of Energy Metabolisability in Barley, Rye, and Wheat Varieties for Broiler Diets. Animals 2024, 14, 3559. https://doi.org/10.3390/ani14243559
Kaikat I, Solà-Oriol D, Pérez JF. Assessing the Variability of Energy Metabolisability in Barley, Rye, and Wheat Varieties for Broiler Diets. Animals. 2024; 14(24):3559. https://doi.org/10.3390/ani14243559
Chicago/Turabian StyleKaikat, Ibtissam, David Solà-Oriol, and José Francisco Pérez. 2024. "Assessing the Variability of Energy Metabolisability in Barley, Rye, and Wheat Varieties for Broiler Diets" Animals 14, no. 24: 3559. https://doi.org/10.3390/ani14243559
APA StyleKaikat, I., Solà-Oriol, D., & Pérez, J. F. (2024). Assessing the Variability of Energy Metabolisability in Barley, Rye, and Wheat Varieties for Broiler Diets. Animals, 14(24), 3559. https://doi.org/10.3390/ani14243559

