Effect of Gestational Direct-Fed Microbials Supplementation on the Metabolic Profile in Periparturient Dairy Cows
Abstract
Simple Summary
Abstract
1. Introduction
2. Materials and Methods
2.1. Blood Collection and Determination of Serum Analytes
2.2. Milk, Fat, and Protein Yield
2.3. Body Condition Score and Body Weight
2.4. Data Collection
2.5. Statistical Analysis
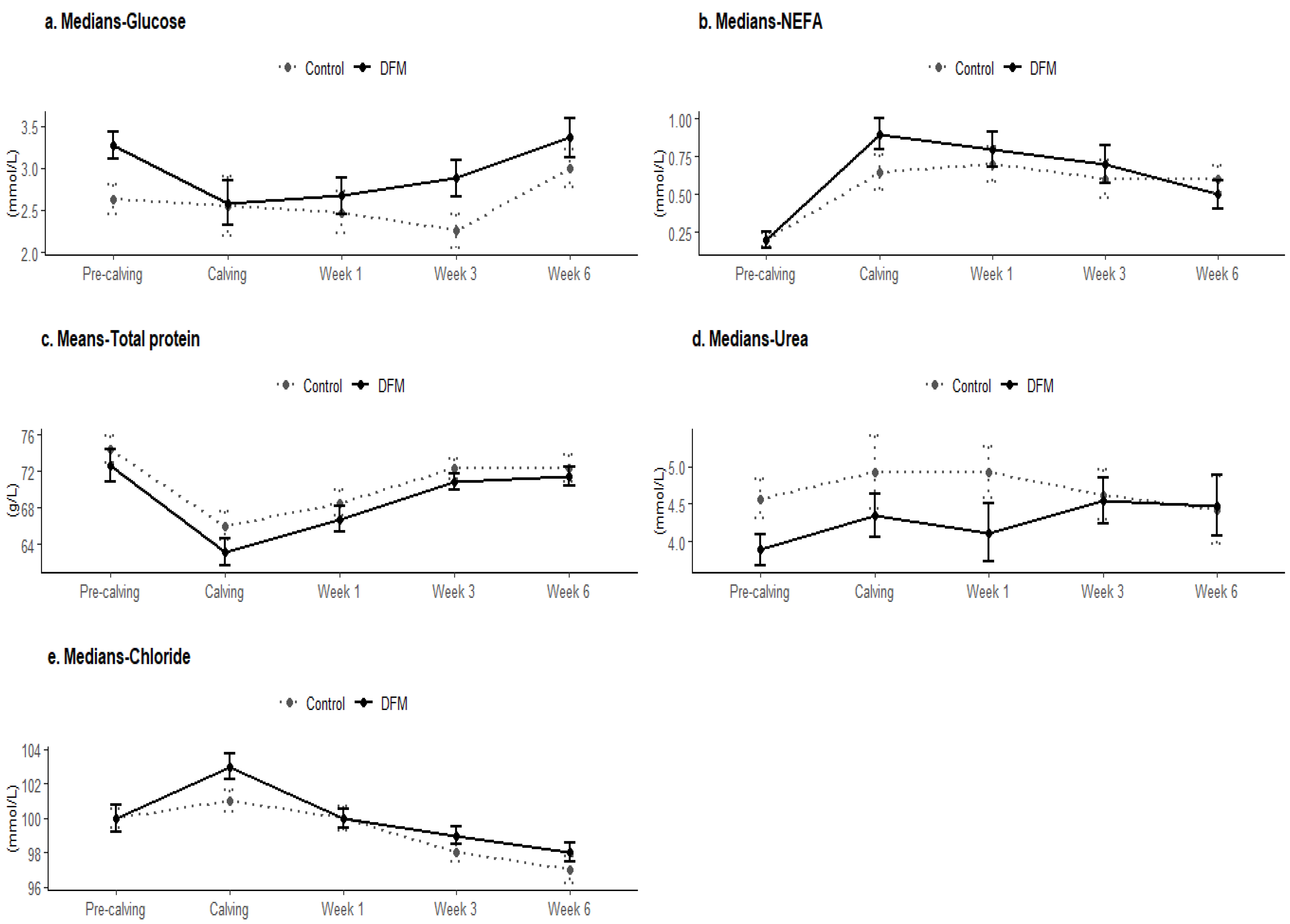
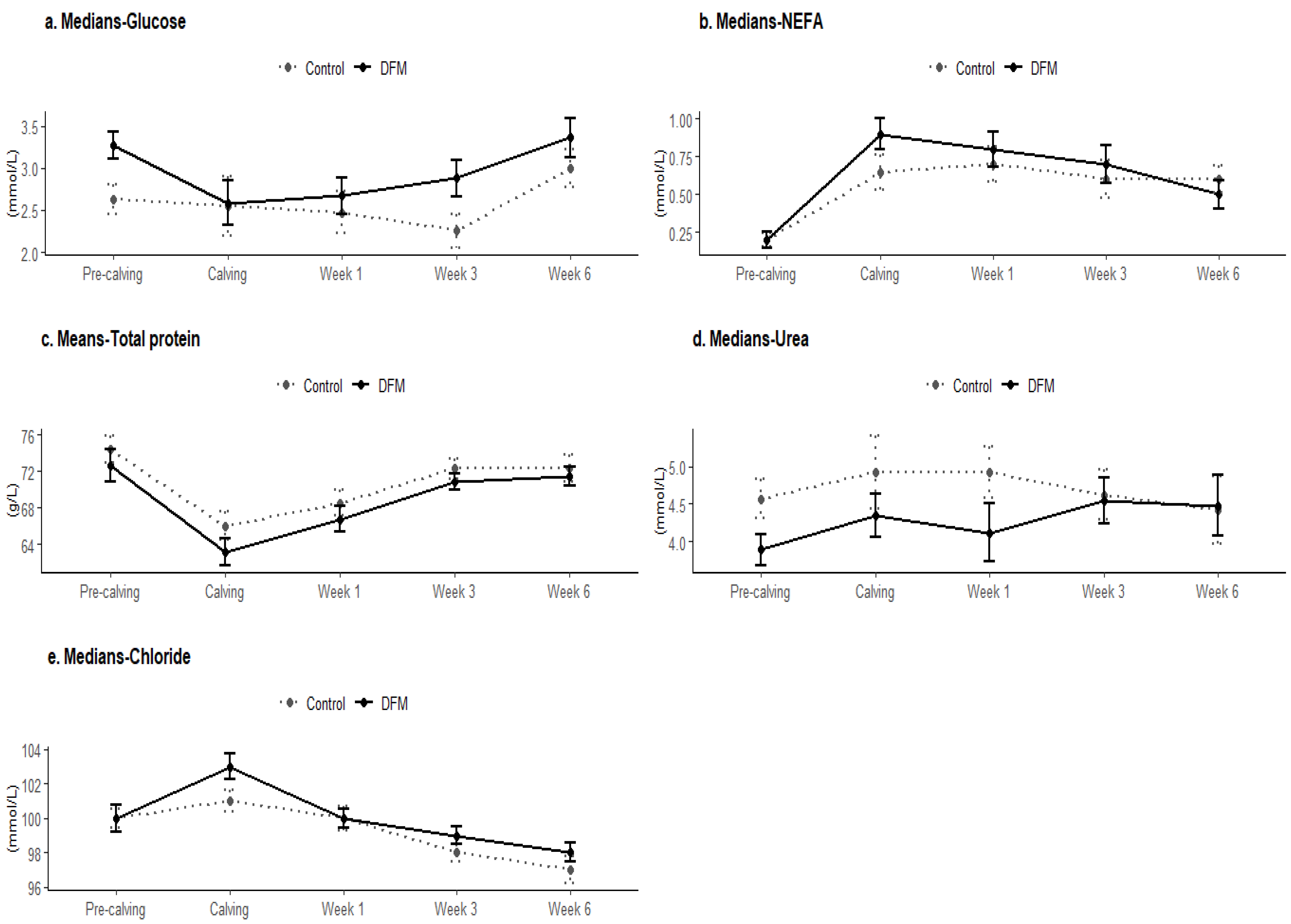
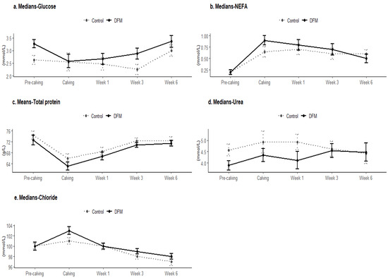
3. Results
3.1. Metabolic Profile
3.2. Productive Performance
4. Discussion
5. Conclusions
Author Contributions
Funding
Institutional Review Board Statement
Informed Consent Statement
Data Availability Statement
Acknowledgments
Conflicts of Interest
References
- Caixeta, L.S.; Omontese, B.O. Monitoring and Improving the Metabolic Health of Dairy Cows during the Transition Period. Animals 2021, 11, 352. [Google Scholar] [CrossRef] [PubMed]
- Lean, I.J.; DeGaris, P.J.; Celi, P.; McNeill, D.M.; Rodney, R.M.; Fraser, D.R. Influencing the future: Interactions of skeleton, energy, protein and calcium during late gestation and early lactation. Anim. Prod. Sci. 2014, 54, 1177–1189. [Google Scholar] [CrossRef]
- Leblanc, S. Monitoring Metabolic Health of Dairy Cattle in the Transition Period. J. Reprod. Dev. 2010, 56, S29–S35. [Google Scholar] [CrossRef] [PubMed]
- Overton, T.R.; McArt, J.A.A.; Nydam, D.V. A 100-Year Review: Metabolic health indicators and management of dairy cattle. J. Dairy Sci. 2017, 100, 10398–10417. [Google Scholar] [CrossRef]
- Drackley, J.K.; Cardoso, F.C. Prepartum and postpartum nutritional management to optimize fertility in high-yielding dairy cows in confined TMR systems. Animal 2014, 8, 5–14. [Google Scholar] [CrossRef]
- Macmillan, K.; Gobikrushanth, M.; Helguera, I.L.; Behrouzi, A.; Colazo, M.G. Relationships between early postpartum nutritional and metabolic profiles and subsequent reproductive performance of lactating dairy cows. Theriogenology 2020, 151, 52–57. [Google Scholar] [CrossRef]
- National Academies of Sciences, Engineering and Medicine. Nutrient Requirements of Dairy Cattle: Eighth Revised Edition; The National Academies Press: Washington, DC, USA, 2021; p. 502. [Google Scholar]
- Putman, A.K.; Brown, J.L.; Gandy, J.C.; Wisnieski, L.; Sordillo, L.M. Changes in biomarkers of nutrient metabolism, inflammation, and oxidative stress in dairy cows during the transition into the early dry period. J. Dairy Sci. 2018, 101, 9350–9359. [Google Scholar] [CrossRef]
- Abdelli, A.; Raboisson, D.; Kaidi, R.; Ibrahim, B.; Kalem, A.; Iguer-Ouada, M. Elevated non-esterified fatty acid and β-hydroxybutyrate in transition dairy cows and their association with reproductive performance and disorders: A meta-analysis. Theriogenology 2017, 93, 99–104. [Google Scholar] [CrossRef]
- Barletta, R.V.; Maturana Filho, M.; Carvalho, P.D.; Del Valle, T.A.; Netto, A.S.; Rennó, F.P.; Mingoti, R.D.; Gandra, J.R.; Mourão, G.B.; Fricke, P.M.; et al. Association of changes among body condition score during the transition period with NEFA and BHBA concentrations, milk production, fertility, and health of Holstein cows. Theriogenology 2017, 104, 30–36. [Google Scholar] [CrossRef]
- Bicalho, M.; Marques, E.; Gilbert, R.; Bicalho, R. The association of plasma glucose, BHBA, and NEFA with postpartum uterine diseases, fertility, and milk production of Holstein dairy cows. Theriogenology 2017, 88, 270–282. [Google Scholar] [CrossRef]
- Fadlalla, I.M.T.; Omer, S.A.; Atta, M. Determination of some serum macroelement minerals levels at different lactation stages of dairy cows and their correlations. Sci. Afr. 2020, 8, e00351. [Google Scholar] [CrossRef]
- Macmillan, K.; Gobikrushanth, M.; Behrouzi, A.; López-Helguera, I.; Cook, N.; Hoff, B.; Colazo, M.G. The association of circulating prepartum metabolites, minerals, cytokines and hormones with postpartum health status in dairy cattle. Res. Vet. Sci. 2020, 130, 126–132. [Google Scholar] [CrossRef] [PubMed]
- Andjelić, B.; Djoković, R.; Cincović, M.; Bogosavljević-Bošković, S.; Petrović, M.; Mladenović, J.; Čukić, A. Relationships between Milk and Blood Biochemical Parameters and Metabolic Status in Dairy Cows during Lactation. Metabolites 2022, 12, 733. [Google Scholar] [CrossRef] [PubMed]
- Szenci, O.; Szelényi, Z.; Lénárt, L.; Buják, D.; Kovács, L.; Kézér, L.F.; Han, B.; Horváth, A. Importance of monitoring the peripartal period to increase reproductive performance in dairy cattle. Vet. Stanica 2018, 49, 297–307. [Google Scholar]
- Mohammed, S.E.; Ahmad, F.O.; Frah, E.A.M.; Elfaki, I. Determination of Blood Glucose, Total Protein, Certain Minerals, and Triiodothyronine during Late Pregnancy and Postpartum Periods in Crossbred Dairy Cows. Vet. Med. Int. 2021, 2021, 6610362. [Google Scholar] [CrossRef]
- Leno, B.M.; LaCount, S.E.; Ryan, C.M.; Briggs, D.; Crombie, M.; Overton, T.R. The effect of source of supplemental dietary calcium and magnesium in the peripartum period, and level of dietary magnesium postpartum, on mineral status, performance, and energy metabolites in multiparous Holstein cows. J. Dairy Sci. 2017, 100, 7183–7197. [Google Scholar] [CrossRef]
- Buntyn, J.O.; Schmidt, T.B.; Nisbet, D.J.; Callaway, T.R. The Role of Direct-Fed Microbials in Conventional Livestock Production. Annu. Rev. Anim. Biosci. 2016, 4, 335–355. [Google Scholar] [CrossRef]
- Raeth-Knight, M.L.; Linn, J.G.; Jung, H.G. Effect of direct-fed microbials on performance, diet digestibility, and rumen characteristics of Holstein dairy cows. J. Dairy Sci. 2007, 90, 1802–1809. [Google Scholar] [CrossRef]
- Xu, H.; Huang, W.; Hou, Q.; Kwok, L.-Y.; Sun, Z.; Ma, H.; Zhao, F.; Lee, Y.-K.; Zhang, H. The effects of probiotics administration on the milk production, milk components and fecal bacteria microbiota of dairy cows. Sci. Bull. 2017, 62, 767–774. [Google Scholar] [CrossRef]
- Nocek, J.E.; Kautz, W.P.; Leedle, J.A.Z.; Block, E. Direct-Fed Microbial Supplementation on the Performance of Dairy Cattle During the Transition Period. J. Dairy Sci. 2003, 86, 331–335. [Google Scholar] [CrossRef]
- Oyebade, A.O.; Lee, S.; Sultana, H.; Arriola, K.; Duvalsaint, E.; Nino De Guzman, C.; Fernandez Marenchino, I.; Marroquin Pacheco, L.; Amaro, F.; Ghedin Ghizzi, L.; et al. Effects of direct-fed microbial supplementation on performance and immune parameters of lactating dairy cows. J. Dairy Sci. 2023, 106, 8611–8626. [Google Scholar] [CrossRef] [PubMed]
- Oetzel, G.R.; Emery, K.M.; Kautz, W.P.; Nocek, J.E. Direct-Fed Microbial Supplementation and Health and Performance of Pre- and Postpartum Dairy Cattle: A Field Trial. J. Dairy Sci. 2007, 90, 2058–2068. [Google Scholar] [CrossRef] [PubMed]
- Luan, S.; Duersteler, M.; Galbraith, E.A.; Cardoso, F.C. Effects of direct-fed Bacillus pumilus 8G-134 on feed intake, milk yield, milk composition, feed conversion, and health condition of pre- and postpartum Holstein cows. J. Dairy Sci. 2015, 98, 6423–6432. [Google Scholar] [CrossRef] [PubMed]
- Stein, D.R.; Allen, D.T.; Perry, E.B.; Bruner, J.C.; Gates, K.W.; Rehberger, T.G.; Mertz, K.; Jones, D.; Spicer, L.J. Effects of feeding propionibacteria to dairy cows on milk yield, milk components, and reproduction. J. Dairy Sci. 2006, 89, 111–125. [Google Scholar] [CrossRef] [PubMed]
- El-Garhi, M.S.; El-Bordeny, N.E. Impact of intravaginal probiotics inoculation on reproductive performance of Holstein dairy cattle during transition period. Assiut Vet. Med. J. 2019, 65, 63–70. [Google Scholar] [CrossRef]
- El-Garhi, M.S.; Soltan, M.A.; Ahmed, H.A.; Abdel Latif, M.A.; Galal, M.; El-Bordeny, N.E. Assessment impact of using locally produced probiotic bacteria on the productive and reproductive performance of Holstein dairy cows. Assiut Vet. Med. J. 2019, 65, 39–50. [Google Scholar] [CrossRef]
- Carpinelli, N.A.; Halfen, J.; Trevisi, E.; Chapman, J.D.; Sharman, E.D.; Anderson, J.L.; Osorio, J.S. Effects of peripartal yeast culture supplementation on lactation performance, blood biomarkers, rumen fermentation, and rumen bacteria species in dairy cows. J. Dairy Sci. 2021, 104, 10727–10743. [Google Scholar] [CrossRef]
- Lehloenya, K.V.; Stein, D.R.; Allen, D.T.; Selk, G.E.; Jones, D.A.; Aleman, M.M.; Rehberger, T.G.; Mertz, K.J.; Spicer, L.J. Effects of feeding yeast and propionibacteria to dairy cows on milk yield and components, and reproduction. J. Anim. Physiol. Anim. Nutr. 2008, 92, 190–202. [Google Scholar] [CrossRef]
- Boyd, J.; West, J.W.; Bernard, J.K. Effects of the addition of direct-fed microbials and glycerol to the diet of lactating dairy cows on milk yield and apparent efficiency of yield. J. Dairy Sci. 2011, 94, 4616–4622. [Google Scholar] [CrossRef]
- AlZahal, O.; McGill, H.; Kleinberg, A.; Holliday, J.I.; Hindrichsen, I.K.; Duffield, T.F.; McBride, B.W. Use of a direct-fed microbial product as a supplement during the transition period in dairy cattle. J. Dairy Sci. 2014, 97, 7102–7114. [Google Scholar] [CrossRef]
- Merati, Z.; Towhidi, A. Effect of a Multispecies Probiotics on Productive and Reproductive Performance of Holstein Cows. Iran J. Appl. Anim. Sci. 2022, 12, 237–247. [Google Scholar]
- West, J.W.; Bernard, J.K. Effects of addition of bacterial inoculants to the diets of lactating dairy cows on feed intake, milk yield, and milk composition. Prof. Anim. Sci. 2011, 27, 122–126. [Google Scholar] [CrossRef]
- Ramirez-Garzon, O.; Al-Alawneh, J.I.; Barber, D.; Liu, H.; Soust, M. The Effect of a Direct Fed Microbial on Liveweight and Milk Production in Dairy Cattle. Animals 2024, 14, 1092. [Google Scholar] [CrossRef] [PubMed]
- Wildman, E.E.; Jones, G.M.; Wagner, P.E.; Boman, R.L.; Troutt, H.F.; Lesch, T.N. A Dairy Cow Body Condition Scoring System and Its Relationship to Selected Production Characteristics. J. Dairy Sci. 1982, 65, 495–501. [Google Scholar] [CrossRef]
- Reynolds, C.K. Glucose Balance in Cattle. Available online: https://animal.ifas.ufl.edu/apps/dairymedia/rns/2005/Reynolds.pdf (accessed on 4 June 2024).
- Guliński, P. Ketone bodies—Causes and effects of their increased presence in cows’ body fluids: A review. Vet. World 2021, 14, 1492–1503. [Google Scholar] [CrossRef]
- Bell, A.W.; Kennaugh, J.; Battaglia, F.C.; Makowski, E.L.; Meschia, G. Metabolic and circulatory studies of fetal lamb at midgestation. Am. J. Physiol.-Endocrinol. Metab. 1986, 250, E538–E544. [Google Scholar] [CrossRef]
- Meschia, G.; Battaglia, F.C.; Hay, W.W.; Sparks, J.W. Utilization of substrates by the ovine placenta in vivo. Fed. Proc. 1980, 39, 245–249. [Google Scholar]
- Wang, L.; Zhang, G.; Li, Y.; Zhang, Y. Effects of High Forage/Concentrate Diet on Volatile Fatty Acid Production and the Microorganisms Involved in VFA Production in Cow Rumen. Animals 2020, 10, 223. [Google Scholar] [CrossRef]
- Soulat, J.; Knapp, E.; Moula, N.; Hornick, J.-L.; Purnelle, C.; Dufrasne, I. Effect of Dry-Period Diet on the Performance and Metabolism of Dairy Cows in Early Lactation. Animals 2020, 10, 803. [Google Scholar] [CrossRef]
- Lin, Y.; Sun, X.; Hou, X.; Qu, B.; Gao, X.; Li, Q. Effects of glucose on lactose synthesis in mammary epithelial cells from dairy cow. BMC Vet. Res. 2016, 12, 81. [Google Scholar] [CrossRef]
- Nozière, P.; Ortigues-Marty, I.; Loncke, C.; Sauvant, D. Carbohydrate quantitative digestion and absorption in ruminants: From feed starch and fibre to nutrients available for tissues. Animal 2010, 4, 1057–1074. [Google Scholar] [CrossRef] [PubMed]
- Nocek, J.E.; Kautz, W.P. Direct-Fed Microbial Supplementation on Ruminal Digestion, Health, and Performance of Pre- and Postpartum Dairy Cattle. J. Dairy Sci. 2006, 89, 260–266. [Google Scholar] [CrossRef] [PubMed]
- Chebel, R.C.; Mendonça, L.G.D.; Baruselli, P.S. Association between body condition score change during the dry period and postpartum health and performance. J. Dairy Sci. 2018, 101, 4595–4614. [Google Scholar] [CrossRef] [PubMed]
- Ospina, P.A.; Nydam, D.V.; Stokol, T.; Overton, T.R. Associations of elevated nonesterified fatty acids and beta-hydroxybutyrate concentrations with early lactation reproductive performance and milk production in transition dairy cattle in the northeastern United States. J. Dairy Sci. 2010, 93, 1596–1603. [Google Scholar] [CrossRef]
- Chapinal, N.; Carson, M.E.; LeBlanc, S.J.; Leslie, K.E.; Godden, S.; Capel, M.; Santos, J.E.; Overton, M.W.; Duffield, T.F. The association of serum metabolites in the transition period with milk production and early-lactation reproductive performance. J. Dairy Sci. 2012, 95, 1301–1309. [Google Scholar] [CrossRef]
- Bobe, G.; Young, J.W.; Beitz, D.C. Invited review: Pathology, etiology, prevention, and treatment of fatty liver in dairy cows. J. Dairy Sci. 2004, 87, 3105–3124. [Google Scholar] [CrossRef]
- Drackley, J.K.; Overton, T.R.; Douglas, G.N. Adaptations of Glucose and Long-Chain Fatty Acid Metabolism in Liver of Dairy Cows during the Periparturient Period. J. Dairy Sci. 2001, 84, E100–E112. [Google Scholar] [CrossRef]
- McArt, J.A.A.; Nydam, D.V.; Oetzel, G.R.; Overton, T.R.; Ospina, P.A. Elevated non-esterified fatty acids and β-hydroxybutyrate and their association with transition dairy cow performance. Vet. J. 2013, 198, 560–570. [Google Scholar] [CrossRef]
- Herdt, T.H. Ruminant adaptation to negative energy balance. Influences on the etiology of ketosis and fatty liver. Vet. Clin. N. Am. Food Anim. Pract. 2000, 16, 215–230. [Google Scholar] [CrossRef]
- Bach, A.; Calsamiglia, S.; Stern, M.D. Nitrogen Metabolism in the Rumen. J. Dairy Sci. 2005, 88, E9–E21. [Google Scholar] [CrossRef]
- Hammond, A.C. The use of blood urea nitrogen concentration as an indicator of protein status in cattle. Bov. Pract. 1983, 1983, 114–118. [Google Scholar] [CrossRef]
- Lesmeister, K.; Heinrichs, A.J.; Gabler, M. Effects of supplemental yeast (Saccharomyces cerevisiae) culture on rumen development, growth characteristics, and blood parameters in neonatal dairy calves. J. Dairy Sci. 2004, 87, 1832–1839. [Google Scholar] [CrossRef] [PubMed]
- Elghandour, M.M.Y.; Salem, A.Z.M.; Castañeda, J.S.M.; Camacho, L.M.; Kholif, A.E.; Chagoyán, J.C.V. Direct-fed microbes: A tool for improving the utilization of low quality roughages in ruminants. J. Integr. Agric. 2015, 14, 526–533. [Google Scholar] [CrossRef]
- Yang, W.Z.; Beauchemin, K.A.; Vedres, D.D.; Ghorbani, G.R.; Colombatto, D.; Morgavi, D.P. Effects of direct-fed microbial supplementation on ruminal acidosis, digestibility, and bacterial protein synthesis in continuous culture. Anim. Feed Sci. Technol. 2004, 114, 179–193. [Google Scholar] [CrossRef]
- Jeong, J.K.; Choi, I.S.; Moon, S.H.; Kang, H.G.; Kim, I.H. Relationship between serum magnesium concentration during the transition period, peri- and postpartum disorders, and reproductive performance in dairy cows. Livest. Sci. 2018, 213, 1–6. [Google Scholar] [CrossRef]
- Silanikove, N.; Maltz, E.; Halevi, A.; Shinder, D. Metabolism of Water, Sodium, Potassium, and Chlorine by High Yielding Dairy Cows at the Onset of Lactation. J. Dairy Sci. 1997, 80, 949–956. [Google Scholar] [CrossRef]




| Ingredient | Mean | Min | Max |
|---|---|---|---|
| Grain (Barley, wheat, sorghum) | 19.3 | 15.8 | 27.7 |
| Protein Meal (canola meal, soybean meal) | 7.7 | 0 | 17.4 |
| Byproducts (Flour bread, carrots, sweet corn waste, chickpea millrun) | 14.3 | 3.1 | 35.3 |
| Lucerne Hay | 5.8 | 3.3 | 9.9 |
| Silage (corn, barley, oats, soybean) | 34.7 | 14.8 | 49.2 |
| Pasture (Kikuyu, ryegrass) | 15.3 | 0 | 43 |
| Bypass Fat | 0.6 | 0 | 1.9 |
| Minerals (macro minerals, trace minerals premix, urea, mycotoxin binder) | 2.4 | 1.2 | 3.5 |
| Diet Composition | |||
| Crude Protein (CP, %) | 16.9 | 13.8 | 22.8 |
| Neutral Detergent Fiber (NDF, %) | 35.9 | 31.2 | 40 |
| Acid Detergent Fiber (ADF, %) | 23.2 | 19.3 | 26.2 |
| Non-Fibrous Carbohydrate (NFC, %) | 34.3 | 28.1 | 40.2 |
| Fat (%) | 4.4 | 3.6 | 5.6 |
| MJ ME/Kg DM | 9.5 | 8.6 | 10.8 |
| Starch (%) | 23 | 20.1 | 26.5 |
| Control Overall | Pre-Calving | Post-Calving | DFM Overall | Pre-Calving | Post-Calving | |
|---|---|---|---|---|---|---|
| Metabolites | ||||||
| Glucose (mmol/L) | 2.6 (±0.9) | 2.6 (±0.7) | 2.7 (±0.8) | 2.9 (±0.9) ** | 3.3 (±0.6) ** | 3.1 (±0.7) * |
| NEFA (mmol/L) | 0.6 (±0.4) | 0.2 (±0.2) | 0.7 (±0.4) | 0.7 (±0.5) * | 0.2 (±0.2) | 0.7 (±0.4) |
| BHB (mmol/L) | 0.4 (±0.2) | 0.5 (±0.2) * | 0.4 (±0.2) | 0.4 (±0.3) | 0.3 (±0.1) | 0.4 (±0.2) |
| Total bilirubin (µmol/L) | 4.9 (±3.1) | 3.0 (±1.1) * | 5.8 (±2.3) | 4.8 (±3.9) | 2.4 (±1.8) | 5.4 (±2.5) |
| Triglycerides (mmol/L) | 0.1 (±0.1) | 0.2 (±0.1) | 0.1 (±0.1) | 0.1 (±0.1) | 0.2 (±0.1) | 0.1 (±0.1) |
| Bile acids (µmol/L) | 35.3 (±54.1) | 16.1 (±9.1) | 48.4 (±62.4) | 38.1 (±53.9) | 16.3 (±17.2) | 48.1 (±44.1) |
| Total Protein (g/L) | 70.9 (±5.9) ** | 74.4 (±5.3) | 71.0 (±4.6) | 69.1(±6.1) | 72.6 (±6.6) | 70.1 (±3.4) |
| Urea (mmol/L) | 4.7 (±1.3) ** | 4.6 (±0.9) ** | 4.6 (±1.1) | 4.1 (±1.2) | 3.8 (±0.8) | 4.3 (±1.0) |
| Creatinine (µmol/L) | 78.1 (±16.3) | 95.8 (±14.1) | 72.3 (±10.7) | 76.8 (±16.4) | 90.2 (±12.6) | 70.3 (±9.5) |
| Albumin (g/L) | 32.6 (±2.6) | 31.2 (±2.0) | 32.9 (±2.6) | 33.0 (±2.6) | 31.8 (±2.4) | 34.0 (±2.4) |
| Enzymes | ||||||
| CK (U/L) | 149.5 (±270.3) | 136.2 (±125.8) | 174.8 (±137.7) | 137.5 (±553.7) | 112.9 (±857.9) | 154.9 (±274.4) |
| GGT (U/L) | 16.4 (±9.8) | 13.5 (±7.3) | 17.8 (±9.7) | 15.1 (±6.4) | 11.1 (±8.2) | 16.2 (±4.5) |
| AST (U/L) | 84.5 (±18.9) | 76.8 (±18.1) | 89.4 (±15.0) | 83.4 (±60.9) | 73.7 (±23.0) | 81.4 (±77.2) |
| Minerals | ||||||
| Ca (mmol/L) | 2.3 (±0.2) | 2.3 (±0.1) | 2.3 (±0.2) | 2.3 (±0.2) | 2.3 (±0.1) | 2.3 (±0.2) |
| Phosphate (mmol/L) | 2.0 (±0.5) | 2.1 (±0.5) | 2.2 (±0.3) | 2.0 (±0.5) | 2.0 (±0.5) | 2.1 (±0.3) |
| Mg (mmol/L) | 1.0 (±0.1) | 0.9 (±0.1) | 1.0 (±0.1) | 1.0 (±0.1) | 0.9 (±0.1) | 1.0 (±0.1) * |
| Na (mmol/L) | 139 (±2.6) | 140.8 (±2.3) | 138.2 (±1.5) | 139 (±2.8) | 140.2 (±3.2) | 138.5 (±2.0) |
| K (mmol/L) | 5.3 (±1.1) | 4.9 (±1.6) | 5.4 (±0.7) | 5.2 (±1.0) | 4.8 (±0.7) | 5.4 (±1.0) |
| Cl (mmol/L) | 99 (±2.8) | 100.1 (±2.1) | 98.1 (±1.9) | 100 (±2.8) * | 100.8 (±2.9) | 98.8 (±1.8) |
| Control | DFM | p-Value | |
|---|---|---|---|
| Total milk production (L)/cow | 7670.0 (±1188.2) | 7992.6(±1507.8) | 0.4 |
| Average milk/day (L)/cow | 23.4 (±3.1) | 24.8 (±3.8) | 0.07 |
| Average milk yield 30 DIM (L)/cow | 28.6 (±5.1) | 30.0 (±5.9) | 0.26 |
| Average milk yield 50 DIM (L)/cow | 29.0 (±4.8) | 31.3(±5.8) | 0.05 |
| Average milk yield 90 DIM (L)/cow | 28.7 (±4.4) | 29.5 (±4.7) | 0.42 |
| Average milk yield 110 DIM (L)/cow | 21.8 (±2.9) | 23.3 (±3.5) * | 0.03 |
| Total milk 305 DIM (L)/cow | 7222.6 (±1107.7) | 7570 (±1167.7) | 0.3 |
| Peak Milk (L) | 31.9 (±4.6) | 34.5 (±5.7) * | 0.02 |
| Peak DIM | 71 (±36.4) | 64 (±41.8) | 0.89 |
| Total milk fat (kg) | 287 (±52.4) | 290 (±58.5) | 0.8 |
| Average milk fat (%) | 3.7 (±0.5) | 3.7 (±0.6) | 0.8 |
| Total milk Protein (kg) | 264.8 (±41.1) | 266 (±50.4) | 0.9 |
| Average milk protein (%) | 3.5 (±0.2) * | 3.3 (±0.2) | 0.03 |
| BW (Periparturient) (kg) | 575 (±56.2) | 599.3 (±63.5) * | 0.001 |
| BW Pre-calving (kg) | 602.3 (±61.2) | 614.2 (±70.7) | 0.4 |
| BW Post-calving (kg) | 567.3 (±52.0) | 598.9 (±58.8) * | 0.02 |
| BCS (Periparturient) | 2.7 (±0.3) | 2.7 (±0.3) | 0.8 |
| BCS Pre-calving | 3.0 (±0.3) | 3.0 (±0.3) | 0.2 |
| BCS Post-calving | 2.7 (±0.2) | 2.7 (±0.2) | 0.5 |
Disclaimer/Publisher’s Note: The statements, opinions and data contained in all publications are solely those of the individual author(s) and contributor(s) and not of MDPI and/or the editor(s). MDPI and/or the editor(s) disclaim responsibility for any injury to people or property resulting from any ideas, methods, instructions or products referred to in the content. |
© 2024 by the authors. Licensee MDPI, Basel, Switzerland. This article is an open access article distributed under the terms and conditions of the Creative Commons Attribution (CC BY) license (https://creativecommons.org/licenses/by/4.0/).
Share and Cite
Ramirez-Garzon, O.; Barber, D.; Meneses, L.; Soust, M. Effect of Gestational Direct-Fed Microbials Supplementation on the Metabolic Profile in Periparturient Dairy Cows. Animals 2024, 14, 2928. https://doi.org/10.3390/ani14202928
Ramirez-Garzon O, Barber D, Meneses L, Soust M. Effect of Gestational Direct-Fed Microbials Supplementation on the Metabolic Profile in Periparturient Dairy Cows. Animals. 2024; 14(20):2928. https://doi.org/10.3390/ani14202928
Chicago/Turabian StyleRamirez-Garzon, Orlando, David Barber, Loreto Meneses, and Martin Soust. 2024. "Effect of Gestational Direct-Fed Microbials Supplementation on the Metabolic Profile in Periparturient Dairy Cows" Animals 14, no. 20: 2928. https://doi.org/10.3390/ani14202928
APA StyleRamirez-Garzon, O., Barber, D., Meneses, L., & Soust, M. (2024). Effect of Gestational Direct-Fed Microbials Supplementation on the Metabolic Profile in Periparturient Dairy Cows. Animals, 14(20), 2928. https://doi.org/10.3390/ani14202928

