Altered Gut Microbiome Composition in Dogs with Hyperadrenocorticism: Key Bacterial Genera Analysis
Abstract
Simple Summary
Abstract
1. Introduction
2. Materials and Methods
2.1. Animals
2.1.1. Healthy Group
2.1.2. HAC Group
2.2. Clinical and Laboratory Assessments and Evaluation of Clinical Outcomes Following Trilostane Therapy
2.3. Microbiome Sample Collection
2.4. Deoxyribonucleic Acid Extraction and 16S Ribosomal Ribonucleic Acid Sequencing
2.5. Bioinformatics Analysis of 16S Metagenomic Sequencing Data
2.6. Statistical Analysis
3. Results
3.1. Clinical Characteristics of the Animals
3.2. Gut Microbiome Analysis
3.2.1. Alpha Diversity Analysis of Gut Microbiome
3.2.2. Beta Diversity Analysis of Gut Microbiome
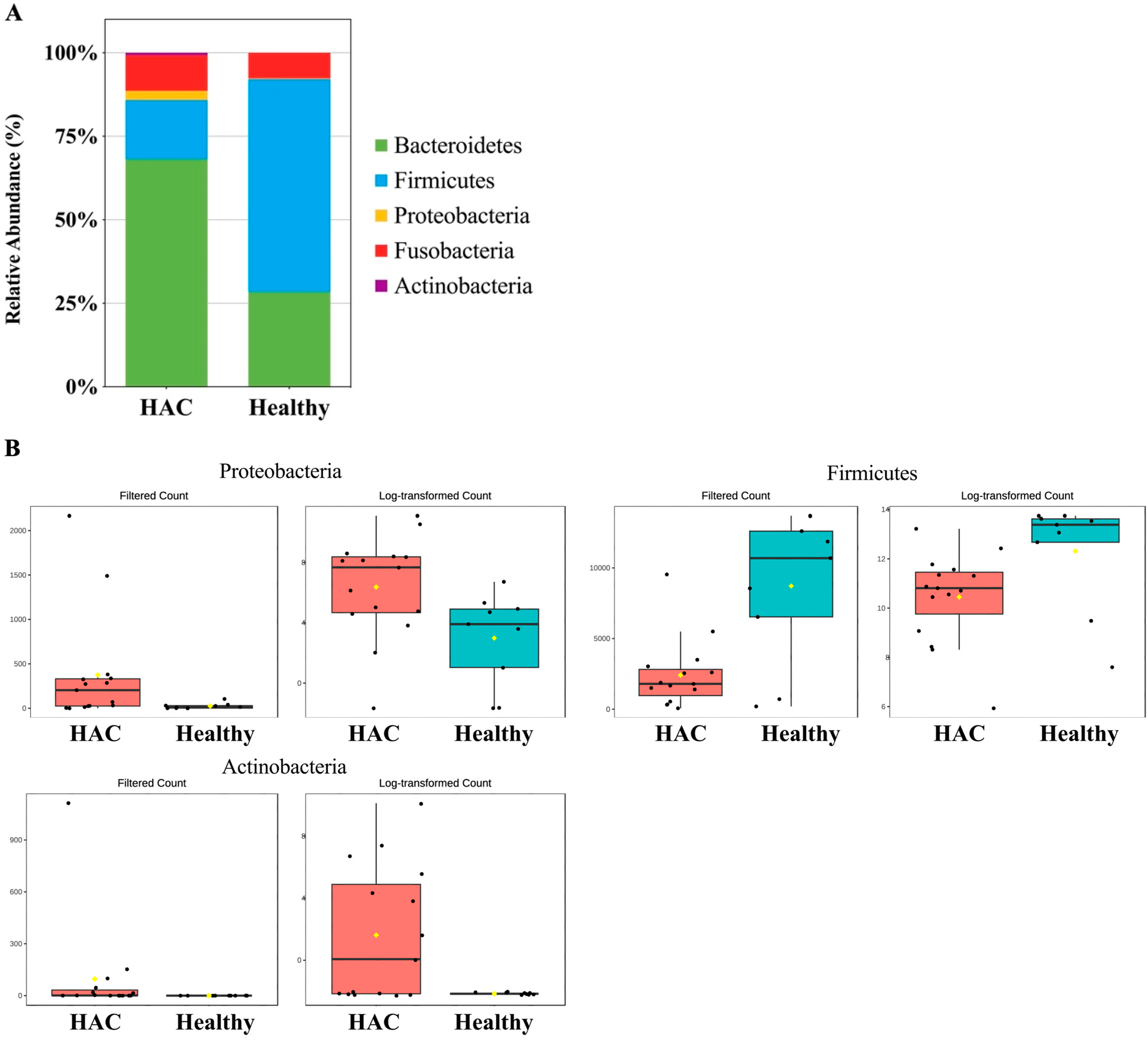
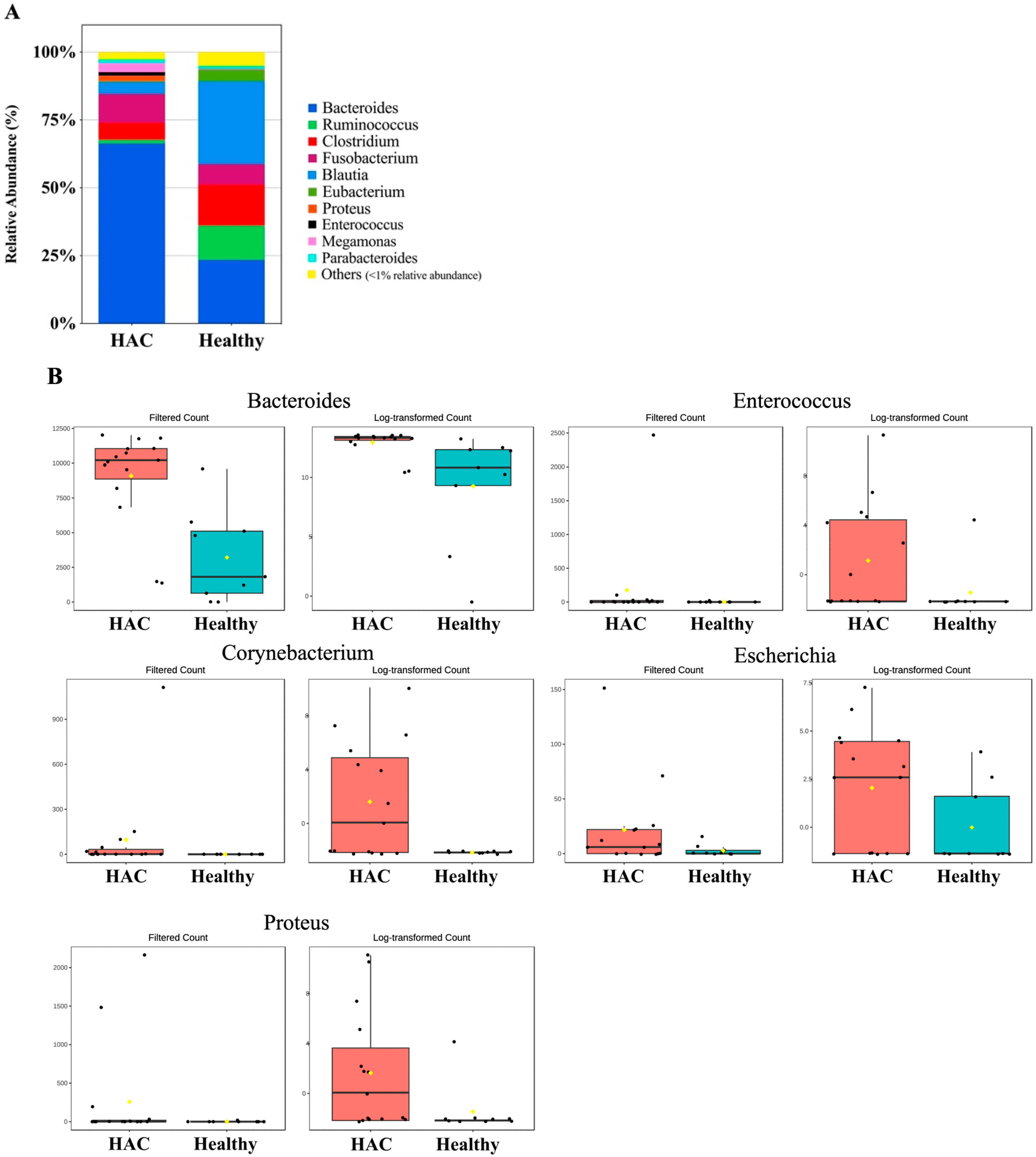
3.2.3. Gut Microbiome Taxa Analysis
4. Discussion
5. Conclusions
Supplementary Materials
Author Contributions
Funding
Institutional Review Board Statement
Informed Consent Statement
Data Availability Statement
Conflicts of Interest
References
- Pérez Alenza, M.D.; Melian, C. Hyperadrenocorticism in Dogs. In Textbook of Veterinary Internal Medicine; Ettinger, S.J., Feldman, E.C., Cote, E., Eds.; Elsevier: Maryland Heights, MO, USA, 2017; Volume 2, pp. 4345–4389. [Google Scholar]
 - Capen, C.C.; Martin, S.L. Animal Model: Hyperadrenocorticism (Cushing’s-like Syndrome and Disease in Dogs). Am. J. Pathol. 1975, 81, 459–462. [Google Scholar] [PubMed]
 - Ramsey, I.K. Trilostane in Dogs. Vet. Clin. N. Am. Small Anim. Pract. 2010, 40, 269–283. [Google Scholar] [CrossRef] [PubMed]
 - Lemetayer, J.; Blois, S. Review Article Compte Rendu Update on the Use of Trilostane in Dogs. Can. Vet. J. 2018, 59, 397. [Google Scholar]
 - Valassi, E.; Manichanh, C.; Amodru, V.; Fernández, P.G.; Gaztambide, S.; Yañez, F.; Martel-Duguech, L.; Puig-Domingo, M.; Webb, S.M. Gut Microbial Dysbiosis in Patients with Cushing’s Disease in Long-Term Remission. Relationship with Cardiometabolic Risk. Front. Endocrinol. 2023, 14, 1074757. [Google Scholar] [CrossRef]
 - Góralczyk-Bińkowska, A.; Szmajda-Krygier, D.; Kozłowska, E. The Microbiota–Gut–Brain Axis in Psychiatric Disorders. Int. J. Mol. Sci. 2022, 23, 11245. [Google Scholar] [CrossRef]
 - Evrensel, A.; Ceylan, M.E. Fecal Microbiota Transplantation and Its Usage in Neuropsychiatric Disorders. Clin. Psychopharmacol. Neurosci. 2016, 14, 231–237. [Google Scholar] [CrossRef]
 - Ortega, V.A.; Mercer, E.M.; Giesbrecht, G.F.; Arrieta, M.-C. Evolutionary Significance of the Neuroendocrine Stress Axis on Vertebrate Immunity and the Influence of the Microbiome on Early-Life Stress Regulation and Health Outcomes. Front. Microbiol. 2021, 12, 634539. [Google Scholar] [CrossRef]
 - Rusch, J.A.; Layden, B.T.; Dugas, L.R. Signalling Cognition: The Gut Microbiota and Hypothalamic-Pituitary-Adrenal Axis. Front. Endocrinol. 2023, 14, 1130689. [Google Scholar] [CrossRef]
 - Frankiensztajn, L.M.; Elliott, E.; Koren, O. The Microbiota and the Hypothalamus-Pituitary-Adrenocortical (HPA) Axis, Implications for Anxiety and Stress Disorders. Curr. Opin. Neurobiol. 2020, 62, 76–82. [Google Scholar] [CrossRef]
 - Tetel, M.J.; de Vries, G.J.; Melcangi, R.C.; Panzica, G.; O’Mahony, S.M. Steroids, Stress and the Gut Microbiome-brain Axis. J. Neuroendocrinol. 2018, 30, 12548. [Google Scholar] [CrossRef]
 - Zhang, M.; Shi, Z.; Wu, C.; Yang, F.; Su, T.; Jing, X.; Shi, J.; Ren, H.; Jiang, L.; Jiang, Y.; et al. Cushing Syndrome Is Associated With Gut Microbial Dysbiosis and Cortisol-Degrading Bacteria. J. Clin. Endocrinol. Metab. 2023, 109, 1474–1484. [Google Scholar] [CrossRef]
 - Zhang, Q.; Hu, W.M.; Deng, Y.L.; Wan, J.J.; Wang, Y.J.; Jin, P. Dysbiosis of Gut Microbiota and Decreased Propionic Acid Associated with Metabolic Abnormality in Cushing’s Syndrome. Front. Endocrinol. 2023, 13, 1095438. [Google Scholar] [CrossRef] [PubMed]
 - Behrend, E.N.; Kooistra, H.S.; Nelson, R.; Reusch, C.E.; Scott-Moncrieff, J.C. Diagnosis of Spontaneous Canine Hyperadrenocorticism: 2012 ACVIM Consensus Statement (Small Animal). J. Vet. Intern. Med. 2013, 27, 1292–1304. [Google Scholar] [CrossRef] [PubMed]
 - Benchekroun, G.; De Fornel-Thibaud, P.; Rodríguez Piñeiro, M.I.; Rault, D.; Besso, J.; Cohen, A.; Hernandez, J.; Stambouli, F.; Gomes, E.; Garnier, F.; et al. Ultrasonography Criteria for Differentiating ACTH Dependency from ACTH Independency in 47 Dogs with Hyperadrenocorticism and Equivocal Adrenal Asymmetry. J. Vet. Intern. Med. 2010, 24, 1077–1085. [Google Scholar] [CrossRef] [PubMed]
 - Wehner, A.; Glöckner, S.; Weiss, B.; Ballhausen, D.; Stockhaus, C.; Zablotski, Y.; Hartmann, K. Association between ACTH Stimulation Test Results and Clinical Signs in Dogs with Hyperadrenocorticism Treated with Trilostane. Vet. J. 2021, 276, 105740. [Google Scholar] [CrossRef]
 - Cavett, C.L.; Tonero, M.; Marks, S.L.; Winston, J.A.; Gilor, C.; Rudinsky, A.J. Consistency of Faecal Scoring Using Two Canine Faecal Scoring Systems. J. Small Anim. Pract. 2021, 62, 167–173. [Google Scholar] [CrossRef]
 - MacFarlane, L.; Parkin, T.; Ramsey, I. Pre-Trilostane and Three-Hour Post-Trilostane Cortisol to Monitor Trilostane Therapy in Dogs. Vet. Rec. 2016, 179, 103744. [Google Scholar] [CrossRef]
 - Caporaso, J.G.; Kuczynski, J.; Stombaugh, J.; Bittinger, K.; Bushman, F.D.; Costello, E.K.; Fierer, N.; Peña, A.G.; Goodrich, J.K.; Gordon, J.I.; et al. QIIME Allows Analysis of High-Throughput Community Sequencing Data. Nat. Methods 2010, 7, 335–336. [Google Scholar] [CrossRef]
 - DeSantis, T.Z.; Hugenholtz, P.; Larsen, N.; Rojas, M.; Brodie, E.L.; Keller, K.; Huber, T.; Dalevi, D.; Hu, P.; Andersen, G.L. Greengenes, a Chimera-Checked 16S RRNA Gene Database and Workbench Compatible with ARB. Appl. Environ. Microbiol. 2006, 72, 5069–5072. [Google Scholar] [CrossRef]
 - Harvey, N.D. How Old Is My Dog? Identification of Rational Age Groupings in Pet Dogs Based Upon Normative Age-Linked Processes. Front. Vet. Sci. 2021, 8, 643085. [Google Scholar] [CrossRef]
 - Kluess, H.A.; Jones, R.L.; Lee-Fowler, T. Perceptions of Body Condition, Diet and Exercise by Sports Dog Owners and Pet Dog Owners. Animals 2021, 11, 1752. [Google Scholar] [CrossRef]
 - Rinninella, E.; Raoul, P.; Cintoni, M.; Franceschi, F.; Miggiano, G.; Gasbarrini, A.; Mele, M. What Is the Healthy Gut Microbiota Composition? A Changing Ecosystem across Age, Environment, Diet, and Diseases. Microorganisms 2019, 7, 14. [Google Scholar] [CrossRef] [PubMed]
 - Suchodolski, J.S. Analysis of the Gut Microbiome in Dogs and Cats. Vet. Clin. Pathol. 2022, 50, 6–17. [Google Scholar] [CrossRef] [PubMed]
 - Kim, K.-R.; Kim, S.-M.; Kim, J.-H. A Pilot Study of Alterations of the Gut Microbiome in Canine Chronic Kidney Disease. Front. Vet. Sci. 2023, 10, 1241215. [Google Scholar] [CrossRef] [PubMed]
 - Schatz, S.; Palme, R. Measurement of Faecal Cortisol Metabolites in Cats and Dogs: A Non-Invasive Method for Evaluating Adrenocortical Function. Vet. Res. Commun. 2001, 25, 271–287. [Google Scholar] [CrossRef]
 - Nieman, L.K. Molecular Derangements and the Diagnosis of ACTH-Dependent Cushing’s Syndrome. Endocr. Rev. 2022, 43, 852–877. [Google Scholar] [CrossRef]
 - Foster, J.A.; Rinaman, L.; Cryan, J.F. Stress & the Gut-Brain Axis: Regulation by the Microbiome. Neurobiol. Stress 2017, 7, 124–136. [Google Scholar] [CrossRef]
 - Morris, D.J.; Brem, A.S. Role of Gut Metabolism of Adrenal Corticosteroids and Hypertension: Clues Gut-Cleansing Antibiotics Give Us. Physiol. Genom. 2019, 51, 83–89. [Google Scholar] [CrossRef]
 - Mukherjee, A.; Lordan, C.; Ross, R.P.; Cotter, P.D. Gut Microbes from the Phylogenetically Diverse Genus Eubacterium and Their Various Contributions to Gut Health. Gut Microbes 2020, 12, 1802866. [Google Scholar] [CrossRef]
 - Mayer, E.A. The Neurobiology of Stress and Gastrointestinal Disease. Gut 2000, 47, 861–869. [Google Scholar] [CrossRef]
 - Zhong, X.; Harrington, J.M.; Millar, S.R.; Perry, I.J.; O’Toole, P.W.; Phillips, C.M. Gut Microbiota Associations with Metabolic Health and Obesity Status in Older Adults. Nutrients 2020, 12, 2364. [Google Scholar] [CrossRef]
 - Herman, J.P.; McKlveen, J.M.; Ghosal, S.; Kopp, B.; Wulsin, A.; Makinson, R.; Scheimann, J.; Myers, B. Regulation of the Hypothalamic-Pituitary-Adrenocortical Stress Response. In Comprehensive Physiology; Wiley: Hoboken, NJ, USA, 2016; pp. 603–621. [Google Scholar]
 - Dabke, K.; Hendrick, G.; Devkota, S. The Gut Microbiome and Metabolic Syndrome. J. Clin. Investig. 2019, 129, 4050–4057. [Google Scholar] [CrossRef] [PubMed]
 - Fan, Y.; Pedersen, O. Gut Microbiota in Human Metabolic Health and Disease. Nat. Rev. Microbiol. 2021, 19, 55–71. [Google Scholar] [CrossRef] [PubMed]
 - Fei, N.; Zhao, L. An Opportunistic Pathogen Isolated from the Gut of an Obese Human Causes Obesity in Germfree Mice. ISME J. 2013, 7, 880–884. [Google Scholar] [CrossRef]
 - Shin, N.-R.; Whon, T.W.; Bae, J.-W. Proteobacteria: Microbial Signature of Dysbiosis in Gut Microbiota. Trends Biotechnol. 2015, 33, 496–503. [Google Scholar] [CrossRef]
 - Zhang, S.; Cai, Y.; Meng, C.; Ding, X.; Huang, J.; Luo, X.; Cao, Y.; Gao, F.; Zou, M. The Role of the Microbiome in Diabetes Mellitus. Diabetes Res. Clin. Pract. 2021, 172, 108645. [Google Scholar] [CrossRef]
 - Hernandez, J.; Rhimi, S.; Kriaa, A.; Mariaule, V.; Boudaya, H.; Drut, A.; Jablaoui, A.; Mkaouar, H.; Saidi, A.; Biourge, V.; et al. Domestic Environment and Gut Microbiota: Lessons from Pet Dogs. Microorganisms 2022, 10, 949. [Google Scholar] [CrossRef]
 - Li, D.; Liu, R.; Wang, M.; Peng, R.; Fu, S.; Fu, A.; Le, J.; Yao, Q.; Yuan, T.; Chi, H.; et al. 3β-Hydroxysteroid Dehydrogenase Expressed by Gut Microbes Degrades Testosterone and Is Linked to Depression in Males. Cell Host Microbe 2022, 30, 329–339.e5. [Google Scholar] [CrossRef]
 - Lahti, L.; Salonen, A.; Kekkonen, R.A.; Salojärvi, J.; Jalanka-Tuovinen, J.; Palva, A.; Orešič, M.; de Vos, W.M. Associations between the Human Intestinal Microbiota, Lactobacillus Rhamnosus GG and Serum Lipids Indicated by Integrated Analysis of High-Throughput Profiling Data. PeerJ 2013, 1, e32. [Google Scholar] [CrossRef]
 - Lim, M.Y.; You, H.J.; Yoon, H.S.; Kwon, B.; Lee, J.Y.; Lee, S.; Song, Y.-M.; Lee, K.; Sung, J.; Ko, G. The Effect of Heritability and Host Genetics on the Gut Microbiota and Metabolic Syndrome. Gut 2017, 66, 1031–1038. [Google Scholar] [CrossRef]
 - Takagi, T.; Naito, Y.; Kashiwagi, S.; Uchiyama, K.; Mizushima, K.; Kamada, K.; Ishikawa, T.; Inoue, R.; Okuda, K.; Tsujimoto, Y.; et al. Changes in the Gut Microbiota Are Associated with Hypertension, Hyperlipidemia, and Type 2 Diabetes Mellitus in Japanese Subjects. Nutrients 2020, 12, 2996. [Google Scholar] [CrossRef]
 - Šik Novak, K.; Bogataj Jontez, N.; Kenig, S.; Hladnik, M.; Baruca Arbeiter, A.; Bandelj, D.; Černelič Bizjak, M.; Petelin, A.; Mohorko, N.; Jenko Pražnikar, Z. The Effect of COVID-19 Lockdown on Mental Health, Gut Microbiota Composition and Serum Cortisol Levels. Stress 2022, 25, 246–257. [Google Scholar] [CrossRef] [PubMed]
 - Seura, T.; Fukuwatari, T. Differences in Gut Microbial Patterns Associated with Salivary Biomarkers in Young Japanese Adults. Biosci. Microbiota Food Health 2020, 39, 243–249. [Google Scholar] [CrossRef] [PubMed]
 - Xu, M.; Cen, M.; Shen, Y.; Zhu, Y.; Cheng, F.; Tang, L.; Hu, W.; Dai, N. Deoxycholic Acid-Induced Gut Dysbiosis Disrupts Bile Acid Enterohepatic Circulation and Promotes Intestinal Inflammation. Dig. Dis. Sci. 2021, 66, 568–576. [Google Scholar] [CrossRef]
 - Wang, J.; Li, W.; Wang, C.; Wang, L.; He, T.; Hu, H.; Song, J.; Cui, C.; Qiao, J.; Qing, L.; et al. Enterotype Bacteroides Is Associated with a High Risk in Patients with Diabetes: A Pilot Study. J. Diabetes Res. 2020, 2020, 6047145. [Google Scholar] [CrossRef]
 - Mudd, A.T.; Berding, K.; Wang, M.; Donovan, S.M.; Dilger, R.N. Serum Cortisol Mediates the Relationship between Fecal Ruminococcus and Brain N-Acetylaspartate in the Young Pig. Gut Microbes 2017, 8, 589–600. [Google Scholar] [CrossRef]
 - Nozawa, S.; Oda, H.; Akiyama, R.; Ueda, K.; Saeki, K.; Shono, S.; Maruyama, N.; Murata, A.; Tazaki, H.; Mori, A.; et al. Decreased Gene Expressions of Insulin Signal Molecules in Canine Hyperadrenocorticism. J. Vet. Med. Sci. 2014, 76, 1177–1182. [Google Scholar] [CrossRef]
 - Zeng, M.Y.; Inohara, N.; Nuñez, G. Mechanisms of Inflammation-Driven Bacterial Dysbiosis in the Gut. Mucosal Immunol. 2017, 10, 18–26. [Google Scholar] [CrossRef]
 - Colletti, A.; Pellizzato, M.; Cicero, A.F. The Possible Role of Probiotic Supplementation in Inflammation: A Narrative Review. Microorganisms 2023, 11, 2160. [Google Scholar] [CrossRef]
 - Cho, K.-D.; Paek, J.; Kang, J.-H.; Chang, D.; Na, K.-J.; Yang, M.-P. Serum Adipokine Concentrations in Dogs with Naturally Occurring Pituitary-Dependent Hyperadrenocorticism. J. Vet. Intern. Med. 2014, 28, 429–436. [Google Scholar] [CrossRef]
 - Messaoudi, M.; Violle, N.; Bisson, J.-F.; Desor, D.; Javelot, H.; Rougeot, C. Beneficial Psychological Effects of a Probiotic Formulation (Lactobacillus Helveticus R0052 and Bifidobacterium Longum R0175) in Healthy Human Volunteers. Gut Microbes 2011, 2, 256–261. [Google Scholar] [CrossRef]
 - Vrieze, A.; Van Nood, E.; Holleman, F.; Salojärvi, J.; Kootte, R.S.; Bartelsman, J.F.W.M.; Dallinga–Thie, G.M.; Ackermans, M.T.; Serlie, M.J.; Oozeer, R.; et al. Transfer of Intestinal Microbiota From Lean Donors Increases Insulin Sensitivity in Individuals With Metabolic Syndrome. Gastroenterology 2012, 143, 913–916.e7. [Google Scholar] [CrossRef] [PubMed]
 - Yang, K.; Jian, S.; Wen, C.; Guo, D.; Liao, P.; Wen, J.; Kuang, T.; Han, S.; Liu, Q.; Deng, B. Gallnut Tannic Acid Exerts Anti-Stress Effects on Stress-Induced Inflammatory Response, Dysbiotic Gut Microbiota, and Alterations of Serum Metabolic Profile in Beagle Dogs. Front. Nutr. 2022, 9, 847966. [Google Scholar] [CrossRef] [PubMed]
 - Koziol, S.A.; Oba, P.M.; Soto-Diaz, K.; Steelman, A.J.; Suchodolski, J.S.; Eckhardt, E.R.M.; Swanson, K.S. 185 Effects of a Lactobacillus Fermentation Product on the Fecal Characteristics, Fecal Microbial Populations, Immune Function, and Stress Markers of Adult Dogs. J. Anim. Sci. 2023, 101, 102–103. [Google Scholar] [CrossRef]
 








| Please indicate how these statements currently apply to your dog | Not at all present 1  | A little present 2  | Somewhat present 3  | Very present 4  | Extremely present 5  | 
| My dog drinks too much | ◻ | ◻ | ◻ | ◻ | ◻ | 
| My dog urinates frequently and urinates large amounts of urine | ◻ | ◻ | ◻ | ◻ | ◻ | 
| My dog is always hungry | ◻ | ◻ | ◻ | ◻ | ◻ | 
| My dog is panting a lot | ◻ | ◻ | ◻ | ◻ | ◻ | 
| Please indicate how these statements describe your assessment of the treatment with trilostane in your dog | Not at all present 5  | A little present 4  | Somewhat present 3  | Very present 2  | Extremely present 1  | 
| I am satisfied with the treatment of my dog | ◻ | ◻ | ◻ | ◻ | ◻ | 
| Variables (Reference Interval) | Healthy Dogs (n = 9)  | HAC Dogs (n = 15)  | p-Value | |
|---|---|---|---|---|
| Age (years) | 7.00 (6.00, 9.50) | 11.00 (9.00, 13.00) | 0.048 * | |
| Sex | CM | 4 | 5 | |
| IF | 0 | 1 | ||
| SF | 5 | 9 | ||
| Breeds | Bichon Frise | 1 | 1 | |
| Maltese | 1 | 2 | ||
| Miniature Schnauzer | 0 | 1 | ||
| Mix | 1 | 3 | ||
| Pomeranian | 2 | 3 | ||
| Poodle | 4 | 2 | ||
| Shihtzu | 0 | 1 | ||
| Yorkshire terrier | 0 | 2 | ||
| Fecal score (1–7) | 2.00 (2.00, 2.00) | 2.00 (2.00, 3.00) | 0.382 | |
| BCS (1–9) | 5.00 (5.00, 5.00) | 6.00 (5.00, 7.00) | 0.114 | |
| BW (kg) | 6.00 (3.50, 8.08) | 5.12 (3.50, 7.32) | 0.872 | |
| Systolic blood pressure (mmHg) | 130.0 (120.0, 145.0) | 150.0 (140.0, 165.0) | 0.020 * | |
| Baseline cortisol (0.5–10 ug/dL) | 5.35 ± 3.20 | |||
| Post-ACTH cortisol (6–18 ug/dL) | 27.40 (25.20, 30.00) | |||
| PCV (37.3–61.7%) | 50.20 (45.35, 56.50) | 51.80 (41.80, 53.60) | 0.861 | |
| PLT (148–484 K/uL) | 266.0 (193.0, 358.5) | 414.0 (307.0, 603.0) | 0.025 * | |
| Serum ALP (23–212 U/L) | 48.0 (34.0, 110.5) | 324.0 (96.0, 432.0) | 0.002 *** | |
| Serum ALT (10–125 U/L) | 49.0 (30.5, 76.5) | 97.0 (63.0, 147.0) | 0.015 * | |
| Serum CHOL (110–320 mg/dL) | 184.5 (155.5, 227.5) [8] | 217.0 (182.0, 269.0) | 0.154 | |
| Serum TG (10–100 mg/dL) | 83.0 (65.0, 131.0) [5] | 102.0 (92.5, 131.0) [14] | 0.289 | |
| Serum glucose (74–143 mg/dL) | 99.0 (87.5, 105.0) | 113.0 (107.0, 119.0) | 0.006 ** | |
| USG (1.015–1.050) | 1.030 (1.018, 1.045) [4] | 1.030 (1.018, 1.045) [13] | 0.491 | |
| Variables (Reference Interval) | HAC Dogs (n = 5) | p-Value | ||
|---|---|---|---|---|
| Pre-Treatment | Post-Treatment | |||
| Age (years) | 11.0 ± 2.8 | |||
| Gender | SF | 5 | ||
| Breeds | Bichon Frise | 1 | ||
| Maltese | 1 | |||
| Mix | 1 | |||
| Pomeranian | 1 | |||
| Poodle | 1 | |||
| Trilostane maintenance dosage (mg/kg) | 1.45 (1.00, 2.00) | |||
| Trilostane therapy duration (days) | 41.0 (21.0, 67.5) | |||
| Fecal score (1–7) | 2.0 (2.0, 3.0) | 2.0 (2.0, 2.5) | 0.317 | |
| BCS (1–9) | 5.0 (5.0, 5.5) | 5.0 (5.0, 5.5) | 1.000 | |
| Clinical signs score (5–25) | 17.2 ± 3.0 | 9.4 ± 3.3 | 0.035 * | |
| BW (kg) | 4.78 ± 1.48 | 4.53 ± 1.52 | 0.137 | |
| Baseline cortisol levels (0.5–10 ug/dL) | 3.12 ± 1.87 | 2.40 ± 1.37 | 0.594 | |
| Post-ACTH cortisol levels (6–18 ug/dL) | 27.9 ± 2.1 | 6.32 ± 1.57 | <0.0001 *** | |
| Systolic blood pressure (mmHg) | 148.0 ± 10.4 | 128.8 ± 16.4 | 0.007 ** | |
| PCV (37.3–61.7%) | 48.9 ± 5.2 | 47.3 ± 3.0 | 0.550 | |
| PLT (148–484 K/uL) | 481.4 ± 157.3 | 402.2 ± 77.9 | 0.391 | |
| Serum ALP (23–212 U/L) | 242.4 ± 116.7 | 224.6 ± 116.5 | 0.788 | |
| Serum ALT (10–125 U/L) | 123.8 ± 72.4 | 74.8 ± 21.3 | 0.203 | |
| Serum CHOL (110–320 mg/dL) | 240.2 ± 46.3 | 216.4 ± 60.8 | 0.566 | |
| Serum TG (10–100 mg/dL) [n = 3] | 91.7 ± 10.5 | 121.0 ± 53.0 | 0.355 | |
| Serum glucose (74–143 mg/dL) | 121.4 ± 35.5 | 111.4 ± 7.6 | 0.494 | |
| USG (1.015–1.050) [n = 3] | 1.03 ± 0.02 | 1.04 ± 0.02 | 0.148 | |
Disclaimer/Publisher’s Note: The statements, opinions and data contained in all publications are solely those of the individual author(s) and contributor(s) and not of MDPI and/or the editor(s). MDPI and/or the editor(s) disclaim responsibility for any injury to people or property resulting from any ideas, methods, instructions or products referred to in the content.  | 
© 2024 by the authors. Licensee MDPI, Basel, Switzerland. This article is an open access article distributed under the terms and conditions of the Creative Commons Attribution (CC BY) license (https://creativecommons.org/licenses/by/4.0/).
Share and Cite
Kang, H.-J.; Kim, S.-W.; Kim, S.-M.; La, T.-M.; Hyun, J.-E.; Lee, S.-W.; Kim, J.-H. Altered Gut Microbiome Composition in Dogs with Hyperadrenocorticism: Key Bacterial Genera Analysis. Animals 2024, 14, 2883. https://doi.org/10.3390/ani14192883
Kang H-J, Kim S-W, Kim S-M, La T-M, Hyun J-E, Lee S-W, Kim J-H. Altered Gut Microbiome Composition in Dogs with Hyperadrenocorticism: Key Bacterial Genera Analysis. Animals. 2024; 14(19):2883. https://doi.org/10.3390/ani14192883
Chicago/Turabian StyleKang, Hee-Jun, Sang-Won Kim, Seon-Myung Kim, Tae-Min La, Jae-Eun Hyun, Sang-Won Lee, and Jung-Hyun Kim. 2024. "Altered Gut Microbiome Composition in Dogs with Hyperadrenocorticism: Key Bacterial Genera Analysis" Animals 14, no. 19: 2883. https://doi.org/10.3390/ani14192883
APA StyleKang, H.-J., Kim, S.-W., Kim, S.-M., La, T.-M., Hyun, J.-E., Lee, S.-W., & Kim, J.-H. (2024). Altered Gut Microbiome Composition in Dogs with Hyperadrenocorticism: Key Bacterial Genera Analysis. Animals, 14(19), 2883. https://doi.org/10.3390/ani14192883
        
