An Estimation of the Requirements of the Standardized Ileal Digestible Tryptophan, Valine, Isoleucine and Methionine on Young Pigs’ (Up to 50 kg) Feed Efficiency: A Meta-Regression Analysis
Abstract
Simple Summary
Abstract
1. Introduction
2. Materials and Methods
2.1. Literature Search and Study Selection
2.2. Inclusion and Exclusion Criteria
2.3. Data Extraction and Cleansing
2.4. Statistical Analysis
3. Results
3.1. Tryptophan Requirements
3.1.1. Dataset of Tryptophan
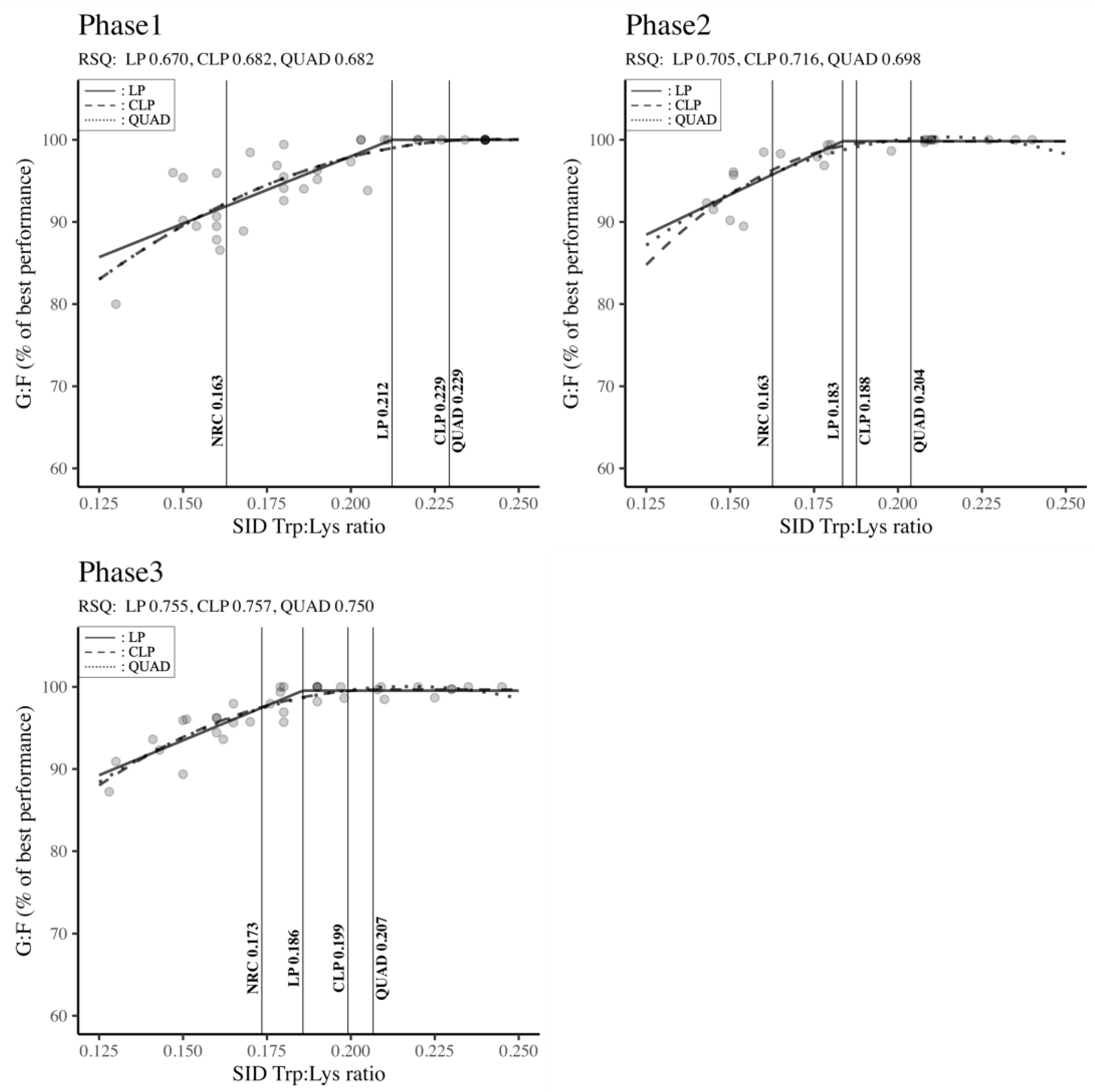
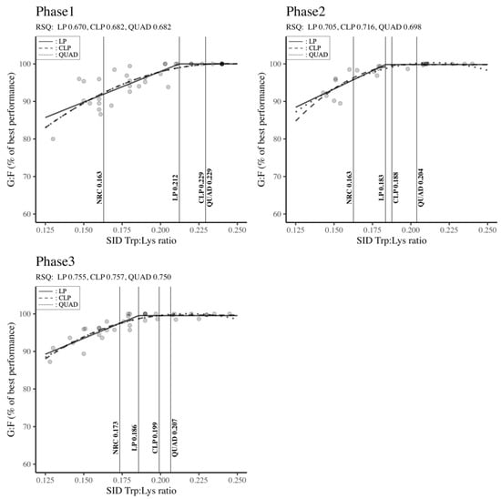
3.1.2. Estimation of the SID Trp: Lys Ratio Requirement
3.2. Valine Requirements
3.2.1. Dataset of Valine
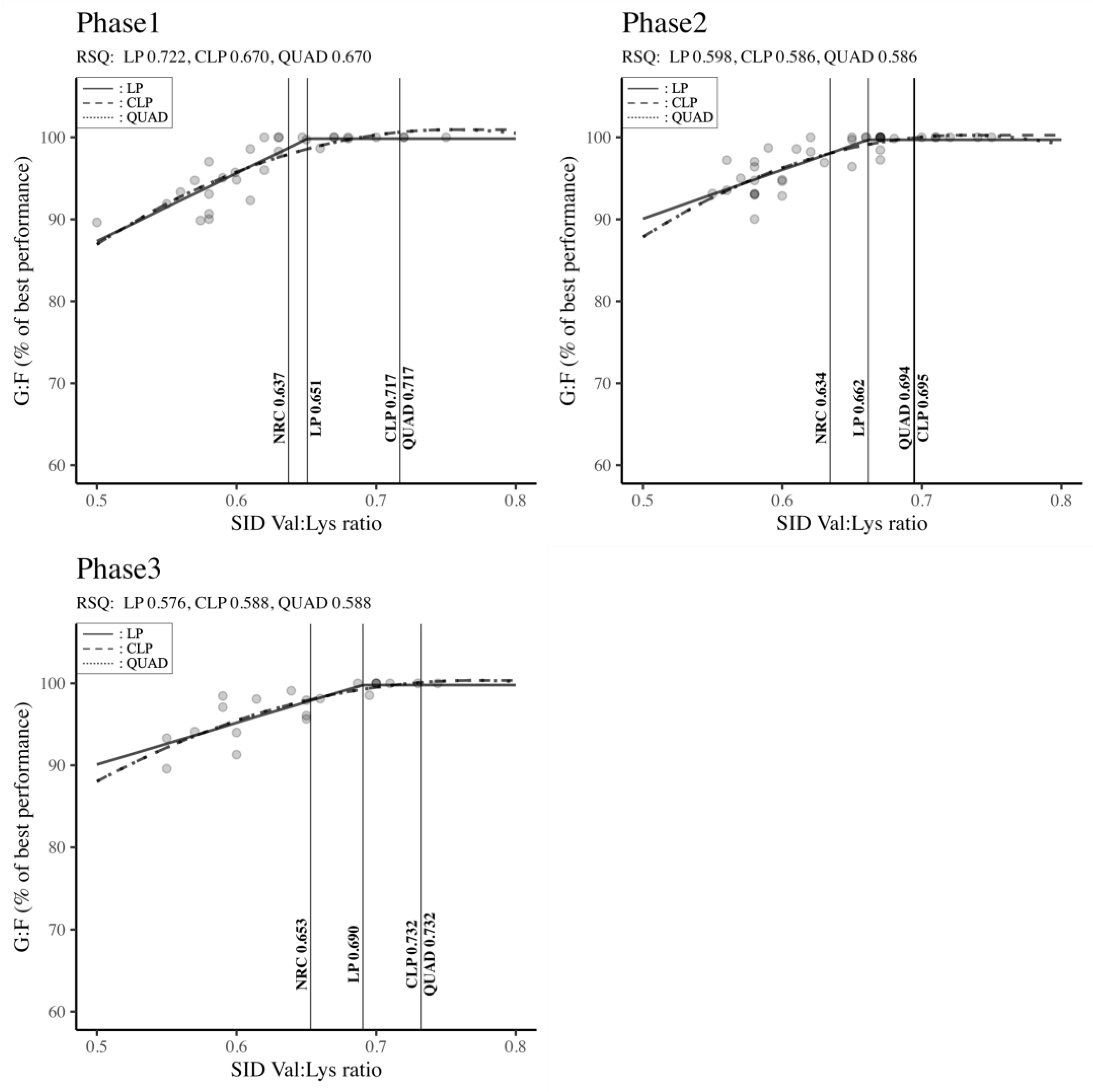
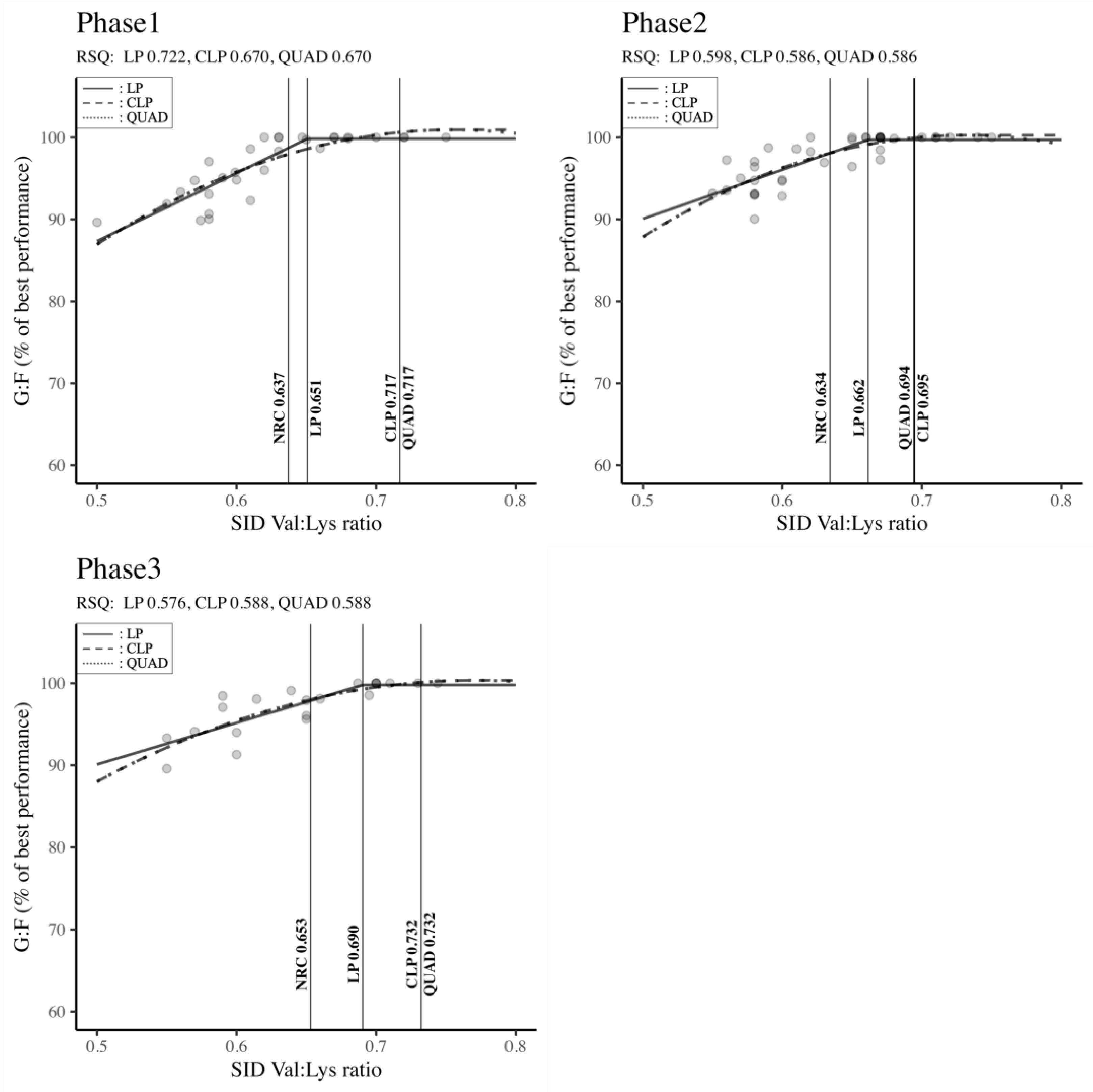
3.2.2. Estimation of the SID Val: Lys Ratio Requirement
3.3. Isoleucine Requirements
3.3.1. Dataset of Isoleucine
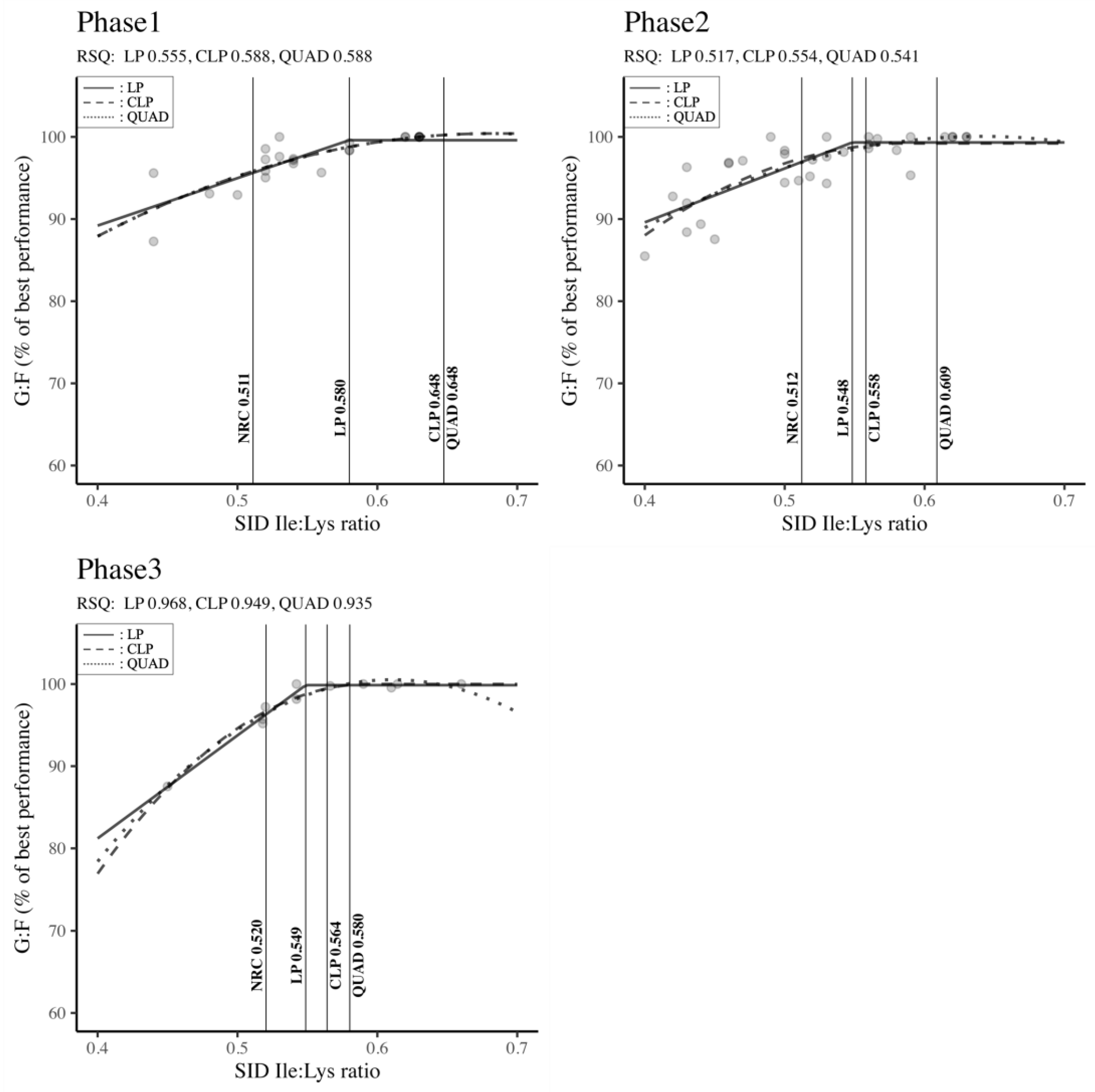
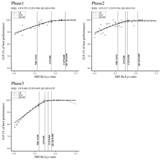
3.3.2. Estimation of the SID Ile: Lys Ratio Requirement
3.4. Methionine Requirements
3.4.1. Dataset of Methionine
3.4.2. Estimation of the SID Met: Lys Ratio Requirement
4. Discussion
4.1. Tryptophan
4.2. Valine
4.3. Isoleucine
4.4. Methionine
5. Conclusions
Author Contributions
Funding
Institutional Review Board Statement
Informed Consent Statement
Data Availability Statement
Conflicts of Interest
References
- Cappelaere, L.; Le Cour Grandmaison, J.; Martin, N.; Lambert, W. Amino acid supplementation to reduce environmental impacts of broiler and pig production: A review. Front. Vet. Sci. 2021, 8, 689259. [Google Scholar] [CrossRef] [PubMed]
- Zhao, Y.; Tian, G.; Chen, D.; Zheng, P.; Yu, J.; He, J.; Mao, X.; Huang, Z.; Luo, Y.; Luo, J.; et al. Effect of different dietary protein levels and amino acids supplementation patterns on growth performance, carcass characteristics and nitrogen excretion in growing-finishing pigs. J. Anim. Sci. Biotechnol. 2019, 10, 75. [Google Scholar] [CrossRef] [PubMed]
- Monteiro, A.N.T.R.; Bertol, T.M.; de Oliveira, P.A.V.; Dourmad, J.Y.; Coldebella, A.; Kessler, A.M. The impact of feeding growing-finishing pigs with reduced dietary protein levels on performance, carcass traits, meat quality and environmental impacts. Livest. Sci. 2017, 198, 162–169. [Google Scholar] [CrossRef]
- Shurson, G.C.; Kerr, B.J. Challenges and opportunities for improving nitrogen utilization efficiency for more sustainable pork production. Front. Vet. Sci. 2023, 4, 1204863. [Google Scholar] [CrossRef]
- Yang, Z.; Urriola, P.E.; Johnston, L.J.; Shurson, G.C. A systems approach to evaluate nitrogen utilization efficiency and environmental impacts of swine growing-finishing feeding programs in US pork production systems. J. Anim. Sci. 2023, 101, skad188. [Google Scholar] [CrossRef]
- NRC. Nutrient Requirements of Swine, 11th ed.; The National Academies Press: Washington, DC, USA, 2012. [Google Scholar]
- Kwon, W.B.; Soto, J.A.; Stein, H.H. Effects of dietary leucine and tryptophan on serotonin metabolism and growth performance of growing pigs. J. Anim. Sci. 2022, 100, skab356. [Google Scholar] [CrossRef]
- Goodarzi, P.; Wileman, C.M.; Habibi, M.; Walsh, K.; Sutton, J.; Shili, C.N.; Chai, J.; Zhao, J.; Pezeshki, A. Effect of isoleucine and added valine on performance, nutrients digestibility and gut microbiota composition of pigs fed with very low protein diets. Int. J. Mol. Sci. 2022, 23, 14886. [Google Scholar] [CrossRef]
- Habibi, M.; Goodarzi, P.; Shili, C.N.; Sutton, J.; Wileman, C.M.; Kim, D.M.; Lin, D.; Pezeshki, A. A mixture of valine and isoleucine restores the growth of protein-restricted pigs likely through improved gut development, hepatic IGF-1 pathway, and plasma metabolomic profile. Int. J. Mol. Sci. 2022, 23, 3300. [Google Scholar] [CrossRef]
- Zong, E.; Huang, P.; Zhang, W.; Li, J.; Li, Y.; Ding, X.; Xiong, X.; Yin, Y.; Yang, H. The effects of dietary sulfur amino acids on growth performance, intestinal morphology, enzyme activity, and nutrient transporters in weaning piglets. J. Anim. Sci. 2018, 96, 1130–1139. [Google Scholar] [CrossRef]
- Clizer, D.A.; Tostenson, B.J.; Tauer, S.K.; Samuel, R.S.; Cline, P.M. Impact of increasing standardized ileal digestible valine: Lysine in diets containing 30% dried distiller grains with solubles on growing pig performance. J. Anim. Sci. 2022, 100, skac228. [Google Scholar] [CrossRef]
- Balduzzi, S.; Rücker, G.; Schwarzer, G. How to perform a meta-analysis with R: A practical tutorial. BMJ Ment. Health 2019, 22, 153–160. [Google Scholar] [CrossRef] [PubMed]
- Henry, Y.; Sève, B.; Colléaux, Y.; Ganier, P.; Saligaut, C.; Jégo, P. Interactive effects of dietary levels of tryptophan and protein on voluntary feed intake and growth performance in pigs, in relation to plasma free amino acids and hypothalamic serotonin. J. Anim. Sci. 1992, 70, 1873–1887. [Google Scholar] [CrossRef]
- Han, Y.; Chung, T.K.; Baker, D.H. Tryptophan requirement of pigs in the weight category 10 to 20 kilograms. J. Anim. Sci. 1993, 71, 139–143. [Google Scholar] [CrossRef][Green Version]
- Pastuszewska, B.; Tomaszewska-Zaremba, D.; Buraczewska, L.; Święch, E.; Taciak, M. Effects of supplementing pig diets with tryptophan and acidifier on protein digestion and deposition, and on brain serotonin concentration in young pigs. Anim. Feed Sci. Technol. 2007, 132, 49–65. [Google Scholar] [CrossRef]
- Gloaguen, M.; Le Floc’h, N.; Corrent, E.; Primot, Y.; van Milgen, J. Providing a diet deficient in valine but with excess leucine results in a rapid decrease in feed intake and modifies the postprandial plasma amino acid and α-keto acid concentrations in pigs. J. Anim. Sci. 2012, 90, 3135–3142. [Google Scholar] [CrossRef] [PubMed]
- Bauchart-Thevret, C.; Stoll, B.; Chacko, S.; Burrin, D.G. Sulfur amino acid deficiency upregulates intestinal methionine cycle activity and suppresses epithelial growth in neonatal pigs. Am. J. Physiol. Endocrinol. Metab. 2009, 296, E1239–E1250. [Google Scholar] [CrossRef] [PubMed]
- Elango, R.; Ball, R.O.; Pencharz, P.B. Recent advances in determining protein and amino acid requirements in humans. Br. J. Nutr. 2012, 108 (Suppl. S2), S22–S30. [Google Scholar] [CrossRef]
- Gahl, M.J.; Crenshaw, T.D.; Benevenga, N.J. Diminishing returns in weight, nitrogen, and lysine gain of pigs fed six levels of lysine from three supplemental sources. J. Anim. Sci. 1994, 72, 3177–3187. [Google Scholar] [CrossRef]
- Robbins, K.R.; Saxton, A.M.; Southern, L.L. Estimation of nutrient requirements using broken-line regression analysis. J. Anim. Sci. 2006, 84 (Suppl. S13), E155–E165. [Google Scholar] [CrossRef]
- Baker, D.H. Problems and pitfalls in animal experiments designed to establish dietary requirements for essential nutrients. J. Nutr. 1986, 116, 2339–2349. [Google Scholar] [CrossRef]
- Pesti, G.M.; Vedenov, D.; Cason, J.A.; Billard, L. A comparison of methods to estimate nutritional requirements from experimental data. Br. Poult. Sci. 2009, 50, 16–32. [Google Scholar] [CrossRef] [PubMed]
- Page, M.J.; McKenzie, J.E.; Bossuyt, P.M.; Boutron, I.; Hoffmann, T.C.; Mulrow, C.D.; Shamseer, L.; Tetzlaff, J.M.; Akl, E.A.; Brennan, S.E.; et al. The PRISMA 2020 statement: An updated guideline for reporting systematic reviews. BMJ 2021, 88, 105906. [Google Scholar]
- Tolosa, A.F.; Tokach, M.D.; Goodband, R.D.; Woodworth, J.C.; DeRouchey, J.M.; Gebhardt, J.T.; Wolfe, M.L. Effects of reducing the standardized ileal digestible lysine and tryptophan to lysine ratio to slow growth of finishing pigs. Transl. Anim. Sci. 2022, 6, txac057. [Google Scholar] [CrossRef] [PubMed]
- Kerkaert, H.R.; Cemin, H.S.; Woodworth, J.C.; DeRouchey, J.M.; Dritz, S.S.; Tokach, M.D.; Goodband, R.D.; Haydon, K.D.; Hastad, C.W.; Post, Z.B. Improving performance of finishing pigs with added valine, isoleucine, and tryptophan: Validating a meta-analysis model. J. Anim. Sci. 2021, 99, skab006. [Google Scholar] [CrossRef] [PubMed]
- Ma, W.; Mao, P.; Zhu, Y.; Guo, L.; Zhang, S.; Wang, Z.; Zhao, F. Standardized ileal digestible tryptophan to lysine ratios affect performance and regulate intestinal mRNA expression of amino acid transporters in weaning pigs fed a low crude protein diet. Anim. Feed Sci. Technol. 2021, 275, 114857. [Google Scholar] [CrossRef]
- Capozzalo, M.M.; Kim, J.C.; Htoo, J.K.; de Lange, C.F.M.; Mullan, B.P.; Resink, J.W.; Hansen, C.F.; Stumbles, P.A.; Hampson, D.J.; Ferguson, N.; et al. Estimating the standardised ileal digestible tryptophan requirement of pigs kept under commercial conditions in the immediate post-weaning period. Anim. Feed Sci. Technol. 2020, 259, 114342. [Google Scholar] [CrossRef]
- Liu, J.B.; Yan, H.L.; Cao, S.C.; Liu, J.; Li, Z.X.; Zhang, H.F. The response of performance in grower and finisher pigs to diets formulated to different tryptophan to lysine ratios. Livest. Sci. 2019, 222, 25–30. [Google Scholar] [CrossRef]
- Wensley, M.R.; Woodworth, J.C.; DeRouchey, J.M.; Dritz, S.S.; Tokach, M.D.; Goodband, R.D.; Walters, H.G.; Leopold, B.A.; Coufal, C.D.; Haydon, K.D.; et al. Effects of amino acid biomass or feed-grade amino acids on growth performance of growing swine and poultry. Transl. Anim. Sci. 2020, 4, 49–58. [Google Scholar] [CrossRef]
- Gonçalves, M.A.D.; Tokach, M.D.; Bello, N.M.; Touchette, K.J.; Goodband, R.D.; DeRouchey, J.M.; Woodworth, J.C.; Dritz, S.S. Dose–response evaluation of the standardized ileal digestible tryptophan: Lysine ratio to maximize growth performance of growing-finishing gilts under commercial conditions. Animal 2018, 12, 1380–1387. [Google Scholar] [CrossRef]
- Capozzalo, M.M.; Kim, J.C.; Htoo, J.K.; de Lange, C.F.M.; Mullan, B.P.; Hansen, C.F.; Resink, J.W.; Pluske, J.R. Pigs experimentally infected with an enterotoxigenic strain of Escherichia coli have improved feed efficiency and indicators of inflammation with dietary supplementation of tryptophan and methionine in the immediate post-weaning period. Anim. Prod. Sci. 2016, 57, 935–947. [Google Scholar] [CrossRef]
- Jayaraman, B.; Htoo, J.K.; Nyachoti, C.M. Effects of different dietary tryptophan: Lysine ratios and sanitary conditions on growth performance, plasma urea nitrogen, serum haptoglobin and ileal histomorphology of weaned pigs. Anim. Sci. J. 2017, 88, 763–771. [Google Scholar] [CrossRef]
- Jayaraman, B.; Regassa, A.; Htoo, J.K.; Nyachoti, C.M. Effects of dietary standardized ileal digestible tryptophan: Lysine ratio on performance, plasma urea nitrogen, ileal histomorphology and immune responses in weaned pigs challenged with Escherichia coli K88. Livest. Sci. 2017, 203, 114–119. [Google Scholar] [CrossRef]
- Yu, D.Y.; Lindemann, M.D.; Quant, A.D.; Jang, Y.D.; Payne, R.L.; Kerr, B.J. Antibiotic inclusion in the diet did not alter the standardized ileal digestible tryptophan to lysine ratio for growing pigs. J. Anim. Sci. 2017, 95, 5516–5523. [Google Scholar] [CrossRef] [PubMed]
- Capozzalo, M.M.; Kim, J.C.; Htoo, J.K.; de Lange, C.F.; Mullan, B.P.; Hansen, C.F.; Resink, J.W.; Stumbles, P.A.; Hampson, D.J.; Pluske, J.R. Effect of increasing the dietary tryptophan to lysine ratio on plasma levels of tryptophan, kynurenine and urea and on production traits in weaner pigs experimentally infected with an enterotoxigenic strain of Escherichia coli. Arch. Anim. Nutr. 2015, 69, 17–29. [Google Scholar] [CrossRef] [PubMed]
- Gonçalves, M.A.D.; Nitikanchana, S.; Tokach, M.D.; Dritz, S.S.; Bello, N.M.; Goodband, R.D.; Touchette, K.J.; Usry, J.L.; DeRouchey, J.M.; Woodworth, J.C. Effects of standardized ileal digestible tryptophan: Lysine ratio on growth performance of nursery pigs. J. Anim. Sci. 2015, 93, 3909–3918. [Google Scholar] [CrossRef]
- Nørgaard, J.V.; Pedersen, T.F.; Soumeh, E.A.; Blaabjerg, K.; Canibe, N.; Jensen, B.B.; Poulsen, H.D. Optimum standardized ileal digestible tryptophan to lysine ratio for pigs weighing 7–14 kg. Livest. Sci. 2015, 175, 90–95. [Google Scholar] [CrossRef]
- Shen, Y.B.; Coffey, M.T.; Kim, S.W. Effects of short-term supplementation of L-tryptophan and reducing large neutral amino acid along with L-tryptophan supplementation on growth and stress response in pigs. Anim. Feed Sci. Technol. 2015, 207, 245–252. [Google Scholar] [CrossRef]
- Naatjes, M.; Htoo, J.K.; Walter, K.; Tölle, K.H.; Susenbeth, A. Effect of dietary tryptophan to lysine ratio on growth of young pigs fed wheat–barley or corn based diets. Livest. Sci. 2014, 163, 102–109. [Google Scholar] [CrossRef]
- Borgesa, G.; Woyengo, T.A.; Nyachoti, C.M. Optimum ratio of standardized ileal digestible tryptophan to lysine for piglets. J. Anim. Feed Sci. 2013, 22, 323–328. [Google Scholar] [CrossRef][Green Version]
- Capozzalo, M.M.; Kim, J.C.; Htoo, J.K.; de Lange, C.F.M.; Mullan, B.P.; Hansen, C.F.; Resink, J.W.; Stumbles, P.A.; Hampson, D.J.; Pluske, J.R. An increased ratio of dietary tryptophan to lysine improves feed efficiency and elevates plasma tryptophan and kynurenine in the absence of antimicrobials and regardless of infection with enterotoxigenic Escherichia coli in weaned pigs. J. Anim. Sci. 2012, 90 (Suppl. S4), 191–193. [Google Scholar] [CrossRef]
- Quant, A.D.; Lindemann, M.D.; Kerr, B.J.; Payne, R.L.; Cromwell, G.L. Standardized ileal digestible tryptophan-to-lysine ratios in growing pigs fed corn-based and non-corn-based diets. J. Anim. Sci. 2012, 90, 1270–1279. [Google Scholar] [CrossRef] [PubMed]
- Shen, Y.B.; Voilqué, G.; Kim, J.D.; Odle, J.; Kim, S.W. Effects of increasing tryptophan intake on growth and physiological changes in nursery pigs. J. Anim. Sci. 2012, 90, 2264–2275. [Google Scholar] [CrossRef] [PubMed]
- Zhang, G.J.; Song, Q.L.; Xie, C.Y.; Chu, L.C.; Thacker, P.A.; Htoo, J.K.; Qiao, S.Y. Estimation of the ideal standardized ileal digestible tryptophan to lysine ratio for growing pigs fed low crude protein diets supplemented with crystalline amino acids. Livest. Sci. 2012, 149, 260–266. [Google Scholar] [CrossRef]
- Le Floc’h, N.; Matte, J.J.; Melchior, D.; van Milgen, J.; Sève, B. A moderate inflammation caused by the deterioration of housing conditions modifies Trp metabolism but not Trp requirement for growth of post-weaned piglets. Animal 2010, 4, 1891–1898. [Google Scholar] [CrossRef][Green Version]
- Trevisi, P.; Corrent, E.; Messori, S.; Casini, L.; Bosi, P. Healthy newly weaned pigs require more tryptophan to maximize feed intake if they are susceptible to Escherichia coli K88. Livest. Sci. 2010, 134, 236–238. [Google Scholar] [CrossRef]
- Eder, K.; Nonn, H.; Kluge, H.; Peganova, S. Tryptophan requirement of growing pigs at various body weights. J. Anim. Physiol. Anim. Nutr. 2003, 87, 336–346. [Google Scholar] [CrossRef]
- Goodarzi, P.; Habibi, M.; Gorton, M.W.; Walsh, K.; Tarkesh, F.; Fuhrig, M.; Pezeshki, A. Dietary Isoleucine and Valine: Effects on Lipid Metabolism and Ureagenesis in Pigs Fed with Protein Restricted Diets. Metabolites 2023, 13, 89. [Google Scholar] [CrossRef]
- Siebert, D.; Khan, D.R.; Torrallardona, D. The optimal valine to lysine ratio for performance parameters in weaned piglets. Animals 2021, 11, 1255. [Google Scholar] [CrossRef]
- Millet, S.; Minussi, I.; Lambert, W.; Aluwé, M.; Ampe, B.; de Sutter, J.; de Campeneere, S. Standardized ileal digestible lysine and valine-to-lysine requirements for optimal performance of 4 to 9-week-old Piétrain cross piglets. Livest. Sci. 2020, 241, 104263. [Google Scholar] [CrossRef]
- Oliveira, M.S.; Htoo, J.K.; González-Vega, J.C.; Stein, H.H. Bioavailability of valine in spray-dried L-valine biomass is not different from that in crystalline L-valine when fed to weanling pigs. J. Anim. Sci. 2019, 97, 4227–4234. [Google Scholar] [CrossRef]
- Gonçalves, M.A.; Tokach, M.D.; Dritz, S.S.; Bello, N.M.; Touchette, K.J.; Goodband, R.D.; DeRouchey, J.M.; Woodworth, J.C. Standardized ileal digestible valine: Lysine dose response effects in 25-to 45-kg pigs under commercial conditions. J. Anim. Sci. 2018, 96, 591–599. [Google Scholar] [PubMed]
- Xu, Y.T.; Ma, X.K.; Wang, C.L.; Yuan, M.F.; Piao, X.S. Effects of dietary valine: Lysine ratio on the performance, amino acid composition of tissues and mRNA expression of genes involved in branched-chain amino acid metabolism of weaned piglets. Asian-Australas. J. Anim. Sci. 2018, 31, 106. [Google Scholar] [CrossRef] [PubMed]
- Zhang, X.; Liu, X.; Jia, H.; He, P.; Mao, X.; Qiao, S.; Zeng, X. Valine supplementation in a reduced protein diet regulates growth performance partially through modulation of plasma amino acids profile, metabolic responses, endocrine, and neural factors in piglets. J. Agric. Food Chem. 2018, 66, 3161–3168. [Google Scholar] [CrossRef] [PubMed]
- Clark, A.B.; Tokach, M.D.; DeRouchey, J.M.; Dritz, S.S.; Goodband, R.D.; Woodworth, J.C.; Touchette, K.J.; Bello, N.M. Modeling the effects of standardized ileal digestible valine to lysine ratio on growth performance of nursery pigs. Transl. Anim. Sci. 2017, 1, 448–457. [Google Scholar] [CrossRef] [PubMed][Green Version]
- Liu, X.T.; Ma, W.F.; Zeng, X.F.; Xie, C.Y.; Thacker, P.A.; Htoo, J.K.; Qiao, S.Y. Estimation of the standardized ileal digestible valine to lysine ratio required for 25-to 120-kilogram pigs fed low crude protein diets supplemented with crystalline amino acids. J. Anim. Sci. 2015, 93, 4761–4773. [Google Scholar] [CrossRef] [PubMed]
- Soumeh, E.A.; van Milgen, J.; Sloth, N.M.; Corrent, E.; Poulsen, H.D.; Nørgaard, J.V. Requirement of standardized ileal digestible valine to lysine ratio for 8-to 14-kg pigs. Animal 2015, 9, 1312–1318. [Google Scholar] [CrossRef]
- Nemechek, J.E.; Tokach, M.D.; Dritz, S.S.; Goodband, R.D.; DeRouchey, J.M. Evaluation of standardized ileal digestible valine: Lysine, total lysine: Crude protein, and replacing fish meal, meat and bone meal, and poultry byproduct meal with crystalline amino acids on growth performance of nursery pigs from seven to twelve kilograms. J. Anim. Sci. 2014, 92, 1548–1561. [Google Scholar]
- Millet, S. The interaction between dietary valine and tryptophan content and their effect on the performance of piglets. Animals 2012, 2, 76–84. [Google Scholar] [CrossRef]
- Waguespack, A.M.; Bidner, T.D.; Payne, R.L.; Southern, L.L. Valine and isoleucine requirement of 20-to 45-kilogram pigs. J. Anim. Sci. 2012, 90, 2276–2284. [Google Scholar] [CrossRef]
- Gaines, A.M.; Kendall, D.C.; Allee, G.L.; Usry, J.L.; Kerr, B.J. Estimation of the standardized ileal digestible valine-to-lysine ratio in 13-to 32-kilogram pigs. J. Anim. Sci. 2011, 89, 736–742. [Google Scholar] [CrossRef]
- Gloaguen, M.; Le Floc’H, N.; Brossard, L.; Barea, R.; Primot, Y.; Corrent, E.; van Milgen, J. Response of piglets to the valine content in diet in combination with the supply of other branched-chain amino acids. Animal 2011, 5, 1734–1742. [Google Scholar] [CrossRef] [PubMed]
- Barea, R.; Brossard, L.; Le Floc’H, N.; Primot, Y.; Melchior, D.; van Milgen, J. The standardized ileal digestible valine-to-lysine requirement ratio is at least seventy percent in postweaned piglets. J. Anim. Sci. 2009, 87, 935–947. [Google Scholar] [CrossRef] [PubMed]
- Nørgaard, J.V.; Fernández, J.A. Isoleucine and valine supplementation of crude protein-reduced diets for pigs aged 5–8 weeks. Anim. Feed Sci. Technol. 2009, 154, 248–253. [Google Scholar] [CrossRef]
- Wiltafsky, M.K.; Schmidtlein, B.; Roth, F.X. Estimates of the optimum dietary ratio of standardized ileal digestible valine to lysine for eight to twenty-five kilograms of body weight pigs. J. Anim. Sci. 2009, 87, 2544–2553. [Google Scholar] [CrossRef] [PubMed]
- Clark, A.B.; Tokach, M.D.; DeRouchey, J.M.; Dritz, S.S.; Goodband, R.D.; Woodworth, J.C.; Touchette, K.J.; Bello, N.M. Modeling the effects of standardized ileal digestible isoleucine to lysine ratio on growth performance of nursery pigs. Transl. Anim. Sci. 2017, 1, 437–447. [Google Scholar] [CrossRef]
- Lazzeri, D.B.; Castilha, L.D.; Costa, B.; Nunes, R.V.; dos Santos Pozza, M.S.; Pozza, P.C. Standardized ileal digestible (SID) isoleucine requirement of barrows (15-to 30-kg) fed low crude protein diets. Semin. Cienc. Agrar. 2017, 38, 3283–3294. [Google Scholar] [CrossRef][Green Version]
- Clark, A.B.; Tokach, M.D.; DeRouchey, J.M.; Dritz, S.S.; Touchette, K.; Goodband, R.D.; Woodworth, J.C. Effects of Dietary Standardized Ileal Digestible Isoleucine: Lysine Ratio on Nursery Pig Performance. KAES Res. Rep. 2016, 2, 12. [Google Scholar]
- Htoo, J.K.; Zhu, C.L.; Huber, L.; de Lange, C.F.M.; Quant, A.D.; Kerr, B.J.; Cromwell, G.L.; Lindemann, M.D. Determining the optimal isoleucine: Lysine ratio for ten-to twenty-two-kilogram and twenty-four-to thirty-nine-kilogram pigs fed diets containing nonexcess levels of leucine. J. Anim. Sci. 2014, 92, 3482–3490. [Google Scholar] [CrossRef][Green Version]
- Soumeh, E.A.; van Milgen, J.; Sloth, N.M.; Corrent, E.; Poulsen, H.D.; Nørgaard, J.V. The optimum ratio of standardized ileal digestible isoleucine to lysine for 8–15 kg pigs. Anim. Feed Sci. Technol. 2014, 198, 158–165. [Google Scholar] [CrossRef]
- Gloaguen, M.; Le Floc’H, N.; Primot, Y.; Corrent, E.; van Milgen, J. Response of piglets to the standardized ileal digestible isoleucine, histidine and leucine supply in cereal–soybean meal-based diets. Animal 2013, 7, 901–908. [Google Scholar] [CrossRef]
- Nørgaard, J.V.; Shrestha, A.; Krogh, U.; Sloth, N.M.; Blaabjerg, K.; Poulsen, H.D.; Tybirk, P.; Corrent, E. Isoleucine requirement of pigs weighing 8 to 18 kg fed blood cell–free diets. J. Anim. Sci. 2013, 91, 3759–3765. [Google Scholar] [CrossRef] [PubMed]
- Barea, R.; Brossard, L.; Le Floc’H, N.; Primot, Y.; van Milgen, J. The standardized ileal digestible isoleucine-to-lysine requirement ratio may be less than fifty percent in eleven-to twenty-three-kilogram piglets1. J. Anim. Sci. 2009, 87, 4022–4031. [Google Scholar] [CrossRef] [PubMed]
- Wiltafsky, M.K.; Bartelt, J.; Relandeau, C.; Roth, F.X. Estimation of the optimum ratio of standardized ileal digestible isoleucine to lysine for eight-to twenty-five-kilogram pigs in diets containing spray-dried blood cells or corn gluten feed as a protein source. J. Anim. Sci. 2009, 87, 2554–2564. [Google Scholar] [CrossRef]
- Da Silva, C.A.; Dias, C.P.; Callegari, M.A.; de Souza, K.L.; Barbi, J.H.; Fagundes, N.S.; Batonon-Alavo, D.I.; Foppa, L. Increased Sulphur Amino Acids Consumption as OH-Methionine or DL-Methionine Improves Growth Performance and Carcass Traits of Growing-Finishing Pigs Fed under Hot Conditions. Animals 2022, 12, 2159. [Google Scholar] [CrossRef]
- Yang, Z.; Hasan, M.S.; Humphrey, R.M.; Htoo, J.K.; Liao, S.F. Changes in growth performance, plasma metabolite concentrations, and myogenic gene expression in growing pigs fed a methionine-restricted diet. Front. Biosci. (Landmark Ed). 2021, 26, 413–422. [Google Scholar]
- Ho, T.T.; Htoo, J.K.K.; Dao, T.B.A.; Carpena, M.E.; Le, N.A.T.; Vu, C.C.; Nguyen, Q.L. Estimation of the standardized ileal digestible lysine requirement and optimal sulphur amino acids to lysine ratio for 30–50 kg pigs. J. Anim. Physiol. Anim. Nutr. 2019, 103, 258–268. [Google Scholar] [CrossRef]
- Remus, A.; Pomar, C.; Perondi, D.; Gobi, J.P.; da Silva, W.C.; de Souza, L.J.; Hauschild, L. Response to dietary methionine supply of growing pigs fed daily tailored diets or fed according to a conventional phase feeding system. Livest. Sci. 2019, 222, 7–13. [Google Scholar] [CrossRef]
- Kahindi, R.K.; Regassa, A.; Htoo, J.K.; Nyachoti, C.M. Growth performance and expression of genes encoding enzymes involved in methionine and cysteine metabolism in piglets fed increasing sulphur amino acid to lysine ratio during enterotoxigenic Escherichia coli challenge. Can. J. Anim. Sci. 2018, 98, 333–340. [Google Scholar] [CrossRef]
- Capozzalo, M.M.; Resink, J.W.; Htoo, J.K.; Kim, J.C.; de Lange, F.M.; Mullan, B.P.; Hansen, C.F.; Pluske, J.R. Determination of the optimum standardised ileal digestible sulphur amino acids to lysine ratio in weaned pigs challenged with enterotoxigenic Escherichia coli. Anim. Feed Sci. Technol. 2017, 227, 118–130. [Google Scholar] [CrossRef]
- Kahindi, R.; Regassa, A.; Htoo, J.; Nyachoti, M. Optimal sulfur amino acid to lysine ratio for post weaning piglets reared under clean or unclean sanitary conditions. Anim. Nutr. 2017, 3, 380–385. [Google Scholar] [CrossRef]
- Kaewtapee, C.; Krutthai, N.; Bunchasak, C. Effects of supplemental liquid DL-methionine hydroxy analog free acid in diet on growth performance and gastrointestinal functions of piglets. Asian-Australas. J. Anim. Sci. 2016, 29, 1166. [Google Scholar] [CrossRef] [PubMed]
- Zhang, G.J.; Thacker, P.A.; Htoo, J.K.; Qiao, S.Y. Optimum proportion of standardized ileal digestible sulfur amino acid to lysine to maximize the performance of 25-50 kg growing pigs fed reduced crude protein diets fortified with amino acids. Czech J. Anim. Sci. 2015, 60, 302–310. [Google Scholar] [CrossRef]
- Chen, Y.; Li, D.; Dai, Z.; Piao, X.; Wu, Z.; Wang, B.; Zhu, Y.; Zeng, Z. L-methionine supplementation maintains the integrity and barrier function of the small-intestinal mucosa in post-weaning piglets. Amino Acids 2014, 46, 1131–1142. [Google Scholar] [CrossRef]
- Conde-Aguilera, J.A.; Cobo-Ortega, C.; Mercier, Y.; Tesseraud, S.; van Milgen, J. The amino acid composition of tissue protein is affected by the total sulfur amino acid supply in growing pigs. Animal 2014, 8, 401–409. [Google Scholar] [CrossRef]
- Conde-Aguilera, J.A.; Barea, R.; Le Floc’h, N.; Lefaucheur, L.; van Milgen, J. A sulfur amino acid deficiency changes the amino acid composition of body protein in piglets. Animal 2010, 4, 1349–1358. [Google Scholar] [CrossRef] [PubMed][Green Version]
- Frantz, N.Z.; Tokach, M.D.; Goodband, R.D.; Dritz, S.S.; DeRouchey, J.M.; Nelssen, J.L.; Jones, C.L. The optimal standardized ileal digestible lysine and total sulfur amino acid requirement for finishing pigs fed ractopamine hydrochloride. Prof. Anim. Sci. 2009, 25, 161–168. [Google Scholar] [CrossRef]
- Ogbuewu, I.; Mokolopi, B.; Mbajiorgu, C. Meta-analysis of growth performance indices of broiler chickens in response to turmeric (Curcuma longa L.) supplementation. Anim. Feed Sci. Technol. 2022, 283, 115155. [Google Scholar] [CrossRef]
- Guzik, A.C.; Pettitt, M.J.; Beltranena, E.; Southern, L.L.; Kerr, J. Threonine and tryptophan ratios fed to nursery pigs. J. Anim. Physiol. Anim. Nutr. 2005, 89, 297–302. [Google Scholar] [CrossRef]
- Le Floc’h, N.; Seve, B. Biological roles of tryptophan and its metabolism: Potential implications for pig feeding. Livest. Sci. 2007, 112, 23–32. [Google Scholar] [CrossRef]
- Simongiovanni, A.; Corrent, E.; Le Floc’h, N.; van Milgen, J. Estimation of the tryptophan requirement in piglets by meta-analysis. Animal 2012, 6, 594–602. [Google Scholar] [CrossRef]
- Oliveira, G.M.; Ferreira, A.S.; Campos, P.F.; Rodrigues, V.V.; Silva, F.C.O.; Santos, W.G.; Lima, A.L.; Rodrigues, P.G.; Lopes, C.C. Digestible tryptophan to lysine ratios for weaned piglets at 26 days of age. Anim. Prod. Sci. 2016, 57, 2027–2032. [Google Scholar] [CrossRef]
- Le Floc’h, N.; Lebellego, L.; Matte, J.J.; Melchior, D.; Sève, B. The effect of sanitary status degradation and dietary tryptophan content on growth rate and tryptophan metabolism in weaning pigs. J. Anim. Sci. 2009, 87, 1686–1694. [Google Scholar] [CrossRef]
- Gatnau, R.; Zimmerman, D.R.; Nissen, S.L.; Wannemuehler, M.; Ewan, R.C. Effects of excess dietary leucine and leucine catabolites on growth and immune responses in weanling pigs. J. Anim. Sci. 1995, 73, 159–165. [Google Scholar] [CrossRef] [PubMed]
- Wiltafsky, M.K.; Pfaffl, M.W.; Roth, F.X. The effects of branched-chain amino acid interactions on growth performance, blood metabolites, enzyme kinetics and transcriptomics in weaned pigs. Br. J. Nutr. 2010, 103, 964–976. [Google Scholar] [CrossRef]
- Wessels, A.G.; Kluge, H.; Hirche, F.; Kiowski, A.; Schutkowski, A.; Corrent, E.; Bartelt, J.; König, B.; Stangl, G.I. High leucine diets stimulate cerebral branched-chain amino acid degradation and modify serotonin and ketone body concentrations in a pig model. PLoS ONE 2016, 11, e0150376. [Google Scholar] [CrossRef] [PubMed]
- Harper, A.E.; Miller, R.; Block, K.P. Branched-chain amino acid metabolism. Annu. Rev. Nutr. 1984, 4, 409–454. [Google Scholar] [CrossRef]
- Meyer, F.; van Rensburg, C.J.; Gous, R.M. The response of weaned piglets to dietary valine and leucine. Animal 2017, 11, 1279–1286. [Google Scholar] [CrossRef][Green Version]
- Nyachoti, C.M.; Zijlstra, R.T.; de Lange, C.F.M.; Patience, J.F. Voluntary feed intake in growing-finishing pigs: A review of the main determining factors and potential approaches for accurate predictions. Can. J. Anim. Sci. 2004, 84, 549–566. [Google Scholar] [CrossRef]
- Avelar, E.; Jha, R.; Beltranena, E.; Cervantes, M.; Morales, A.; Zijlstra, R.T. The effect of feeding wheat distillers dried grain with solubles on growth performance and nutrient digestibility in weaned pigs. Anim. Feed Sci. Technol. 2010, 160, 73–77. [Google Scholar] [CrossRef]
- Kwon, W.B.; Touchette, K.J.; Simongiovanni, A.; Syriopoulos, K.; Wessels, A.; Stein, H.H. Excess dietary leucine in diets for growing pigs reduces growth performance, biological value of protein, protein retention, and serotonin synthesis. J. Anim. Sci. 2019, 97, 4282–4292. [Google Scholar] [CrossRef]
- Yang, Z.; Urriola, P.E.; Hilbrands, A.M.; Johnston, L.J.; Shurson, G.C. Growth performance of nursery pigs fed diets containing increasing levels of a novel high-protein corn distillers dried grains with solubles. Transl. Anim. Sci. 2019, 3, 350–358. [Google Scholar] [CrossRef] [PubMed]
- Kwon, W.B.; Soto, J.A.; Stein, H.H. Effects on nitrogen balance and metabolism of branched-chain amino acids by growing pigs of supplementing isoleucine and valine to diets with adequate or excess concentrations of dietary leucine. J. Anim. Sci. 2020, 98, skaa346. [Google Scholar] [CrossRef]
- Cemin, H.S.; Tokach, M.D.; Dritz, S.S.; Woodworth, J.C.; DeRouchey, J.M.; Goodband, R.D. Meta-regression analysis to predict the influence of branched-chain and large neutral amino acids on growth performance of pigs. J. Anim. Sci. 2019, 97, 2505–2514. [Google Scholar] [CrossRef]
- Morales, A.; Arce, N.; Cota, M.; Buenabad, L.; Avelar, E.; Htoo, J.K.; Cervantes, M. Effect of dietary excess of branched-chain amino acids on performance and serum concentrations of amino acids in growing pigs. J. Anim. Physiol. Anim. Nutr. 2016, 100, 39–45. [Google Scholar] [CrossRef] [PubMed]
- Langer, S.; Scislowski, P.W.; Brown, D.S.; Dewey, P.; Fuller, M.F. Interactions among the branched-chain amino acids and their effects on methionine utilization in growing pigs: Effects on plasma amino–and keto–acid concentrations and branched-chain keto-acid dehydrogenase activity. Br. J. Nutr. 2000, 83, 49–58. [Google Scholar] [CrossRef]
- Grimble, R.F. The effects of sulfur amino acid intake on immune function in humans. J. Nutr. 2006, 136, 1660S–1665S. [Google Scholar] [CrossRef]
- Jahoor, F.; Wykes, L.J.; Reeds, P.J.; Henry, J.F.; del Rosario, M.P.; Frazer, M.E. Protein-deficient pigs cannot maintain reduced glutathione homeostasis when subjected to the stress of inflammation. J. Nutr. 1995, 125, 1462–1472. [Google Scholar]
- Kim, J.C.; Mullan, B.P.; Frey, B.; Payne, H.G.; Pluske, J.R. Whole body protein deposition and plasma amino acid profiles in growing and/or finishing pigs fed increasing levels of sulfur amino acids with and without Escherichia coli lipopolysaccharide challenge. J. Anim. Sci. 2012, 90 (Suppl. S4), 362–365. [Google Scholar] [CrossRef]
- Maroufyan, E.; Kasim, A.; Hashemi, S.R.; Loh, T.C.; Bejo, M.H.; Davoodi, H. The effect of methionine and threonine supplementations on immune responses of broiler chickens challenged with infectious bursal disease. Am. J. Appl. Sci. 2010, 7, 44. [Google Scholar] [CrossRef]
- Rakhshandeh, A.; Htoo, J.K.; Karrow, N.; Miller, S.P.; de Lange, C.F. Impact of immune system stimulation on the ileal nutrient digestibility and utilisation of methionine plus cysteine intake for whole-body protein deposition in growing pigs. Br. J. Nutr. 2014, 111, 101–110. [Google Scholar] [CrossRef]
- Rostagno, H.S.; Albino, L.F.T.; Donzele, J.L.; Gomes, P.C.; Oliveira, R.D.; Lopes, D.C.; Ferreira, A.S.; Barreto, S.D.T.; Euclides, R.F. Composição de alimentos e exigências nutricionais. Tabelas Bras. Para Aves E Suínos 2005, 2, 233–254. [Google Scholar]
- Sève, B. Alimentation du porc en croissance: Intégration des concepts de protéine idéale, de disponibilité digestive des acides aminés et d’énergie nette. Prod. Anim. 1994, 7, 275–291. [Google Scholar] [CrossRef]
- Grimble, R.F.; Grimble, G.K. Immunonutrition: Role of sulfur amino acids, related amino acids, and polyamines. Nutrition 1998, 14, 605–610. [Google Scholar] [CrossRef] [PubMed]
- Le Floc’h, N.; Melchior, D.; Obled, C. Modifications of protein and amino acid metabolism during inflammation and immune system activation. Livest. Prod. Sci. 2004, 87, 37–45. [Google Scholar] [CrossRef]
- Melchior, D.; Sève, B.; Le Floc’H, N. Chronic lung inflammation affects plasma amino acid concentrations in pigs. J. Anim. Sci. 2004, 82, 1091–1099. [Google Scholar] [CrossRef]
- Tsukahara, T.; Inoue, R.; Nakatani, M.; Fukuta, K.; Kishino, E.; Ito, T.; Ushida, K. Influence of weaning age on the villous height and disaccharidase activities in the porcine small intestine. Anim. Sci. J. 2016, 87, 67–75. [Google Scholar] [CrossRef]
- Lu, S.C. Regulation of glutathione synthesis. Mol. Asp. Med. 2009, 30, 42–59. [Google Scholar] [CrossRef]








| Source | Phase 1 | Range of SID Trp: Lys Ratio | Range of SID Lys, % | Remarks |
|---|---|---|---|---|
| Kwon et al. [7] | 3 | 0.18–0.28 | 1.00 | |
| Tolosa et al. [24] | 3 | 0.16–0.19 | 0.81–0.89 | |
| Kerkaert et al. [25] | 3 | 0.19–0.21 | 0.98 | |
| Ma et al. [26] | 1 | 0.15–0.24 | 1.10 | |
| Capozzalo et al. [27] | 1 | 0.17–0.25 | 1.23–1.27 | |
| Liu et al. [28] | 2–3 | 0.15–0.23 | 0.90 | |
| Wensley et al. [29] | 2 | 0.16–0.21 | 1.25 | |
| Gonçalves et al. [30] | 3 | 0.15–0.25 | 0.90 | |
| Capozzalo et al. [31] | 1 | 0.16–0.24 | 1.25 | E. coli infection |
| Jayaraman et al. [32] | 1 | 0.16–0.25 | 1.18 | E. coli infection |
| Jayaraman et al. [33] | 1 | 0.19–0.24 | 1.23–1.33 | Unclean condition |
| Yu et al. [34] | 3 | 0.13–0.21 | 0.66 | |
| Capozzalo et al. [35] | 1 | 0.16–0.24 | 1.24 | E. coli infection |
| Gonçalves et al. [36] | 1–2 | 0.15–0.25 | 0.97–1.30 | |
| Nørgaard et al. [37] | 1 | 0.13–0.23 | 1.09 | |
| Shen et al. [38] | 2–3 | 0.16–1.10 | 0.90–1.17 | Stress |
| Naatjes et al. [39] | 2–3 | 0.13–0.21 | 1.05 | |
| Borgesa et al. [40] | 1 | 0.18–0.24 | 0.92 | |
| Capozzalo et al. [41] | 1 | 0.17–0.26 | 1.24 | E. coli infection |
| Quant et al. [42] | 3 | 0.13–0.18 | 0.66 | |
| Shen et al. [43] | 2 | 0.21–1.31 | 0.90 | |
| Zhang et al. [44] | 3 | 0.13–0.25 | 0.90 | |
| Le Floc’h et al. [45] | 1–3 | 0.15–0.24 | 1.05–1.22 | |
| Trevisi et al. [46] | 1 | 0.18–0.22 | ND 2 | E. coli infection |
| Eder et al. [47] | 3 | 0.09–0.23 | 0.87 |
| Source | Phase 1 | Range of SID Val: Lys Ratio | Range of SID Lys, % | Range of SID Leu: Lys Ratio | Range of SID Ile: Lys Ratio | Remarks |
|---|---|---|---|---|---|---|
| Goodarzi et al. [48] | 1–2 | 0.39–0.75 | 1.29 | 0.82 | 0.29; 0.60 | BCAA 2 |
| Clizer et al. [11] | 3 | 0.60–0.80 | 0.98 | 1.34 | 0.60 | BCAA |
| Goodarzi et al. [8] | 1–2 | 0.39–0.75 | 1.29 | 0.81 | 0.30; 0.55 | BCAA |
| Habibi et al. [9] | 1–2 | 0.37–0.62 | 1.29 | 0.77 | 0.31; 0.55 | BCAA |
| Kerkaert et al. [25] | 3 | 0.70–0.80 | 0.98 | 1.45 | 0.61 | BCAA |
| Siebert et al. [49] | 1–3 | 0.70–0.76 | 1.15–1.25 | 1.03–1.06 | 0.58 | |
| Millet et al. [50] | 1–2 | 0.58–0.82 | 1.05 | 1.05 | 0.54 | |
| Oliveira et al. [51] | 1 | 0.71–0.87 | 1.41–1.43 | ND 3 | ND | BCAA |
| Gonçalves et al. [52] | 3 | 0.57–0.78 | 0.85 | 1.54–1.58 | 0.61–0.62 | BCAA |
| Xu et al. [53] | 1–2 | 0.50–0.80 | 1.17 | 0.99 | 0.53 | BCAA |
| Zhang et al. [54] | 2–3 | 0.45–0.65 | 1.15 | ND | ND | |
| Clark et al. [55] | 1–2 | 0.50–0.85 | 1.24 | 1.10 | 0.57 | |
| Liu et al. [56] | 3 | 0.55–0.75 | 0.90 | 1.13 | 0.51 | BCAA |
| Soumeh et al. [57] | 1–2 | 0.58–0.78 | 1.10 | ND | ND | |
| Nemechek et al. [58] | 1–2 | 0.57–0.70 | 1.30 | ND | ND | BCAA |
| Millet [59] | 1–2 | 0.58–0.67 | 1.06 | 0.96 | 0.52 | |
| Waguespack et al. [60] | 2–3 | 0.61–0.74 | 0.83 | 1.30 | 0.60 | |
| Gaines et al. [61] | 2–3 | 0.55–0.80 | 1.10 | ND | ND | |
| Gloaguen et al. [62] | 2 | 0.60–0.80 | 0.95–1.02 | 1.01–0.69 | 0.47–0.64 | BCAA |
| Barea et al. [63] | 1–2 | 0.57–0.80 | 0.92–1.00 | ND | 0.50–0.60 | |
| Nørgaard and Fernández [64] | 1–2 | 0.60–0.72 | 1.00 | 1.02 | 0.53; 0.62 | BCAA |
| Wiltafsky et al. [65] | 1–2 | 0.49–0.84 | 0.93–1.02 | 0.98–1.06 | 0.59–0.64 |
| Source | Phase 1 | Range of SID Ile: Lys Ratio | Range of SID Lys, % | Range of SID Leu: Lys Ratio | Range of SID Val: Lys Ratio | Remarks |
|---|---|---|---|---|---|---|
| Goodarzi et al. [48] | 1–2 | 0.29–0.60 | 1.29 | 0.82 | 0.39–0.75 | BCAA 2 |
| Clizer et al. [11] | 3 | 0.55–0.75 | 0.73 | 1.61 | 0.78 | BCAA |
| Goodarzi et al. [8] | 1–2 | 0.30–0.55 | 1.29 | 0.81 | 0.39–0.75 | BCAA |
| Habibi et al. [9] | 1–2 | 0.31–0.55 | 1.29 | 0.77 | 0.37–0.62 | BCAA |
| Kerkaert et al. [25] | 3 | 0.61–0.66 | 0.98 | 1.45 | 0.70 | BCAA |
| Clark et al. [66] | 1 | 0.40–0.63 | 1.24–1.28 | 1.07–1.09 | 0.71 | |
| Lazzeri et al. [67] | 2–3 | 0.45–0.73 | 1.06 | 0.99 | 0.65 | BCAA |
| Clark et al. [68] | 1–2 | 0.40–0.63 | 1.24–1.28 | 1.07–1.09 | 0.71 | BCAA |
| Htoo et al. [69] | 1–3 | 0.33–0.70 | 0.95 | 1.03–1.33 | 0.69–0.89 | |
| Soumeh et al. [70] | 1–2 | 0.42–0.62 | 1.14 | ND 3 | 0.70 | |
| Gloaguen et al. [71] | 2 | 0.40–0.55 | 0.94–0.98 | 1.01–1.09 | ND | BCAA |
| Nørgaard et al. [72] | 1–2 | 0.42–0.62 | 1.12 | ND | 0.70 | BCAA |
| Waguespack et al. [60] | 2–3 | 0.52–0.61 | 0.83 | 1.30 | 0.73 | |
| Barea et al. [73] | 2 | 0.46–0.65 | 1.00 | ND | ND | BCAA |
| Nørgaard and Fernández [64] | 1–2 | 0.53–0.62 | 1.00 | 1.02 | 0.60–0.72 | BCAA |
| Wiltafsky et al. [74] | 1–2 | 0.36–0.72 | 0.92–1.02 | 1.08–1.62 | 0.68–1.02 | BCAA |
| Source | Phase 1 | Range of SID SAA: Lys Ratio | Range of SID Met: Lys Ratio | Range of SID Lys, % | Supplemental Amino Acid 2 | Remarks |
|---|---|---|---|---|---|---|
| Da Silva et al. [75] | 2–3 | 0.59–0.74 | ND 3 | 0.96–1.07 | SAA | |
| Yang et al. [76] | 2–3 | 0.48–0.62 | 0.20–0.34 | 1.08 | SAA + Met | |
| Ho et al. [77] | 3 | 0.50–0.70 | 0.25–0.45 | 1.00 | SAA + Met | |
| Remus et al. [78] | 3 | 0.37–0.57 | 0.21–0.39 | 1.15–1.30 | SAA + Met | |
| Kahindi et al. [79] | 1 | 0.48–0.71 | 0.22–0.46 | 1.18 | SAA + Met | E. coli infection |
| Zong et al. [10] | 1 | 0.39–0.71 | 0.20–0.52 | 1.35 | SAA + Met | |
| Capozzalo et al. [80] | 1–2 | 0.45–0.78 | 0.21–0.53 | 1.10–1.20 | SAA + Met | E. coli infection |
| Capozzalo et al. [31] | 1 | 0.55–0.66 | 0.28–0.39 | 1.25 | SAA | E. coli infection |
| Kahindi et al. [81] | 1 | 0.52–0.68 | 0.24–0.40 | 1.18 | SAA + Met | Unclean condition |
| Kaewtapee et al. [82] | 2–3 | 0.49–0.69 | ND 3 | 1.05 | SAA | |
| Zhang et al. [83] | 3 | 0.50–0.70 | 0.27–0.47 | 0.90 | SAA + Met | |
| Chen et al. [84] | 1 | 0.39–0.48 | 0.20–0.29 | 1.20 | SAA + Met | |
| Conde-Aguilera et al. [85] | 2–3 | 0.50–0.60 | 0.24–0.34 | 1.06–1.09 | SAA + Met | |
| Conde-Aguilera et al. [86] | 2 | 0.38–0.60 | 0.17–0.40 | 1.16 | SAA + Met | |
| Frantz et al. [87] | 3 | 0.47–0.63 | ND 3 | 1.05 | SAA |
Disclaimer/Publisher’s Note: The statements, opinions and data contained in all publications are solely those of the individual author(s) and contributor(s) and not of MDPI and/or the editor(s). MDPI and/or the editor(s) disclaim responsibility for any injury to people or property resulting from any ideas, methods, instructions or products referred to in the content. |
© 2024 by the authors. Licensee MDPI, Basel, Switzerland. This article is an open access article distributed under the terms and conditions of the Creative Commons Attribution (CC BY) license (https://creativecommons.org/licenses/by/4.0/).
Share and Cite
Chae, B.; Poaty Ditengou, J.I.C.; Lee, A.-L.; Tak, J.; Cheon, I.; Choi, N.-J. An Estimation of the Requirements of the Standardized Ileal Digestible Tryptophan, Valine, Isoleucine and Methionine on Young Pigs’ (Up to 50 kg) Feed Efficiency: A Meta-Regression Analysis. Animals 2024, 14, 2884. https://doi.org/10.3390/ani14192884
Chae B, Poaty Ditengou JIC, Lee A-L, Tak J, Cheon I, Choi N-J. An Estimation of the Requirements of the Standardized Ileal Digestible Tryptophan, Valine, Isoleucine and Methionine on Young Pigs’ (Up to 50 kg) Feed Efficiency: A Meta-Regression Analysis. Animals. 2024; 14(19):2884. https://doi.org/10.3390/ani14192884
Chicago/Turabian StyleChae, Byungho, Junior Isaac Celestin Poaty Ditengou, A-Leum Lee, Jisoo Tak, Inhyeok Cheon, and Nag-Jin Choi. 2024. "An Estimation of the Requirements of the Standardized Ileal Digestible Tryptophan, Valine, Isoleucine and Methionine on Young Pigs’ (Up to 50 kg) Feed Efficiency: A Meta-Regression Analysis" Animals 14, no. 19: 2884. https://doi.org/10.3390/ani14192884
APA StyleChae, B., Poaty Ditengou, J. I. C., Lee, A.-L., Tak, J., Cheon, I., & Choi, N.-J. (2024). An Estimation of the Requirements of the Standardized Ileal Digestible Tryptophan, Valine, Isoleucine and Methionine on Young Pigs’ (Up to 50 kg) Feed Efficiency: A Meta-Regression Analysis. Animals, 14(19), 2884. https://doi.org/10.3390/ani14192884

