Genome-Wide Association Study of Conformation Traits in Brazilian Holstein Cattle
Abstract
Simple Summary
Abstract
1. Introduction
2. Materials and Methods
2.1. Phenotypes and Genotypes
- FC, denoting the final score of all conformation traits;
- DS, comprising the animal’s stature, topline leveling, chest width, body depth, angularity, body condition score, bone quality, udder texture, and lumbar strength;
- Rump, considering the croup angle, croup width, loin strength, and bone quality;
- FL, considering the legs from a side view, hoof angle, heel depth, and the legs from the back view;
- MS, comprising the udder depth, udder texture, median ligament, anterior insertion of the udder, anterior teat placement, udder height, udder width, udder placement, and teat length.
2.2. Quality Control
2.3. Single-Step GWASs
2.4. Identification of Genes and Functional Analyses
3. Results
3.1. Descriptive Statistics
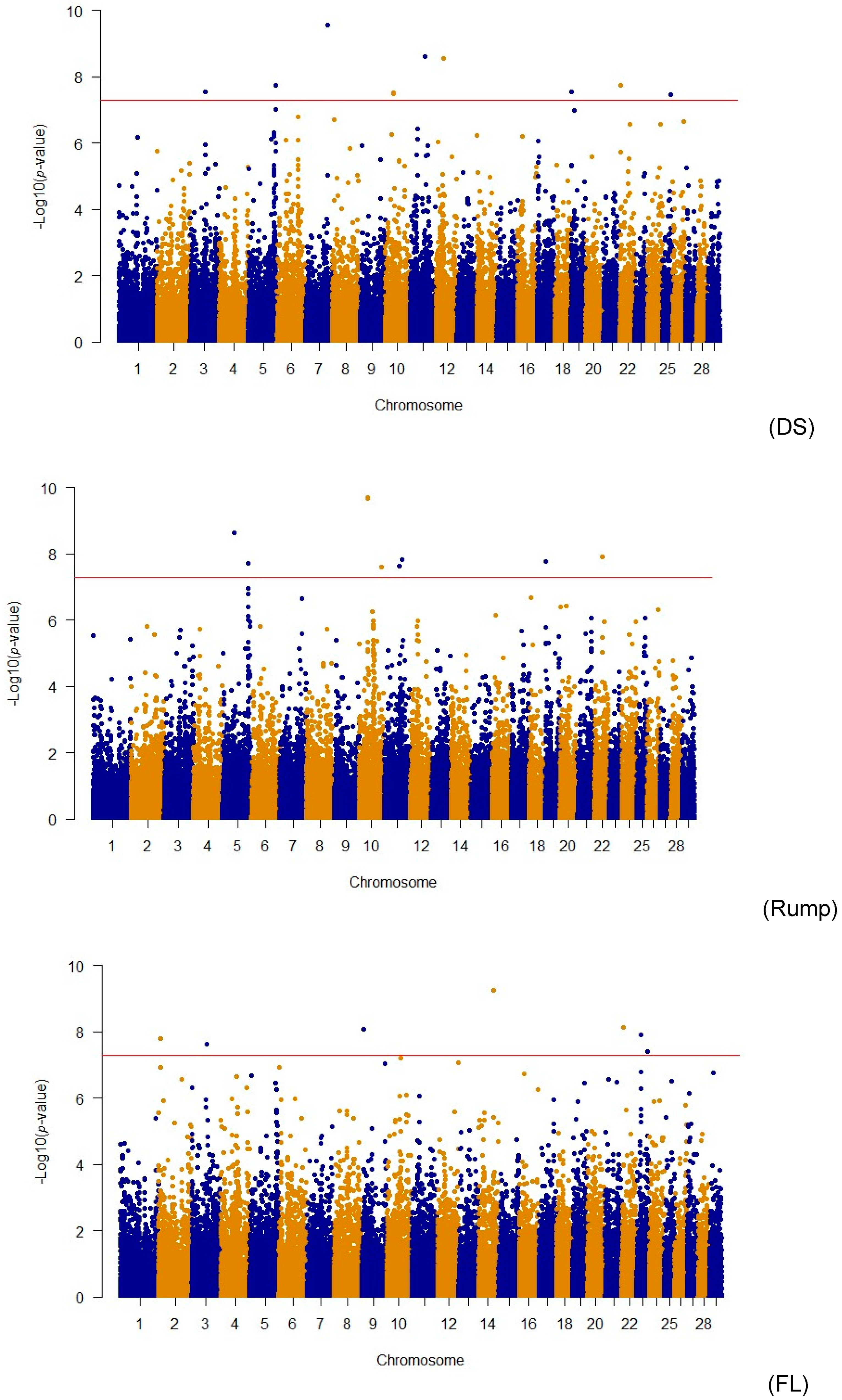
3.2. Single-Step GWASs
3.3. Functional Analyses
3.4. Gene Interaction Network
4. Discussion
4.1. Final Classification
4.2. Rump
4.3. Feet and Legs
4.4. Mammary System
5. Conclusions
Author Contributions
Funding
Institutional Review Board Statement
Informed Consent Statement
Data Availability Statement
Conflicts of Interest
References
- Schmidtmann, C.; Segelke, D.; Bennewitz, J.; Tetens, J.; Thaller, G. Genetic Analysis of Production Traits and Body Size Measurements and Their Relationships with Metabolic Diseases in German Holstein Cattle. J. Dairy Sci. 2022, 106, 421–438. [Google Scholar] [CrossRef] [PubMed]
- Miglior, F.; Fleming, A.; Malchiodi, F.; Brito, L.F.; Martin, P.; Baes, C.F. A 100-Year Review: Identification and Genetic Selection of Economically Important Traits in Dairy Cattle. J. Dairy Sci. 2017, 100, 10251–10271. [Google Scholar] [CrossRef] [PubMed]
- Xue, X.; Hu, H.; Zhang, J.; Ma, Y.; Han, L.; Hao, F.; Jiang, Y.; Ma, Y. Estimation of Genetic Parameters for Conformation Traits and Milk Production Traits in Chinese Holsteins. Animals 2023, 13, 100. [Google Scholar] [CrossRef]
- Sawa, A.; Bogucki, M.; Krężel-Czopek, S.; Neja, W. Relationship between Conformation Traits and Lifetime Production Efficiency of Cows. ISRN Vet. Sci. 2013, 2013, 124690. [Google Scholar] [CrossRef] [PubMed]
- Paakala, E.; Martín-Collado, D.; Mäki-Tanila, A.; Juga, J. Variation in the Actual Preferences for AI Bull Traits among Finnish Dairy Herds. J. Anim. Breed. Genet. 2018, 135, 410–419. [Google Scholar] [CrossRef]
- Nazar, M.; Abdalla, I.M.; Chen, Z.; Ullah, N.; Liang, Y.; Chu, S.; Xu, T.; Mao, Y.; Yang, Z.; Lu, X. Genome-Wide Association Study for Udder Conformation Traits in Chinese Holstein Cattle. Animals 2022, 12, 2542. [Google Scholar] [CrossRef] [PubMed]
- Yan, Z.; Wang, Z.; Zhang, Q.; Yue, S.; Yin, B.; Jiang, Y.; Shi, K. Identification of Whole-Genome Significant Single Nucleotide Polymorphisms in Candidate Genes Associated with Body Conformation Traits in Chinese Holstein Cattle. Anim. Genet. 2020, 51, 141–146. [Google Scholar] [CrossRef]
- Čítek, J.; Brzáková, M.; Bauer, J.; Tichý, L.; Sztankóová, Z.; Vostrý, L.; Steyn, Y. Genome-Wide Association Study for Body Conformation Traits and Fitness in Czech Holsteins. Animals 2022, 12, 3522. [Google Scholar] [CrossRef]
- Naval-Sánchez, M.; Porto-Neto, L.R.; Cardoso, D.F.; Hayes, B.J.; Daetwyler, H.D.; Kijas, J.; Reverter, A. Selection Signatures in Tropical Cattle Are Enriched for Promoter and Coding Regions and Reveal Missense Mutations in the Damage Response Gene HELB. Genet. Sel. Evol. 2020, 52, 27. [Google Scholar] [CrossRef]
- Iung, L.H.S.; Petrini, J.; Ramírez-Díaz, J.; Salvian, M.; Rovadoscki, G.A.; Pilonetto, F.; Dauria, B.D.; Machado, P.F.; Coutinho, L.L.; Wiggans, G.R.; et al. Genome-Wide Association Study for Milk Production Traits in a Brazilian Holstein Population. J. Dairy Sci. 2019, 102, 5305–5314. [Google Scholar] [CrossRef]
- Otto, P.I.; Guimarães, S.E.F.; Calus, M.P.L.; Vandenplas, J.; Machado, M.A.; Panetto, J.C.C.; da Silva, M.V.G.B. Single-Step Genome-Wide Association Studies (GWAS) and Post-GWAS Analyses to Identify Genomic Regions and Candidate Genes for Milk Yield in Brazilian Girolando Cattle. J. Dairy Sci. 2020, 103, 10347–10360. [Google Scholar] [CrossRef] [PubMed]
- Carrara, E.R.; Dauria, B.D.; Gervásio, I.C.; Silveira, R.M.F.; Rovadoski, G.A.; Petrini, J.; Salvian, M.; Machado, P.F.; Mourão, G.B. Comparison of Marker Effects and Breeding Values at Two Levels at THI for Milk Yield and Quality Traits in Brazilian Holstein Cows. Genes 2023, 14, 17. [Google Scholar] [CrossRef]
- Bohlouli, M.; Alijani, S.; Varposhti, M.R. Genetic Relationships among Linear Type Traits and Milk Production Traits of Holstein Dairy Cattle. Ann. Anim. Sci. 2015, 15, 903–917. [Google Scholar] [CrossRef]
- Atkins, G. Using Conformational Anatomy to identify functionality in Dairy cows. In Proceedings of the 24th South Western Ontario Dairy Symposium, Woodstock, ON, Canada, 20 February 2007; pp. 37–48. [Google Scholar]
- Devani, K.; Plastow, G.; Orsel, K.; Valente, T.S. Genome-Wide Association Study for Mammary Structure in Canadian Angus Cows. PLoS ONE 2020, 15, e0237818. [Google Scholar] [CrossRef] [PubMed]
- Massender, E.; Oliveira, H.R.; Brito, L.F.; Maignel, L.; Jafarikia, M.; Baes, C.F.; Sullivan, B.; Schenkel, F.S. Genome-Wide Association Study for Milk Production and Conformation Traits in Canadian Alpine and Saanen Dairy Goats. J. Dairy Sci. 2023, 106, 1168–1189. [Google Scholar] [CrossRef]
- Tizioto, P.C.; Coutinho, L.L.; Oliveira, P.S.N.; Cesar, A.S.M.; Diniz, W.J.S.; Lima, A.O.; Rocha, M.I.; Decker, J.E.; Schnabel, R.D.; Mourão, G.B.; et al. Gene Expression Differences in Longissimus Muscle of Nelore Steers Genetically Divergent for Residual Feed Intake. Sci. Rep. 2016, 6, 39493. [Google Scholar] [CrossRef]
- Cantor, R.M.; Lange, K.; Sinsheimer, J.S. Prioritizing GWAS Results: A Review of Statistical Methods and Recommendations for Their Application. Am. J. Hum. Genet. 2010, 86, 6–22. [Google Scholar] [CrossRef]
- Gebreyesus, G.; Buitenhuis, A.J.; Poulsen, N.A.; Visker, M.H.P.W.; Zhang, Q.; Van Valenberg, H.J.F.; Sun, D.; Bovenhuis, H. Multi-Population GWAS and Enrichment Analyses Reveal Novel Genomic Regions and Promising Candidate Genes Underlying Bovine Milk Fatty Acid Composition. BMC Genom. 2019, 20, 178. [Google Scholar] [CrossRef]
- Abdalla, I.M.; Lu, X.; Nazar, M.; Arbab, A.A.I.; Xu, T.; Yousif, M.H.; Mao, Y.; Yang, Z. Genome-Wide Association Study Identifies Candidate Genes Associated with Feet and Leg Conformation Traits in Chinese Holstein Cattle. Animals 2021, 11, 2259. [Google Scholar] [CrossRef]
- Sambrook, J.; Fritsch, E.F.; Maniatis, T. Molecular Cloning: A Laboratory Manual, 2nd ed.; Cold Spring Harbor Laboratory Press: Long Island, NY, USA, 1989. [Google Scholar]
- Valloto, A.A.; Ribas Neto, P.G. Avaliação da Conformação Ideal das Vacas Leiteiras; SENAR—PR: Curitiba, Brazil, 2012. [Google Scholar]
- Misztal, I.; Aguilar, I.; Tsuruta, S.; Masuda, Y.; Lourenco, D.A.L.; Legarra, A. BLUPF90 Suite of Programs for Animal Breeding. In Proceedings of the 11th World Congress of Genetics Applied to Livestock Production, Auckland, New Zealand, 11–16 February 2018; Volume 11, p. 751. [Google Scholar]
- Aguilar, I.; Misztal, I.; Tsuruta, S.; Legarra, A.; Wang, H. PREGSF90—POSTGSF90: Computational Tools for the Implementation of Single-Step Genomic Selection and Genome-Wide Association with Ungenotyped Individuals in BLUPF90 Programs. In Proceedings of the 10th World Congress of Genetics Applied to Livestock Production PREGSF90, Vancouver, BC, Canada, 17–22 August 2014. [Google Scholar]
- Aguilar, I. Genetic Evaluation Including Phenotypic, Full Pedigree and Genomic Data. Master’s Thesis, University of Georgia, Athens, GA, USA, 2010. [Google Scholar]
- Ignacy, M.; Shogo, T.; Daniela, L.; Yutaka, M.; Ignacio, A.; Andres, L.; Zulma, V. Manual for BLUPF90 Family Programs; University of Georgia: Athens, GA, USA, 2018. [Google Scholar]
- Wang, H.; Misztal, I.; Aguilar, I.; Legarra, A.; Muir, W.M. Genome-Wide Association Mapping Including Phenotypes from Relatives without Genotypes. Genet. Res. 2012, 94, 73–83. [Google Scholar] [CrossRef]
- Masuda, Y. Introduction to BLUPF90 Suite Programs Standard Edition; University of Georgia: Athens, GA, USA, 2019. [Google Scholar]
- Aguilar, I.; Legarra, A.; Cardoso, F.; Masuda, Y.; Lourenco, D.; Misztal, I. Frequentist P-Values for Large-Scale-Single Step Genome-Wide Association, with an Application to Birth Weight in American Angus Cattle. Genet. Sel. Evol. 2019, 51, 28. [Google Scholar] [CrossRef] [PubMed]
- Garrick, D.J. Equivalent Mixed Model Equations for Genomic Selection. J. Anim. Sci. 2007, 85, 376. [Google Scholar]
- Jannot, A.; Ehret, G.; Perneger, T. P < 5 × 10−8 Has Emerged as a Standard of Statistical Significance for Genome-Wide Association Studies. J. Clin. Epidemiol. 2015, 68, 460–465. [Google Scholar] [PubMed]
- Fonseca, P.A.S.; Suárez-Vega, A.; Marras, G.; Cánovas, Á. GALLO: An R Package for Genomic Annotation and Integration of Multiple Data Sources in Livestock for Positional Candidate Loci. Gigascience 2020, 9, giaa149. [Google Scholar] [CrossRef]
- Lindholm-Perry, A.K.; Meyer, A.M.; Kern-Lunbery, R.J.; Cunningham-Hollinger, H.C.; Funk, T.H.; Keel, B.N. Genes Involved in Feed Efficiency Identified in a Meta-Analysis of Rumen Tissue from Two Populations of Beef Steers. Animals 2022, 12, 1514. [Google Scholar] [CrossRef]
- Sherman, B.T.; Hao, M.; Qiu, J.; Jiao, X.; Baseler, M.W.; Lane, H.C.; Imamichi, T.; Chang, W. DAVID: A Web Server for Functional Enrichment Analysis and Functional Annotation of Gene Lists (2021 Update). Nucleic Acids Res. 2022, 50, W216–W221. [Google Scholar] [CrossRef]
- Huang, D.W.; Sherman, B.T.; Lempicki, R.A. Systematic and Integrative Analysis of Large Gene Lists Using DAVID. Nat. Protoc. 2009, 4, 44–57. [Google Scholar] [CrossRef]
- Szklarczyk, D.; Kirsch, R.; Koutrouli, M.; Nastou, K.; Mehryary, F.; Hachilif, R.; Gable, A.L.; Fang, T.; Doncheva, N.T.; Pyysalo, S.; et al. The STRING Database in 2023: Protein–Protein Association Networks and Functional Enrichment Analyses for Any Sequenced Genome of Interest. Nucleic Acids Res. 2023, 51, D638–D646. [Google Scholar] [CrossRef]
- Bouley, J.; Chambon, C.; Picard, B. Mapping of Bovine Skeletal Muscle Proteins Using Two-Dimensional Gel Electrophoresis and Mass Spectrometry. Proteomics 2004, 4, 1811–1824. [Google Scholar] [CrossRef]
- Lawrence, R.A. Physiology of Lactation. In Breastfeeding; Elsevier: Amsterdam, The Netherlands, 2022; pp. 58–92. [Google Scholar]
- Tolkatchev, D.; Kuruba, B.; Smith, G.E.; Swain, K.D.; Smith, K.A.; Moroz, N.; Williams, T.J.; Kostyukova, A.S. Structural Insights into the Tropomodulin Assembly at the Pointed Ends of Actin Filaments. Protein Sci. 2021, 30, 423–437. [Google Scholar] [CrossRef]
- Bao, Y.; Kake, T.; Hanashima, A.; Nomiya, Y.; Kubokawa, K.; Kimura, S. Actin Capping Proteins, CapZ (β-Actinin) and Tropomodulin in Amphioxus Striated Muscle. Gene 2012, 510, 78–86. [Google Scholar] [CrossRef] [PubMed]
- Fath, T.; Fischer, R.S.; Dehmelt, L.; Halpain, S.; Fowler, V.M. Tropomodulins Are Negative Regulators of Neurite Outgrowth. Eur. J. Cell Biol. 2011, 90, 291–300. [Google Scholar] [CrossRef] [PubMed]
- Moroz, N.; Guillaud, L.; Desai, B.; Kostyukova, A.S. Mutations Changing Tropomodulin Affinity for Tropomyosin Alter Neurite Formation and Extension. PeerJ 2013, 2013, e7. [Google Scholar] [CrossRef] [PubMed]
- Yamashiro, S.; Gokhin, D.S.; Kimura, S.; Nowak, R.B.; Fowler, V.M. Tropomodulins: Pointed-End Capping Proteins That Regulate Actin Filament Architecture in Diverse Cell Types. Cytoskeleton 2012, 69, 337–370. [Google Scholar] [CrossRef]
- Quintana, A.M.; Yu, H.C.; Brebner, A.; Pupavac, M.; Geiger, E.A.; Watson, A.; Castro, V.L.; Cheung, W.; Chen, S.H.; Watkins, D.; et al. Mutations in THAP11 Cause an Inborn Error of Cobalamin Metabolism and Developmental Abnormalities. Hum. Mol. Genet. 2017, 26, 2838–2849. [Google Scholar] [CrossRef]
- Omotade, O.F.; Rui, Y.; Lei, W.; Yu, K.; Hartzell, H.C.; Fowler, V.M.; Zheng, J.Q. Tropomodulin Isoform-Specific Regulation of Dendrite Development and Synapse Formation. J. Neurosci. 2018, 38, 10271–10285. [Google Scholar] [CrossRef]
- Taherabadi, S.J.; Rahmati, M. Exercise Training Enhances Expression of Tropomedulin-2 and ADP-Ribosylation Factor 6 in the Cerebellum of Male Wistar Rats. Zahedan J. Res. Med. Sci. 2019, 21, e89902. [Google Scholar] [CrossRef]
- Taherabadi, S.J.; Rahmati, M.; Mirnasuri, R.; Kazemi, A. Effect of Exercise Training on Tropomodulin-2 Gene Expression in Cerebellum of Diabetic Rats. Iran. J. Diabetes Obes. 2019, 11, 28–37. [Google Scholar]
- Gokhin, D.S.; Tierney, M.T.; Sui, Z.; Sacco, A.; Fowler, V.M. Calpain-Mediated Proteolysis of Tropomodulin Isoforms Leads to Thin Filament Elongation in Dystrophic Skeletal Muscle. Mol. Biol. Cell 2014, 25, 852–865. [Google Scholar] [CrossRef]
- Stobdan, T.; Jain, P.P.; Xiong, M.; Bafna, V.; Yuan, J.X.J.; Haddad, G.G. Heterozygous Tropomodulin 3 Mice Have Improved Lung Vascularization after Chronic Hypoxia. Hum. Mol. Genet. 2022, 31, 1130–1140. [Google Scholar] [CrossRef]
- Liu, S.; Han, W.; Jiang, S.; Zhao, C.; Wu, C. Integrative Transcriptomics and Proteomics Analysis of Longissimus Dorsi Muscles of Canadian Double-Muscled Large White Pigs. Gene 2016, 577, 14–23. [Google Scholar] [CrossRef] [PubMed]
- Nolte, W.; Thaller, G.; Kuehn, C. Selection Signatures in Four German Warmblood Horse Breeds: Tracing Breeding History in the Modern Sport Horse. PLoS ONE 2019, 14, e0215913. [Google Scholar] [CrossRef] [PubMed]
- Sani, M.B.; Roudbari, Z.; Karimi, O.; Banabazi, M.H.; Esmaeilkhanian, S.; Asadzadeh, N.; Zare Harofte, J.; Shafei Naderi, A.; Burger, P.A. Gene-Set Enrichment Analysis for Identifying Genes and Biological Activities Associated with Growth Traits in Dromedaries. Animals 2022, 12, 184. [Google Scholar] [CrossRef] [PubMed]
- Acosta-Baena, N.; Tejada-Moreno, J.A.; Arcos-Burgos, M.; Villegas-Lanau, C.A. CTBP1 and CTBP2 Mutations Underpinning Neurological Disorders: A Systematic Review. Neurogenetics 2022, 23, 231–240. [Google Scholar] [CrossRef]
- Kovi, R.C.; Paliwal, S.; Pande, S.; Grossman, S.R. An ARF/CtBP2 Complex Regulates BH3-Only Gene Expression and P53-Independent Apoptosis. Cell Death Differ. 2010, 17, 513–521. [Google Scholar] [CrossRef]
- Mengistie, D.; Suk Kim, K.; Samuel, B. Genome-Wide Signature of Positive Selection in Ethiopian Indigenous and European Beef Cattle Breeds. Res. Sq. 2022, 29, 200151. [Google Scholar] [CrossRef]
- Van Hateren, N.; Shenton, T.; Borycki, A.G. Expression of Avian C-Terminal Binding Proteins (Ctbp1 and Ctbp2) during Embryonic Development. Dev. Dyn. 2006, 235, 490–495. [Google Scholar] [CrossRef]
- Ponsuksili, S.; Murani, E.; Phatsara, C.; Schwerin, M.; Schellander, K.; Wimmers, K. Porcine Muscle Sensory Attributes Associate with Major Changes in Gene Networks Involving CAPZB, ANKRD1, and CTBP2. Funct. Integr. Genom. 2009, 9, 455–471. [Google Scholar] [CrossRef]
- Chen, Z.; Dong, W.H.; Qiu, Z.M.; Li, Q.G. The Monocyte-Derived Exosomal CLMAT3 Activates the CtBP2-P300-NF-ΚB Transcriptional Complex to Induce Proinflammatory Cytokines in ALI. Mol. Ther. Nucleic Acids 2020, 21, 1100–1110. [Google Scholar] [CrossRef]
- Wang, J.; Lee, S.; Teh, C.E.Y.; Bunting, K.; Ma, L.; Shannon, M.F. The Transcription Repressor, ZEB1, Cooperates with CtBP2 and HDAC1 to Suppress IL-2 Gene Activation in T Cells. Int. Immunol. 2009, 21, 227–235. [Google Scholar] [CrossRef]
- Cochran, S.D.; Cole, J.B.; Null, D.J.; Hansen, P.J. Discovery of Single Nucleotide Polymorphisms in Candidate Genes Associated with Fertility and Production Traits in Holstein Cattle. BMC Genet. 2013, 14, 49. [Google Scholar] [CrossRef] [PubMed]
- Liu, A.; Wang, Y.; Sahana, G.; Zhang, Q.; Liu, L.; Lund, M.S.; Su, G. Genome-Wide Association Studies for Female Fertility Traits in Chinese and Nordic Holsteins. Sci. Rep. 2017, 7, 8487. [Google Scholar] [CrossRef] [PubMed]
- Valdez-Torres, J.M.; Ahuir, J.A.G.; Castro-Valenzuela, B.E.; Eduviges Burrola-Barraza, M. QTL Analysis Associated to Single Nucleotide Polymorphisms (SNP) Involved in the Dairy Phenotype of Holstein Cattle. Rev. Mex. Cienc. Pecu. 2021, 11, 1192–1207. [Google Scholar] [CrossRef]
- Vijayakumar, P.; Bakyaraj, S.; Singaravadivelan, A.; Vasanthakumar, T.; Suresh Vijayakumar, R.P.; Singaravadivelan, A.; Vasanthakumar, T.; Suresh Veterinary, R.; Bakyaraj, S. Meta-Analysis of Mammary RNA Seq Datasets Reveals the Molecular Understanding of Bovine Lactation Biology. Genome 2019, 62, 489–501. [Google Scholar] [CrossRef] [PubMed]
- Kolbehdari, D.; Wang, Z.; Grant, J.R.; Murdoch, B.; Prasad, A.; Xiu, Z.; Marques, E.; Stothard, P.; Moore, S.S. A Whole-Genome Scan to Map Quantitative Trait Loci for Conformation and Functional Traits in Canadian Holstein Bulls. J. Dairy Sci. 2008, 91, 2844–2856. [Google Scholar] [CrossRef]
- Jahuey-Martínez, F.J.; Parra-Bracamonte, G.M.; Sifuentes-Rincón, A.M.; Martínez-González, J.C.; Gondro; García-Pérez, C.A.; López-Bustamante, L.A. Genomewide Association Analysis of Growth Traits in Charolais Beef Cattle. J. Anim. Sci. 2016, 94, 4570–4582. [Google Scholar] [CrossRef]
- Martínez-Rocha, R.; Hidalgo, J.; Cesarani, A.; Ramírez-Valverde, R.; Núñez-Domínguez, R.; García-Muñiz, J.G.; Domínguez-Viveros, J. Assessment of Genetic Diversity, Runs of Homozygosity, and Signatures of Selection in Tropical Milking Criollo Cattle Using Pedigree and Genomic Data. Genes 2022, 13, 1896. [Google Scholar] [CrossRef]
- Makalowska, I.; Lin, C.F.; Makalowski, W. Overlapping Genes in Vertebrate Genomes. Comput. Biol. Chem. 2005, 29, 1–12. [Google Scholar] [CrossRef] [PubMed]
- Shahzad, K.; Akbar, H.; Vailati-Riboni, M.; Basiricò, L.; Morera, P.; Rodriguez-Zas, S.L.; Nardone, A.; Bernabucci, U.; Loor, J.J. The Effect of Calving in the Summer on the Hepatic Transcriptome of Holstein Cows during the Peripartal Period. J. Dairy Sci. 2015, 98, 5401–5413. [Google Scholar] [CrossRef]
- Liu, G.; Wang, L.; Wess, J.; Dean, A. Enhancer Looping Protein LDB1 Regulates Hepatocyte Gene Expression by Cooperating with Liver Transcription Factors. Nucleic Acids Res. 2022, 50, 9195–9211. [Google Scholar] [CrossRef]
- Wathes, D.C.; Cheng, Z.; Salavati, M.; Buggiotti, L.; Takeda, H.; Tang, L.; Becker, F.; Ingvartsen, K.I.; Ferris, C.; Hostens, M.; et al. Relationships between Metabolic Profiles and Gene Expression in Liver and Leukocytes of Dairy Cows in Early Lactation. J. Dairy Sci. 2021, 104, 3596–3616. [Google Scholar] [CrossRef] [PubMed]
- Linke, V.; Overmyer, K.A.; Miller, I.J.; Brademan, D.R.; Hutchins, P.D.; Trujillo, E.A.; Reddy, T.R.; Russell, J.D.; Cushing, E.M.; Schueler, K.L.; et al. A Large-Scale Genome–Lipid Association Map Guides Lipid Identification. Nat. Metab. 2020, 2, 1149–1162. [Google Scholar] [CrossRef] [PubMed]
- Ghoreishifar, S.M.; Eriksson, S.; Johansson, A.M.; Khansefid, M.; Moghaddaszadeh-Ahrabi, S.; Parna, N.; Davoudi, P.; Javanmard, A. Signatures of Selection Reveal Candidate Genes Involved in Economic Traits and Cold Acclimation in Five Swedish Cattle Breeds. Genet. Sel. Evol. 2020, 52, 52. [Google Scholar] [CrossRef]
- Igoshin, A.V.; Yudin, N.S.; Belonogova, N.M.; Larkin, D.M. Genome-Wide Association Study for Body Weight in Cattle Populations from Siberia. Anim. Genet. 2019, 50, 250–253. [Google Scholar] [CrossRef] [PubMed]
- Hatzirodos, N.; Hummitzsch, K.; Irving-Rodgers, H.F.; Breen, J.; Perry, V.E.A.; Anderson, R.A.; Rodgers, R.J. Transcript Abundance of Stromal and Thecal Cell Related Genes during Bovine Ovarian Development. PLoS ONE 2019, 14, e0213575. [Google Scholar] [CrossRef]
- Kong, D.; He, M.; Yang, L.; Zhou, R.; Yan, Y.Q.; Liang, Y.; Teng, C.B. MiR-17 and MiR-19 Cooperatively Promote Skeletal Muscle Cell Differentiation. Cell. Mol. Life Sci. 2019, 76, 5041–5054. [Google Scholar] [CrossRef] [PubMed]
- Yoshioka, S.; Abe, H.; Sakumoto, R.; Okuda, K. Proliferation of Luteal Steroidogenic Cells in Cattle. PLoS ONE 2013, 8, e84186. [Google Scholar] [CrossRef]
- Aglan, H.S.; Gebremedhn, S.; Salilew-Wondim, D.; Neuhof, C.; Tholen, E.; Holker, M.; Schellander, K.; Tesfaye, D. Regulation of Nrf2 and NF-ΚB during Lead Toxicity in Bovine Granulosa Cells. Cell Tissue Res. 2020, 380, 643–655. [Google Scholar] [CrossRef] [PubMed]
- Baddela, V.S.; Sharma, A.; Michaelis, M.; Vanselow, J. HIF1 Driven Transcriptional Activity Regulates Steroidogenesis and Proliferation of Bovine Granulosa Cells. Sci. Rep. 2020, 10, 3906. [Google Scholar] [CrossRef]
- Dias, F.C.F.; Khan, M.I.R.; Sirard, M.A.; Adams, G.P.; Singh, J. Transcriptome Analysis of Granulosa Cells after Conventional vs Long FSH-Induced Superstimulation in Cattle. BMC Genom. 2018, 19, 258. [Google Scholar] [CrossRef]
- Gupta, P.S.P.; Folger, J.K.; Rajput, S.K.; Lv, L.; Yao, J.; Ireland, J.J.; Smith, G.W. Regulation and Regulatory Role of WNT Signaling in Potentiating FSH Action during Bovine Dominant Follicle Selection. PLoS ONE 2014, 9, e100201. [Google Scholar] [CrossRef] [PubMed]
- Sharma, A.; Baddela, V.S.; Roettgen, V.; Vernunft, A.; Viergutz, T.; Dannenberger, D.; Hammon, H.M.; Schoen, J.; Vanselow, J. Effects of Dietary Fatty Acids on Bovine Oocyte Competence and Granulosa Cells. Front. Endocrinol. 2020, 11, 87. [Google Scholar] [CrossRef] [PubMed]
- Wang, W.; Zou, H.; Chen, N.; Tian, Y.; Hao, H.; Pang, Y.; Zhao, X.; Zhu, H.; Yu, D.; Du, W. Knockdown of CLAUDIN-6 Inhibited Apoptosis and Induced Proliferation of Bovine Cumulus Cells. Int. J. Mol. Sci. 2022, 23, 3222. [Google Scholar] [CrossRef] [PubMed]
- Xie, J.; Kalwar, Q.; Yan, P.; Guo, X. Effect of Concentrate Supplementation on the Expression Profile of Mirna in the Ovaries of Yak during Non-Breeding Season. Animals 2020, 10, 1640. [Google Scholar] [CrossRef] [PubMed]
- Yenuganti, V.R.; Viergutz, T.; Vanselow, J. Oleic Acid Induces Specific Alterations in the Morphology, Gene Expression and Steroid Hormone Production of Cultured Bovine Granulosa Cells. Gen. Comp. Endocrinol. 2016, 232, 134–144. [Google Scholar] [CrossRef]
- Wei, Y.; Cui, Y.F.; Tong, H.L.; Zhang, W.W.; Yan, Y.Q. MicroRNA-2400 Promotes Bovine Preadipocyte Proliferation. Biochem. Biophys. Res. Commun. 2016, 478, 1054–1059. [Google Scholar] [CrossRef]
- Du, J.; Zhao, H.; Song, G.; Pang, Y.; Jiang, L.; Zan, L.; Wang, H. Overexpression of Cholinergic Receptor Nicotinic Gamma Subunit Inhibits Proliferation and Differentiation of Bovine Preadipocytes. Anim. Biosci. 2023, 36, 200–208. [Google Scholar] [CrossRef]
- Zhou, D.; Wang, Y.; Yang, R.; Wang, F.; Zhao, Z.; Wang, X.; Xie, L.; Tian, X.; Wang, G.; Li, B.; et al. The MyoD1 Promoted Muscle Differentiation and Generation by Activating CCND2 in Guanling Cattle. Animals 2022, 12, 2571. [Google Scholar] [CrossRef]
- Jiang, J.; Cole, J.B.; Freebern, E.; Da, Y.; VanRaden, P.M.; Ma, L. Functional Annotation and Bayesian Fine-Mapping Reveals Candidate Genes for Important Agronomic Traits in Holstein Bulls. Commun. Biol. 2019, 2, 212. [Google Scholar] [CrossRef]
- An, B.; Xia, J.; Chang, T.; Wang, X.; Xu, L.; Zhang, L.; Gao, X.; Chen, Y.; Li, J.; Gao, H. Genome-Wide Association Study Reveals Candidate Genes Associated with Body Measurement Traits in Chinese Wagyu Beef Cattle. Anim. Genet. 2019, 50, 386–390. [Google Scholar] [CrossRef]
- Fang, L.; Cai, W.; Liu, S.; Canela-Xandri, O.; Gao, Y.; Jiang, J.; Rawlik, K.; Li, B.; Schroeder, S.G.; Rosen, B.D.; et al. Comprehensive Analyses of 723 Transcriptomes Enhance Genetic and Biological Interpretations for Complex Traits in Cattle. Genome Res. 2020, 30, 790–801. [Google Scholar] [CrossRef] [PubMed]
- Randell, A.; Daneshtalab, N. Elastin Microfibril Interface–Located Protein 1, Transforming Growth Factor Beta, and Implications on Cardiovascular Complications. J. Am. Soc. Hypertens. 2017, 11, 437–448. [Google Scholar] [CrossRef] [PubMed]
- Bot, S.; Andreuzzi, E.; Capuano, A.; Schiavinato, A.; Colombatti, A.; Doliana, R. Multiple-Interactions among EMILIN1 and EMILIN2 N- and C-Terminal Domains. Matrix Biol. 2015, 41, 44–55. [Google Scholar] [CrossRef]
- Capuano, A.; Bucciotti, F.; Farwell, K.D.; Tippin Davis, B.; Mroske, C.; Hulick, P.J.; Weissman, S.M.; Gao, Q.; Spessotto, P.; Colombatti, A.; et al. Diagnostic Exome Sequencing Identifies a Novel Gene, EMILIN1, Associated with Autosomal-Dominant Hereditary Connective Tissue Disease. Hum. Mutat. 2016, 37, 84–97. [Google Scholar] [CrossRef]
- Minuti, A.; Jahan, N.; Lopreiato, V.; Piccioli-Cappelli, F.; Bomba, L.; Capomaccio, S.; Loor, J.J.; Ajmone-Marsan, P.; Trevisi, E. Evaluation of Circulating Leukocyte Transcriptome and Its Relationship with Immune Function and Blood Markers in Dairy Cows during the Transition Period. Funct. Integr. Genom. 2020, 20, 293–305. [Google Scholar] [CrossRef]
- Pinto De Melo, T.; De Camargo, G.M.F.; De Albuquerque, L.G.; Carvalheiro, R. Genome-Wide Association Study Provides Strong Evidence of Genes Affecting the Reproductive Performance of Nellore Beef Cows. PLoS ONE 2017, 12, e0178551. [Google Scholar] [CrossRef]
- Yin, T.; König, S. Genome-Wide Associations and Detection of Potential Candidate Genes for Direct Genetic and Maternal Genetic Effects Influencing Dairy Cattle Body Weight at Different Ages. Genet. Sel. Evol. 2019, 51, 4. [Google Scholar] [CrossRef]
- Lindberg, K.; Olauson, H.; Amin, R.; Ponnusamy, A.; Goetz, R.; Taylor, R.F.; Mohammadi, M.; Canfield, A.; Kublickiene, K.; Larsson, T.E. Arterial Klotho Expression and FGF23 Effects on Vascular Calcification and Function. PLoS ONE 2013, 8, e60658. [Google Scholar] [CrossRef]
- Mattinzoli, D.; Rastaldi, M.P.; Ikehata, M.; Armelloni, S.; Pignatari, C.; Giardino, L.A.; Li, M.; Alfieri, C.M.; Regalia, A.; Riccardi, D.; et al. FGF23-Regulated Production of Fetuin-A (AHSG) in Osteocytes. Bone 2016, 83, 35–47. [Google Scholar] [CrossRef]
- Blau, J.E.; Collins, M.T. The PTH-Vitamin D-FGF23 Axis. Rev. Endocr. Metab. Disord. 2015, 16, 165–174. [Google Scholar] [CrossRef]
- Imel, E.A.; Biggin, A.; Schindeler, A.; Munns, C.F. FGF23, Hypophosphatemia, and Emerging Treatments. JBMR Plus 2019, 3, e10190. [Google Scholar] [CrossRef] [PubMed]
- Kinoshita, Y.; Fukumoto, S. X-Linked Hypophosphatemia and FGF23-Related Hypophosphatemic Diseases: Prospect for New Treatment. Endocr. Rev. 2018, 39, 274–291. [Google Scholar] [CrossRef] [PubMed]
- Onal, M.; Carlson, A.H.; Thostenson, J.D.; Benkusky, N.A.; Meyer, M.B.; Lee, S.M.; Pike, J.W. A Novel Distal Enhancer Mediates Inflammation-, PTH-, and Early Onset Murine Kidney Disease-Induced Expression of the Mouse Fgf23 Gene. JBMR Plus 2018, 2, 31–46. [Google Scholar] [CrossRef] [PubMed]
- Bernard, C.; Cassar-Malek, I.; Renand, G.; Hocquette, J.F. Changes in Muscle Gene Expression Related to Metabolism According to Growth Potential in Young Bulls. Meat Sci. 2009, 82, 205–212. [Google Scholar] [CrossRef]
- Shamsi, F.; Xue, R.; Huang, T.L.; Lundh, M.; Liu, Y.; Leiria, L.O.; Lynes, M.D.; Kempf, E.; Wang, C.H.; Sugimoto, S.; et al. FGF6 and FGF9 Regulate UCP1 Expression Independent of Brown Adipogenesis. Nat. Commun. 2020, 11, 1421. [Google Scholar] [CrossRef] [PubMed]
- Cooke, F.N.T.; Pennington, K.A.; Yang, Q.; Ealy, A.D. Several Fibroblast Growth Factors Are Expressed during Pre-Attachment Bovine Conceptus Development and Regulate Interferon-Tau Expression from Trophectoderm. Reproduction 2009, 137, 259–269. [Google Scholar] [CrossRef] [PubMed]
- Campos, C.; Valente, L.M.P.; Borges, P.; Bizuayehu, T.; Fernandes, J.M.O. Dietary Lipid Levels Have a Remarkable Impact on the Expression of Growth-Related Genes in Senegalese Sole (Solea senegalensis Kaup). J. Exp. Biol. 2010, 213, 200–209. [Google Scholar] [CrossRef]
- Xu, Y.; Tan, Q.; Hu, P.; Yao, J. Characterization and Expression Analysis of FGF6 (Fibroblast Growth Factor 6) Genes of Grass Carp (Ctenopharyngodon idellus) Reveal Their Regulation on Muscle Growth. Fish Physiol. Biochem. 2019, 45, 1649–1662. [Google Scholar] [CrossRef]
- Armand, A.S.; Laziz, I.; Chanoine, C. FGF6 in Myogenesis. Biochim. Biophys. Acta Mol. Cell Res. 2006, 1763, 773–778. [Google Scholar] [CrossRef]
- Laziz, I.; Armand, A.S.; Pariset, C.; Lecolle, S.; Della Gaspera, B.; Charbonnier, F.; Chanoine, C. Sprouty Gene Expression Is Regulated by Nerve and FGF6 during Regeneration of Mouse Muscles. Growth Factors 2007, 25, 151–159. [Google Scholar] [CrossRef]
- Fortes, M.R.S.; Reverter, A.; Kelly, M.; Mcculloch, R.; Lehnert, S.A. Genome-Wide Association Study for Inhibin, Luteinizing Hormone, Insulin-like Growth Factor 1, Testicular Size and Semen Traits in Bovine Species. Andrology 2013, 1, 644–650. [Google Scholar] [CrossRef] [PubMed]
- Hazeslip, L.; Zafar, M.K.; Chauhan, M.Z.; Byrd, A.K. Genome Maintenance by DNA Helicase B. Genes 2020, 11, 578. [Google Scholar] [CrossRef] [PubMed]
- Sun, L.; Qu, K.; Ma, X.; Hanif, Q.; Zhang, J.; Liu, J.; Chen, N.; Suolang, Q.; Lei, C.; Huang, B. Whole-Genome Analyses Reveal Genomic Characteristics and Selection Signatures of Lincang Humped Cattle at the China–Myanmar Border. Front. Genet. 2022, 13, 833503. [Google Scholar] [CrossRef] [PubMed]
- Maiorano, A.M.; Cardoso, D.F.; Carvalheiro, R.; Júnior, G.A.F.; de Albuquerque, L.G.; de Oliveira, H.N. Signatures of Selection in Nelore Cattle Revealed by Whole-Genome Sequencing Data. Genomics 2022, 114, 110304. [Google Scholar] [CrossRef] [PubMed]
- Melnik, B.C.; Schmitz, G. Milk Exosomal MicroRNAs: Postnatal Promoters of β Cell Proliferation but Potential Inducers of β Cell De-Differentiation in Adult Life. Int. J. Mol. Sci. 2022, 23, 11503. [Google Scholar] [CrossRef]
- Nair, R.; Gupta, P.; Shanmugam, M. Mitochondrial Metabolic Determinants of Multiple Myeloma Growth, Survival, and Therapy Efficacy. Front. Oncol. 2022, 12, 1000106. [Google Scholar] [CrossRef]
- Saatchi, M.; Schnabel, R.D.; Taylor, J.F.; Garrick, D.J. Large-Effect Pleiotropic or Closely Linked QTL Segregate within and across Ten US Cattle Breeds. BMC Genom. 2014, 15, 442. [Google Scholar] [CrossRef]
- Kim, S.J.; Ka, S.; Ha, J.W.; Kim, J.; Yoo, D.A.; Kim, K.; Lee, H.K.; Lim, D.; Cho, S.; Hanotte, O.; et al. Cattle Genome-Wide Analysis Reveals Genetic Signatures in Trypanotolerant N’Dama. BMC Genom. 2017, 18, 371. [Google Scholar] [CrossRef]
- Bensaad, K.; Cheung, E.C.; Vousden, K.H. Modulation of Intracellular ROS Levels by TIGAR Controls Autophagy. EMBO J. 2009, 28, 3015–3026. [Google Scholar] [CrossRef]
- Tang, J.; Chen, L.; Qin, Z.-H.; Sheng, R. Structure, Regulation, and Biological Functions of TIGAR and Its Role in Diseases. Acta Pharmacol. Sin. 2021, 42, 1547–1555. [Google Scholar] [CrossRef]
- Marete, A.; Sahana, G.; Fritz, S.; Lefebvre, R.; Barbat, A.; Lund, M.S.; Guldbrandtsen, B.; Boichard, D. Genome-Wide Association Study for Milking Speed in French Holstein Cows. J. Dairy Sci. 2018, 101, 6205–6219. [Google Scholar] [CrossRef] [PubMed]
- Simon-Molas, H.; Sánchez-De-Diego, C.; Navarro-Sabaté, À.; Castaño, E.; Ventura, F.; Bartrons, R.; Manzano, A. The Expression of TP53-Induced Glycolysis and Apoptosis Regulator (TIGAR) Can Be Controlled by the Antioxidant Orchestrator NRF2 in Human Carcinoma Cells. Int. J. Mol. Sci. 2022, 23, 1905. [Google Scholar] [CrossRef] [PubMed]
- Chebii, V.J.; Mpolya, E.A.; Muchadeyi, F.C.; Entfellner, J.B.D. Genomics of Adaptations in Ungulates. Animals 2021, 11, 1617. [Google Scholar] [CrossRef] [PubMed]
- Wang, Y.; Ji, N.; Wang, J.; Cao, J.; Li, D.; Zhang, Y.; Zhang, L. SCG3 Protein Expression in Glioma Associates with Less Malignancy and Favorable Clinical Outcomes. Pathol. Oncol. Res. 2021, 27, 594931. [Google Scholar] [CrossRef] [PubMed]
- Dai, C.; Tian, H.; Bhatt, A.; Su, G.; Webster, K.A.; Li, W. Safety and Efficacy of Systemic Anti-Scg3 Therapy to Treat Oxygen-Induced Retinopathy. Front. Biosci.-Landmark 2022, 27, 130. [Google Scholar] [CrossRef]
- Tanabe, A.; Yanagiya, T.; Iida, A.; Saito, S.; Sekine, A.; Takahashi, A.; Nakamura, T.; Tsunoda, T.; Kamohara, S.; Nakata, Y.; et al. Functional Single-Nucleotide Polymorphisms in the Secretogranin III (SCG3) Gene That Form Secretory Granules with Appetite-Related Neuropeptides Are Associated with Obesity. J. Clin. Endocrinol. Metab. 2007, 92, 1145–1154. [Google Scholar] [CrossRef]
- Dias, M.M.; Cánovas, A.; Mantilla-Rojas, C.; Riley, D.G.; Luna-Nevarez, P.; Coleman, S.J.; Speidel, S.E.; Enns, R.M.; Islas-Trejo, A.; Medrano, J.F.; et al. SNP Detection Using RNA-Sequences of Candidate Genes Associated with Puberty in Cattle. Genet. Mol. Res. 2017, 16, gmr16019522. [Google Scholar] [CrossRef]
- Keogh, K.; Kenny, D.A. Gene Co-Expression Networks Contributing to Reproductive Development in Holstein-Friesian Bull Calves. Animal 2022, 16, 100527. [Google Scholar] [CrossRef]
- Sánchez, J.M.; Keogh, K.; Kelly, A.K.; Byrne, C.J.; Lonergan, P.; Kenny, D.A. A High Plane of Nutrition during Early Life Alters the Hypothalamic Transcriptome of Heifer Calves. Sci. Rep. 2021, 11, 13978. [Google Scholar] [CrossRef]
- Lin, S.; Fang, L.; Kang, X.; Liu, S.; Liu, M.; Connor, E.E.; Baldwin, R.L.; Liu, G.; Li, C.J. Establishment and Transcriptomic Analyses of a Cattle Rumen Epithelial Primary Cells (REPC) Culture by Bulk and Single-Cell RNA Sequencing to Elucidate Interactions of Butyrate and Rumen Development. Heliyon 2020, 6, e04112. [Google Scholar] [CrossRef]
- Kano, C.; Hanaoka, F.; Wang, J.Y. Analysis of Mice Deficient in Both REV1 Catalytic Activity and POLH Reveals an Unexpected Role for POLH in the Generation of C to g and G to C Transversions during Ig Gene Hypermutation. Int. Immunol. 2012, 24, 169–174. [Google Scholar] [CrossRef] [PubMed]
- Masuda, K.; Ouchida, R.; Hikida, M.; Kurosaki, T.; Yokoi, M.; Masutani, C.; Seki, M.; Wood, R.D.; Hanaoka, F.; O-Wang, J. DNA Polymerases η and θ Function in the Same Genetic Pathway to Generate Mutations at A/T during Somatic Hypermutation of Ig Genes. J. Biol. Chem. 2007, 282, 17387–17394. [Google Scholar] [CrossRef]
- Roerink, S.F.; Koole, W.; Stapel, L.C.; Romeijn, R.J.; Tijsterman, M. A Broad Requirement for TLS Polymerases η and κ, and Interacting Sumoylation and Nuclear Pore Proteins, in Lesion Bypass during C. Elegans Embryogenesis. PLoS Genet. 2012, 8, e1002800. [Google Scholar] [CrossRef] [PubMed]
- Giotti, B.; Chen, S.H.; Barnett, M.W.; Regan, T.; Ly, T.; Wiemann, S.; Hume, D.A.; Freeman, T.C. Assembly of a Parts List of the Human Mitotic Cell Cycle Machinery. J. Mol. Cell Biol. 2019, 11, 703–718. [Google Scholar] [CrossRef] [PubMed]
- Diepeveen, E.T.; Roth, O.; Salzburger, W. Immune-Related Functions of the Hivep Gene Family in East African Cichlid Fishes. G3 Genes. Genomes Genet. 2013, 3, 2205–2217. [Google Scholar] [CrossRef][Green Version]
- Dürr, U.; Henningfeld, K.A.; Hollemann, T.; Knöchel, W.; Pieler, T. Isolation and Characterization of the Xenopus HIVEP Gene Family. Eur. J. Biochem. 2004, 271, 1135–1144. [Google Scholar] [CrossRef] [PubMed]
- Zare, Y.; Shook, G.E.; Collins, M.T.; Kirkpatrick, B.W. Genome-Wide Association Analysis and Genomic Prediction of Mycobacterium Avium Subspecies Paratuberculosis Infection in US Jersey Cattle. PLoS ONE 2014, 9, e88380. [Google Scholar] [CrossRef] [PubMed]
- Palombo, V.; D’Andrea, M.; Licastro, D.; Monego, S.D.; Sgorlon, S.; Sandri, M.; Stefanon, B. Single-Step Genome Wide Association Study Identifies Qtl Signals for Untrimmed and Trimmed Thigh Weight in Italian Crossbred Pigs for Dry-Cured Ham Production. Animals 2021, 11, 1612. [Google Scholar] [CrossRef]
- Kang, H.-C.; Kim, H.-S.; Lee, J.-B.; Yoo, C.-K.; Choi, T.-J.; Lim, H.-T. Analysis of the Relationship between the End Weight Trait and the Gene ADGRL2 in Purebred Landrace Pigs Using a Genome-Wide Association Study. Korean J. Agric. Sci. 2018, 45, 238–247. [Google Scholar] [CrossRef]
- Lagou, V.; Garcia-Perez, J.E.; Smets, I.; Van Horebeek, L.; Vandebergh, M.; Chen, L.; Mallants, K.; Prezzemolo, T.; Hilven, K.; Humblet-Baron, S.; et al. Genetic Architecture of Adaptive Immune System Identifies Key Immune Regulators. Cell Rep. 2018, 25, 798–810.e6. [Google Scholar] [CrossRef]
- Ueda, S.; Hosoda, M.; Yoshino, K.-I.; Yamanoue, M.; Shirai, Y. Gene Expression Analysis Provides New Insights into the Mechanism of Intramuscular Fat Formation in Japanese Black Cattle. Genes 2021, 12, 1107. [Google Scholar] [CrossRef] [PubMed]
- Meuwissen, M.E.C.; Halley, D.J.J.; Smit, L.S.; Lequin, M.H.; Cobben, J.M.; De Coo, R.; Van Harssel, J.; Sallevelt, S.; Woldringh, G.; Van Der Knaap, M.S.; et al. The Expanding Phenotype of COL4A1 and COL4A2 Mutations: Clinical Data on 13 Newly Identified Families and a Review of the Literature. Genet. Med. 2015, 17, 843–853. [Google Scholar] [CrossRef]
- Pollner, R.; Schmidt, C.; Fischer, G.; Kühn, K.; Pöschl, E. Cooperative and Competitive Interactions of Regulatory Elements Are Involved in the Control of Divergent Transcription of Human Col4Al and Col4A2 Genes. FEBS Lett. 1997, 405, 31–36. [Google Scholar] [CrossRef] [PubMed]
- Kuo, D.S.; Labelle-Dumais, C.; Gould, D.B. Col4a1 and Col4a2 Mutations and Disease: Insights into Pathogenic Mechanisms and Potential Therapeutic Targets. Hum. Mol. Genet. 2012, 21, R97–R110. [Google Scholar] [CrossRef]
- Suárez-Vega, A.; Gutiérrez-Gil, B.; Klopp, C.; Robert-Granie, C.; Tosser-Klopp, G.; Arranz, J.J. Characterization and Comparative Analysis of the Milk Transcriptome in Two Dairy Sheep Breeds Using RNA Sequencing. Sci. Rep. 2015, 5, 18399. [Google Scholar] [CrossRef]
- Dai, W.; Chen, Q.; Wang, Q.; White, R.R.; Liu, J.; Liu, H. Complementary Transcriptomic and Proteomic Analyses Reveal Regulatory Mechanisms of Milk Protein Production in Dairy Cows Consuming Different Forages. Sci. Rep. 2017, 7, 44234. [Google Scholar] [CrossRef] [PubMed]
- Dai, W.; Wang, Q.; Zhao, F.; Liu, J.; Liu, H. Understanding the Regulatory Mechanisms of Milk Production Using Integrative Transcriptomic and Proteomic Analyses: Improving Inefficient Utilization of Crop by-Products as Forage in Dairy Industry. BMC Genom. 2018, 19, 403. [Google Scholar] [CrossRef]
- Bai, Y.; Li, X.; Chen, Z.; Li, J.; Tian, H.; Ma, Y.; Raza, S.H.A.; Shi, B.; Han, X.; Luo, Y.; et al. Interference with ACSL1 Gene in Bovine Adipocytes: Transcriptome Profiling of MRNA and LncRNA Related to Unsaturated Fatty Acid Synthesis. Front. Vet. Sci. 2021, 8, 788316. [Google Scholar] [CrossRef]
- Liu, R.; Liu, X.; Bai, X.; Xiao, C.; Dong, Y. Different Expression of Lipid Metabolism-Related Genes in Shandong Black Cattle and Luxi Cattle Based on Transcriptome Analysis. Sci. Rep. 2020, 10, 21915. [Google Scholar] [CrossRef]
- Bryckaert, M.; Guillonneau, X.; Hecquet, C.; Perani, P.; Courtois, Y.; Mascarelli, F. Regulation of Proliferation-Survival Decisions Is Controlled by FGF1 Secretion in Retinal Pigmented Epithelial Cells. Oncogene 2000, 19, 4917–4929. [Google Scholar] [CrossRef][Green Version]
- Hsu, Y.C.; Kao, C.Y.; Chung, Y.F.; Chen, M.S.; Chiu, I.M. Ciliogenic RFX Transcription Factors Regulate Fgf1 Gene Promoter. J. Cell Biochem. 2012, 113, 2511–2522. [Google Scholar] [CrossRef]
- Uchida, S.; Teubner, B.J.W.; Hevi, C.; Hara, K.; Kobayashi, A.; Dave, R.M.; Shintaku, T.; Jaikhan, P.; Yamagata, H.; Suzuki, T.; et al. CRTC1 Nuclear Translocation Following Learning Modulates Memory Strength via Exchange of Chromatin Remodeling Complexes on the Fgf1 Gene. Cell Rep. 2017, 18, 352–366. [Google Scholar] [CrossRef]
- Butt, C.; Lim, S.; Greenwood, C.; Rahman, P. VEGF, FGF1, FGF2 and EGF Gene Polymorphisms and Psoriatic Arthritis. BMC Musculoskelet. Disord. 2007, 8, 1. [Google Scholar] [CrossRef] [PubMed]
- Einspanier, R.; Kettler, A.; Gabler, C.; Kloas, W.; Einspanier, A.; Schams, D. The Mammalian Oviduct: Aspects on Auto-and Paracrine Mechanisms. Reprod. Domest. Anim. 2000, 35, 125–128. [Google Scholar] [CrossRef]
- Han, P.; Guerrero-Netro, H.; Estienne, A.; Cao, B.; Price, C.A. Regulation and Action of Early Growth Response 1 in Bovine Granulosa Cells. Reproduction 2017, 154, 547–557. [Google Scholar] [CrossRef] [PubMed]
- Herzog, K.; Debertolis, L.; Kastelic, J.P.; Schmicke, M.; Ulbrich, S.E.; Bollwein, H. Effects of Intravenous Infusion of E. Coli Lipopolysaccharide in Early Pregnant Cows. Reproduction 2019, 157, 65–76. [Google Scholar] [CrossRef] [PubMed]
- Jiang, Z.; Price, C.A. Differential Actions of Fibroblast Growth Factors on Intracellular Pathways and Target Gene Expression in Bovine Ovarian Granulose Cells. Reproduction 2012, 144, 625–632. [Google Scholar] [CrossRef]
- Pfarrer, C.; Weise, S.; Berisha, B.; Schams, D.; Leiser, R.; Hoffmann, B.; Schuler, G. Fibroblast Growth Factor (FGF)-1, FGF2, FGF7 and FGF Receptors Are Uniformly Expressed in Trophoblast Giant Cells during Restricted Trophoblast Invasion in Cows. Placenta 2006, 27, 758–770. [Google Scholar] [CrossRef]
- Zhou, Y.; Ren, L.; Zhu, J.; Yan, S.; Wang, H.; Song, N.; Li, L.; Ouyang, H.; Pang, D. Construction of a Recombinant Human FGF1 Expression Vector for Mammary Gland-Specific Expression in Human Breast Cancer Cells. Mol. Cell Biochem. 2011, 354, 39–46. [Google Scholar] [CrossRef]
- Bergfelder-Drüing, S.; Grosse-Brinkhaus, C.; Lind, B.; Erbe, M.; Schellander, K.; Simianer, H.; Tholen, E. A Genome-Wide Association Study in Large White and Landrace Pig Populations for Number Piglets Born Alive. PLoS ONE 2015, 10, e0117468. [Google Scholar] [CrossRef]
- Picking, E.M.; Trubenbach, L.A.B.F.W.; Sawyer, J.E.; Wickersham, T.A.; Satterfield, M. Carey Technical Note: Relationship between Placentome Location and Gene Expression in Bovine Pregnancy. J. Anim. Sci. 2020, 98, skaa176. [Google Scholar] [CrossRef] [PubMed]
- Rotta, P.P.; Valadares Filho, S.C.; Gionbelli, T.R.S.; Costa e Silva, L.F.; Engle, T.E.; Marcondes, M.I.; Guimarães, S.E.F.; Nascimento, C.S.; Carvalho, B.C.; Silva, F.A.S.; et al. Effects of Day of Gestation and Feeding Regimen in Holstein × Gyr Cows: III. Placental Adaptations and Placentome Gene Expression. J. Dairy Sci. 2015, 98, 3224–3235. [Google Scholar] [CrossRef]
- Saǧsöz, H.; Saruhan, B.G. The Expression of Vascular Endothelial Growth Factor and Its Receptors (Flt1/Fms, Flk1/KDR, Flt4) and Vascular Endothelial Growth Inhibitor in the Bovine Uterus during the Sexual Cycle and Their Correlation with Serum Sex Steroids. Theriogenology 2011, 75, 1720–1734. [Google Scholar] [CrossRef] [PubMed]
- Liu, D.; Chen, Z.; Zhao, W.; Guo, L.; Sun, H.; Zhu, K.; Liu, G.; Shen, X.; Zhao, X.; Wang, Q.; et al. Genome-Wide Selection Signatures Detection in Shanghai Holstein Cattle Population Identified Genes Related to Adaption, Health and Reproduction Traits. BMC Genom. 2021, 22, 747. [Google Scholar] [CrossRef] [PubMed]
- Yin, T.; Halli, K.; König, S. Direct Genetic Effects, Maternal Genetic Effects, and Maternal Genetic Sensitivity on Prenatal Heat Stress for Calf Diseases and Corresponding Genomic Loci in German Holsteins. J. Dairy Sci. 2022, 105, 6795–6808. [Google Scholar] [CrossRef] [PubMed]




| Variable | N | Mean | ±SD | Minimum | Maximum |
|---|---|---|---|---|---|
| FC | 2339 | 101.35 | 3.21 | 89 | 111 |
| DS | 2339 | 100.93 | 2.59 | 88 | 108 |
| Rump | 2339 | 99.05 | 3.57 | 82 | 109 |
| FL | 2339 | 98.93 | 3.11 | 88 | 110 |
| MS | 2339 | 103.87 | 4.36 | 88 | 119 |
| Trait | CHR | Position (bp) | −log10 (p-Value) | Genes (±100 kb) | QTLs |
|---|---|---|---|---|---|
| FC | 10 | 58,643,603 | 8.02 | TMOD2, TMOD3, LYSMD2, SCG3, DMXL2, ENSBTAG00000050593 | - |
| 10 | 58,635,462 | 7.38 | TMOD2, TMOD3, LYMSD2, SCG3, ENSBTAG00000050593 | - | |
| 26 | 44,637,034 | 8.22 | ZRANB1, CTBP2 | 7 | |
| DS | 3 | 63,243,334 | 7.55 | ADGRL2 | - |
| 5 | 112,981,457 | 7.75 | SREBF2, bta-mir-33a, SHISA8, TNFRSF13C, CENPM, ENSBTAG00000050336, SEPTIN3, WBP2NL, NAGA, PHETA2, SMDT1, NDUFA6, MGC127055 | 47 | |
| 11 | 63,571,138 | 8.61 | RAB1A, ACTR2 | 15 | |
| 12 | 31,640,020 | 8.54 | FLT1 | - | |
| 19 | 5,726,386 | 7.54 | MMD | 1 | |
| 22 | 2,988,284 | 7.73 | ZCWPW2 | 2 | |
| 25 | 35,085,041 | 7.46 | CUX1, MYL10 | 7 | |
| Rump | 5 | 47,431,158 | 8.62 | GRIP1, U1, HELB, ENSBTAG00000053419 | 23 |
| 5 | 105,666,159 | 7.72 | RAD51AP1, C5H12orf4, FGF6, FGF23, TIGAR, CCND2 | 27 | |
| 10 | 93,552,272 | 7.60 | ENSBTAG00000050021 | - | |
| 11 | 72,567,462 | 7.82 | TCF23, PRR30, ABHD1, PREB, CGREF1, KHK, EMILIN1, AGBL5, TMEM214, MAPRE3, SNORA62 | 15 | |
| 11 | 63,571,138 | 7.64 | RAB1A, ACTR2 | ||
| 19 | 5,726,386 | 7.77 | MMD | 1 | |
| 22 | 32,355,169 | 7.91 | FRMD4B, LMOD3, ARL6IP5 | 1 | |
| FL | 3 | 63,219,395 | 7.61 | ADGRL2 | - |
| 9 | 7,763,043 | 8.07 | ADGRB3 | 3 | |
| 14 | 61,736,112 | 9.26 | ENSBTAG00000052148, KLF10 | 27 | |
| 22 | 6,375,507 | 8.14 | OSBPL10 | 15 | |
| 23 | 17,018,464 | 7.91 | ZNF318, ABCC10, DLK2, TJAP1, LRRC73, YIPF3, POLR1C, XPO5, POLH | 16 | |
| 23 | 44,473,942 | 7.41 | HIVEP1 | ||
| MS | 7 | 53,622,219 | 7.91 | FGF1, bta-mir-2460, ENSBTAG00000042624 | 5 |
| 11 | 78,083,413 | 7.60 | LDAH | 20 | |
| 12 | 85,218,262 | 7.54 | COL4A2, RAB20, NAXD, CARS2, ING1 | 1 | |
| 28 | 14,058,016 | 9.36 | BICC1 | - |
| Trait | GO | Term | p-Value | Genes |
|---|---|---|---|---|
| FC | GO:0051694 | Pointed-End Actin Filament Capping | 0.002 | TMOD2, TMOD3 |
| GO:0030239 | Myofibril Assembly | 0.003 | TMOD2, TMOD3 | |
| GO:0006936 | Muscle Contraction | 0.013 | TMOD2, TMOD3 | |
| GO:0007015 | Actin Filament Organization | 0.038 | TMOD2, TMOD3 | |
| GO:0005865 | Striated Muscle Thin Filament | 0.002 | TMOD2, TMOD3 | |
| GO:0030016 | Myofibril | 0.005 | TMOD2, TMOD3 | |
| GO:0005856 | Cytoskeleton | 0.074 | TMOD2, TMOD3 | |
| GO:0005523 | Tropomyosin Binding | 0.002 | TMOD2, TMOD3 | |
| Rump | GO:0010628 | Positive Regulation of Gene Expression | 0.006 | EMILIN1, FGF23, FGF6, TCF23 |
| GO:1905168 | Positive Regulation of Double-Strand Break Repair via Homologous Recombination | 0.020 | RAD51AP1, ACTR2 | |
| GO:0045737 | Positive Regulation of Cyclin-Dependent Protein Serine/Threonine Kinase Activity | 0.024 | CCND2, MAPRE3 | |
| GO:0008543 | Fibroblast Growth Factor Receptor Signaling Pathway | 0.050 | FGF23, FGF6 | |
| GO:0008284 | Positive Regulation of Cell Proliferation | 0.059 | CCND2, FGF23, FGF6 | |
| GO:0030154 | Cell Differentiation | 0.083 | FGF23, FGF6, TCF23 | |
| GO:0009887 | Animal Organ Morphogenesis | 0.092 | FGF23, FGF6 | |
| GO:0005737 | Cytoplasm | 0.027 | HELB, FRMD4B, TIGAR, ACTR2, C5H12orf4, CCND2, FGF23, FGF6, KHK | |
| GO:0005856 | Cytoskeleton | 0.040 | ARL6IP5, FRMD4B, LMOD3 | |
| GO:0005881 | Cytoplasmic Microtubule | 0.049 | MAPRE3, TMEM214 | |
| GO:0035861 | Site of Double-Strand Break | 0.067 | HELB, ACTR2 | |
| GO:0005104 | Fibroblast Growth Factor Receptor Binding | 0.022 | FGF23, FGF6 | |
| FL | GO:0016020 | Membrane | 0.021 | ABCC10, ADGRL2, OSBPL10, TJAP1 |
| GO:0005829 | Cytosol | 0.076 | POLH, HIVEP1, XPO5, OSBPL10, ZNF318 | |
| MS | GO:0031012 | Extracellular Matrix | 0.066 | COL4A2, FGF1 |
Disclaimer/Publisher’s Note: The statements, opinions and data contained in all publications are solely those of the individual author(s) and contributor(s) and not of MDPI and/or the editor(s). MDPI and/or the editor(s) disclaim responsibility for any injury to people or property resulting from any ideas, methods, instructions or products referred to in the content. |
© 2024 by the authors. Licensee MDPI, Basel, Switzerland. This article is an open access article distributed under the terms and conditions of the Creative Commons Attribution (CC BY) license (https://creativecommons.org/licenses/by/4.0/).
Share and Cite
Silva, E.F.P.; Gaia, R.C.; Mulim, H.A.; Pinto, L.F.B.; Iung, L.H.S.; Brito, L.F.; Pedrosa, V.B. Genome-Wide Association Study of Conformation Traits in Brazilian Holstein Cattle. Animals 2024, 14, 2472. https://doi.org/10.3390/ani14172472
Silva EFP, Gaia RC, Mulim HA, Pinto LFB, Iung LHS, Brito LF, Pedrosa VB. Genome-Wide Association Study of Conformation Traits in Brazilian Holstein Cattle. Animals. 2024; 14(17):2472. https://doi.org/10.3390/ani14172472
Chicago/Turabian StyleSilva, Emanueli F. P., Rita C. Gaia, Henrique A. Mulim, Luís Fernando Batista Pinto, Laiza H. S. Iung, Luiz F. Brito, and Victor B. Pedrosa. 2024. "Genome-Wide Association Study of Conformation Traits in Brazilian Holstein Cattle" Animals 14, no. 17: 2472. https://doi.org/10.3390/ani14172472
APA StyleSilva, E. F. P., Gaia, R. C., Mulim, H. A., Pinto, L. F. B., Iung, L. H. S., Brito, L. F., & Pedrosa, V. B. (2024). Genome-Wide Association Study of Conformation Traits in Brazilian Holstein Cattle. Animals, 14(17), 2472. https://doi.org/10.3390/ani14172472

