Association between IGF-1 and IGFBPs in Blood and Follicular Fluid in Dairy Cows Under Field Conditions
Abstract
Simple Summary
Abstract
1. Introduction
2. Materials and Methods
2.1. Animals
2.2. Study Design and Sample Collection
2.3. Laboratory Analysis
2.3.1. Blood Beta Hydroxybutyrate (BHB)
2.3.2. IGF-1
2.3.3. IGFBP
2.3.4. Gene Expression
| Gene | Accession Number | Primer Sequence | Literature | |
|---|---|---|---|---|
| GAPDH | NM_ 001034034.1 | Forward | CAA CAT CAA GTG GGG TGA TG | [45] |
| Reverse | GGC ATT GCT GAC AAT CTT GA | |||
| 18S rRNA | NR_ 036642.1 | Forward | ACC CAT TCG AAC GTC TGC CCT ATT | [39] |
| Reverse | TCC TGG GAT GTG GTA GCC GTT TCT | |||
| IGFBP-2 | AF074854 | Forward | GAC GGG AAC GTG AAC TTG ATG | [41] |
| Reverse | TCC TTC ATG CCG GAC TTG A | |||
| IGFBP-4 | NM_ 174557.3 | Forward | CCC AAG TCT GTG GGA GAA GA | [45] |
| Reverse | AAG GAC CTG GGG AGG AGT AA | |||
| PAPP-A | XM_ 613511.6 | Forward | TGG AGA ACG CTT CGC TCA ACT G | [46] |
| Reverse | ACG CTG GGT CCT GTC TGG CTT T | |||
| IGF1R | XM_ 606794.3 | Forward | CCA AAA CCG AAG CTG AGA AG | [45] |
| Reverse | TCC GGG TCT GTG ATG TTG TA | |||
2.4. Statistical Analysis
3. Results
3.1. IGF-1
3.2. IGFBP
3.3. Gene Expression
4. Discussion
4.1. IGF-1 in Plasma and Follicular Fluid
4.2. IGFBP in Plasma and Follicular Fluid
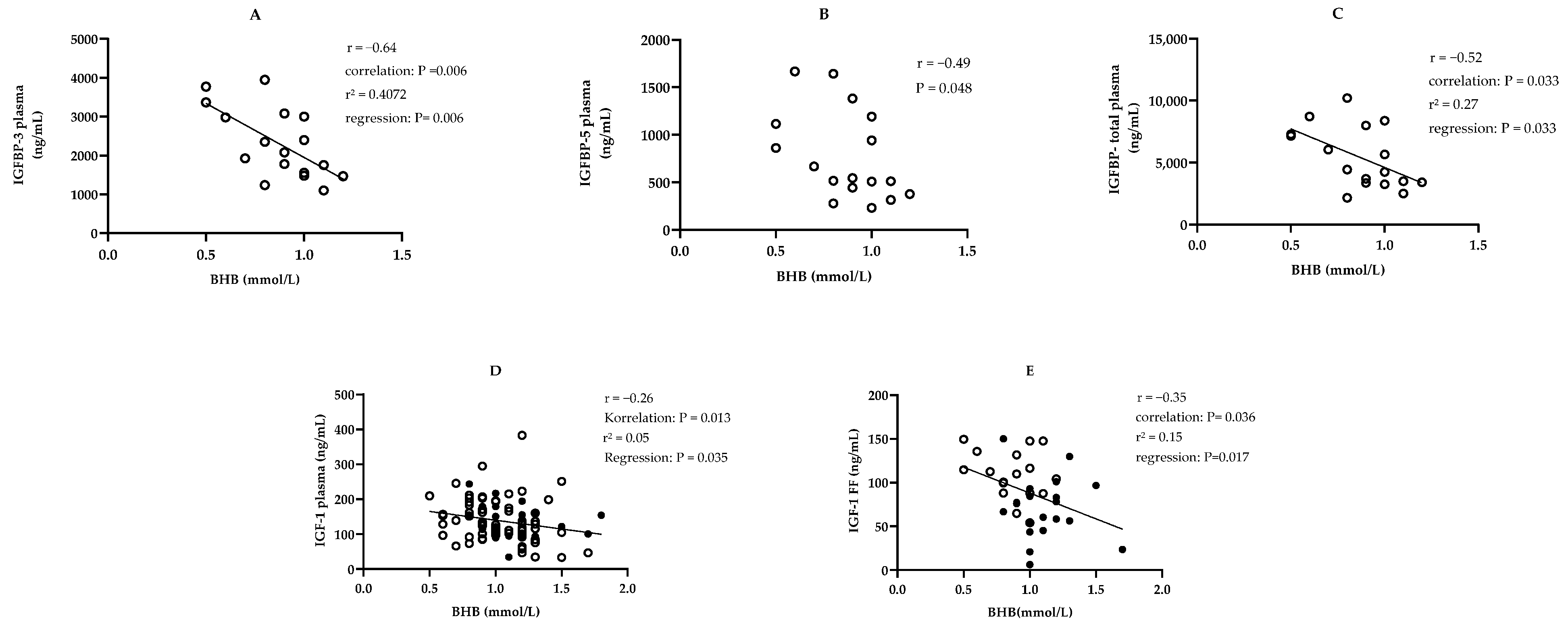
4.3. Association between Metabolism and IGF-1/IGFBP
4.4. Gene Expression in the Follicle
5. Conclusions
Author Contributions
Funding
Institutional Review Board Statement
Data Availability Statement
Acknowledgments
Conflicts of Interest
Appendix A
| Molar Mass | Concentration of Stock Solution | Final Concentration | Amount Used | |
|---|---|---|---|---|
| Ammonium chloride (NH4Cl) | 53.49 g/Mol | 0.15 mM/L | 8.023 g | |
| Sodium hydrogen carbonate (NaHCO3) | 84.01 g/Mol | 10 mM/L | 0.840 g | |
| Disodium EDTA (Na2EDTA) | 250 mM/L | 0.1 mM/L | 0.4 mL | |
| Distilled, Autoclaved, and filtered H2O a | add 1 L |
| Follicle Size (mm) | RNA (ng/µL) |
|---|---|
| 18 | 3.5 |
| 18 | 5.4 |
| 12 a | 41.9 a |
| 9 a | 52.6 a |
| 18 | 78.1 |
| 20 b | 16.1 b |
| 9 b | 116.6 b |
| 12 | 207.7 |
| Concentration Used Solution | Used Volume (µL) | Final Concentration | |
|---|---|---|---|
| RNA | 20 ng/µL | 10 | 200 ng |
| First Strand Buffer | 5× | 4 | 1× |
| dNTP | 10 mM | 1.5 | 187.5 nmol |
| Random Primer | 25 ng/µL | 1.5 | 37.5 ng |
| H2O | 3 | ||
| Total | 20 |
| Concentration Used Solution | Used Volume (µL) | Final Concentration | |
|---|---|---|---|
| First Strand Buffer | 5× | 1 | 1× |
| M-MLV Reverse transcriptase | 200 U/µL | 1 | 200 U |
| H2O | 3 | ||
| Total | 5 |
| Parameter | Study Part | Time Point (Days Postpartum) | n | p-Value |
|---|---|---|---|---|
| BHB | ||||
| in serum | I | 30 ± 2 | 78 | 0.183 |
| II | 32 ± 3 | 25 | ||
| I | 50 ± 3 | 77 | 0.5542 | |
| II | 53 ± 3 | 25 | ||
| I | 65 ± 16 | 17 | 0.0004 | |
| II | 32 ± 3 | 25 | ||
| IGF-1 | I | 30 ± 2 | 78 | 0.8186 |
| in plasma | II | 32 ± 3 | 25 | |
| IGF-1 | I | 65 ± 16 | 17 | <0.0001 |
| in FF | II | 32 ± 3 | 25 |
References
- Breier, B.H. Regulation of protein and energy metabolism by the somatotropic axis. Domest. Anim. Endocrinol. 1999, 17, 209–218. [Google Scholar] [CrossRef] [PubMed]
- Hull, K.L.; Harvey, S. Growth Hormone and Reproduction: A Review of Endocrine and Autocrine/Paracrine Interactions. Int. J. Endocrinol. 2014, 2014, 234014. [Google Scholar] [CrossRef]
- Ruprechter, G.; Carriquiry, M.; Ramos, J.M.; Pereira, I.; Ana, M. Metabolic and endocrine profiles and reproductive parameters in dairy cows under grazing conditions: Effect of polymorphisms in somatotropic axis genes. Acta Vet. Scand. 2011, 53, 1–10. [Google Scholar] [CrossRef]
- Radcliff, R.P.; VandeHaar, M.J.; Kobayashi, Y.; Sharma, B.K.; Tucker, H.A.; Lucy, M.C. Effect of dietary energy and somatotropin on components of the somatotropic axis in Holstein heifers. J. Dairy Sci. 2004, 87, 1229–1235. [Google Scholar] [CrossRef]
- Laviola, L.; Natalicchio, A.; Giorgino, F. The IGF-I signaling pathway. Curr. Pharm. Des. 2007, 13, 663–669. [Google Scholar] [CrossRef]
- Nissley, S.P.; Haskell, J.F.; Sasaki, N.; De Vroede, M.A.; Rechler, M.M. Insulin-Like Growth Factor Receptors. J. Cell Sci. 1985, 1985, 39–51. [Google Scholar] [CrossRef] [PubMed]
- Spicer, L.J.; Alpizar, E.; Vernon, R.K. Insulin-like growth factor-I receptors in ovarian granulosa cells: Effect of follicle size and hormones. Mol. Cell. Endocrinol. 1994, 102, 69–76. [Google Scholar] [CrossRef] [PubMed]
- Stewart, R.E.; Spicer, L.J.; Hamilton, T.D.; Keefer, B.E.; Dawson, L.J.; Morgan, G.L.; Echternkamp, S.E. Levels of insulin-like growth factor (IGF) binding proteins, luteinizing hormone and IGF-I receptors, and steroids in dominant follicles during the first follicular wave in cattle exhibiting regular estrous cycles. Endocrinology 1996, 137, 2842–2850. [Google Scholar] [CrossRef]
- Monzavi, R.; Cohen, P. IGFs and IGFBPs: Role in health and disease. Best Pract. Res. Clin. Endocrinol. Metab. 2002, 16, 433–447. [Google Scholar] [CrossRef]
- Mazerbourg, S.; Overgaard, M.T.; Oxvig, C.; Christiansen, M.; Conover, C.A.; Laurendeau, I.; Vidaud, M.; Tosser-Klopp, G.; Zapf, J.; Monget, P. Pregnancy-Associated Plasma Protein-A (PAPP-A) in Ovine, Bovine, Porcine, and Equine Ovarian Follicles: Involvement in IGF Binding Protein-4 Proteolytic Degradation and mRNA Expression During Follicular Development. Endocrinology 2001, 142, 5243–5253. [Google Scholar] [CrossRef]
- Echternkamp, S.E.; Roberts, A.J.; Lunstra, D.D.; Wise, T.; Spicer, L.J. Ovarian follicular development in cattle selected for twin ovulations and births. J. Anim. Sci. 2004, 82, 459–471. [Google Scholar] [CrossRef] [PubMed]
- Webb, R.; Garnsworthy, P.; Gong, J.-G.; Armstrong, D. Control of follicular growth: Local interactions and nutritional influences. J. Anim. Sci. 2004, 82, E63–E74. [Google Scholar] [PubMed]
- Nuttinck, F.; Charpigny, G.; Mermillod, P.; Loosfelt, H.; Meduri, G.; Freret, S.; Grimard, B.; Heyman, Y. Expression of components of the insulin-like growth factor system and gonadotropin receptors in bovine cumulus–oocyte complexes during oocyte maturation. Domest. Anim. Endocrinol. 2004, 27, 179–195. [Google Scholar] [CrossRef] [PubMed]
- Wang, L.M.; Feng, H.L.; Ma, Y.Z.; Cang, M.; Li, H.J.; Yan, Z.; Zhou, P.; Wen, J.X.; Bou, S.; Liu, D.J. Expression of IGF receptors and its ligands in bovine oocytes and preimplantation embryos. Anim. Reprod. Sci. 2009, 114, 99–108. [Google Scholar] [CrossRef] [PubMed]
- Zhou, J.; Kumar, T.R.; Matzuk, M.M.; Bondy, C. Insulin-Like Growth Factor I Regulates Gonadotropin Responsiveness in the Murine Ovary. Mol. Endocrinol. 1997, 11, 1924–1933. [Google Scholar] [CrossRef] [PubMed]
- Rawan, A.; Yoshioka, S.; Abe, H.; Acosta, T. Insulin-Like Growth Factor-1 Regulates the Expression of Luteinizing Hormone Receptor and Steroid Production in Bovine Granulosa Cells. Reprod. Domest. Anim. 2015, 50, 283–291. [Google Scholar] [CrossRef]
- Schams, D.; Berisha, B.; Kosmann, M.; Amselgruber, W.M. Expression and localization of IGF family members in bovine antral follicles during final growth and in luteal tissue during different stages of estrous cycle and pregnancy. Domest. Anim. Endocrinol. 2002, 22, 51–72. [Google Scholar] [CrossRef] [PubMed]
- Yuan, W.; Bao, B.; Garverick, H.A.; Youngquist, R.S.; Lucy, M.C. Follicular dominance in cattle is associated with divergent patterns of ovarian gene expression for insulin-like growth factor (IGF)-I, IGF-II, and IGF binding protein-2 in dominant and subordinate follicles. Domest. Anim. Endocrinol. 1998, 15, 55–63. [Google Scholar] [CrossRef]
- Perks, C.M.; Peters, A.R.; Wathes, D.C. Follicular and luteal expression of insulin-like growth factors I and II and the type 1 IGF receptor in the bovine ovary. Reproduction 1999, 116, 157–165. [Google Scholar] [CrossRef][Green Version]
- Gutiérrez, C.G.; Campbell, B.K.; Armstrong, D.G.; Webb, R. Insulin-like growth factor-I (IGF-I) production by bovine granulosa cells in vitro and peripheral IGF-I measurement in cattle serum: An evaluation of IGF-binding protein extraction protocols. J. Endocrinol. 1997, 153, 231–240. [Google Scholar] [CrossRef] [PubMed]
- Armstrong, D.; Gutierrez, C.; Baxter, G.; Glazyrin, A.; Mann, G.; Woad, K.; Hogg, C.; Webb, R. Expression of mRNA encoding IGF-I, IGF-II and type 1 IGF receptor in bovine ovarian follicles. J. Endocrinol. 2000, 165, 101–114. [Google Scholar] [CrossRef] [PubMed]
- Edwards, R.G. Follicular Fluid. Reproduction 1974, 37, 189–219. [Google Scholar] [CrossRef]
- Clarke, H.G.; Hope, S.A.; Byers, S.; Rodgers, R.J. Formation of ovarian follicular fluid may be due to the osmotic potential of large glycosaminoglycans and proteoglycans. Reproduction 2006, 132, 119–131. [Google Scholar] [CrossRef]
- Zachariae, F.; Jensen, C. Studies on the mechanism of ovulation: Histochemical and physico-chemical investigations on genuine follicular fluids. Acta Endocrinol. 1958, 27, 343–355. [Google Scholar]
- Fenwick, M.A.; Fitzpatrick, R.; Kenny, D.A.; Diskin, M.G.; Patton, J.; Murphy, J.J.; Wathes, D.C. Interrelationships between negative energy balance (NEB) and IGF regulation in liver of lactating dairy cows. Domest. Anim. Endocrinol. 2008, 34, 31–44. [Google Scholar] [CrossRef]
- Gross, J.; van Dorland, H.A.; Schwarz, F.; Bruckmaier, R. Endocrine changes and liver mRNA abundance of somatotropic axis and insulin system constituents during negative energy balance at different stages of lactation in dairy cows. J. Dairy Sci. 2011, 94, 3484–3494. [Google Scholar] [CrossRef]
- Zhang, G.; Ametaj, B.N. Ketosis an Old Story Under a New Approach. Dairy 2020, 1, 42–60. [Google Scholar] [CrossRef]
- Serbetci, I.; González-Grajales, L.A.; Herrera, C.; Ibanescu, I.; Tekin, M.; Melean, M.; Magata, F.; Malama, E.; Bollwein, H.; Scarlet, D. Impact of negative energy balance and postpartum diseases during the transition period on oocyte quality and embryonic development in dairy cows. Front. Vet. Sci. 2024, 10, 1328700. [Google Scholar] [CrossRef] [PubMed]
- Leal Yepes, F.A.A. Strategies to Improve Health and Production of Dairy Cows during Early Lactation. Ph.D. Dissertation, Cornell University, Ithaca, NY, USA, 2018. [Google Scholar] [CrossRef]
- Jansen, H.; Zschiesche, M.; Albers, D.; Wemheuer, W.; Sharifi, A.; Hummel, J. Accuracy of Subclinical Ketosis Detection with Rapid Test Methods for BHBA in Blood in Commercial Dairy Farms. Dairy 2021, 2, 671–683. [Google Scholar] [CrossRef]
- Grone, L. Einsatz und Nutzen von Biomarkern im Gesundheitsmonitoring bei Milchkühen; Tierärztliche Hochschule Hannover: Hannover, Germany, 2022. [Google Scholar]
- Bach, K.D.; Heuwieser, W.; McArt, J.A.A. Technical note: Comparison of 4 electronic handheld meters for diagnosing hyperketonemia in dairy cows. J. Dairy Sci. 2016, 99, 9136–9142. [Google Scholar] [CrossRef]
- Mense, K.; Meyerholz, M.; Gil Araujo, M.; Lietzau, M.; Knaack, H.; Wrenzycki, C.; Hoedemaker, M.; Piechotta, M. The somatotropic axis during the physiological estrus cycle in dairy heifers—Effect on hepatic expression of GHR and SOCS2. J. Dairy Sci. 2015, 98, 2409–2418. [Google Scholar] [CrossRef] [PubMed]
- Meyerholz, M. Einfluss der Frühträchtigkeit auf die Metabolische Adaptation bei Färsen mit Besonderer Bedeutung des Wachstumshormons und Insulinähnlichen Wachstumsfaktors. Ph.D. Dissertation, Tierärztliche Hochschule Hannover, Hannover, Germany, 2014. [Google Scholar]
- Van der Breggen, A.J.M. Interaktion der Somatotropen und Thyreotropen Achse in Bezug auf die Ketoseinzidenz bei der Hochleistungsmilchkuh. Ph.D. Dissertation, Tierärztliche Hochschule Hannover, Hannover, Germany, 2019. [Google Scholar]
- Mense, K.; Heidekorn-Dettmer, J.; Wirthgen, E.; Brockelmann, Y.; Bortfeldt, R.; Peter, S.; Jung, M.; Hoflich, C.; Hoeflich, A.; Schmicke, M. Increased Concentrations of Insulin-Like Growth Factor Binding Protein (IGFBP)-2, IGFBP-3, and IGFBP-4 Are Associated With Fetal Mortality in Pregnant Cows. Front. Endocrinol. 2018, 9, 310. [Google Scholar] [CrossRef]
- Wirthgen, E.; Höflich, C.; Spitschak, M.; Helmer, C.; Brand, B.; Langbein, J.; Metzger, F.; Hoeflich, A. Quantitative Western ligand blotting reveals common patterns and differential features of IGFBP-fingerprints in domestic ruminant breeds and species. Growth Horm. IGF Res. 2016, 26, 42–49. [Google Scholar] [CrossRef]
- Hossenlopp, P.; Seurin, D.; Segovia-Quinson, B.; Hardouin, S.; Binoux, M. Analysis of serum insulin-like growth factor binding proteins using Western blotting: Use of the method for titration of the binding proteins and competitive binding studies. Anal. Biochem. 1986, 154, 138–143. [Google Scholar] [CrossRef] [PubMed]
- Stiensmeier, V.M. Einfluss von Insulin und Östradiol auf die GHR-Expression am Modell Primärer Boviner und Porziner Hepatozyten. Ph.D. Dissertation, Stiftung Tierärztliche Hochschule, Hannover, Germany, 2021. [Google Scholar]
- Riedel, G.; Rüdrich, U.; Fekete-Drimusz, N.; Manns, M.P.; Vondran, F.W.R.; Bock, M. An Extended ΔCT-Method Facilitating Normalisation with Multiple Reference Genes Suited for Quantitative RT-PCR Analyses of Human Hepatocyte-Like Cells. PLoS ONE 2014, 9, e93031. [Google Scholar] [CrossRef] [PubMed]
- Voge, J.L.; Santiago, C.A.T.; Aad, P.Y.; Goad, D.W.; Malayer, J.R.; Spicer, L.J. Quantification of insulin-like growth factor binding protein mRNA using real-time PCR in bovine granulosa and theca cells: Effect of estradiol, insulin, and gonadotropins. Domest. Anim. Endocrinol. 2004, 26, 241–258. [Google Scholar] [CrossRef] [PubMed]
- Baddela, V.S.; Baufeld, A.; Yenuganti, V.R.; Vanselow, J.; Singh, D. Suitable housekeeping genes for normalization of transcript abundance analysis by real-time RT-PCR in cultured bovine granulosa cells during hypoxia and differential cell plating density. Reprod. Biol. Endocrinol. 2014, 12, 118. [Google Scholar] [CrossRef] [PubMed]
- Pfaffl, M.W. Real-time RT-PCR: Neue Ansätze zur exakten mRNA Quantifizierung. BIOspektrum 2004, 1, 92–95. [Google Scholar]
- Livak, K.J.; Schmittgen, T.D. Analysis of Relative Gene Expression Data Using Real-Time Quantitative PCR and the 2−ΔΔCT Method. Methods 2001, 25, 402–408. [Google Scholar] [CrossRef]
- Piechotta, M.; Kedves, K.; Araujo, M.G.; Hoeflich, A.; Metzger, F.; Heppelmann, M.; Muscher-Banse, A.; Wrenzycki, C.; Pfarrer, C.; Schuberth, H. Hepatic mRNA expression of acid labile subunit and deiodinase 1 differs between cows selected for high versus low concentrations of insulin-like growth factor 1 in late pregnancy. J. Dairy Sci. 2013, 96, 3737–3749. [Google Scholar] [CrossRef]
- Rodríguez, F.; Colombero, M.; Amweg, A.; Huber, E.; Gareis, N.; Salvetti, N.; Ortega, H.; Rey, F. Involvement of PAPP-A and IGFR1 in Cystic Ovarian Disease in Cattle. Reprod. Domest. Anim. 2015, 50, 659–668. [Google Scholar] [CrossRef] [PubMed]
- Echternkamp, S.E.; Spicer, L.J.; Gregory, K.E.; Canning, S.F.; Hammond, J.M. Concentrations of Insulin-Like Growth Factor-I in Blood and Ovarian Follicular Fluid of Cattle Selected for Twins. Biol. Reprod. 1990, 43, 8–14. [Google Scholar] [CrossRef] [PubMed]
- Shehab-El-Deen, M.A.M.M.; Leroy, J.L.M.R.; Fadel, M.S.; Saleh, S.Y.A.; Maes, D.; Van Soom, A. Biochemical changes in the follicular fluid of the dominant follicle of high producing dairy cows exposed to heat stress early post-partum. Anim. Reprod. Sci. 2010, 117, 189–200. [Google Scholar] [CrossRef]
- Stanko, R.L.; Cohick, W.S.; Shaw, D.W.; Harvey, R.W.; Clemmons, D.R.; Whitacre, M.D.; Armstrong, J.D. Effect of Somatotropin and/or Equine Chorionic Gonadotropin on Serum and Follicular Insulin-Like Growth Factor I and Insulin-Like Growth Factor Binding Proteins in Cattle. Biol. Reprod. 1994, 50, 290–300. [Google Scholar] [CrossRef] [PubMed][Green Version]
- Spicer, L.J.; Alpizar, E.; Echternkamp, S.E. Effects of insulin, insulin-like growth factor I, and gonadotropins on bovine granulosa cell proliferation, progesterone production, estradiol production, and (or) insulin-like growth factor I production in vitro. J. Anim. Sci. 1993, 71, 1232–1241. [Google Scholar] [CrossRef] [PubMed]
- Spicer, L.J.; Crowe, M.A.; Prendiville, D.J.; Goulding, D.; Enright, W.J. Systemic but Not Intraovarian Concentrations of Insulin-Like Growth Factor-I are Affected by Short-Term Fasting. Biol. Reprod. 1992, 46, 920–925. [Google Scholar] [CrossRef]
- Chase, C.C.; Kirby, C.J.; Hammond, A.C.; Olson, T.A.; Lucy, M.C. Patterns of ovarian growth and development in cattle with a growth hormone receptor deficiency. J. Anim. Sci. 1998, 76, 212. [Google Scholar] [CrossRef] [PubMed]
- Kirby, C.J.; Armstrong, J.D.; Huff, B.G.; Stanko, R.L.; Harvey, R.W.; Heimer, E.P.; Campbell, R.M. Changes in serum somatotropin, somatotropin mRNA, and serum and follicular insulin-like growth factor-I in response to feed restriction in cows actively immunized against growth hormone-releasing factor. J. Anim. Sci. 1993, 71, 3033–3042. [Google Scholar] [CrossRef]
- Cohick, W.S.; Armstrong, J.D.; Whitacre, M.D.; Lucy, M.C.; Harvey, R.W.; Campbell, R.M. Ovarian expression of insulin-like growth factor-I (IGF-I), IGF binding proteins, and growth hormone (GH) receptor in heifers actively immunized against GH-releasing factors. Endocrinology 1996, 137, 1670–1677. [Google Scholar] [CrossRef]
- Echternkamp, S.; Howard, H.; Roberts, A.; Grizzle, J.; Wise, T. Relationships among concentrations of steroids, insulin-like growth factor-I, and insulin-like growth factor binding proteins in ovarian follicular fluid of beef cattle. Biol. Reprod. 1994, 51, 971–981. [Google Scholar] [CrossRef]
- Mazerbourg, S.; Callebaut, I.; Zapf, J.; Mohan, S.; Overgaard, M.; Monget, P. Up date on IGFBP-4: Regulation of IGFBP-4 levels and functions, in vitro and in vivo. Growth Horm. IGF Res. 2004, 14, 71–84. [Google Scholar] [CrossRef] [PubMed]
- Baxter, R.C. Circulating binding proteins for the insulinlike growth factors. Trends Endocrinol. Metab. 1993, 4, 91–96. [Google Scholar] [CrossRef] [PubMed]
- Canty, M.; Boland, M.; Evans, A.; Crowe, M. Alterations in follicular IGFBP mRNA expression and follicular fluid IGFBP concentrations during the first follicle wave in beef heifers. Anim. Reprod. Sci. 2006, 93, 199–217. [Google Scholar] [CrossRef] [PubMed]
- Cohick, W.S.; McGuire, M.A.; Clemmons, D.R.; Bauman, D.E. Regulation of insulin-like growth factor-binding proteins in serum and lymph of lactating cows by somatotropin. Endocrinology 1992, 130, 1508–1514. [Google Scholar] [CrossRef] [PubMed]
- De La Sota, R.L.; Simmen, F.A.; Diaz, T.; Thatcher, W.W. Insulin-Like Growth Factor System in Bovine First-Wave Dominant and Subordinate Follicles. Biol. Reprod. 1996, 55, 803–812. [Google Scholar] [CrossRef] [PubMed][Green Version]
- Funston, R.N.; Seidel, G.E.; Klindt, J.; Roberts, A.J. Insulin-Like Growth Factor I and Insulin-Like Growth Factor-Binding Proteins in Bovine Serum and Follicular Fluid before and after the Preovulatory Surge of Luteinizing Hormone. Biol. Reprod. 1996, 55, 1390–1396. [Google Scholar] [CrossRef]
- Grimard, B.; Marquant-Leguienne, B.; Remy, D.; Richard, C.; Nuttinck, F.; Humblot, P.; Ponter, A.A. Postpartum Variations of Plasma IGF and IGFBPs, Oocyte Production and Quality in Dairy Cows: Relationships with Parity and Subsequent Fertility. Reprod. Domest. Anim. 2013, 48, 183–194. [Google Scholar] [CrossRef] [PubMed]
- Armstrong, D.G.; Baxter, G.; Gutierrez, C.G.; Hogg, C.O.; Glazyrin, A.L.; Campbell, B.K.; Bramley, T.A.; Webb, R. Insulin-Like Growth Factor Binding Protein-2 and -4 Messenger Ribonucleic Acid Expression in Bovine Ovarian Follicles: Effect of Gonadotropins and Developmental Status. Endocrinology 1998, 139, 2146–2154. [Google Scholar] [CrossRef][Green Version]
- Santiago, C.A.; Voge, J.L.; Aad, P.Y.; Allen, D.T.; Stein, D.R.; Malayer, J.R.; Spicer, L.J. Pregnancy-associated plasma protein-A and insulin-like growth factor binding protein mRNAs in granulosa cells of dominant and subordinate follicles of preovulatory cattle. Domest. Anim. Endocrinol. 2005, 28, 46–63. [Google Scholar] [CrossRef]
- Walters, K.A.; Binnie, J.P.; Campbell, B.K.; Armstrong, D.G.; Telfer, E.E. The effects of IGF-I on bovine follicle development and IGFBP-2 expression are dose and stage dependent. Reproduction 2006, 131, 515–523. [Google Scholar] [CrossRef][Green Version]
- Baxter, R.C. Insulin-Like Growth Factor (IGF) Binding Proteins: The Role of Serum IGFBPs in Regulating IGF Availability. Acta Paediatr. 1991, 80, 107–114. [Google Scholar] [CrossRef] [PubMed]
- LeRoith, D.; Holly, J.M.; Forbes, B.E. Insulin-like growth factors: Ligands, binding proteins, and receptors. Mol. Metab. 2021, 52, 101245. [Google Scholar] [CrossRef]
- Austin, E.J.; Mihm, M.; Evans, A.C.O.; Knight, P.G.; Ireland, J.L.H.; Ireland, J.J.; Roche, J.F. Alterations in Intrafollicular Regulatory Factors and Apoptosis During Selection of Follicles in the First Follicular Wave of the Bovine Estrous Cycle. Biol. Reprod. 2001, 64, 839–848. [Google Scholar] [CrossRef] [PubMed]
- Spicer, L.J.; Chamberlain, C.S.; Morgan, G.L. Proteolysis of insulin-like growth factor binding proteins during preovulatory follicular development in cattle. Domest. Anim. Endocrinol. 2001, 21, 1–15. [Google Scholar] [CrossRef] [PubMed]
- Rivera, G.M.; Fortune, J.E. Development of Codominant Follicles in Cattle Is Associated with a Follicle-Stimulating Hormone-Dependent Insulin-Like Growth Factor Binding Protein-4 Protease. Biol. Reprod. 2001, 65, 112–118. [Google Scholar] [CrossRef][Green Version]
- Xu, W.; Van Knegsel, A.T.M.; Vervoort, J.J.M.; Bruckmaier, R.M.; Van Hoeij, R.J.; Kemp, B.; Saccenti, E. Prediction of metabolic status of dairy cows in early lactation with on-farm cow data and machine learning algorithms. J. Dairy Sci. 2019, 102, 10186–10201. [Google Scholar] [CrossRef]
- Wathes, D.C.; Cheng, Z.; Bourne, N.; Taylor, V.J.; Coffey, M.P.; Brotherstone, S. Differences between primiparous and multiparous dairy cows in the inter-relationships between metabolic traits, milk yield and body condition score in the periparturient period. Domest. Anim. Endocrinol. 2007, 33, 203–225. [Google Scholar] [CrossRef]
- Forde, N.; O’Gorman, A.; Whelan, H.; Duffy, P.; O’Hara, L.; Kelly, A.K.; Havlicek, V.; Besenfelder, U.; Brennan, L.; Lonergan, P. Lactation-induced changes in metabolic status and follicular-fluid metabolomic profile in postpartum dairy cows. Reprod. Fertil. Dev. 2016, 28, 1882–1892. [Google Scholar] [CrossRef]
- Rausch, M.; Tripp, M.; Govoni, K.; Zang, W.; Webert, W.; Crooker, B.; Hoagland, T.; Zinn, S. The influence of level of feeding on growth and serum insulin-like growth factor I and insulin-like growth factor-binding proteins in growing beef cattle supplemented with somatotropin. J. Anim. Sci. 2002, 80, 94–100. [Google Scholar] [CrossRef]
- Leblanc, S. Monitoring Metabolic Health of Dairy Cattle in the Transition Period. J. Reprod. Dev. 2010, 56, S29–S35. [Google Scholar] [CrossRef]
- Voge, J.L.; Aad, P.Y.; Santiago, C.A.; Goad, D.W.; Malayer, J.R.; Allen, D.; Spicer, L.J. Effect of insulin-like growth factors (IGF), FSH, and leptin on IGF-binding-protein mRNA expression in bovine granulosa and theca cells: Quantitative detection by real-time PCR. Peptides 2004, 25, 2195–2203. [Google Scholar] [CrossRef] [PubMed]
- Monget, P. Pregnancy-Associated Plasma Protein-A Is Involved in Insulin-Like Growth Factor Binding Protein-2 (IGFBP-2) Proteolytic Degradation in Bovine and Porcine Preovulatory Follicles: Identification of Cleavage Site and Characterization of IGFBP-2 Degradation. Biol. Reprod. 2002, 68, 77–86. [Google Scholar] [CrossRef] [PubMed]
- Spicer, L.J.; Santiago, C.A.; Davidson, T.R.; Bridges, T.S.; Chamberlain, C.S. Follicular fluid concentrations of free insulin-like growth factor (IGF)-I during follicular development in mares. Domest. Anim. Endocrinol. 2005, 29, 573–581. [Google Scholar] [CrossRef] [PubMed]
- Beg, M.A.; Bergfelt, D.R.; Kot, K.; Wiltbank, M.C.; Ginther, O.J. Follicular-Fluid Factors and Granulosa-Cell Gene Expression Associated with Follicle Deviation in Cattle. Biol. Reprod. 2001, 64, 432–441. [Google Scholar] [CrossRef]
- Firth, S.M.; Baxter, R.C. Cellular actions of the insulin-like growth factor binding proteins. Endocr. Rev. 2002, 23, 824–854. [Google Scholar] [CrossRef]
- Mazerbourg, S.; Monget, P. Insulin-like growth factor binding proteins and IGFBP proteases: A dynamic system regulating the ovarian folliculogenesis. Front. Endocrinol. 2018, 9, 134. [Google Scholar] [CrossRef] [PubMed]
- Myers, S.E.; Cheung, P.T.; Handwerger, S.; Chernausek, S.D. Insulin-like growth factor-I (IGF-I) enhanced proteolysis of IGF-binding protein-4 in conditioned medium from primary cultures of human decidua: Independence from IGF receptor binding. Endocrinology 1993, 133, 1525–1531. [Google Scholar] [CrossRef]
- Aad, P.Y.; Voge, J.L.; Santiago, C.A.; Malayer, J.R.; Spicer, L.J. Real-time RT-PCR quantification of pregnancy-associated plasma protein-A mRNA abundance in bovine granulosa and theca cells: Effects of hormones in vitro. Domest. Anim. Endocrinol. 2006, 31, 357–372. [Google Scholar] [CrossRef]





| Sample Type | Parameter | Samples | |||
|---|---|---|---|---|---|
| Study Part | |||||
| I | II | ||||
| n | Time Point | n | Time Point | ||
| blood | |||||
| BHB | 78 | 30 ± 2 | x | ||
| 77 | 50 ± 3 | 25 | 53 ± 3 | ||
| 17 | 65 ± 16 | 25 | 32 ± 3 | ||
| IGF-1 | 78 | 30 ± 2 | x | ||
| 77 | 50 ± 3 | x | |||
| 17 | 65 ± 16 | 25 | 32 ± 3 | ||
| IGFBP | 17 | 65 ± 16 | x | ||
| follicular fluid a | |||||
| IGF-1 | 27 | 65 ± 16 | 25 | 32 ± 3 | |
| IGFBP | 27 | 65 ± 16 | x | ||
| granulosa cells | |||||
| Gene expression | 6 | 65 ± 16 | x | ||
| IGFBP-Total (ng/mL) | IGFBP-2 (ng/mL) | IGFBP-3 (ng/mL) | IGFBP-4 (ng/mL) | IGFBP-5 (ng/mL) | IGFBP Fragment (ng/mL) | |
|---|---|---|---|---|---|---|
| Plasma (n = 17) | 5411 a ± 2467 | 1707 a,c,g ± 904.7 | 2312 a ± 895.7 | 175.5 b,d,f/1061/54.0 | 545.3 b,c /1667/233 | 280.9 d ± 175.7 |
| FF (n = 27) | 4385 a ± 2356 | 362.7 b,e/2512/16.4 | 1956 a,g ± 797.8 | 191.8 d,f /2937/23.5 | 863.9 b,g ± 362.4 | 406.8 b,d ± 149.4 |
| Follicle Size (in mm) | IGFBP-2 | IGFBP-4 | PAPP-A | IGF-1 Receptor | 18SrRNA and GAPDH | ||||
|---|---|---|---|---|---|---|---|---|---|
| CtIGFBP-2 | ΔCt * | CtIGFBP-4 | ΔCt * | CtPAPP-A | ΔCt * | CtIGF-1 Receptor | ΔCt * | CtRG | |
| 12 1 | 30.63 1 | 15.06 1 | 33.29 1 | 17.72 1 | 31.04 1 | 15.47 1 | 5.08 1 | 10.81 1 | 15.58 1 |
| 9 1 | 33.23 1 | 14.961 | 30.74 1 | 12.47 1 | 28.45 1 | 10.18 1 | 5.66 1 | 7.94 1 | 18.28 1 |
| 18 | 31.69 | 13.60 | 34.01 | 15.92 | 30.14 | 12.05 | 8.60 | 9.96 | 18.10 |
| 20 2 | 32.56 2 | 11.83 2 | 34.27 2 | 13.54 2 | 38.97 2 | 18.24 2 | 9.56 2 | 15.93 2 | 20.73 2 |
| 9 2 | 29.07 2 | 12.76 2 | 28.04 2 | 11.73 2 | 27.84 2 | 11.53 2 | 5.54 2 | 7.73 2 | 16.31 2 |
| 12 | 30.47 | 14.39 | 28.22 | 12.14 | 26.63 | 10.55 | 5.89 | 10.55 | 16.08 |
| mean | 31.28 a | 13.76 b | 31.43 a | 13.92 b | 30.51 a | 13.00 b | 6.72 a | 10.48 b | 17.51 |
| SD | 0.62 | 0.52 | 1.16 | 0.98 | 1.81 | 1.30 | 0.76 | 1.21 | 0.79 |
Disclaimer/Publisher’s Note: The statements, opinions and data contained in all publications are solely those of the individual author(s) and contributor(s) and not of MDPI and/or the editor(s). MDPI and/or the editor(s) disclaim responsibility for any injury to people or property resulting from any ideas, methods, instructions or products referred to in the content. |
© 2024 by the authors. Licensee MDPI, Basel, Switzerland. This article is an open access article distributed under the terms and conditions of the Creative Commons Attribution (CC BY) license (https://creativecommons.org/licenses/by/4.0/).
Share and Cite
Schiffers, C.; Serbetci, I.; Mense, K.; Kassens, A.; Grothmann, H.; Sommer, M.; Hoeflich, C.; Hoeflich, A.; Bollwein, H.; Schmicke, M. Association between IGF-1 and IGFBPs in Blood and Follicular Fluid in Dairy Cows Under Field Conditions. Animals 2024, 14, 2370. https://doi.org/10.3390/ani14162370
Schiffers C, Serbetci I, Mense K, Kassens A, Grothmann H, Sommer M, Hoeflich C, Hoeflich A, Bollwein H, Schmicke M. Association between IGF-1 and IGFBPs in Blood and Follicular Fluid in Dairy Cows Under Field Conditions. Animals. 2024; 14(16):2370. https://doi.org/10.3390/ani14162370
Chicago/Turabian StyleSchiffers, Christina, Idil Serbetci, Kirsten Mense, Ana Kassens, Hanna Grothmann, Matthias Sommer, Christine Hoeflich, Andreas Hoeflich, Heinrich Bollwein, and Marion Schmicke. 2024. "Association between IGF-1 and IGFBPs in Blood and Follicular Fluid in Dairy Cows Under Field Conditions" Animals 14, no. 16: 2370. https://doi.org/10.3390/ani14162370
APA StyleSchiffers, C., Serbetci, I., Mense, K., Kassens, A., Grothmann, H., Sommer, M., Hoeflich, C., Hoeflich, A., Bollwein, H., & Schmicke, M. (2024). Association between IGF-1 and IGFBPs in Blood and Follicular Fluid in Dairy Cows Under Field Conditions. Animals, 14(16), 2370. https://doi.org/10.3390/ani14162370

