Effect of Different Herbage Allowances from Mid to Late Gestation on Nellore Cow Performance and Female Offspring Growth until Weaning
Abstract
Simple Summary
Abstract
1. Introduction
2. Materials and Methods
2.1. Animals and Diets
Prepartum (Day 0 to 150) and Preweaning (Day 150 to 390)
2.2. Data Collection
2.2.1. Forage and Feed
2.2.2. Maternal
2.2.3. First Offspring
2.2.4. Laboratory Analysis
2.3. Statistical Analyses
3. Results
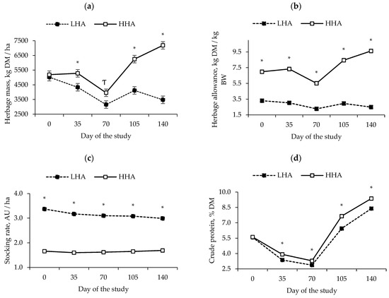
3.1. Pasture
3.2. Prepartum (Days 0 to 150)
3.3. Preweaning (Days 150 to 390)
4. Discussion
4.1. Maternal Performance
4.2. Offspring Performance
5. Conclusions
Author Contributions
Funding
Institutional Review Board Statement
Informed Consent Statement
Data Availability Statement
Acknowledgments
Conflicts of Interest
References
- De Jesus, F.L.F.; Sanches, A.C.; de Souza, D.P.; Mendonça, F.C.; Gomes, E.P.; Santos, R.C.; Santos, J.E.O.; da Silva, J.L.B. Seasonality of biomass production of irrigated Mombaça ‘Guinea grass’. Acta Agric. Scand. Sect. B Soil Plant Sci. 2021, 71, 156–164. [Google Scholar] [CrossRef]
- Millen, D.D.; Pacheco, R.D.L.; Meyer, P.M.; Rodrigues, P.H.M.; Arrigoni, M.D.B. Current outlook and future perspectives of beef production in Brazil. Anim. Front. 2011, 1, 46–52. [Google Scholar] [CrossRef]
- Moriel, P.; Palmer, E.A.; Harvey, K.M.; Cooke, R.F. Improving Beef Progeny Performance Through Developmental Programming. Front. Anim. Sci. 2021, 2, 728635. [Google Scholar] [CrossRef]
- Nepomuceno, D.D.; Pires, A.V.; Ferraz, M.V.C.; Biehl, M.V.; Gonçalves, J.R.S.; Moreira, E.M.; Day, M.L. Effect of pre-partum dam supplementation, creep-feeding and post-weaning feedlot on age at puberty in Nellore heifers. Livest. Sci. 2017, 195, 58–62. [Google Scholar] [CrossRef]
- Almeida, D.M.; Marcondes, M.I.; Rennó, L.N.; Martins, L.S.; Marquez, D.E.C.; Saldarriaga, F.V.; Villadiego, F.A.C.; Ortega, R.M.; Moreno, D.P.S.; Moura, F.H.; et al. Effects of pre- and postpartum supplementation on lactational and reproductive performance of grazing Nellore beef cows. Anim. Prod. Sci. 2020, 61, 101–107. [Google Scholar] [CrossRef]
- Rodrigues, L.M.; Schoonmaker, J.P.; Resende, F.D.; Siqueira, G.R.; Neto, O.R.M.; Gionbelli, M.P.; Gionbelli, T.R.S.; Ladeira, M.M. Effects of protein supplementation on Nellore cows’ reproductive performance, growth, myogenesis, lipogenesis and intestine development of the progeny. Anim. Prod. Sci. 2020, 61, 371–380. [Google Scholar] [CrossRef]
- Cooke, R.F.; Daigle, C.L.; Moriel, P.; Smith, S.; Tedeschi, L.O.; Vendramini, J.M.B. Board Invited Review—Cattle adapted to tropical and subtropical environments (I): Social, nutritional, and carcass quality considerations. J. Anim. Sci. 2020, 98, skaa014. [Google Scholar] [CrossRef] [PubMed]
- Bergamaschi, M.A.C.M.; Vicente, W.R.R.; Barbosa, R.T.; Marques, J.A.; Freitas, A.R. Effect of grazing system on fetal development in Nellore cattle. Theriogenology 2004, 61, 1237–1245. [Google Scholar] [CrossRef]
- Roth, M.T.P.; Fernandes, R.M.; Custódio, L.; Moretti, M.H.; Oliveira, I.M.; Prados, L.F.; Siqueira, G.R.; Resende, F.D. Effect of supplementation level on performance of growing Nellore and its influence on pasture characteristics in different seasons. Ital. J. Anim. Sci. 2019, 18, 215–225. [Google Scholar] [CrossRef]
- Chilibroste, P.; Mattiauda, D.A.; Bentancur, O.; Soca, P.; Meikle, A. Effect of herbage allowance on grazing behavior and productive performance of early lactation primiparous Holstein cows. Anim. Feed Sci. Technol. 2012, 173, 201–209. [Google Scholar] [CrossRef]
- Sollenberger, L.E.; Moore, J.E.; Allen, V.G.; Pedreira, C.G.S. Reporting forage allowance in grazing experiments. Crop Sci. 2005, 45, 896–900. [Google Scholar] [CrossRef]
- Sollenberger, L.E.; Cherney, D.J.R. Evaluating forage production and quality. In Forages: The Science of Grassland Agriculture; Barnes, R.F., Miller, D.A., Nelson, C.J., Eds.; University Press: Ames, OH, USA, 1995; Volume 2, pp. 97–110. [Google Scholar]
- De Vries, M.F.W. Estimating forage intake and quality in grazing cattle: A reconsideration of the hand-plucking method. J. Range Manag. 1995, 48, 370–375. [Google Scholar] [CrossRef]
- Ayres, H.; Ferreira, R.M.; Torres-Júnior, J.R.S.; Demétrio, C.G.B.; Sá Filho, M.F.; Gimenes, L.U.; Penteado, L.; D’Occhio, M.J.; Baruselli, P.S. Inferences of body energy reserves on conception rate ofsuckled Zebu beef cows subjected to timed artificial insemination followed by natural mating. Theriogenology 2014, 82, 529–536. [Google Scholar] [CrossRef] [PubMed]
- Restle, J.; Pacheco, P.S.; Moletta, J.L.; Brondani, I.L.; Cerdótes, L. Genetic group and postpartum nutritional level on the milk yield and composition of beef cows. Rev. Bras. Zootec. 2003, 32, 585–597. [Google Scholar] [CrossRef]
- NRC—National Research Council. Nutrient Requirements of Dairy Cattle, 7th ed.; National Academic Press: Washington, DC, USA, 2001. [Google Scholar]
- AOAC. Official Methods of Analysis; Association of Official Analytical Chemists: Gaithersburg, MD, USA, 1995. [Google Scholar]
- ISO 9622:2013|IDF 141:2013; Milk and Liquid Milk Products Guidelines for the Application of Mid-Infrared Spectrometry. ISO: Geneva, Switzerland, 2013.
- ISO 13366-2:2006|IDF 148-2:2006; Milk—Enumeration of Somatic Cells—Part 2: Guidance on the Operation of Fluoro-opto-Electronic Counters. ISO: Geneva, Switzerland, 2006.
- Valadares Filho, S.C.; Costa e Silva, L.F.; Gionbelli, M.P.; Pizzi, P.R.; Marcondes, M.I.; Chizzotti, M.L.; Prados, L.F. Nutrient Requirements of Zebu and Crossbred Cattle, 3rd ed.; Editora UFV: Viçosa, Brazil, 2016. [Google Scholar]
- Sampaio, C.B.; Detmann, E.; Lazzarini, I.; Souza, M.A.; Paulino, M.F.; Valadares Filho, S.C. Rumen dynamics of neutral detergent fiber in cattle fed low-quality tropical forage and supplemented with nitrogenous compounds. Rev. Bras. Zootec. 2009, 38, 560–569. [Google Scholar] [CrossRef]
- Euclides, V.P.B.; Montagner, D.B.; Barbosa, R.A.; Do Valle, C.B.; Nantes, N.N. Animal performance and sward characteristics of two cultivars of Brachiaria brizantha (BRS Paiaguás and BRS Piatã). Rev. Bras. Zootec. 2016, 45, 85–92. [Google Scholar] [CrossRef]
- Euclides, V.P.B.; Euclides Filho, K.; Arruda, Z.D.; Figueiredo, G.D. Desempenho de novilhos em pastagens de Brachiaria decumbens submetidos a diferentes regimes alimentares. Rev. Bras. Zootec. 1998, 27, 246–254. [Google Scholar]
- Ruggieri, A.C.; Cardoso, A.S.; Ongaratto, F.; Casagrande, D.R.; Barbero, R.P.; Brito, L.F.; Azenha, M.V.; Oliveira, A.A.; Koscheck, J.F.W.; Reis, R.A. Grazing intensity impacts on herbage mass, sward structure, greenhouse gas emissions, and animal performance: Analysis of brachiaria pastureland. Agronomy 2020, 10, 1750. [Google Scholar] [CrossRef]
- Casagrande, D.R.; Ruggieri, A.C.; Moretti, M.H.; Berchielli, T.T.; Vieira, B.R.; Paula De Toledo, A.; Roth, P.; Reis, R.A. Sward canopy structure and performance of beef heifers under supplementation in Brachiaria brizantha cv. Marandu pastures maintained with three grazing intensities in a continuous stocking system. Rev. Bras. Zootec. 2011, 40, 2074–2082. [Google Scholar] [CrossRef]
- Vieira, B.R.; Azenha, M.V.; Casagrande, D.R.; Costa, D.F.A.; Ruggieri, A.C.; Berchielli, T.T.; Reis, R.A. Ingestive behavior of supplemented Nellore heifers grazing palisadegrass pastures managed with different sward heights. Anim. Sci. J. 2017, 88, 696–704. [Google Scholar] [CrossRef]
- Poppi, D.P.; Hughes, T.P.; L’Huillier, P.J. Intake of Pasture by Grazing Ruminants. In Livestock Feeding on Pasture; Hamilton Publishing: Hamilton, New Zealand, 1987; pp. 55–64. [Google Scholar]
- Euclides, V.P.B.; Montagner, D.B.; Macedo, M.C.M.; de Araújo, A.R.; Difante, G.S.; Barbosa, R.A. Grazing intensity affects forage accumulation and persistence of Marandu palisadegrass in the Brazilian savannah. Grass Forage Sci. 2019, 74, 450–462. [Google Scholar] [CrossRef]
- Carvalho, P.C.F. Harry Stobbs memorial lecture: Can grazing behavior support innovations in grassland management? Trop. Grassl.-Forrajes Trop. 2013, 1, 137–155. [Google Scholar] [CrossRef]
- Norton, B.E.; Barnes, M.; Teague, R. Grazing management can improve livestock distribution. Bio One Res. Evolved 2013, 35, 45–51. [Google Scholar] [CrossRef]
- NASEM. National Academies of Sciences, Engineering, and Medicine, 8th ed.; Nutrient Requirements of Beef Cattle Model; National Academic Press: Washington, DC, USA, 2016. [Google Scholar]
- Bell, A.W.; Ferrell, C.L.; Freetly, H.C. Pregnancy and Fetal Metabolism. In Quantitative Aspects of Ruminant Digestion and Metabolism; Dijkstra, J., Forbes, J.M., France, J., Eds.; CABI: Wallingford, UK, 2005; pp. 523–550. [Google Scholar]
- Bell, A.W.; Ehrhardt, R.A. Regulation of macronutrient partitioning between maternal and conceptus tissues in the pregnant ruminant. In Ruminant Physiology: Digestion, Metabolism, Growth and Reproduction; CAB International: New York, NY, USA, 2000; pp. 275–293. [Google Scholar]
- Chizzotti, M.L.; Tedeschi, L.O.; Valadares Filho, S.C. A meta-analysis of energy and protein requirements for maintenance and growth of Nellore cattle. J. Anim. Sci. 2008, 86, 1588–1597. [Google Scholar] [CrossRef] [PubMed]
- Bohnert, D.W.; Stalker, L.A.; Mills, R.R.; Nyman, A.; Falck, S.J.; Cooke, R.F. Late gestation supplementation of beef cows differing in BCS: Effects on cow and calf performance. J. Anim. Sci. 2013, 91, 5485–5491. [Google Scholar] [CrossRef] [PubMed]
- Bauman, D.E.; Bruce Currie, W. Partitioning of Nutrients During Pregnancy and Lactation: A Review of Mechanisms Involving Homeostasis and Homeorhesis. J. Dairy Sci. 1980, 63, 1514–1529. [Google Scholar] [CrossRef] [PubMed]
- Lazzarini, I.; Detmann, E.; Sampaio, C.B.; Paulino, M.F.; Valadares Filho, S.C.; Souza, M.A.; Oliveira, F.A. Intake and digestibility in cattle fed low-quality tropical forage and supplemented with nitrogenous compounds. Rev. Bras. Zootec. 2009, 38, 2021–2030. [Google Scholar] [CrossRef]
- Chew, B.P.; Holpuch, D.M.; O’Fallon, J.V. Vitamin A and β-Carotene in Bovine and Porcine Plasma, Liver, Corpora Lutea, and Follicular Fluid. J. Dairy Sci. 1984, 67, 1316–1322. [Google Scholar] [CrossRef]
- Bell, A.W.; Burhans, W.S.; Overton, T.R. Protein nutrition in late pregnancy, maternal protein reserves and lactation performance in dairy cows. Proc. Nutr. Soc. 2000, 59, 119–126. [Google Scholar] [CrossRef]
- Kokkonen, T.; Vanhatalo, A. A meta-analysis of the effects of dry period energy intake on retention and mobilization of body tissue, and lactation performance of dairy cows. In Proceedings of the Biennal Conference of the Australian Society of Animal Production; Australian Society of Animal Production: Camberra, Australia, 2014. [Google Scholar]
- Larson, D.M.; Martin, J.L.; Adams, D.C.; Funston, R.N. Winter grazing system and supplementation during late gestation influence performance of beef cows and steer progeny. J. Anim. Sci. 2009, 87, 1147–1155. [Google Scholar] [CrossRef]
- Lopes, S.A.; de Ferreira, M.F.L.; Costa e Silva, L.F.; Prados, L.F.; Rodrigues, I.I.; Rennó, L.N.; Siqueira, G.R.; de Valadares Filho, S.C. Evaluation of nonlinear models to predict milk yield and composition of beef cows: A meta-analysis. Anim. Feed Sci. Technol. 2022, 294, 115455. [Google Scholar] [CrossRef]
- López Valiente, S.; Rodriguez, A.M.; Long, N.M.; Lacau-Mengido, I.M.; Maresca, S. The degree of maternal nutrient restriction during late gestation influences the growth and endocrine profiles of offspring from beef cows. Anim. Prod. Sci. 2022, 62, 163–172. [Google Scholar] [CrossRef]
- Jenkins, T.C.; McGuire, M.A. Major advances in nutrition: Impact on milk composition. J. Dairy Sci. 2006, 89, 1302–1310. [Google Scholar] [CrossRef] [PubMed]
- Kebreab, E.; Dijkstra, J.; Bannink, A.; France, J. Recent advances in modeling nutrient utilization in ruminants. J. Anim. Sci. 2009, 87, E111–E122. [Google Scholar] [CrossRef] [PubMed]
- Rodrigues, P.F.; Menezes, L.M.; Azambuja, R.C.C.; Suñé, R.W.; Barbosa Silveira, I.D.; Cardoso, F.F. Milk yield and composition from Angus and Angus-cross beef cows raised in southern Brazil. J. Anim. Sci. 2014, 92, 2668–2676. [Google Scholar] [CrossRef] [PubMed]
- Higgs, R.J.; Chase, L.E.; Van Amburgh, M.E. Application and evaluation of the Cornell Net Carbohydrate and Protein System as a tool to improve nitrogen utilization in commercial dairy herds. Prof. Anim. Sci. 2012, 29, 370–378. [Google Scholar] [CrossRef]
- Cappellozza, B.I.; Cooke, R.F.; Reis, M.M.; Moriel, P.; Keisler, D.H.; Bohnert, D.W. Supplementation based on protein or energy ingredients to beef cattle consuming low-quality cool-season forages: II. Performance, reproductive, and metabolic responses of replacement heifers. J. Anim. Sci. 2014, 92, 2725–2734. [Google Scholar] [CrossRef]
- Sullivan, T.M.; Micke, G.C.; Perkins, N.; Martin, G.B.; Wallace, C.R.; Gatford, K.L. Dietary protein during gestation affects maternal insulin-like growth factor, insulin-like growth factor binding protein, leptin concentrations, and fetal growth in heifers. J. Anim. Sci. 2009, 87, 3304–3316. [Google Scholar] [CrossRef]
- Bauer, M.K.; Harding, J.E.; Bassett, N.S.; Breier, B.H.; Oliver, M.H.; Gallaher, B.H.; Evans, P.C.; Woodall, S.M.; Gluckman, P.D. Fetal growth and placental function. Mol. Cell Endocrinol. 1998, 140, 115–120. [Google Scholar] [CrossRef]
- Baumann, M.U.; Deborde, S.; Illsley, N.P. Placental glucose transfer and fetal growth. Endocrine 2002, 19, 13–22. [Google Scholar] [CrossRef]
- Gicquel, C.; Le Bouc, Y. Hormonal regulation of fetal growth. Horm. Res. 2006, 65, 28–33. [Google Scholar] [CrossRef]
- Izquierdo, V.; Vedovatto, M.; Palmer, E.A.; Oliveira, R.A.; Silva, H.M.; Vendramini, J.M.B.; Moriel, P. Frequency of maternal supplementation of energy and protein during late gestation modulates preweaning growth of their beef offspring. Trans. Anim. Sci. 2022, 6, 110. [Google Scholar] [CrossRef]
- Moriel, P.; Vedovatto, M.; Palmer, E.A.; Oliveira, R.A.; Silva, H.M.; Ranches, J.; Vendramini, J.M.B. Maternal supplementation of energy and protein, but not methionine hydroxy analogue, enhanced postnatal growth and response to vaccination in Bos indicus-influenced beef calves. J. Anim. Sci. 2020, 98, skaa123. [Google Scholar] [CrossRef] [PubMed]
- Vedovatto, M.; Izquierdo, V.; Palmer, E.A.; Oliveira, R.A.; Silva, H.M.; Vendramini, J.M.B.; Moriel, P. Monensin supplementation during late gestation of beef cows alters maternal plasma concentrations of insulin-like factors 1 and 2 and enhances offspring preweaning growth. Trans. Anim. Sci. 2022, 6, txac105. [Google Scholar] [CrossRef]
- Carvalho, R.S.; Cooke, R.F.; Cappellozza, B.I.; Peres, R.F.G.; Pohler, K.G.; Vasconcelos, J.L.M. Influence of body condition score and its change after parturition on pregnancy rates to fixed-timed artificial insemination in Bos indicus beef cows. Anim. Reprod. Sci. 2022, 243, 107028. [Google Scholar] [CrossRef]
- Funston, R.N.; Summers, A.F.; Roberts, A.J. Implications of nutritional management for beef cow-calf systems. J. Anim. Sci. 2012, 90, 2301–2307. [Google Scholar] [CrossRef]
- Moriel, P.; Piccolo, M.B.; Artioli, L.F.A.; Marques, R.S.; Poore, M.H.; Cooke, R.F. Short-term energy restriction during late gestation of beef cows decreases postweaning calf humoral immune response to vaccination1. J. Anim. Sci. 2016, 94, 2542–2552. [Google Scholar] [CrossRef]
- Greenwood, P.L.; Cafe, L.M. Prenatal and pre-weaning growth and nutrition of cattle: Long-term consequences for beef production. Animal 2007, 1, 1283–1296. [Google Scholar] [CrossRef]
- Ford, S.P.; Hess, B.W.; Schwope, M.M.; Nijland, M.J.; Gilbert, J.S.; Vonnahme, K.A.; Means, W.J.; Han, H.; Nathanielsz, P.W. Maternal undernutrition during early to mid-gestation in the ewe results in altered growth, adiposity, and glucose tolerance in male offspring. J. Anim. Sci. 2007, 85, 1285–1294. [Google Scholar] [CrossRef]
- Gardner, D.S.; Tingey, K.; Van Bon, B.W.M.; Ozanne, S.E.; Wilson, V.; Dandrea, J.; Keisler, D.H.; Stephenson, T.; Symonds, M.E. Programming of glucose–insulin metabolism in adult sheep after maternal undernutrition. Am. J. Physiol.-Regul. Integr. Comp. Physiol. 2005, 289, R947–R954. [Google Scholar] [CrossRef]
- Long, N.M.; Nijland, M.J.; Nathanielsz, P.W.; Ford, S.P. The effect of early to mid-gestational nutrient restriction on female offspring fertility and hypothalamic–pituitary–adrenal axis response to stress. J. Anim. Sci. 2010, 88, 2029–2037. [Google Scholar] [CrossRef] [PubMed]
- Maresca, S.; Lopez Valiente, S.; Rodríguez, A.M.; Long, N.M.; Pavan, E.; Quintans, G. Effect of protein restriction of bovine dams during late gestation on offspring postnatal growth, glucose–insulin metabolism and IGF-1 concentration. Livest. Sci. 2018, 212, 120–126. [Google Scholar] [CrossRef]
- Gatford, K.L.; De Blasio, M.J.; Thavaneswaran, P.; Robinson, J.S.; McMillen, I.C.; Owens, J.A. Postnatal ontogeny of glucose homeostasis and insulin action in sheep. J. Physiol. Endocrinol. Metab. 2004, 286, 1050–1059. [Google Scholar] [CrossRef] [PubMed]

| Item | Protein Supplement Day 0 to 150 | Trace Mineral Salt Day 150 to 390 |
|---|---|---|
| Dry matter (DM), % | 92 | - |
| Crude protein, % of DM | 50 | - |
| Total digestible nutrients, % of DM | 36 | - |
| Mineral mixture *, % of DM | 66 1 | 100 2 |
| Target intake, % of BW | 0.10 | ad libitum |
| Item 2 | Maternal Treatment | SEM | ||
|---|---|---|---|---|
| LHA | HHA | p-Value 2 | ||
| Cow BW 3, kg | ||||
| Day 0 | 426 | 424 | 3.65 | 0.76 |
| Day 130 (near calving) | 407 | 442 | 3.65 | <0.01 |
| Day 390 (weaning) | 399 | 415 | 3.65 | <0.01 |
| Cow ADG, kg/day | ||||
| Days 0 to 150 | −0.155 | 0.141 | 0.05 | <0.01 |
| Days 150 to 390 | −0.020 | −0.100 | 0.03 | 0.01 |
| Cow BCS 3 | ||||
| Day 0 | 3.69 | 3.64 | 0.03 | 0.43 |
| Day 35 | 3.51 | 3.39 | 0.03 | 0.07 |
| Day 70 | 3.07 | 3.15 | 0.03 | 0.25 |
| Day 130 (near calving) | 3.06 | 3.28 | 0.03 | <0.01 |
| Day 150 (calving) | 2.73 | 3.37 | 0.03 | <0.01 |
| Day 203 (start of breeding season) | 2.89 | 2.98 | 0.03 | 0.19 |
| Day 390 (weaning) | 3.01 | 3.11 | 0.03 | 0.14 |
| Cow LMA 3, cm2 | ||||
| Day 0 | 57.6 | 57.7 | 0.86 | 0.94 |
| Day 140 (near calving) | 50.1 | 58.4 | 0.86 | <0.01 |
| Day 390 (weaning) | 52.0 | 51.2 | 0.86 | 0.54 |
| Cow BFT 3, mm | ||||
| Day 0 | 4.09 | 4.09 | 0.14 | 0.99 |
| Day 140 (near calving) | 3.33 | 4.18 | 0.14 | <0.01 |
| Day 390 (weaning) | 3.24 | 3.18 | 0.14 | 0.80 |
| Cow Marbling 3 | 3.80 | 3.92 | 0.08 | 0.15 |
| Cow RFT 3, mm | ||||
| Day 0 | 6.82 | 6.88 | 0.30 | 0.90 |
| Day 130 (near calving) | 5.04 | 6.22 | 0.30 | 0.01 |
| Day 390 (weaning) | 4.47 | 4.53 | 0.30 | 0.90 |
| Cow pregnancy rate, % | 83.3 | 66.7 | - | 0.22 |
| Item | Maternal Treatment | SEM | p-Value | Day of the Study | SEM | p-Value | |||
|---|---|---|---|---|---|---|---|---|---|
| LHA | HHA | Maternal Treatment | 180 | 270 | 360 | Day of the Study | |||
| Milk yield, kg/day | 4.36 | 4.77 | 0.37 | 0.28 | 5.85 | 4.82 | 3.02 | 0.24 | <0.01 |
| Fat-corrected milk yield, kg/day | 4.08 | 4.90 | 0.38 | 0.03 | 5.61 | 5.01 | 2.84 | 0.36 | <0.01 |
| Milk fat, % | 3.61 | 4.06 | 0.18 | 0.01 | 3.74 | 4.24 | 3.54 | 0.26 | <0.01 |
| Milk protein, % | 3.44 | 3.59 | 0.10 | 0.14 | 3.25 | 3.82 | 3.48 | 0.06 | <0.01 |
| Milk lactose, % | 4.63 | 4.61 | 0.12 | 0.89 | 4.70 | 4.76 | 4.40 | 0.08 | 0.02 |
| Milk total solids, % | 12.7 | 13.3 | 0.26 | 0.02 | 12.7 | 13.9 | 12.4 | 0.31 | <0.01 |
| Somatic cell contain, x mil/ml | 272 | 241 | 115 | 0.79 | 420 | 189 | 115 | 76.3 | <0.01 |
| Milk urea N 2, mg/dL | 10.9 | 10.9 | 0.43 | 0.86 | 10.8 | 11.5 | 10.4 | 0.30 | 0.01 |
| Milk casein, % | 2.70 | 2.85 | 0.09 | 0.10 | 2.51 | 3.09 | 2.72 | 0.05 | <0.01 |
| Item | Maternal Treatment | SEM | p-Value | |
|---|---|---|---|---|
| LHA | HHA | Maternal Treatment | ||
| Glucose 1, mg/dL | 82.3 | 82.6 | 4.22 | 0.94 |
| Urea, mg/dL | 33.1 | 27.8 | 2.32 | 0.03 |
| Albumin, g/dL | 3.93 | 3.88 | 0.23 | 0.80 |
| Creatinine 1, mg/dL | 2.04 | 1.86 | 0.13 | 0.16 |
| Total protein, g/dL | 9.25 | 8.25 | 0.68 | 0.15 |
| Cholesterol, mg/dL | 127 | 123 | 7.02 | 0.59 |
| Triglycerides 1, mg/dL | 36.9 | 33.8 | 3.04 | 0.31 |
| Amino aspartate-transferase, U/L | 89.2 | 83.9 | 6.40 | 0.41 |
| Gamma-glutamyl transferase 1, U/L | 17.9 | 18.8 | 1.22 | 0.50 |
| Insulin, ulU/mL | 13.8 | 10.8 | 2.03 | 0.15 |
| IGF-1 1, ng/mL | 194 | 237 | 13.6 | <0.01 |
| Item | Maternal Treatment | SEM | ||
|---|---|---|---|---|
| LHA | HHA | p-Value 2 | ||
| Adjusted body weight, kg | ||||
| Birth | 32.5 | 33.1 | 2.30 | 0.66 |
| Day 270 | 122 | 131 | 2.30 | 0.03 |
| Day 390 (weaning) | 169 | 178 | 2.30 | 0.05 |
| Average daily gain, kg/day | ||||
| Days 150 to 270 | 0.74 | 0.82 | 0.03 | 0.03 |
| Days 270 to 390 | 0.51 | 0.51 | 0.02 | 0.75 |
| Days 0 to 390 | 0.66 | 0.70 | 0.02 | 0.10 |
| Longissimus muscle area, cm2 | 35.0 | 37.1 | 1.36 | 0.13 |
| Backfat thickness, mm | 2.34 | 2.35 | 0.13 | 0.95 |
| Marbling | 2.63 | 2.98 | 0.21 | 0.10 |
| Rump fat thickness, mm | 3.59 | 3.84 | 0.17 | 0.14 |
| Item | Maternal Treatment | SEM | ||
|---|---|---|---|---|
| LHA | HHA | p-Value 2 | ||
| Glucose, mg/dL | ||||
| Day 270 | 89.9 | 94.2 | 3.91 | 0.29 |
| Day 390 (weaning) | 87.8 | 79.8 | 3.91 | 0.12 |
| Urea, mg/dL | 10.8 | 12.4 | 0.88 | 0.07 |
| Albumin, g/dL | 4.15 | 4.17 | 0.10 | 0.82 |
| Creatinine, mg/dL | 1.79 | 1.75 | 0.07 | 0.54 |
| Total proteins, g/dL | 7.75 | 8.24 | 0.26 | 0.06 |
| Cholesterol, mg/dL | 161 | 161 | 7.58 | 0.98 |
| Triglycerides, mg/dL | 39.1 | 36.7 | 2.90 | 0.39 |
| Amino aspartate-transferase 3, U/L | 88.3 | 86.2 | 3.92 | 0.60 |
| Gamma-glutamyl transferase, U/L | 22.0 | 19.1 | 1.14 | 0.01 |
| Insulin, ulU/mL | 7.49 | 4.97 | 0.89 | <0.01 |
| IGF-1, ng/mL | 172 | 186 | 16.5 | 0.39 |
Disclaimer/Publisher’s Note: The statements, opinions and data contained in all publications are solely those of the individual author(s) and contributor(s) and not of MDPI and/or the editor(s). MDPI and/or the editor(s) disclaim responsibility for any injury to people or property resulting from any ideas, methods, instructions or products referred to in the content. |
© 2024 by the authors. Licensee MDPI, Basel, Switzerland. This article is an open access article distributed under the terms and conditions of the Creative Commons Attribution (CC BY) license (https://creativecommons.org/licenses/by/4.0/).
Share and Cite
Sousa, L.M.; de Souza, W.L.; Oliveira, K.A.; Cidrini, I.A.; Moriel, P.; Nogueira, H.C.R.; Ferreira, I.M.; Ramirez-Zamudio, G.D.; Oliveira, I.M.d.; Prados, L.F.; et al. Effect of Different Herbage Allowances from Mid to Late Gestation on Nellore Cow Performance and Female Offspring Growth until Weaning. Animals 2024, 14, 163. https://doi.org/10.3390/ani14010163
Sousa LM, de Souza WL, Oliveira KA, Cidrini IA, Moriel P, Nogueira HCR, Ferreira IM, Ramirez-Zamudio GD, Oliveira IMd, Prados LF, et al. Effect of Different Herbage Allowances from Mid to Late Gestation on Nellore Cow Performance and Female Offspring Growth until Weaning. Animals. 2024; 14(1):163. https://doi.org/10.3390/ani14010163
Chicago/Turabian StyleSousa, Luciana Melo, William Luiz de Souza, Karla Alves Oliveira, Iorrano Andrade Cidrini, Philipe Moriel, Henrique César Rodrigues Nogueira, Igor Machado Ferreira, Germán Dario Ramirez-Zamudio, Ivanna Moraes de Oliveira, Laura Franco Prados, and et al. 2024. "Effect of Different Herbage Allowances from Mid to Late Gestation on Nellore Cow Performance and Female Offspring Growth until Weaning" Animals 14, no. 1: 163. https://doi.org/10.3390/ani14010163
APA StyleSousa, L. M., de Souza, W. L., Oliveira, K. A., Cidrini, I. A., Moriel, P., Nogueira, H. C. R., Ferreira, I. M., Ramirez-Zamudio, G. D., Oliveira, I. M. d., Prados, L. F., Resende, F. D. d., & Siqueira, G. R. (2024). Effect of Different Herbage Allowances from Mid to Late Gestation on Nellore Cow Performance and Female Offspring Growth until Weaning. Animals, 14(1), 163. https://doi.org/10.3390/ani14010163

