Alarm Calling in Plateau Pika (Ochotona curzoniae): Evidence from Field Observations and Simulated Predator and Playback Experiments
Abstract
Simple Summary
Abstract
1. Introduction
2. Materials and Methods
2.1. Study Sites
2.2. Definitions of Vigilance Behavior and Call Types in Plateau Pikas
2.3. Call Recordings and Behavioral Observations in the Field
2.4. Alarm Call Recordings and Identification with the Simulated Predator
2.5. Playback Experiment
2.6. Data Analysis
3. Results
3.1. Call Types of Plateau Pikas
3.2. Preliminary Judgments of Alarm Call
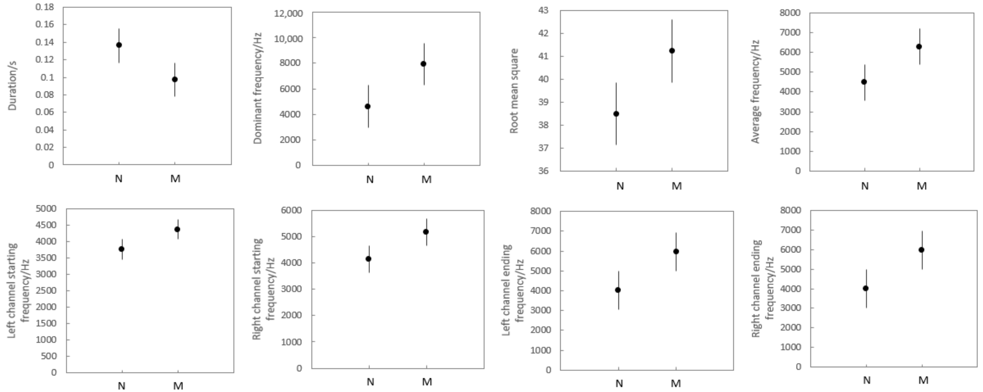
3.3. Sound Characteristics Accompanying Warning Behavior
3.4. Playback Experiments and Alarm Call Response
4. Discussion
5. Conclusions
Author Contributions
Funding
Institutional Review Board Statement
Informed Consent Statement
Data Availability Statement
Acknowledgments
Conflicts of Interest
References
- Bradbury, J.W.; Vehrencamp, S.L. Principles of Animal Communication. Anim. Behav. 2012, 83, 865. [Google Scholar]
 - Lacey, E.A.; Patton, J.L.; Cameron, G.N. Life Underground: The Biology of Subterranean Rodents. Aust. Mammal. 2001, 23, 75–76. [Google Scholar] [CrossRef]
 - Sun, R.Y. Ecology Principle; Beijing Normal University Press: Beijing, China, 2001. [Google Scholar]
 - Shang, Y.C. Behavioral Ecology; Peking University Press: Beijing, China, 1998. [Google Scholar]
 - Shang, Y.C. Animal Ethology; Peking University Press: Beijing, China, 2005. [Google Scholar]
 - Cui, J.G.; Wang, Y.S.; Brauth, S.; Tang, Y. A novel female call incites male–female interaction and male–male competition in the Emei music frog, Babina daunchina. Anim. Behav. 2010, 80, 181–187. [Google Scholar] [CrossRef]
 - Song, J.J. Study of the Call Competitive Strategy of Male Anhui Tree Frog (Rhacophorus zhoukaiyae). Master’s Thesis, Anhui University, Hefei, China, 2020. [Google Scholar]
 - Zhen, Z.M.; Jiang, Z.K.; Chen, A.G. Rodentology; Shanghai Jiaotong University Press: Shanghai, China, 2008. [Google Scholar]
 - Zhang, L.; Fang, J.M. Discrimination of male adult brandt’s vole (Microtus Brandt) on group odour during nonbreeding period. Acta Theriol. Sin. 1996, 16, 285–290. [Google Scholar]
 - Talice, R.V.; Momigliano, E. The particular appetite of ctenomys torquatus (tucutucu); experimental study. Comptes Rendus Seances Soc. Biol. Fil. 1955, 149, 1713. [Google Scholar]
 - Schleich, C.; Busch, C. Acoustic signals of a solitary subterranean rodent Ctenomys talarum (Rodentia: Ctenomyidae): Physical characteristics and behavioural correlates. J. Ethol. 2002, 20, 123–131. [Google Scholar] [CrossRef]
 - Hua, X.Z.; Zhou, R.; Ye, G.H.; Hua, L.M. Analysis and Observation of behavior in plateau pika. Grassl. Turf. 2020, 40, 1–9. [Google Scholar]
 - Francescoli, G. Tuco-tucos’ vocalization output varies seasonally (Ctenomys pearsoni; Rodentia, Ctenomyidae): Implications for reproductive signaling. Acta Ethologica 2011, 14, 1–6. [Google Scholar] [CrossRef]
 - Li, J.J. Development in the Research on the Population Ecology and Behavioral Ecology of Rhombomys opimus. Arid. Zone Res. 2004, 21, 4. [Google Scholar]
 - Mcrae, T.R. A review of squirrel alarm-calling behavior: What we know and what we do not know about how predator attributes affect alarm calls. Anim. Behav. Cogn. 2020, 7, 168–191. [Google Scholar] [CrossRef]
 - Che, Y.; Li, Z. Vigilance Behavior of Animals: Overview and Perspective. Sichuan J. Zool. 2014, 1, 7. [Google Scholar]
 - He, Y.Y.; Lyu, K.; Dong, J.J. Comparison of Vigilance-Related Calls Between Cervus nippon kopschi and Cervus nippon hortulorum. Sichuan J. Zool. 2019, 38, 8. [Google Scholar]
 - Cao, R. Mimawangdui Research progress on hypoxia adaptation mechanism of plateau pika (Ochotona curzoniae). Rural. Sci. Exp. 2021, 23, 146–147. [Google Scholar]
 - Zhu, H.J.; Zhong, L.; Yu, Y.B. Differences in thermoneutral zone and resting metabolic rate of plateau pika at different altitudes. Chin. J. Zool. 2022, 57, 11. [Google Scholar]
 - Hua, X.Z.; Zhou, R.; Ye, G.H.; Hua, R.; Bao, D.A.H.; Tang, Z.S.; Hua, L.M. The temporal distributiong of the long call and its influnencing factous in male plateau pika (Ochotona curzoniae). Acta Theriol. Sin. 2020, 40, 606–614. [Google Scholar]
 - Hua, X.Z. Study on Cochlea Structure and Long Call Signal of Plateau Pika. Master’s Thesis, Gansu Agricultural University, Lanzhou, China, 2020. [Google Scholar]
 - Smith, A.T.; Smith, H.; Wang, X.G.; Ying, X.C.; Liang, J.X.; Wang, L. Social behavior of plateau pika in grassland habitat. Acta Theriol. Sin. 1986, 1, 33–43. [Google Scholar]
 - He, Q.C.; Fang, B.; Long, J.Z.; Xu, T.H. Analysis of acoustic characterisitics of calls of plateau pikas. Acta Acust. 1996, 21, 6. [Google Scholar]
 - Zhang, W.G.; Liu, R.; Jiang, X.L. Influence of Risk Sound Signal on Beha vior Pattern of Pika. Acta Agrestia Sin. 2010, 18, 115–120. [Google Scholar]
 - Smith, A.T.; Foggin, J.M. The plateau pika (Ochotona curzoniae) is a keystone species for biodiversity on the Tibetan plateau. Anim. Conserv. 1999, 2, 235–240. [Google Scholar] [CrossRef]
 - Blumstein, D.T.; Armitage, K.B. Alarm calling in yellow-bellied marmots: I. The meaning of situationally variable alarm calls. Anim. Behav. 1997, 53, 143–171. [Google Scholar] [CrossRef]
 - Liu, X.; Xue, F.; Guo, J.L. Study on the Vocal Communication Behavior of Infant Giant Panda. Sichuan J. Zool. 2019, 38, 6. [Google Scholar]
 - Wang, X.G.; Smith, A.T. On the natural winter mortality of the plateau pika (Ochotona curzoniae). Acta Theriol. Sin. 1988, 8, 152. [Google Scholar]
 - Naya, D.E. Gut size flexibility in rodents: What we know, and don’t know, after a century of research. Rev. Chil. Hist. Nat. 2008, 81, 599–612. [Google Scholar] [CrossRef]
 - Dill, S. Behavioral decisions made under the risk of predation: A review and prospectus. Can. J. Zool. 1990, 68, 619–640. [Google Scholar]
 - Anson, J.R.; Dickman, C.R. Behavioral responses of native prey to disparate predators: Naiveté and predator recognition. Oecologia 2013, 171, 367–377. [Google Scholar] [CrossRef]
 - Erkki, K.; Vesa, K.; Hani, H. Microhabitat use and behavior of voles under weasel and raptor predation risk: Predator facilitation? Behav. Ecol. 1996, 1, 30–34. [Google Scholar]
 - Hayes, A.R.; Huntly, N.J. Effects of Wind on the Behavior and Call Transmission of Pikas (Ochotona princeps). J. Mammal. 2005, 5, 974–981. [Google Scholar] [CrossRef]
 - Barker, A.J.; Veviurko, G.; Bennett, N.C. Cultural transmission of vocal dialect in the naked mole-rat. Science 2021, 371, 503. [Google Scholar] [CrossRef]
 - Zhou, R. The Response of Individuals and Populationsin Plateau Pika (Ochotona curzoniae) to Predation Risk and Changes of Habitat Vegetation Communities. Ph.D. Thesis, Gansu Agricultural University, Lanzhou, China, 2020. [Google Scholar]
 - Cheng, J.C. Principles of Acoustics. Acta Acoust. Sin. 2012, 37, 469. [Google Scholar]
 - Chu, B.; Ye, G.H.; Yang, S.W.; Zhou, F.F.; Zhang, F.Y.; Zhou, J.W.; Hua, L.M. Effect of plateau zokor (Myospalax fontanierii) disturbance on plant community structure and soil properties in the eastern Qinghai-Tibet Plateau, China. Rangel. Ecol. Manag. 2020, 73, 520–530. [Google Scholar] [CrossRef]
 - Sujie, M.; Jianwei, Z.; Fucheng, W.; Yujie, N.; Bin, C.; Yanshan, Z.; Chengpeng, J.; Ting, W.; Limin, H. Effect of Soil Erosion of Plateau Zokor New Mound in Alpine Meadow. J. Soil Water Conserv. 2019, 33, 7. [Google Scholar]
 - Niu, Y.J.; Yang, S.W.; Zhu, H.M.; Zhou, J.W.; Chu, B.; Ma, S.J.; Hua, R.; Hua, L.M. Cyclic formation of zokor mounds promotes plant diversity and renews plant communities in alpine meadows on the Tibetan Plateau. Plant Soil 2020, 446, 65–79. [Google Scholar] [CrossRef]
 - Hong, J.; Du, J.L.; Yun, X.J. Integrated biocontrol of insect pests during the last 10 years in China: Research and practice. Acta Prataculturae Sin. 2014, 23, 303–311. [Google Scholar]
 - Bunescu, H.; Du, D. Ecologically Based Strategies for Pest Control in Grassland Ecosystems. J. Agric. Sci. Technol. 2011, 5, 508–512. [Google Scholar]
 - Yang, D.S. Analysis on the causes of rodent damage in grassland. Xinjiang Anim. Husb. 2008, 2, 52–55. [Google Scholar]
 - Taylor, P.J.; Downs, S.; Monadjem, A.; Eiseb, S.J.; Mulungu, L.S.; Massawe, A.W.; Themb’a, A.M.; Kirsten, F.; Von Maltitz, E.; Malebane, P.; et al. Experimental treatment-control studies of ecologically based rodent management in Africa: Balancing conservation and pest management. Wildl. Res. 2015, 39, 51. [Google Scholar] [CrossRef]
 - Zhang, M.W.; Wang, Y.; Li, B. Reproduction char acter istics of striped field mouse (Apodemus agrarius) and Yangtze voles (Microtus fortis) in the polder of return farm land backinto lake in Dongting Lake regions. Acta Theriol. Sin. 2009, 4, 10. [Google Scholar]
 - Chen, X.; Chen, Y.J.; Zhang, B. EP-1 Anti-fertility effect of levonorgestrel-quinestrol on the reproductive organs of male Apodemus draco and male Apodemus agrarius. Acta Theriol. Sin. 2016, 36, 95. [Google Scholar]
 - Zhang, Z.B. Strengthen international cooperation on rodent prevention and control to promote the sustainable development of agriculture along the “the Belt and Road”. Bull. Chin. Acad. Sci. 2018, 33, 18–21. [Google Scholar]
 








| Study Site | Altitude (m)  | Mean Annual Air Temperature (°C)  | Mean Annual Precipitation (mm)  | Dominant Plant Species  | 
|---|---|---|---|---|
| Bola township | 3212 | 2.1 | 580.0 | Elymus nutans, Poa annua, Potentilla anserina, Kobresia graminifoli, Potentilla fragarioides  | 
| Maai township | 3383 | 2.9 | 592.5 | Kobresia pygmaea, Stipa aliena, Kobresia ansuensis, Festuca rubre, Polygonum viviparum  | 
| Nima township | 3527 | 1.8 | 593.3 | Elymus nutans, Stipa purpurea, Poa annua, Potentilla ansrina, Kobresia graminifolia, Anemone trullifolia  | 
Disclaimer/Publisher’s Note: The statements, opinions and data contained in all publications are solely those of the individual author(s) and contributor(s) and not of MDPI and/or the editor(s). MDPI and/or the editor(s) disclaim responsibility for any injury to people or property resulting from any ideas, methods, instructions or products referred to in the content.  | 
© 2023 by the authors. Licensee MDPI, Basel, Switzerland. This article is an open access article distributed under the terms and conditions of the Creative Commons Attribution (CC BY) license (https://creativecommons.org/licenses/by/4.0/).
Share and Cite
Ma, M.; Hua, R.; Bao, D.; Ye, G.; Tang, Z.; Hua, L. Alarm Calling in Plateau Pika (Ochotona curzoniae): Evidence from Field Observations and Simulated Predator and Playback Experiments. Animals 2023, 13, 1271. https://doi.org/10.3390/ani13071271
Ma M, Hua R, Bao D, Ye G, Tang Z, Hua L. Alarm Calling in Plateau Pika (Ochotona curzoniae): Evidence from Field Observations and Simulated Predator and Playback Experiments. Animals. 2023; 13(7):1271. https://doi.org/10.3390/ani13071271
Chicago/Turabian StyleMa, Meina, Rui Hua, Darhan Bao, Guohui Ye, Zhuangsheng Tang, and Limin Hua. 2023. "Alarm Calling in Plateau Pika (Ochotona curzoniae): Evidence from Field Observations and Simulated Predator and Playback Experiments" Animals 13, no. 7: 1271. https://doi.org/10.3390/ani13071271
APA StyleMa, M., Hua, R., Bao, D., Ye, G., Tang, Z., & Hua, L. (2023). Alarm Calling in Plateau Pika (Ochotona curzoniae): Evidence from Field Observations and Simulated Predator and Playback Experiments. Animals, 13(7), 1271. https://doi.org/10.3390/ani13071271
        
