Attitudes and Beliefs of a Sample of Australian Dog and Cat Owners towards Pet Confinement
Abstract
Simple Summary
Abstract
1. Introduction
2. Materials and Methods
2.1. Procedures
2.2. Data Setup
2.3. Data Analysis
3. Results
3.1. Participants’ Demographics
3.2. Supportive Attitudes towards Pet Confinement
3.2.1. General Attitudes
3.2.2. Gender of Participants
3.2.3. Age
3.2.4. Property Type
3.2.5. Number of Dogs/Cats Owned
3.2.6. Unowned/Feral Dogs/Cats in Neighborhood
3.3. Pet Owners’ Concerns and Beliefs
3.3.1. Pet–Owner Bond
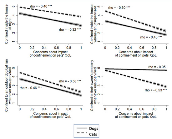
3.3.2. Concerns about Impact of Confinement on Pets Quality of Life (QOL)
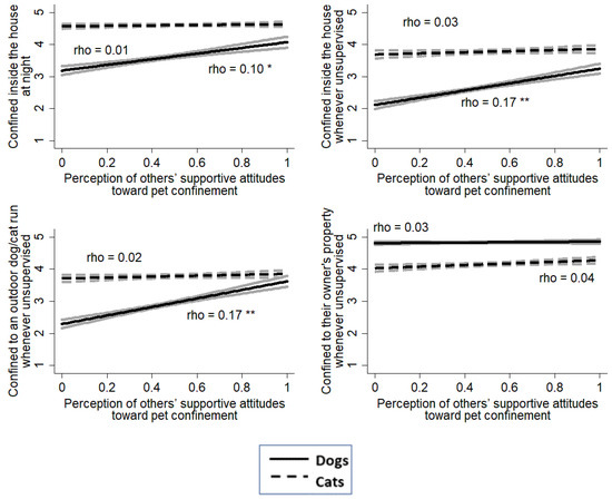
3.3.3. Perception of Others’ Attitudes towards Pet Confinement
3.3.4. Concerns about Wildlife Predation by Pets
3.4. Pet Ownership Status and Attitudes towards Cat Confinement
4. Discussion
4.1. Dogs
4.2. Cats
5. Limitations and Future Research
6. Conclusions
Author Contributions
Funding
Institutional Review Board Statement
Informed Consent Statement
Data Availability Statement
Acknowledgments
Conflicts of Interest
Appendix A
| Attitudes Towards Confinement of Dogs | ||||||||||||
|---|---|---|---|---|---|---|---|---|---|---|---|---|
| Ownership Status | Dogs Should Be Confined inside the House at Night | Dogs Should Be Confined inside the House Whenever Unsupervised | Dogs Should Be Confined to an Outdoor Dog Run When Unsupervised | Dogs Should Be Confined to Their Owner’s Property Whenever Unsupervised | ||||||||
| n (%) | Crude OR (95% CI) 1 | Adjusted OR (95% CI) 2 | n (%) | Crude OR (95% CI) 1 | Adjusted OR (95% CI) 2 | n (%) | Crude OR (95% CI) 1 | Adjusted OR (95% CI) 2 | n (%) | Crude OR (95% CI) 1 | Adjusted OR (95% CI) 2 | |
| Dog-only owners (reference group; n = 600) | 317 (52.8%) | 1 | 1 | 99 (16.5%) | 1 | 1 | 151 (25.2%) | 1 | 1 | 593 (98.8%) | 1 | 1 |
| Owners of cats and dogs (n = 691) | 382 (55.3%) | 1.1 (0.8,1.3) | 1.0 (0.8,1.2) | 129 (18.7%) | 1.1 (0.8, 1.5) | 1.0 (0.7, 1.4) | 192 (27.8%) | 1.1 (0.8, 1.4) | 1.1 (0.8, 1.4) | 686 (99.3%) | 0.4 (0.1–1.1) | 0.4 (0.1, 1.1) |
| Non-dog owners (n = 477) | 280 (58.7%) | 1.2 (0.9,1.6) | 1.2 (0.9,1.6) | 104 (21.8%) | 1.4 (1.0, 1.9) | 1.4 (1.0, 2.0) | 207 (43.4%) | 2.2 (1.7, 2.9) | 2.3 (1.9, 3.4) | 465 (97.5%) | 1.6 (0.5–5.1) | 1.5 (0.5, 5.0) |
| Attitudes towards Confinement of Cats | ||||||||||||
| Ownership Status | Cats should be confined inside the house at night | Cats should be confined inside the house whenever unsupervised | Cats should be confined to an outdoor cat run when unsupervised | Cats should be confined to their owner’s property whenever unsupervised | ||||||||
| n (%) | Crude OR (95% CI) 1 | Adjusted OR (95% CI) 3 | n (%) | Crude OR (95% CI) 1 | Adjusted OR (95% CI) 3 | n (%) | Crude OR (95% CI) 1 | Adjusted OR (95% CI) 3 | n (%) | Crude OR (95% CI) 1 | Adjusted OR (95% CI) 3 | |
| Cat -only owners (reference group; n = 467) | 416 (89.1%) | 1 | 1 | 243 (52.0%) | 1 | 1 | 250 (53.5%) | 1 | 1 | 327 (70.0%) | 1 | 1 |
| Owners of cats and dogs (n = 679) | 607 (89.4%) | 1.03 (0.7, 1.5) | 0.8 (0.5, 1.3) | 373 (54.9%) | 1.1 (0.8,1.4) | 0.9 (0.7, 1.3) | 382 (56.3%) | 1.1 (0.8, 1.4) | 0.9 (0.7, 1.2) | 489 (72.0%) | 1.1 (0.8–1.4) | .9 (0.7, 1.3) |
| Non-cat owners (n = 576) | 547 (94.9%) | 2.3 (1.4, 3.7) | 1.4 (0.8,2.3) | 443 (75.2%) | 2.7 (2.1, 3.6) | 2.3 (1.7, 3.2) | 463 (80.4%) | 3.5 (2.7, 4.6) | 3.0 (2.1, 4.1) | 514 (89.2%) | 3.5 (2.5–4.9) | 2.9 (2.0, 1.2) |




| Jurisdiction | Cat Containment Legislation Provisions for Cat Curfews, Containment, Prohibition Areas or Zones |
|---|---|
| Australian Capital Territory | Cat containment has been extended across the ACT for cats born on or after 1 July 2022. Cats must be kept on the owner’s premises 24 h a day. This can include inside a house or apartment, an enclosed area in a backyard or courtyard, or a cat crate. Cats born before 1 July 2022 do not have to be contained, unless they live in one of the 17 currently declared cat containment suburbs. |
| New South Wales | No state-based containment legislation. Cats are prohibited in food preparation/consumption areas and can be prohibited from designated wildlife protection areas. |
| Victoria | Under the Domestic (Feral & Nuisance) Animals Act 1994 Councils have power to make a local law. Local governments must go through a process of developing and implementing the regulations. Approximately half the 79 Victorian Councils require cats to be confined to their owner’s property 24/7 or during certain hours. Others prohibit or restrict cats in some places. |
| Queensland | Council’s Animals Local Law 2017 requires a keeper of an animal to provide an enclosure and prevent the animal from wandering. Local governments must go through a process of developing and implementing the regulations. Cats are required to be kept on their owner’s/keeper’s property, and prevented from wandering or escaping. |
| South Australia | Local governments must go through a process of developing and implementing the regulations. Only a minority of Councils have a by-law that requires all cats to be kept on the owner’s property at all times. |
| Western Australia | No state-based containment legislation. Some local government areas prohibit cats from certain areas e.g., reserves. |
| Northern territory | No territory-based legislation relating to pet cats. Some local governments have regulations in place (e.g., Darwin City Council has containment laws) |
| Tasmania | There is no requirement in Tasmanian legislation to confine pet cats. Cats are not permitted in ‘prohibited areas’, such as national parks and areas under conservation covenants, and Councils may declare other areas to be ‘cat management areas’, enabling Councils to control cats in those areas. |
References
- Chua, D.; Rand, J.; Morton, J. Surrendered and stray dogs in Australia—Estimation of numbers entering municipal pounds, shelters and rescue groups and their outcomes. Animals 2017, 7, 50. [Google Scholar] [CrossRef] [PubMed]
- Hemy, M.; Rand, J.; Morton, J.; Paterson, M. Characteristics and outcomes of dogs admitted into Queensland RSPCA shelters. Animals 2017, 7, 67. [Google Scholar] [CrossRef] [PubMed]
- Kerr, C.; Rand, J.; Morton, J.; Reid, R.; Paterson, M. Changes Associated with Improved Outcomes for Cats Entering RSPCA Queensland Shelters from 2011 to 2016. Animals 2018, 8, 95. [Google Scholar] [CrossRef] [PubMed]
- Alberthsen, C.; Rand, J.S.; Bennett, P.C.; Paterson, M.; Lawrie, M.; Morton, J.M. Cat admissions to RSPCA shelters in Queensland, Australia: Description of cats and risk factors for euthanasia after entry. Aust. Vet. J. 2013, 91, 35–42. [Google Scholar] [CrossRef]
- Rand, J.; Lancaster, E.; Inwood, G.; Cluderay, C.; Marston, L. Strategies to reduce the euthanasia of impounded dogs and cats used by councils in Victoria, Australia. Animals 2018, 8, 100. [Google Scholar] [CrossRef]
- RSPCA Australia, RSPCA Australia Annual Statistics. Available online: https://www.rspca.org.au/sites/default/files/RSPCA%20Australia%20Annual%20Statistics%202021-2022.pdf (accessed on 10 January 2023).
- Chua, D.; Rand, J.; Morton, J. Surrendered and Stray Cats in Australia—Estimation of Numbers Entering Municipal Pounds, Shelters and Rescue Groups and Their Outcomes. Animals 2022. Unpublished. [Google Scholar]
- RSPCA Australia Identifying Best Practice Domestic Cat Management in Australia. 2018. Available online: https://kb.rspca.org.au/wp-content/uploads/2019/01/Identifying-Best-Practice-Domestic-Cat-Management-in-Australia-RSPCA-Research-Report-May-2018.pdf (accessed on 19 January 2023).
- Baran, B.E.; Allen, J.A.; Rogelberg, S.G.; Spitzmüller, C.; DiGiacomo, N.A.; Webb, J.B.; Carter, N.T.; Clark, O.L.; Teeter, L.A.; Walker, A.G. Euthanasia-related strain and coping strategies in animal shelter employees. J. Am. Vet. Med. Assoc. 2009, 235, 83–88. [Google Scholar] [CrossRef]
- Reeve, C.L.; Rogelberg, S.G.; Spitzmuller, C.; Digiacomo, N. The Caring-Killing Paradox: Euthanasia-Related Strain among Animal-Shelter Workers1. J. Appl. Soc. Psychol. 2005, 35, 119–143. [Google Scholar] [CrossRef]
- Bennett, P.; Rohlf, V. Perpetration-Induced Traumatic Stress in Persons Who Euthanize Nonhuman Animals in Surgeries, Animal Shelters, and Laboratories. Soc. Anim. 2005, 13, 201–220. [Google Scholar] [CrossRef]
- Rollin, B.E. Euthanasia, Moral Stress, and Chronic Illness in Veterinary Medicine. Vet. Clin. N. Am. Small Anim. Pract. 2011, 41, 651–659. [Google Scholar] [CrossRef]
- Tiesman, H.M.; Konda, S.; Hartley, D.; Menéndez, C.C.; Ridenour, M.; Hendricks, S. Suicide in U.S. Workplaces, 2003–2010: A comparison with non-workplace suicides. Am. J. Prev. Med. 2015, 48, 674–682. [Google Scholar] [CrossRef]
- Whiting, T.L.; Marion, C.R. Perpetration-induced traumatic stress—A risk for veterinarians involved in the destruction of healthy animals. Can. Vet. J. 2011, 52, 794–796. [Google Scholar]
- Kreisler, R.E.; Pugh, A.A.; Pemberton, K.; Pizano, S. The Impact of Incorporating Multiple Best Practices on Live Outcomes for a Municipal Animal Shelter in Memphis, TN. Front. Vet. Sci. 2022, 9, 786866. [Google Scholar] [CrossRef]
- Zito, S.; Vankan, D.; Bennett, P.; Paterson, M.; Phillips, C.J.C. Cat ownership perception and caretaking explored in an internet survey of people associated with cats. PLoS ONE 2015, 10, 1–21. [Google Scholar] [CrossRef] [PubMed]
- Zito, S.; Paterson, M.; Morton, J.; Vankan, D.; Bennett, P.; Rand, J.; Phillips, C.J.C. Surrenderers’ relationships with cats admitted to four Australian animal shelters. Animals 2018, 8, 23. [Google Scholar] [CrossRef]
- Grayson, J.; Calver, M.; Styles, I. Attitudes of suburban Western Australians to proposed cat control legislation. Aust. Vet. J. 2002, 80, 536–543. [Google Scholar] [CrossRef] [PubMed]
- Travaglia, M.; Miller, K.K. Cats in the Australian environment: What’s your purr-spective? Australas. J. Environ. Manag. 2018, 25, 153–173. [Google Scholar] [CrossRef]
- Kobelt, A.J.; Hemsworth, P.H.; Barnett, J.L.; Coleman, G.J. A survey of dog ownership in suburban Australia—Conditions and behaviour problems. Appl. Anim. Behav. Sci. 2003, 82, 137–148. [Google Scholar] [CrossRef]
- Rohlf, V.I.; Bennett, P.C.; Toukhsati, S.; Coleman, G. Why Do Even Committed Dog Owners Fail to Comply with Some Responsible Ownership Practices? Anthrozoos 2010, 23, 143–155. [Google Scholar] [CrossRef]
- Van DeKuyt, N. Turning research into reality: How councils can use findings from a survey to help manage pets in the community. In Proceedings of the Urban Animal Management National Conference 2004, Melbourne, Australia; 2004; pp. 79–87. [Google Scholar]
- Elliott, A.; Howell, T.J.; McLeod, E.M. Bennett Perceptions of Responsible Cat Ownership Behaviors among a Convenience Sample of Australians. Animals 2019, 9, 703. [Google Scholar] [CrossRef]
- Hall, C.M.; Adams, N.A.; Bradley, J.S.; Bryant, K.A.; Davis, A.A.; Dickman, C.R.; Fujita, T.; Kobayashi, S.; Lepczyk, C.A.; McBride, E.A.; et al. Community attitudes and practices of urban residents regarding predation by pet cats on wildlife: An International comparison. PLoS ONE 2016, 11, 1–30. [Google Scholar] [CrossRef]
- Toukhsati, S.R.; Young, E.; Bennett, P.C.; Coleman, G.J. Wandering cats: Attitudes and behaviors towards cat containment in Australia. Anthrozoos 2012, 25, 61–74. [Google Scholar] [CrossRef]
- Linklater, W.L.; Farnworth, M.J.; Heezik, Y.; Stafford, K.J.; MacDonald, E.A. Prioritizing cat-owner behaviors for a campaign to reduce wildlife depredation. Conserv. Sci. Pract. 2019, 1, e29. [Google Scholar] [CrossRef]
- Ajzen, I. The theory of planned behavior. Organ. Behav. Hum. Decis. Process. 1991, 50, 179–211. [Google Scholar] [CrossRef]
- Schwab, N.; Harton, H.C.; Cullum, J.G. The Effects of Emergent Norms and Attitudes on Recycling Behavior. Environ. Behav. 2014, 46, 403–422. [Google Scholar] [CrossRef]
- Legge, S.; Woinarski, J.C.Z.; Dickman, C.R.; Murphy, B.P.; Woolley, L.A.; Calver, M.C. We need to worry about Bella and Charlie: The impacts of pet cats on Australian wildlife. Wildl. Res. 2020, 47, 523–539. [Google Scholar] [CrossRef]
- Grayson, J.; Calver, M.; Lymbery, A. Species Richness and Community Composition of Passerine Birds in Suburban Perth: Is Predation by Pet Cats the most Important Factor? In Pest or Guest; Royal Zoological Society of New South Wales: Sydney, Australia, 2007; pp. 195–207. [Google Scholar] [CrossRef]
- Lilith, M.; Calver, M.; Styles, I.; Garkaklis, M. Protecting wildlife from predation by owned domestic cats: Application of a precautionary approach to the acceptability of proposed cat regulations. Austral. Ecol. 2006, 31, 176–189. [Google Scholar] [CrossRef]
- Maclagan, S.J.; Coates, T.; Ritchie, E.G. Don’t judge habitat on its novelty: Assessing the value of novel habitats for an endangered mammal in a peri-urban landscape. Biol. Conserv. 2018, 223, 11–18. [Google Scholar] [CrossRef]
- Barratt, D.G. Predation by house cats, Felis catus (L.), in Canberra, Australia. II. Factors affecting the amount of prey caught and estimates of the impact on wildlife. Wildl. Res. 1998, 25, 475. [Google Scholar] [CrossRef]
- Woinarski, J.C.Z.; Murphy, B.P.; Palmer, R.; Legge, S.M.; Dickman, C.R.; Doherty, T.S.; Edwards, G.; Nankivell, A.; Read, J.L.; Stokeld, D. How many reptiles are killed by cats in Australia? Wildl. Res. 2018, 45, 247–266. [Google Scholar] [CrossRef]
- Franklin, M.; Rand, J.; Marston, L.; Morton, J. Do Pet Cats Deserve the Disproportionate Blame for Wildlife Predation Compared to Pet Dogs? Front. Vet. Sci. 2021, 8, 1–22. [Google Scholar] [CrossRef]
- Bruce, S.J.; Zito, S.; Gates, M.C.; Aguilar, G.; Walker, J.K.; Goldwater, N.; Dale, A. Predation and risk behaviors of free-roaming owned cats in Auckland, New Zealand via the use of animal-borne cameras. Front. Vet. Sci. 2019, 6, 205. [Google Scholar] [CrossRef]
- Bourne, D. Enrichment for Indoor Cats. Vet. Nurse 2017, 8, 348. [Google Scholar] [CrossRef]
- Naik, R.; Witzel, A.; Albright, J.D.; Siegfried, K.; Gruen, M.E.; Thomson, A.; Price, J.; Lascelles, B.D.X. Pilot study evaluating the effect of feeding method on overall activity of neutered indoor pet cats. J. Vet. Behav. 2018, 25, 9–13. [Google Scholar] [CrossRef]
- Strickler, B.L.; Shull, E.A. An owner survey of toys, activities, and behavior problems in indoor cats. J. Vet. Behav. 2014, 9, 207–214. [Google Scholar] [CrossRef]
- Qualtrics website. Qualtrics, 2015, Provo, UT, USA. 2015. Available online: www.qualtrics.com (accessed on 24 January 2023).
- Miller, P.S.; Boone, J.D.; Briggs, J.R.; Lawler, D.F.; Levy, J.K.; Nutter, F.B.; Slater, M.; Zawistowski, S. Simulating free-roaming cat population management options in open demographic environments. PLoS ONE 2014, 9, 1–17. [Google Scholar] [CrossRef]
- Ly, L.H.; Gordon, E.; Protopopova, A. Inequitable Flow of Animals in and Out of Shelters: Comparison of Community-Level Vulnerability for Owner-Surrendered and Subsequently Adopted Animals. Front. Vet. Sci. 2021, 8, 784389. [Google Scholar] [CrossRef]
- Fishbein, M.; Ajzen, L. Belief, Attitude, Intention and Behaviour: An Introduction to Theory and Research; Addison-Wesley: Boston, MA, USA, 1975. [Google Scholar]
- Fishbein, M.; Ajzen, I. Understanding Attitudes and Predicting Social Behaviour; Prentice-Hall: Englewood Cliffs, NJ, USA, 1980. [Google Scholar]
- Rinzin, K.; Stevenson, M.A.; Probert, D.W.; Bird, R.G.; Jackson, R.; French, N.P.; Weir, J.A. Free-roaming and surrendered dogs and cats submitted to a humane shelter in Wellington, New Zealand, 1999–2006. N. Z. Vet. J. 2008, 56, 297–303. [Google Scholar] [CrossRef] [PubMed]
- Marsh, P. Replacing Myth with Math: Using Evidence-Based Programs to Eradicate Shelter Overpopulation; Town and Country Reprographics, Incorporated: Concord, NH, USA, 2010. [Google Scholar]
- Miller, G.S.; Slater, M.R.; Weiss, E. Effects of a Geographically-Targeted Intervention and Creative Outreach to Reduce Shelter Intake in Portland, Oregon. Open J. Anim. Sci. 2014, 4, 165–174. [Google Scholar] [CrossRef]
- Dyer, J.L.; Milot, L. Social vulnerability assessment of dog intake location data as a planning tool for community health program development: A case study in Athens-Clarke County, GA, 2014–2016. PLoS ONE 2019, 14, e0225282. [Google Scholar] [CrossRef] [PubMed]
- Power, E.R. Renting with pets: A pathway to housing insecurity? Hous. Stud. 2017, 32, 336–360. [Google Scholar] [CrossRef]
- ASPCA Policy and Position Statement, Position Statement on Keeping Pets and People Together. Available online: https://www.aspca.org/about-us/aspca-policy-and-position-statements/position-statement-keeping-pets-and-people-together (accessed on 18 December 2022).
- Humane Society of Charlotte Humane Society of Charlotte transitions fence-building program and launches Humane Education initiative. The Humane Society of Charlotte, 2 March 2022. Available online: https://humanesocietyofcharlotte.org/wp-content/uploads/2020/11/News-Release-iBuild-Transition-Humane-Ed-Launch-1.pdf (accessed on 18 December 2022).
- Holderness-Roddam, B.; McQuillan, P.B. Domestic dogs (Canis familiaris) as a predator and disturbance agent of wildlife in Tasmania. Australas. J. Environ. Manag. 2014, 21, 441–452. [Google Scholar] [CrossRef]
- NSW Wildlife Rehabilitation Dashboard. 2021. Available online: https://www.environment.nsw.gov.au/topics/animals-and-plants/native-animals/rehabilitating-native-animals/wildlife-rehabilitation-reporting/wildlife-rehabilitation-data (accessed on 24 January 2023).
- Shumway, N.; Seabrook, L.; McAlpine, C.; Ward, P. A mismatch of community attitudes and actions: A study of koalas. Landsc. Urban Plan 2014, 126, 42–52. [Google Scholar] [CrossRef]
- de Oliveira, S.M.; Murray, P.J.; de Villiers, D.L.; Baxter, G.S. Ecology and movement of urban koalas adjacent to linear infrastructure in coastal south-east Queensland. Aust. Mammal 2014, 36, 45. [Google Scholar] [CrossRef]
- Rundle-Thiele, S. A reflection on motivating community action to protect an endangered species using marketing. Eur. J. Mark 2022, 56, 2558–2572. [Google Scholar] [CrossRef]
- Queensland Parks and Wildlife Koalas and Dogs Factsheet. 2006. Available online: http://wildcare.org.au/Documents/Koalas_and_dogs.pdf (accessed on 19 January 2023).
- Narayan, E. Physiological stress levels in wild koala sub-populations facing anthropogenic induced environmental trauma and disease. Sci. Rep. 2019, 9, 6031. [Google Scholar] [CrossRef] [PubMed]
- Taylor-Brown, A.; Booth, R.; Gillett, A.; Mealy, E.; Ogbourne, S.M.; Polkinghorne, A.; Conroy, G.C. The impact of human activities on Australian wildlife. PLoS ONE 2019, 14, 1–28. [Google Scholar] [CrossRef]
- City of Hobsons Hobsons Bay City Council 16 December 2014 Ordinary Council Meeting Agenda Appendix 1 Cat curfew. 2014. Available online: https://www.hobsonsbay.vic.gov.au/files/assets/public/documents/council-meetings/from-old-website/2014/1216/appendix_1_-_cat_curfew.pdf (accessed on 31 July 2022).
- Hume City Council Council Meeting of the Hume City Council. Hume, Victoria, April 2018. Available online: https://www.hume.vic.gov.au/files/assets/public/hptrim/fbl-council-subject-files/governance-council-meetings-minutes-and-agenda-council-meetings-and-committees-arrangements-minutes-agendas/20180416-minutes-ordinary-meeting-of-the-hume-city-council-monday-16-april-2018.pdf (accessed on 18 January 2023).
- Merri-bek City Council Proposed Minutes of the Council Meeting. Merri-bek, Victoria, December 2022. Available online: https://www.merri-bek.vic.gov.au/globalassets/website-merri-bek/areas/my-council/council-and-committee-meetings/council-and-parm-meetings/minutes/2022-minutes/council-minutes-2022-12-07-december---pdf.pdf (accessed on 18 January 2023).
- Tan, K.; Rand, J.; Morton, J. Trap-neuter-return activities in urban stray cat colonies in Australia. Animals 2017, 7, 46. [Google Scholar] [CrossRef]
- Zito, S.; Morton, J.; Vankan, D.; Paterson, M.; Bennett, P.C.; Rand, J.; Phillips, C.J.C. Reasons People Surrender Unowned and Owned Cats to Australian Animal Shelters and Barriers to Assuming Ownership of Unowned Cats. J. Appl. Anim. Welf. Sci. 2016, 19, 303–319. [Google Scholar] [CrossRef]
- Toukhsati, S.R.; Bennett, P.C.; Coleman, G.J. Behaviors and attitudes towards semi-owned cats. Anthrozoos 2007, 20, 131–142. [Google Scholar] [CrossRef]
- Wires Domestic Pets and Wildlife. 2023. Available online: https://www.wires.org.au/wildlife-information/domestic-pets-and-wildlife (accessed on 18 January 2023).
- Berenguer, J. The Effect of Empathy in Proenvironmental Attitudes and Behaviors. Environ. Behav. 2007, 39, 269–283. [Google Scholar] [CrossRef]
- Boomsma, C.; Pahl, S.; Andrade, J. Imagining Change: An Integrative Approach toward Explaining the Motivational Role of Mental Imagery in Pro-environmental Behavior. Front. Psychol. 2016, 7, 1780. [Google Scholar] [CrossRef]
- Hammond, D. Health warning messages on tobacco products: A review. Tob. Control 2011, 20, 327–337. [Google Scholar] [CrossRef] [PubMed]
- McLeod, L.J.; Hine, D.W.; Bengsen, A.J. Born to roam? Surveying cat owners in Tasmania, Australia, to identify the drivers and barriers to cat containment. Prev. Vet. Med. 2015, 122, 339–344. [Google Scholar] [CrossRef] [PubMed]
- McLeod, L.J.; Evans, D.; Jones, B.; Paterson, M.; Zito, S. Understanding the relationship between intention and cat containment behaviour: A case study of kitten and cat adopters from RSPCA Queensland. Animals 2020, 10, 1214. [Google Scholar] [CrossRef] [PubMed]
- Lawson, G.T.; Langford, F.M.; Harvey, A.M. The environmental needs of many Australian pet cats are not being met. J. Feline Med. Surg. 2019, 22, 898–906. [Google Scholar] [CrossRef]
- Woods, M.; McDonald, R.A.; Harris, S. Predation of wildlife by domestic cats Felis catus in Great Britain. Mamm. Rev. 2003, 33, 174–188. [Google Scholar] [CrossRef]
- Walker, J.K.; Bruce, S.J.; Dale, A.R. A survey of public opinion on cat (Felis catus) predation and the future direction of cat management in New Zealand. Animals 2017, 7, 49. [Google Scholar] [CrossRef]
- Ma, G. Keeping Cats Safe at Home Program. In Australian Institute of Animal Management; Australian Institute of Animal Management: Melbourne, Australia, 2022. [Google Scholar]
- Eeden, L.M.; Hames, F.; Faulkner, R.; Geschke, A.; Squires, Z.E.; McLeod, E.M. Putting the cat before the wildlife: Exploring cat owners’ beliefs about cat containment as predictors of owner behavior. Conserv. Sci. Pract. 2021, 3, 10. [Google Scholar] [CrossRef]
- Gordon, J.K.; Matthaei, C.; van Heezik, Y. Belled collars reduce catch of domestic cats in New Zealand by half. Wildl. Res. 2010, 37, 372. [Google Scholar] [CrossRef]
- Barratt, D.G. Predation by house cats, Felis catus (L.), in Canberra, Australia. I. Prey composition and preference. Wildl. Res. 1997, 24, 263–277. [Google Scholar] [CrossRef]
- Woinarski, J.C.Z.; Murphy, B.P.; Legge, S.M.; Garnett, S.T.; Lawes, M.J.; Comer, S.; Dickman, C.R.; Doherty, T.S.; Edwards, G.; Nankivell, A.; et al. How many birds are killed by cats in Australia? Biol. Conserv. 2017, 214, 76–87. [Google Scholar] [CrossRef]
- Murphy, B.P.; Woolley, L.-A.; Geyle, H.M.; Legge, S.M.; Palmer, R.; Dickman, C.R.; Augusteyn, J.; Brown, S.C.; Comer, S.; Doherty, T.S.; et al. Introduced cats (Felis catus) eating a continental fauna: The number of mammals killed in Australia. Biol. Conserv. 2019, 237, 28–40. [Google Scholar] [CrossRef]
- Macdonald, E.; Milfont, T.; Gavin, M. What drives cat-owner behaviour? First steps towards limiting domestic-cat impacts on native wildlife. Wildl. Res. 2015, 42, 257–265. [Google Scholar] [CrossRef]
- Foreman-worsley, R.; Finka, L.R.; Ward, S.J. Indoors or Outdoors? An International Exploration of Owner Demographics and Decision Making Associated with Lifestyle of Pet Cats. Animals 2021, 11, 253. [Google Scholar] [CrossRef]
- Crowley, S.L.; Cecchetti, M.; Mcdonald, R.A. Diverse perspectives of cat owners indicate barriers to and opportunities for managing cat predation of wildlife. Front. Ecol. Environ. 2020, 10, 544–549. [Google Scholar] [CrossRef]
- Blair, S.A.E.; Wescott, G.; Miller, K.K. Backyard bandicoots: Community attitudes towards conservation planning in residential developments. Australas. J. Environ. Manag. 2016, 23, 227–244. [Google Scholar] [CrossRef]
- Mccarthy, S. Managing impacts of domestic cats in peri-urban reserves. In Proceedings of the Urban Animal Management National Conference 2005, Melbourne, Australia; 2005; pp. 103–109. [Google Scholar]
- Foreman-Worsley, R.; Farnworth, M.J. A systematic review of social and environmental factors and their implications for indoor cat welfare. Appl. Anim. Behav. Sci. 2019, 220, 104841. [Google Scholar] [CrossRef]
- Alberthsen, C.; Rand, J.; Morton, J.; Bennett, P.; Paterson, M.; Vankan, D. Numbers and characteristics of cats admitted to roya society for the prevention of cruelty to animals (RSPCA) shelters in Australia and reasons for surrender. Animals 2016, 6, 23. [Google Scholar] [CrossRef]
- Zito, S.; Morton, J.; Paterson, M.; Vankan, D.; Bennett, P.C.; Rand, J.; Phillips, C.J.C. Cross-Sectional Study of Characteristics of Owners and Nonowners Surrendering Cats to Four Australian Animal Shelters. J. Appl. Anim. Welf. Sci. 2016, 19, 126–143. [Google Scholar] [CrossRef] [PubMed]
- Australian Bureau of Statistics 2021 Census All Persons QuickStats. 2021. Available online: https://www.abs.gov.au/census/find-census-data/quickstats/2021/AUS (accessed on 18 November 2022).
- Hughes, K.L.; Slater, M.R.; Haller, L. The Effects of Implementing a Feral Cat Spay/Neuter Program in a Florida County Animal Control Service. J. Appl. Anim. Welf. Sci. 2002, 5, 285–298. [Google Scholar] [CrossRef]
- City of Yarra, “Yarra Ranges Council Domestic Animal Management Plan.” 2018–2021. Available online: https://www.yarraranges.vic.gov.au/files/assets/public/webdocuments/council/policies-strategies/animal-management-plan.pdf (accessed on 10 November 2022).
- City of Casey, “City of Casey Domestic Animal Management Plan,” 2021-2025. Available online: https://www.casey.vic.gov.au/policies-strategies/domestic-animal-management-plan-2021-2025 (accessed on 10 November 2022).
- Casey City Council, D Baker (2001) Urban Animal Management Conference Proceedings 2001. Available online: https://aiam.org.au/resources/Documents/2001%20UAM/PUB_Pro01_DaveBaker.pdf (accessed on 10 November 2022).
- RSPCA SA RSPCA South Australia Letter to Campbelltown Council. Agenda Council Meeting 3 May 2022. Available online: https://www.campbelltown.sa.gov.au/ (accessed on 31 July 2022).
- Banyule City Council, “Submission No 141 to House Standing Committee on the Environment and Energy, Parliament of Australia, Inquiry into the problem of feral and domestic cats in Australia.” 2020. Available online: https://www.aph.gov.au/Parliamentary_Business/Committees/House/Former_Committees/Environment_and_Energy/Feralanddomesticcats/Submissions (accessed on 10 November 2022).
- Cotterell, J.; Rand, J.; Ahmadabadi, Z. “Outcomes Associated with A Community Cat Program Based On High-Intensity Sterilization Of Owned And Semi-Owned Cats In Target Areas”. 2021. Available online: https://petwelfare.org.au/wp-content/uploads/2022/02/Aust-Community-Cat-Program-Dec-2021.pdf (accessed on 31 July 2022).
- Australian Pet Welfare Foundation Community Cat Program 2022 Mid-Year Report. 2022. Available online: https://petwelfare.org.au/wp-content/uploads/2022/10/Aust-Community-Cat-Program-2022-MidYear-Report.pdf (accessed on 18 January 2023).
- Redpath, S.M.; Young, J.; Evely, A.; Adams, W.M.; Sutherland, W.J.; Whitehouse, A.; Amar, A.; Lambert, R.A.; Linnell, J.D.C.; Watt, A.; et al. Understanding and managing conservation conflicts. Trends Ecol. Evol. 2013, 28, 100–109. [Google Scholar] [CrossRef] [PubMed]
- Crowley, S. Ecological Politics and Practices in Introduced Species Management; University of Exeter: Cornwall, UK, 2017. [Google Scholar]
- Fischer, A.; Selge, S.; van der Wal, R.; Larson, B.M.H. The Public and Professionals Reason Similarly about the Management of Non-Native Invasive Species: A Quantitative Investigation of the Relationship between Beliefs and Attitudes. PLoS ONE 2014, 9, e105495. [Google Scholar] [CrossRef] [PubMed]
- Verbeke, W.; Vackier, I. Profile and effects of consumer involvement in fresh meat. Meat Sci. 2004, 67, 159–168. [Google Scholar] [CrossRef] [PubMed]
- Smith, W.G. Does Gender Influence Online Survey Participation? A Record-Linkage Analysis of University Faculty Online Survey Response Behavior. 2008; PhD submission. Available online: https://eric.ed.gov/?id=ED501717 (accessed on 24 January 2023).
- Gunther, I.; Raz, T.; Zor, Y.E.; Bachowski, Y.; Klement, E. Feeders of free-roaming cats: Personal characteristics, feeding practices, and data on cat health and welfare in an urban setting of Israel. Front. Vet. Sci. 2016, 3, 21. [Google Scholar] [CrossRef]




| N (%) | |
|---|---|
| State | |
| VIC | 724 (34.4%) |
| NSW | 478 (22.7%) |
| QLD | 391 (18.6%) |
| ACT | 240 (11.4%) |
| WA | 115 (5.5%) |
| TAS | 78 (3.7%) |
| SA | 66 (3.1%) |
| NT | 11 (0.5%) |
| Gender | |
| Female | 1905 (90.6%) |
| Male | 198 (9.4%) |
| Age | |
| 29 years and below | 577 (27.4%) |
| 30–49 years | 939 (44.7%) |
| 50 years and above | 587 (27.9%) |
| Property type | |
| Residence with garden/ backyard | 1638 (78.0%) |
| Residence without garden/backyard | 124 (6.0%) |
| Acreage, farm, semi-rural, rural | 339 (16.1%) |
| Pet ownership | |
| Only dog | 757 (36.0%) |
| Only cat | 574 (27.3%) |
| Both dog and cat | 772 (36.7%) |
| How many dogs owned | |
| none | 574 (27.3%) |
| 1 | 709 (33.7%) |
| 2 | 584 (27.8%) |
| 3+ | 236 (11.2%) |
| How many cats owned | |
| none | 757 (36.0%) |
| 1 | 588 (28.0%) |
| 2 | 448 (21.3%) |
| 3+ | 310 (14.7%) |
| Wandering (unowned/feral) dogs in neighborhood | |
| Yes | 194 (9.2%) |
| Wandering (unowned/feral) cat in neighborhood | |
| Yes | 758 (36.0%) |
| Owner–pet bond (agree and strongly agree) | |
| Regard dog as a family member | 1365 (98.6%) |
| Attached to pet dog | 1377 (99.4%) |
| Regard cat as a family member | 1130 (97.5%) |
| Attached to pet cat | 1142 (98.4%) |
| Individual Statement | Response Options % | Mean (SD) a (Range 1–5) | Mean Comparison b | Composite Measure c | Mean (SD) a (Range 0–1) | Mean Comparison b | |||||
|---|---|---|---|---|---|---|---|---|---|---|---|
| SD (1) | D (2) | N (3) | A (4) | SA (5) | |||||||
| I believe that… | Supportive attitudes towards pet confinement | Dogs Cats | 0.48 (0.22) 0.64 (0.28) | ] p < 0.001 | |||||||
| dogs should be confined to their owner’s property whenever unsupervised | <0.5% | <0.5% | 1% | 11% | 87% | 4.86 (0.40) | ] p < 0.001 | ||||
| cats should be confined to their owner’s property whenever unsupervised | 2% | 12% | 15% | 27% | 44% | 4.00 (1.11) | |||||
| dogs should be confined inside the house at night | 4% | 20% | 21% | 25% | 29% | 3.54 (1.20) | ] p < 0.001 | ||||
| cats should be confined inside the house at night | <1% | 4% | 6% | 19% | 70% | 4.55 (0.82) | |||||
| dogs should be confined inside the house whenever unsupervised | 11% | 48% | 23% | 10% | 8% | 2.55 (1.07) | ] p < 0.001 | ||||
| cats should be confined inside the house whenever unsupervised | 3% | 23% | 20% | 20% | 34% | 3.50 (1.25) | |||||
| dogs should be confined to an outdoor dog run when unsupervised | 11% | 35% | 23% | 21% | 11% | 2.72 (1.16) | ] p < 0.001 | ||||
| cats should be confined to an outdoor cat run when unsupervised | 4% | 18% | 23% | 27% | 28% | 3.57 (1.19) | |||||
| I believe that other people agree that… | Others’ supportive attitude towards pet confinement | Dogs Cats | 0.42 (0.18) 0.50 (0.25) | ] p < 0.001 | |||||||
| dogs should be confined to their owner’s property whenever unsupervised | <1% | 2% | 9% | 35% | 53% | 4.38 (0.79) | ] p < 0.001 | ||||
| cats should be confined to their owner’s property whenever unsupervised | 2% | 19% | 25% | 33% | 21% | 3.52 (1.05) | |||||
| dogs should be confined inside the house at night | 4% | 33% | 38% | 21% | 4% | 2.89 (0.94) | ] p < 0.001 | ||||
| cats should be confined inside the house at night | 1% | 13% | 20% | 38% | 28% | 3.84 (1.00) | |||||
| dogs should be confined inside the house whenever unsupervised | 11% | 47% | 30% | 9% | 3% | 2.45 (0.90) | ] p < 0.001 | ||||
| cats should be confined inside the house whenever unsupervised | 2% | 28% | 29% | 27% | 14% | 3.21 (1.05) | |||||
| dogs should be confined to an outdoor dog run whenever unsupervised | 7% | 37% | 33% | 19% | 4% | 2.74 (0.96) | ] p < 0.001 | ||||
| cats should be confined to an outdoor cat run whenever unsupervised | 2% | 24% | 32% | 29% | 12% | 3.24 (1.01) | |||||
| I believe that confining… | Concerns over confinement impact on pet’s QoL | Dogs Cats | 0.47 (0.27) 0.33 (0.30) | ] p < 0.001 | |||||||
| dogs to their property when unsupervised reduces their QoL | 64% | 30% | 4% | 1% | 1% | 1.44 (0.70) | ] p < 0.001 | ||||
| cats to their property when unsupervised reduces their QoL | 44% | 38% | 11% | 5% | 2% | 1.84 (0.95) | |||||
| dogs indoors when unsupervised reduces their QoL | 17% | 26% | 19% | 27% | 11% | 2.91 (1.28) | ] p < 0.001 | ||||
| cats indoors when unsupervised reduces their QoL | 34% | 31% | 12% | 16% | 7% | 2.23 (1.29) | |||||
| dogs to a dog run when unsupervised reduces their QoL | 13% | 27% | 22% | 28% | 10% | 2.94 (1.21) | ] p < 0.001 | ||||
| cats to a cat run when unsupervised reduces their QoL | 34% | 35% | 16% | 11% | 4% | 2.17 (1.14) | |||||
| I believe that… | Concerns about wildlife predation by pets | Dogs Cats | 0.46 (0.22) 0.57 (0.21) | ] p < 0.001 | |||||||
| dogs have a negative impact on the native wildlife population in my area | 22% | 32% | 22% | 15% | 8% | 2.54 (1.21) | ] p < 0.001 | ||||
| cats have a negative impact on the native wildlife populations in my area | 8% | 16% | 20% | 36% | 20% | 3.46 (1.20) | |||||
| dogs contribute to declining numbers of some native wildlife species in my area | 20% | 35% | 26% | 16% | 3% | 2.50 (1.07) | ] p < 0.001 | ||||
| cats contribute to declining numbers of some native wildlife species in my area | 8% | 18% | 24% | 32% | 18% | 3.34 (1.19) | |||||
| Individual Statements a | Composite Measure b | |||||||||
|---|---|---|---|---|---|---|---|---|---|---|
| Confined Inside the House at Night | Confined Inside the House Whenever Unsupervised | Confined to an Outdoor Dog Run Whenever Unsupervised | Confined to Owner’s Property Whenever Unsupervised | Supportive Attitudes Towards Dog Confinement | ||||||
| n (%) | Adjusted OR (95% CI) | n (%) | Adjusted OR (95% CI) | n (%) | Adjusted OR (95% CI) | n (%) | Adjusted OR (95% CI) | Mean (SD) | Adjusted b (95% CI) | |
| Gender | ||||||||||
| Female (ref) | 673 (55%) | 1 | 222 (18%) | 1 | 324 (27%) | 1 | 1199 (99%) | 1 | 0.49 (0.22) | 0 |
| Male | 55 (40%) | 0.5 (0.3, 0.7) | 18 (13%) | 0.65 (0.4, 1.1) | 46 (34%) | 1.2 (0.8, 1.9) | 135 (99%) | 1.5 (0.18, 13.2) | 0.47 (0.23) | −0.03 (−0.08, 0.01) |
| Age | ||||||||||
| 29 years and below (ref) | 173 (50%) | 1 | 42 (12%) | 1 | 79 (23%) | 1 | 341 (99%) | 1 | 0.45 (0.21) | 0 |
| 30–49 years | 315 (52%) | 1.0 (0.8, 1,4) | 95 (16%) | 1.3 (0.9, 2) | 140 (23%) | 0.9 (0.6, 1.3) | 607 (100%) | 4.3 (0.8, 22.9) | 0.46 (0.22) | 0.01 (−0.02, 0.04) |
| 50 years and above | 240 (61%) | 1.6 (1.2, 2.1) | 103 (26%) | 2.6 (1.7, 3.9) | 151 (39%) | 1.8 (1.3, 2.6) | 386 (99%) | 1.2 (0.3, 4.4) | 0.54 (0.23) | 0.08 (0.05, 0.11) |
| Property type | ||||||||||
| Residence with garden/ backyard (ref) | 523 (53%) | 1 | 156 (16%) | 1 | 207 (21%) | 1 | 981 (99%) | 1 | 0.47 (0.22) | 0 |
| Residence without garden/backyard | 22 (65%) | 1.9 (0.9, 3.9) | 9 (27%) | 2.3 (1.1, 5.2) | 7 (21%) | .9 (.4,2.2) | 34 (100%) | - | 0.54 (0.20) | 0.08 (0.01, 0.15) |
| Acreage, farm, semi-industrial/rural | 154 (57%) | 1.1 (0.8, 1.5) | 63 (23%) | 1.4 (1.0, 2.1) | 129 (48%) | 3.2 (2.3, 4.3) | 263 (97%) | 0.3 (0.1, 0.9) | 0.55 (0.23) | 0.06 (0.03, 0.09) |
| Pet ownership | ||||||||||
| Only dog (ref) | 317 (53%) | 1 | 99 (17%) | 1 | 151 (25%) | 1 | 593 (99%) | 1 | 0.47 (0.22) | 0 |
| Both dog and cat | 382 (55%) | 1.1 (0.8, 1.3) | 129 (19%) | 1.1 (0.8, 1.5) | 192 (28%) | 1.1 (0.8, 1.4) | 686 (99%) | 1.7 (0.5, 5.8) | 0.49 (0.22) | 0.02 (−0.01, 0.04) |
| How many dog[s] owned | ||||||||||
| 1 (ref) | 320 (53%) | 1 | 96 (16%) | 1 | 165 (28%) | 1 | 592 (99%) | 1 | 0.48 (0.21) | 0 |
| 2 | 261 (52%) | 0.9 (0.7, 1.2) | 86 (17%) | 1.0 (0.7, 1.4) | 111 (22%) | 0.6 (0.4, 1.1) | 495 (99%) | 2.6 (0.6, 10.4) | 0.47 (0.22) | −0.02 (−0.05, 0.01) |
| 3+ | 118 (61%) | 1.3 (9, 1.8) | 46 (24%) | 1.3 (0.9, 2.1) | 67 (35%) | 0.9 (0.6, 1.4) | 192 (99%) | 3.9 (0.4, 33.2) | 0.54 (0.23) | 0.03 (−0.01, 0.1) |
| Unowned/feral dog in neighborhood | ||||||||||
| No (ref) | 638 (54%) | 1 | 211 (18%) | 1 | 170 (24%) | 1 | 700 (99%) | 1 | 0.48 (0.22) | 0 |
| Yes | 89 (55.3%) | 1.0 (0.7, 1.4) | 29 (18%) | 0.8 (0.5, 1.3) | 196 (31%) | 1.8 (1.2, 2.6) | 618 (98%) | 0.2 (0.1, 0.8) | 0.54 (0.22) | 0.04 (0.0, 0.1) |
| Individual Statements a | Composite Measure b | |||||||||
|---|---|---|---|---|---|---|---|---|---|---|
| Confined Inside the House at Night | Confined Inside the House Whenever Unsupervised | Confined to an Outdoor Cat Run Whenever Unsupervised | Confined to Owner’s Property Whenever Unsupervised | Supportive Attitudes Towards Cat Confinement | ||||||
| n (%) | Adjusted OR (95% CI) | n (%) | Adjusted OR (95% CI) | n (%) | Adjusted OR (95% CI) | n (%) | Adjusted OR (95% CI) | Mean (SD) | Adjusted b (95% CI) | |
| Gender | ||||||||||
| Female (ref) | 987 (90%) | 1 | 600 (54%) | 1 | 619 (56%) | 1 | 794 (72%) | 1 | 0.65 (0.27) | 0 |
| Male | 84 (88%) | 0.7 (0.4, 1.4) | 49 (52%) | 0.9 (0.5, 1.4) | 48 (51%) | 0.7 (0.5, 1.2) | 63 (66%) | 0.7 (0.5, 1.2) | 0.59 (0.29) | −0.05 (−0.11, 0.01) |
| Age | ||||||||||
| 29 years and below (ref) | 261 (86%) | 1 | 157 (52%) | 1 | 169 (56%) | 1 | 212 (70%) | 1 | 0.62 (0.28) | 0 |
| 30–49 years | 500 (91%) | 1.7 (1.1, 2.7) | 314 (57%) | 1.2 (0.9, 1.6) | 311 (56%) | 1.0 (0.7, 1.3) | 396 (72%) | 1.1 (0.8, 1.6) | 0.65 (0.27) | 0.03 (−0.01, 0.06) |
| 50 years and above | 310 (91%) | 1.8 (1.0, 2.9) | 178 (52%) | 1.0 (0.7, 1.4) | 187 (54%) | 0.9 (0.7, 1.3) | 249 (73%) | 1.1 (0.8, 1.6) | 0.65 (0.28) | 0.03 (−0.01, 0.01) |
| Property type | ||||||||||
| Residence with garden/ backyard (ref) | 792 (90%) | 1 | 461 (52%) | 1 | 468 (53%) | 1 | 610 (69%) | 1 | 0.63 (0.28) | 0 |
| Residence without garden/backyard | 76 (97%) | 5.1 (1.2, 21.3) | 55 (71%) | 2.5 (1.5, 4.2) | 52 (67%) | 2.0 (1.2, 3.4) | 62 (79%) | 1.9 (1.1, 3.5) | .071 (0.25) | 0.12 (0.05, 0.18) |
| Acreage, farm, semi-industrial/rural | 155 (83%) | 0.5 (0.3, 0.7) | 100 (54%) | 1.0 (0.7, 1.3) | 112 (60%) | 1.2 (0.9, 1.7) | 144 (77%) | 1.3 (0.9, 1.9) | 0.68 (0.28) | 0.02 (−0.02, 0.06) |
| Pet ownership | ||||||||||
| Only cat (ref) | 416 (89%) | 1 | 243 (52%) | 1 | 250 (53%) | 1 | 327 (70%) | 1 | 0.61 (0.29) | 0 |
| Both dog and cat | 607 (89%) | 1.3 (0.9, 1.9) | 373 (55%) | 1.2 (0.9, 1.5) | 382 (56%) | 1.1 (0.8, 1.4) | 489 (72%) | 1.0 (0.8, 1.4) | 0.66 (0.27) | 0.04 (0.01, 0.08) |
| How many cat[s] owned | ||||||||||
| 1 (ref) | 456 (90%) | 1 | 261 (52%) | 1 | 249 (49%) | 1 | 348 (68%) | 1 | 0.62 (0.27) | 0 |
| 2 | 332 (88%) | 0.9 (0.6, 1.3) | 198 (53%) | 1.1 (0.8, 1.4) | 207 (55%) | 1.3 (1.0, 1.7) | 267 (71%) | 1.2 (0.9, 1.6) | 0.63 (0.28) | 0.02 (−0.02, 0.05) |
| 3+ | 235 (90%) | 0.9 (0.6, 1.6) | 157 (60%) | 1.5 (1.0, 1.9) | 176 (67%) | 2.1 (1.6, 2.9) | 201 (77%) | 1.5 (1.0, 2.1) | 0.69 (0.28) | 0.05 (0.01, 0.10) |
| Unowned/feral cat in neighborhood | ||||||||||
| No (ref) | 640 (89%) | 1 | 739 (53%) | 1 | 378 (53%) | 1 | 495 (69%) | 1 | 0.66 (0.26) | 0 |
| Yes | 431 (90%) | 1.2 (0.8, 1.8) | 270 (56%) | 1.1 (0.9, 1.5) | 289 (60%) | 1.3 (1.0, 1.6) | 362 (76%) | 1.4 (1.0, 1.8) | 0.74 (0.26) | 0.06 (0.02, 0.09) |
| Supportive Attitudes Towards Cat Confinement Among Cat Owners (n = 1346) | Supportive Attitudes Towards Dog Confinement Among Dog Owners (n = 1529) | |
|---|---|---|
| Concerns over confinement impact on pet’s QoL | −0.59 (−0.62, −0.54) | −0.40 (−0.44, −0.36) |
| Concerns about wildlife predation by pet | 0.21 (0.15, 0.26) | 0.13 (0.08, 0.18) |
| Perception of others’ attitudes towards pet confinement | 0.05 (−0.01, 0.10) | 0.18 (0.12, 0.23) |
| Pet–owner bond | 0.17 (0.08, 0.25) | 0.14 (0.05, 0.22) |
| Adjusted R2 | 0.48 | 0.33 |
Disclaimer/Publisher’s Note: The statements, opinions and data contained in all publications are solely those of the individual author(s) and contributor(s) and not of MDPI and/or the editor(s). MDPI and/or the editor(s) disclaim responsibility for any injury to people or property resulting from any ideas, methods, instructions or products referred to in the content. |
© 2023 by the authors. Licensee MDPI, Basel, Switzerland. This article is an open access article distributed under the terms and conditions of the Creative Commons Attribution (CC BY) license (https://creativecommons.org/licenses/by/4.0/).
Share and Cite
Rand, J.; Ahmadabadi, Z.; Norris, J.; Franklin, M. Attitudes and Beliefs of a Sample of Australian Dog and Cat Owners towards Pet Confinement. Animals 2023, 13, 1067. https://doi.org/10.3390/ani13061067
Rand J, Ahmadabadi Z, Norris J, Franklin M. Attitudes and Beliefs of a Sample of Australian Dog and Cat Owners towards Pet Confinement. Animals. 2023; 13(6):1067. https://doi.org/10.3390/ani13061067
Chicago/Turabian StyleRand, Jacquie, Zohre Ahmadabadi, Jade Norris, and Michael Franklin. 2023. "Attitudes and Beliefs of a Sample of Australian Dog and Cat Owners towards Pet Confinement" Animals 13, no. 6: 1067. https://doi.org/10.3390/ani13061067
APA StyleRand, J., Ahmadabadi, Z., Norris, J., & Franklin, M. (2023). Attitudes and Beliefs of a Sample of Australian Dog and Cat Owners towards Pet Confinement. Animals, 13(6), 1067. https://doi.org/10.3390/ani13061067
