Study on the Pattern of Postpartum Uterine Involution in Dairy Cows
Abstract
:Simple Summary
Abstract
1. Introduction
2. Materials and Methods
2.1. Animals
2.2. Ultrasonographic Detection
2.3. Collection of Blood Samples
2.4. ELISA Detection
2.5. Statistical Analysis
3. Results
3.1. Changing Patterns of Cervix during Postpartum Uterine Involution in Dairy Cows
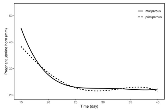
3.2. Changing Patterns of Pregnant Uterine Horn and Non-Pregnant Uterine Horn
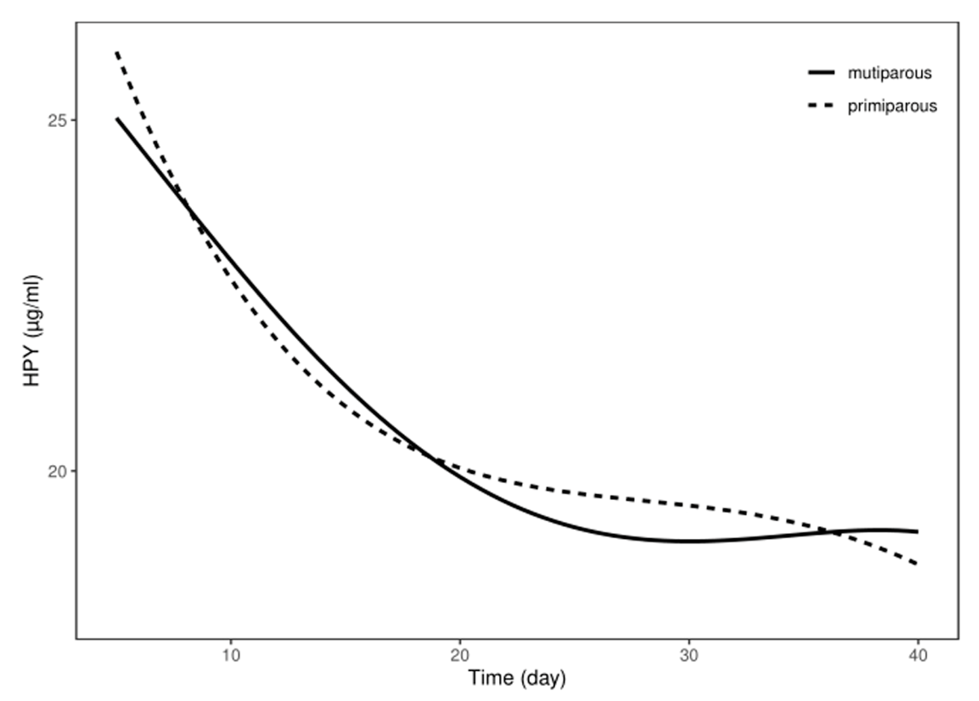
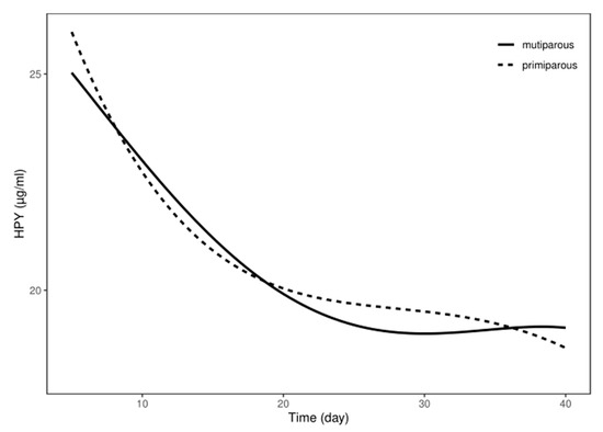
3.3. Changes in Blood Levels of Hydroxyproline, IGF-1, and E2 in Dairy Cows at Different Time Points after Parturition
4. Discussion
5. Conclusions
Supplementary Materials
Author Contributions
Funding
Institutional Review Board Statement
Informed Consent Statement
Data Availability Statement
Conflicts of Interest
References
- Yang, H.; Fu, L.; Luo, Q.; Li, L.; Zheng, F.; Wen, J.; Luo, X.; Li, C.; Zhao, Z.; Xu, H.; et al. Comparative analysis of differentially expressed miRNAs related to uterine involution in the ovine ovary and uterus. Arch. Anim. Breed. 2021, 64, 167–175. [Google Scholar] [CrossRef] [PubMed]
- Lin, Y.; Yang, H.; Ahmad, M.J.; Yang, Y.; Yang, W.; Riaz, H.; Abulaiti, A.; Zhang, S.; Yang, L.; Hua, G. Postpartum Uterine Involution and Embryonic Development Pattern in Chinese Holstein Dairy Cows. Front. Vet. Sci. 2021, 7, 604729. [Google Scholar] [CrossRef] [PubMed]
- Földi, J.; Kulcsár, M.; Pécsi, A.; Huyghe, B.; de Sa, C.; Lohuis, J.A.C.M.; Cox, P.; Huszenicza, G. Bacterial complications of postpartum uterine involution in cattle. Anim. Reprod. Sci. 2006, 96, 265–281. [Google Scholar] [CrossRef] [PubMed]
- Zhang, J.; Deng, L.X.; Zhang, H.L.; Hua, G.H.; Han, L.; Zhu, Y.; Meng, X.J.; Yang, L.G. Effects of parity on uterine involution and resumption of ovarian activities in postpartum Chinese Holstein dairy cows. J. Dairy Sci. 2010, 93, 1979–1986. [Google Scholar] [CrossRef]
- Scully, S.; Maillo, V.; Duffy, P.; Kelly, A.K.; Crowe, M.A.; Rizos, D.; Lonergan, P. The Effect of Lactation on Post-Partum Uterine Involution in Holstein Dairy Cows. Reprod. Domest. Anim. 2013, 48, 888–892. [Google Scholar] [CrossRef]
- Heppelmann, M.; Krach, K.; Krueger, L.; Benz, P.; Herzog, K.; Piechotta, M.; Hoedemaker, M.; Bollwein, H. The effect of metritis and subclinical hypocalcemia on uterine involution in dairy cows evaluated by sonomicrometry. J. Reprod. Dev. 2015, 61, 565–569. [Google Scholar] [CrossRef]
- Braga Paiano, R.; Becker Birgel, D.; Harry Birgel Junior, E. Uterine Involution and Reproductive Performance in Dairy Cows with Metabolic Diseases. Animals 2019, 9, 93. [Google Scholar] [CrossRef]
- Rekwot, P.I.; Ogwu, D.; Oyedipe, E.O. Influence of bull biostimulation, season and parity on resumption of ovarian activity of zebu (Bos indicus) cattle following parturition. Anim. Reprod. Sci. 2000, 63, 1–11. [Google Scholar] [CrossRef]
- Miettinen, P.V. Uterine involution in Finnish dairy cows. Acta Vet. Scand. 1990, 31, 181–185. [Google Scholar] [CrossRef]
- De Amicis, I.; Fusi, J.; Marruchella, G.; Zedda, M.T.; Mazzatenta, A.; Robbe, D.; Carluccio, A. Postpartum Uterine Involution in Martina Franca Jennies. Animals 2021, 11, 2762. [Google Scholar] [CrossRef]
- Sokol, E.R.; Casele, H.; Haney, E.I. Ultrasound examination of the postpartum uterus: What is normal? J. Matern. Fetal Neonatal Med. 2004, 15, 95–99. [Google Scholar] [CrossRef]
- Weissmann-Brenner, A.; Haas, J.; Barzilay, E.; Gilboa, Y.; Gat, I.; Gindes, L.; Mashiach, R.; Achiron, R.; Dulitski, M. Added value of 3-dimensional sonography for endometrial evaluation in early puerperium. J. Ultrasound. Med. 2013, 32, 587–592. [Google Scholar] [CrossRef]
- Wataganara, T.; Phithakwatchara, N.; Komoltri, C.; Tantisirin, P.; Pooliam, J.; Titapant, V. Functional three-dimensional sonographic study of the postpartum uterus. J. Matern Fetal Neonatal. Med. 2015, 28, 2221–2227. [Google Scholar] [CrossRef] [PubMed]
- Kamimura, S.; Ohgi, T.; Takahashi, M.; Tsukamoto, T. Postpartum resumption of ovarian activity and uterine involution monitored by ultrasonography in Holstein cows. J. Vet. Med. Sci. 1993, 55, 643–647. [Google Scholar] [CrossRef] [PubMed]
- Aslan, S.; Handler, J.; Wesenauer, G.; Arbeiter, K. Suitability of sonographic evaluation of ovarian dynamics and uterine involution for prediction of postpartum fertility in the cow. Dtsch. Tierarztl. Wochenschr. 2002, 109, 52–55. [Google Scholar] [PubMed]
- Kaewlamun, W.; Okouyi, M.; Humblot, P.; Techakumphu, M.; Ponter, A.A. Does supplementing dairy cows with β-carotene during the dry period affect postpartum ovarian activity, progesterone, and cervical and uterine involution? Theriogenology 2011, 75, 1029–1038. [Google Scholar] [CrossRef] [PubMed]
- Wang, Y.; Han, X.; Tan, Z.; Kang, J.; Wang, Z. Rumen-Protected Glucose Stimulates the Insulin-Like Growth Factor System and mTOR/AKT Pathway in the Endometrium of Early Postpartum Dairy Cows. Animals 2020, 10, 357. [Google Scholar] [CrossRef]
- Valdmann, M.; Kurykin, J.; Kaart, T.; Mallo, G.K.; Waldmann, A. Relationships between plasma insulin-like growth factor-1 and insulin concentrations in multiparous dairy cows with cytological endometritis. Vet. Rec. 2018, 183, 126. [Google Scholar] [CrossRef]
- Stavropoulos, A.; Varras, M.; Philippou, A.; Vasilakaki, T.; Varra, V.K.; Varra, F.N.; Tsavari, A.; Lazaris, A.C.; Koutsilieris, M. Immunohistochemical expression of insulin-like growth factor-1Ec in primary endometrial carcinoma: Association with PTEN, p53 and survivin expression. Oncol. Lett. 2020, 20, 395. [Google Scholar] [CrossRef]
- Heppelmann, M.; Weinert, M.; Brömmling, A.; Piechotta, M.; Hoedemaker, M.; Bollwein, H. The effect of puerperal uterine disease on uterine involution in cows assessed by Doppler sonography of the uterine arteries. Anim. Reprod. Sci. 2013, 143, 1–7. [Google Scholar] [CrossRef]
- Shimizu, K.; Maekawa, K. Collagen Degradation in the Mouse Uterus during Postpartum Involution: Extracellular Pathway. Acta Anatomica 1983, 117, 257–260. [Google Scholar] [CrossRef] [PubMed]
- Belstra, B.A.; Flowers, W.L.; Croom, W.J.; DeGroot, J.; See, M.T. Urinary excretion of collagen degradation markers by sows during postpartum uterine involution. Anim. Reprod. Sci. 2005, 85, 131–145. [Google Scholar] [CrossRef] [PubMed]
- Rizzo, A.; Gazza, C.; Silvestre, A.; Maresca, L.; Sciorsci, R.L. Scopolamine for uterine involution of dairy cows. Theroigenoloy 2018, 122, 35–40. [Google Scholar] [CrossRef] [PubMed]
- Klein, L.; Yen, S.S.C. Urinary peptide hydroxyproline before and during postpartum involution of human uterus. Metabolism 1970, 19, 19–23. [Google Scholar] [CrossRef] [PubMed]
- Kleissl, H.P.; van der Rest, M.; Naftolin, F.; Glorieux, F.H.; de Leon, A. Collagen changes in the human uterine cervix at parturition. AM J. Obstet. Gyncol. 1978, 130, 748. [Google Scholar] [CrossRef] [PubMed]
- Kaidi, R.; Brown, P.J.; David, J.S.E.; Etherington, D.J.; Robins, S.P. Uterine collagen during involution in cattle. Matrix 1991, 11, 101–107. [Google Scholar] [CrossRef] [PubMed]
- Llewellyn, S.; Fitzpatrick, R.; Kenny, D.A.; Patton, J.; Wathes, D.C. Endometrial expression of the insulin-like growth factor system during uterine involution in the postpartum dairy cow. Domest. Anim. Endocri. 2008, 34, 391–402. [Google Scholar] [CrossRef]
- Foley, C.; Chapwanya, A.; Creevey, C.J.; Narciandi, F.; Morris, D.; Kenny, E.M.; Cormican, P.; Callanan, J.J.; O’Farrelly, C.; Meade, K.G. Global endometrial transcriptomic profiling: Transient immune activation precedes tissue proliferation and repair in healthy beef cows. BMC Genom. 2012, 13, 489–501. [Google Scholar] [CrossRef]
- Ivanga, M.; Labrie, Y.; Calvo, E.; Belleau, P.; Martel, C.; Luu-The, V.; Morissette, J.; Labrie, F.; Durocher, F. Temporal analysis of E2 transcriptional induction of PTP and MKP and downregulation of IGF-I pathway key components in the mouse uterus. Physiol. Genom. 2007, 29, 13–23. [Google Scholar] [CrossRef]
- Wathes, D.C.; Cheng, Z.; Fenwick, M.A.; Fitzpatrick, R.; Patton, J. Influence of energy balance on the somatotrophic axis and matrix metalloproteinase expression in the endometrium of the postpartum dairy cow. Reproduction 2011, 141, 269–281. [Google Scholar] [CrossRef]
- Maillo, V.; Rizos, D.; Besenfelder, U.; Havlicek, V.; Kelly, A.K.; Garrett, M.; Lonergan, P. Influence of lactation on metabolic characteristics and embryo development in postpartum Holstein dairy cows. J. Dairy Sci. 2012, 95, 3865–3876. [Google Scholar] [CrossRef] [PubMed]
- Rhoads, R.P.; Kim, J.W.; Leury, B.J.; Baumgard, L.H.; Segoale, N.; Frank, S.J.; Bauman, D.E.; Boisclair, Y.R. Insulin increases the abundance of the growth hormone receptor in liver and adipose tissue of periparturient dairy cows. J. Nutr. 2004, 134, 1020–1027. [Google Scholar] [CrossRef]
- Taylor, V.J.; Cheng, Z.; Pushpakumara, P.G.; Beever, D.E.; Wathes, D.C. Relationships between the plasma concentrations of insulin-like growth factor-I in dairy cows and their fertility and milk yield. Vet. Rec. 2004, 155, 583–588. [Google Scholar] [CrossRef] [PubMed]
- Lucy, M.C. Functional differences in the growth hormone and insulin-like growth factor axis in cattle and pigs: Implications for post-partum nutrition and reproduction. Reprod. Domest. Anim. 2008, 43 (Suppl. S2), 31–39. [Google Scholar] [CrossRef] [PubMed]
- Xiong, F.; Xiao, J.; Bai, Y.; Zhang, Y.; Li, Q.; Lishuang, X. Metformin inhibits estradiol and progesterone-induced decidualization of endometrial stromal cells by regulating expression of progesterone receptor, cytokines and matrix metalloproteinases. Biomed. Pharmacother. 2019, 109, 1578–1585. [Google Scholar] [CrossRef]
- Maksura, H.; Akon, N.; Islam, M.N.; Akter, I.; Modak, A.K.; Khatun, A.; Alam, M.H.; Hashem, M.A.; Amin, M.R.; Moniruzzaman, M. Effects of estradiol on in vitro maturation of buffalo and goat oocytes. Reprod. Med. Biol. 2020, 20, 62–70. [Google Scholar] [CrossRef]
- Williams, K.C.; Renthal, N.E.; Gerard, R.D.; Mendelson, C.R. The microRNA (miR)-199a/214 Cluster Mediates Opposing Effects of Progesterone and Estrogen on Uterine Contractility during Pregnancy and Labor. Mol. Endocrinol. 2012, 26, 1857–1867. [Google Scholar] [CrossRef]
- Sheldon, I.M.; Noakes, D.E.; Bayliss, M.; Dobson, H. The effect of oestradiol on postpartum uterine involution in sheep. Anim. Reprod. Sci. 2003, 78, 57–70. [Google Scholar] [CrossRef]
- Guzeloglu, K.O.; Kayisli, U.A.; Luleci, G.; Arici, A. In vivo and in vitro regulation of Akt activation in human endometrial cells is estrogen dependent. Biol. Reprod. 2004, 71, 714–721. [Google Scholar] [CrossRef]





| Cervix of Multiparous Dairy Cows | Cervix of Primiparous Dairy Cows | Pregnancy Horns of Multiparous Dairy Cows | Pregnancy Horns of Primiparous Dairy Cows | Non-Pregnancy Horns of Multiparous Dairy Cows | Non-Pregnancy Horns of Primiparous Dairy Cows | |
|---|---|---|---|---|---|---|
| 5 d | 53.85 ± 3.33 a | 50.64 ± 3.44 a | ||||
| 10 d | 44.86 ± 8.51 b | 41.93 ± 3.42 b | ||||
| 15 d | 36.82 ± 6.4 c | 34.39 ± 5.38 c | 42.64 ± 7.17 a | 37.57 ± 5.15 a | 23.98 ± 1.84 a | 21.26 ± 2.1 |
| 20 d | 25.29 ± 5.3 d | 24.49 ± 5.37 d | 28.88 ± 4.73 b | 27.19 ± 5.12 b | 20.51 ± 3.35 b | 20.95 ± 3.33 |
| 25 d | 24.53 ± 1.91 d | 22.19 ± 2.48 e | 22.62 ± 2.99 c | 20.96 ± 2.76 c | 19.91 ± 2.99 b | 19.34 ± 2.25 |
| 30 d | 25.08 ± 1.34 d | 22.27 ± 2.21 ef | 23.34 ± 3.26 c | 22.33 ± 2.59 c | 20.95 ± 2.28 b | 19.13 ± 2.54 |
| 35 d | 24.51 ± 2.61 d | 22.19 ± 2.83 ef | 22.42 ± 2.69 c | 22.05 ± 2.48 c | 20.4 ± 1.74 b | 19.73 ± 2.26 |
| 40 d | 22.16 ± 2.15 d | 20.98 ± 2.3 ef | 21.95 ± 1.38 c | 19.96 ± 1.95 c | 19.4 ± 2.71 b | 18.5 ± 2.4 |
| 5 d | 10 d | 15 d | 20 d | 30 d | 40 d | |
|---|---|---|---|---|---|---|
| multiparous | 25.083 ± 1.9 a | 22.74 ± 2.65 b | 21.625 ± 2.862 bc | 19.656 ± 2.23 cd | 19.039 ± 2.05 d | 19.125 ± 2.038 d |
| primiparous | 26.121 ± 3.66 a | 22.442 ± 1.91 b | 21.589 ± 2.487 bc | 20.126 ± 3.507 bd | 19.79 ± 3.82 bd | 18.184 ± 1.128 d |
Disclaimer/Publisher’s Note: The statements, opinions and data contained in all publications are solely those of the individual author(s) and contributor(s) and not of MDPI and/or the editor(s). MDPI and/or the editor(s) disclaim responsibility for any injury to people or property resulting from any ideas, methods, instructions or products referred to in the content. |
© 2023 by the authors. Licensee MDPI, Basel, Switzerland. This article is an open access article distributed under the terms and conditions of the Creative Commons Attribution (CC BY) license (https://creativecommons.org/licenses/by/4.0/).
Share and Cite
Dai, T.; Ma, Z.; Guo, X.; Wei, S.; Ding, B.; Ma, Y.; Dan, X. Study on the Pattern of Postpartum Uterine Involution in Dairy Cows. Animals 2023, 13, 3693. https://doi.org/10.3390/ani13233693
Dai T, Ma Z, Guo X, Wei S, Ding B, Ma Y, Dan X. Study on the Pattern of Postpartum Uterine Involution in Dairy Cows. Animals. 2023; 13(23):3693. https://doi.org/10.3390/ani13233693
Chicago/Turabian StyleDai, Tianshu, Ziming Ma, Xingru Guo, Shihao Wei, Baolong Ding, Yun Ma, and Xingang Dan. 2023. "Study on the Pattern of Postpartum Uterine Involution in Dairy Cows" Animals 13, no. 23: 3693. https://doi.org/10.3390/ani13233693
APA StyleDai, T., Ma, Z., Guo, X., Wei, S., Ding, B., Ma, Y., & Dan, X. (2023). Study on the Pattern of Postpartum Uterine Involution in Dairy Cows. Animals, 13(23), 3693. https://doi.org/10.3390/ani13233693
