Determination of Behavioral Changes Associated with Bovine Respiratory Disease in Australian Feedlots
Abstract
Simple Summary
Abstract
1. Introduction
2. Materials and Methods
2.1. Trial Overview
2.2. Individual Animal Behavioral Data
2.3. Pulmonary Data at Harvest
2.4. Production Data
2.5. Health Status Categorization
2.6. Statistical Analysis
3. Results
3.1. Health Status Categorization
3.2. Distance Traveled and Health Status
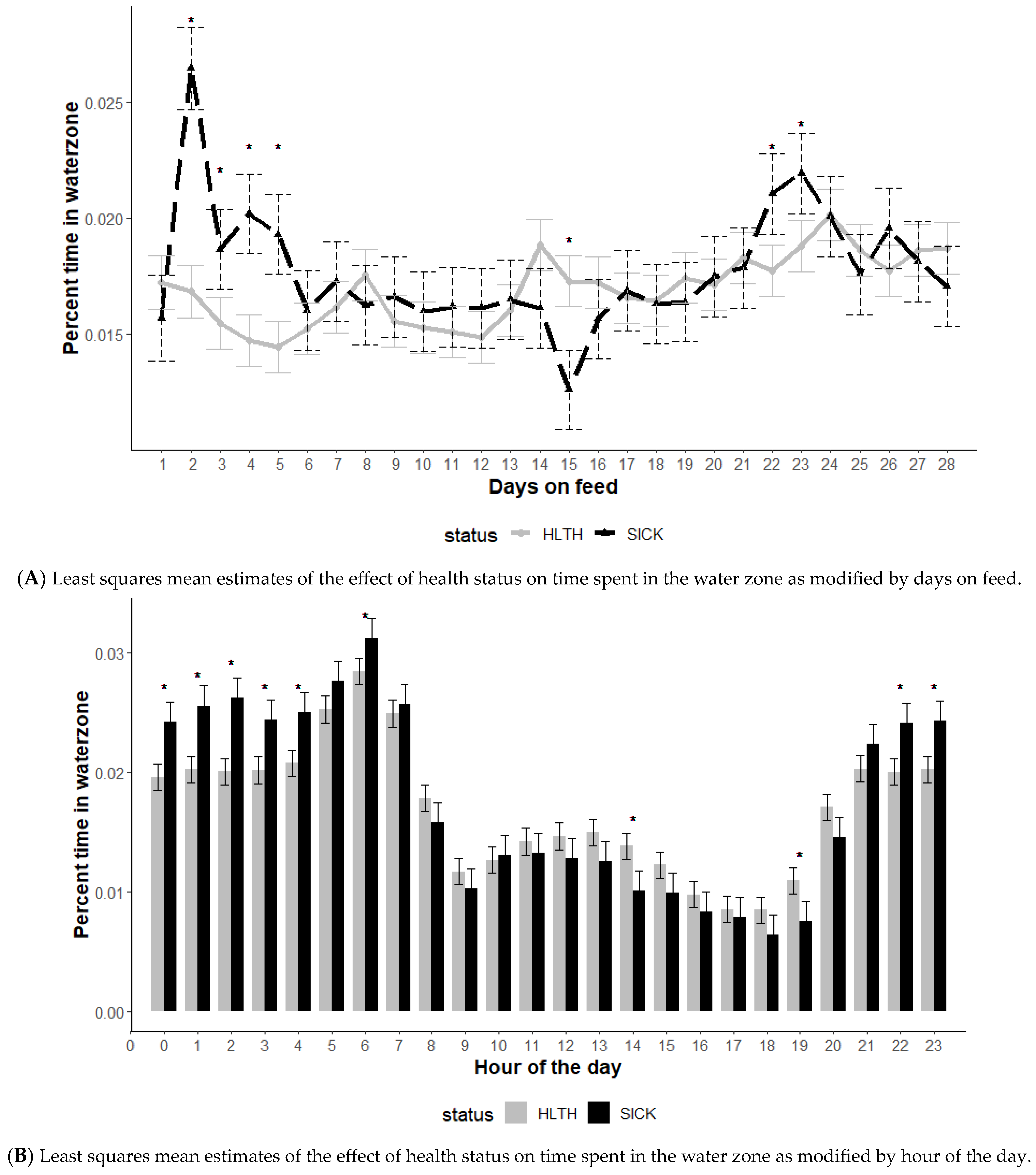
3.3. Time near Water and Feed Associated with Health Status
3.4. Social Indices and Health Status
4. Discussion
5. Conclusions
Author Contributions
Funding
Institutional Review Board Statement
Informed Consent Statement
Data Availability Statement
Conflicts of Interest
References
- Timsit, E.; Dendukuri, N.; Schiller, I.; Buczinski, S. Diagnostic accuracy of clinical illness for bovine respiratory disease (BRD) diagnosis in beef cattle placed in feedlots: A systematic literature review and hierarchical Bayesian latent-class meta-analysis. Prev. Vet. Med. 2016, 135, 67–73. [Google Scholar] [CrossRef] [PubMed]
- White, B.J.; Renter, D.G. Bayesian estimation of the performance of using clinical observations and harvest lung lesions for diagnosing bovine respiratory disease in post-weaned beef calves. J. Vet. Diagn. Investig. 2009, 21, 446–453. [Google Scholar] [CrossRef] [PubMed]
- Wolfger, B.; Timsit, E.; White, B.J.; Orsel, K. A systematic review of bovine respiratory disease diagnosis focused on diagnostic confirmation, early detection, and prediction of unfavorable outcomes in feedlot cattle. Vet. Clin. N. Am. Food Anim. Pract. 2015, 31, 351–365. [Google Scholar] [CrossRef] [PubMed]
- Buczinski, S.; Forté, G.; Francoz, D.; Bélanger, A.M. Comparison of thoracic auscultation, clinical score, and ultrasonography as indicators of bovine respiratory disease in preweaned dairy calves. J. Vet. Intern. Med. 2014, 28, 234–242. [Google Scholar] [CrossRef] [PubMed]
- Buczinski, S.; Menard, J.; Timsit, E. Incremental value (Bayesian framework) of thoracic ultrasonography over thoracic auscultation for diagnosis of bronchopneumonia in preweaned dairy calves. J. Vet. Intern. Med. 2016, 30, 1396–1401. [Google Scholar] [CrossRef] [PubMed]
- Godson, D.L.; Campos, M.; Attah-Poku, S.K.; Redmond, M.J.; Cordeiro, D.M.; Sethi, M.S.; Harland, R.J.; Babiuk, L.A. Serum haptoglobin as an indicator of the acute phase response in bovine respiratory disease. Vet. Immunol. Immunopathol. 1996, 51, 277–292. [Google Scholar] [CrossRef] [PubMed]
- Timsit, E.; Assie, S.; Quiniou, R.; Seegers, H.; Bareille, N. Early detection of bovine respiratory disease in young bulls using reticulo-rumen temperature boluses. Vet. J. 2011, 190, 136–142. [Google Scholar] [CrossRef]
- Cantor, M.C.; Costa, J.H.C. Daily behavioral measures recorded by precision technology devices may indicate bovine respiratory disease status in preweaned dairy calves. J. Dairy Sci. 2022, 105, 6070–6082. [Google Scholar] [CrossRef]
- Cantor, M.C.; Renaud, D.L.; Neave, H.W.; Costa, J.H.C. Feeding behavior and activity levels are associated with recovery status in dairy calves treated with antimicrobials for Bovine Respiratory Disease. Sci. Rep. 2022, 12, 4854. [Google Scholar] [CrossRef]
- Costa, J.H.C.; Cantor, M.C.; Neave, H.W. Symposium review: Precision technologies for dairy calves and management applications. J. Dairy Sci. 2021, 104, 1203–1219. [Google Scholar] [CrossRef]
- Cramer, C.; Ollivett, T.L. Behavior assessment and applications for BRD diagnosis: Preweaned dairy calves. Anim. Health Res. Rev. 2020, 21, 188–191. [Google Scholar] [CrossRef] [PubMed]
- Dittrich, I.; Gertz, M.; Maassen-Francke, B.; Krudewig, K.H.; Junge, W.; Krieter, J. Estimating risk probabilities for sickness from behavioural patterns to identify health challenges in dairy cows with multivariate cumulative sum control charts. Animal 2022, 16, 100601. [Google Scholar] [CrossRef] [PubMed]
- Eckelkamp, E.A. Invited Review: Current state of wearable precision dairy technologies in disease detection. Appl. Anim. Sci. 2019, 35, 209–220. [Google Scholar] [CrossRef]
- Eckelkamp, E.A.; Bewley, J.M. On-farm use of disease alerts generated by precision dairy technology. J. Dairy Sci. 2020, 103, 1566–1582. [Google Scholar] [CrossRef] [PubMed]
- Gusterer, E.; Kanz, P.; Krieger, S.; Schweinzer, V.; Süss, D.; Lidauer, L.; Kickinger, F.; Öhlschuster, M.; Auer, W.; Drillich, M.; et al. Sensor technology to support herd health monitoring: Using rumination duration and activity measures as unspecific variables for the early detection of dairy cows with health deviations. Theriogenology 2020, 157, 61–69. [Google Scholar] [CrossRef] [PubMed]
- Richeson, J.T. Behavior assessment and applications for BRD diagnosis: Beef. Anim. Health Res. Rev. 2020, 21, 192–195. [Google Scholar] [CrossRef] [PubMed]
- Silva, S.R.; Araujo, J.P.; Guedes, C.; Silva, F.; Almeida, M.; Cerqueira, J.L. Precision technologies to address dairy cattle welfare: Focus on lameness, mastitis and body condition. Animals 2021, 11, 2253. [Google Scholar] [CrossRef] [PubMed]
- Tsai, I.C.; Mayo, L.M.; Jones, B.W.; Stone, A.E.; Janse, S.A.; Bewley, J.M. Precision dairy monitoring technologies use in disease detection: Differences in behavioral and physiological variables measured with precision dairy monitoring technologies between cows with or without metritis, hyperketonemia, and hypocalcemia. Livest. Sci. 2021, 244, 104334. [Google Scholar] [CrossRef]
- Ramezani Gardaloud, N.; Guse, C.; Lidauer, L.; Steininger, A.; Kickinger, F.; Öhlschuster, M.; Auer, W.; Iwersen, M.; Drillich, M.; Klein-Jöbstl, D. Early Detection of Respiratory Diseases in Calves by Use of an Ear-Attached Accelerometer. Animals 2022, 12, 1093. [Google Scholar] [CrossRef]
- Toaff-Rosenstein, R.L.; Gershwin, L.J.; Tucker, C.B. Fever, feeding, and grooming behavior around peak clinical signs in bovine respiratory disease. J. Anim. Sci. 2016, 94, 3918–3932. [Google Scholar] [CrossRef]
- Wolfger, B.; Schwartzkopf-Genswein, K.S.; Barkema, H.W.; Pajor, E.A.; Levy, M.; Orsel, K. Feeding behavior as an early predictor of bovine respiratory disease in North American feedlot systems. J. Anim. Sci. 2015, 93, 377–385. [Google Scholar] [CrossRef] [PubMed]
- White, B.J.; Amrine, D.E.; Goehl, D.R. Determination of value of bovine respiratory disease control using a remote early disease identification system compared with conventional methods of metaphylaxis and visual observations. J. Anim. Sci. 2015, 93, 4115–4122. [Google Scholar] [CrossRef] [PubMed][Green Version]
- White, B.J.; Goehl, D.R.; Amrine, D.E. Comparison of a Remote Early Disease Identification (REDI) System to Visual Observations to Identify Cattle with Bovine Respiratory Diseases. Int. J. Appl. Res. Vet. Med. 2015, 13, 23–30. [Google Scholar]
- White, B.J.; Goehl, D.R.; Amrine, D.E.; Booker, C.; Wildman, B.; Perrett, T. Bayesian evaluation of clinical diagnostic test characteristics of visual observations and remote monitoring to diagnose bovine respiratory disease in beef calves. Prev. Vet. Med. 2016, 126, 74–80. [Google Scholar] [CrossRef] [PubMed]
- White, B.; Goehl, D.; Theurer, M.; Abell, K.M. Determining health, performance, and economic value of using a remote early disease identification system compared to conventional method for diagnosis of bovine respiratory disease. J. Anim. Health. Behav. Sci. 2017, 1, 2. [Google Scholar]
- Rezac, D.J.; Thomson, D.U.; Bartle, S.J.; Osterstock, J.B.; Prouty, F.L.; Reinhardt, C.D. Prevalence, severity, and relationships of lung lesions, liver abnormalities, and rumen health scores measured at slaughter in beef cattle. J. Anim. Sci. 2014, 92, 2595–2602. [Google Scholar] [CrossRef] [PubMed]
- Thompson, P.N.; Stone, A.; Schultheiss, W.A. Use of treatment records and lung lesion scoring to estimate the effect of respiratory disease on growth during early and late finishing periods in South African feedlot cattle. J. Anim. Sci. 2006, 84, 488–498. [Google Scholar] [CrossRef]
- Reinhardt, C.D.; Busby, W.D.; Corah, L.R. Relationship of various incoming cattle traits with feedlot performance and carcass traits. J. Anim. Sci. 2009, 87, 3030–3042. [Google Scholar] [CrossRef]
- Schneider, M.J.; Tait Jr, R.G.; Busby, W.D.; Reecy, J.M. An evaluation of bovine respiratory disease complex in feedlot cattle: Impact on performance and carcass traits using treatment records and lung lesion scores. J. Anim. Sci. 2009, 87, 1821–1827. [Google Scholar] [CrossRef]
- Cernicchiaro, N.; White, B.J.; Renter, D.G.; Babcock, A.H.; Kelly, L.; Slattery, R. Effects of body weight loss during transit from sale barns to commercial feedlots on health and performance in feeder cattle cohorts arriving to feedlots from 2000 to 2008. J. Anim. Sci. 2012, 90, 1940–1947. [Google Scholar] [CrossRef]
- Shane, D.D.; White, B.J.; Larson, R.L.; Amrine, D.E.; Kramer, J.L. Probabilities of cattle participating in eating and drinking behavior when located at feeding and watering locations by a real time location system. Comput. Electron. Agric. 2016, 127, 460–466. [Google Scholar] [CrossRef]
- Sowell, B.F.; Branine, M.E.; Bowman, J.G.P.; Hubbert, M.E.; Sherwood, H.E.; Quimby, W. Feeding and watering behavior of healthy and morbid steers in a commercial feedlot. J. Anim. Sci. 1999, 77, 1105–1112. [Google Scholar] [CrossRef]
- Richeson, J.T.; Lawrence, T.E.; White, B.J. Using advanced technologies to quantify beef cattle behavior. Transl. Anim. Sci. 2018, 2, 223–229. [Google Scholar] [CrossRef]





| Site | Pen | HLTH Animals (% of Pen) | INTR Animals (% of Pen) | SICK Animals (% of Pen) | Total Animals |
|---|---|---|---|---|---|
| A | 1 | 117 (39%) | 171 (57%) | 12 (4%) | 300 |
| A | 2 | 112 (37.33%) | 177 (59%) | 11 (3.67%) | 300 |
| A | 3 | 193 (64.33%) | 102 (34%) | 5 (1.67%) | 300 |
| A | 4 | 230 (76.67%) | 69 (23%) | 1 (0.33%) | 300 |
| A | 5 | 217 (72.33%) | 76 (25.33%) | 7 (2.33%) | 300 |
| A | 6 | 166 (55.33%) | 127 (42.33%) | 7 (2.33%) | 300 |
| B | 7 | 86 (39.09%) | 116 (52.73%) | 18 (8.18%) | 220 |
| B | 8 | 88 (39.46%) | 119 (53.36%) | 16 (7.17%) | 223 |
| B | 9 | 85 (39.53%) | 117 (54.42%) | 13 (6.05%) | 215 |
| B | 10 | 99 (45.83%) | 106 (49.07%) | 11 (5.09%) | 216 |
| B | 11 | 54 (24.55%) | 150 (68.18%) | 16 (7.27%) | 220 |
| B | 12 | 61 (27.73%) | 138 (62.73%) | 21 (9.55%) | 220 |
| Total | 1508 (48.43%) | 1468 (47.14%) | 138 (4.43%) | 3114 |
| Production Variable | HLTH | INTR | SICK | SE | p-Value | |||
|---|---|---|---|---|---|---|---|---|
| Initial body weight (kg/animal) | 400.85 | a | 402.37 | a | 401.00 | a | ±34.04 | 0.49 |
| Weight at REDI tag removal (~d 55; kg/animal) | 515.26 | b | 513.89 | ab | 506.23 | a | ±5.42 | 0.03 |
| ADG at REDI tag removal (~d 55; kg/animal/d) | 2.21 | b | 2.18 | ab | 2.04 | a | ±0.2 | 0.04 |
| Final estimated live weight (kg/animal) | 663.22 | b | 661.34 | b | 650.67 | a | ±10.96 | 0.01 |
| Final estimated live ADG (kg/animal/d) | 1.74 | b | 1.74 | b | 1.54 | a | ±0.31 | <0.01 |
| Hot carcass weight (kg/animal) | 384.66 | b | 383.57 | b | 377.39 | a | ±6.36 | 0.01 |
| Meat Standards Australia Marbling score | 377.93 | a | 380.25 | a | 380.47 | a | ±13.95 | 0.77 |
| Ribeye muscle area | 84.45 | a | 84.27 | a | 84.99 | a | ±1.32 | 0.58 |
Disclaimer/Publisher’s Note: The statements, opinions and data contained in all publications are solely those of the individual author(s) and contributor(s) and not of MDPI and/or the editor(s). MDPI and/or the editor(s) disclaim responsibility for any injury to people or property resulting from any ideas, methods, instructions or products referred to in the content. |
© 2023 by the authors. Licensee MDPI, Basel, Switzerland. This article is an open access article distributed under the terms and conditions of the Creative Commons Attribution (CC BY) license (https://creativecommons.org/licenses/by/4.0/).
Share and Cite
White, B.J.; Goehl, D.R.; McMeniman, J.P.; Batterham, T.; Booker, C.W.; McMullen, C. Determination of Behavioral Changes Associated with Bovine Respiratory Disease in Australian Feedlots. Animals 2023, 13, 3692. https://doi.org/10.3390/ani13233692
White BJ, Goehl DR, McMeniman JP, Batterham T, Booker CW, McMullen C. Determination of Behavioral Changes Associated with Bovine Respiratory Disease in Australian Feedlots. Animals. 2023; 13(23):3692. https://doi.org/10.3390/ani13233692
Chicago/Turabian StyleWhite, Brad J., Dan R. Goehl, Joe P. McMeniman, Tony Batterham, Calvin W. Booker, and Christopher McMullen. 2023. "Determination of Behavioral Changes Associated with Bovine Respiratory Disease in Australian Feedlots" Animals 13, no. 23: 3692. https://doi.org/10.3390/ani13233692
APA StyleWhite, B. J., Goehl, D. R., McMeniman, J. P., Batterham, T., Booker, C. W., & McMullen, C. (2023). Determination of Behavioral Changes Associated with Bovine Respiratory Disease in Australian Feedlots. Animals, 13(23), 3692. https://doi.org/10.3390/ani13233692

