Aquarium Visitors Catch Some Rays: Rays Are More Active in the Presence of More Visitors
Abstract
Simple Summary
Abstract
1. Introduction
2. Materials and Methods
2.1. Subjects
2.2. Habitat
2.3. Materials and Procedure
2.4. Statistical Analyses
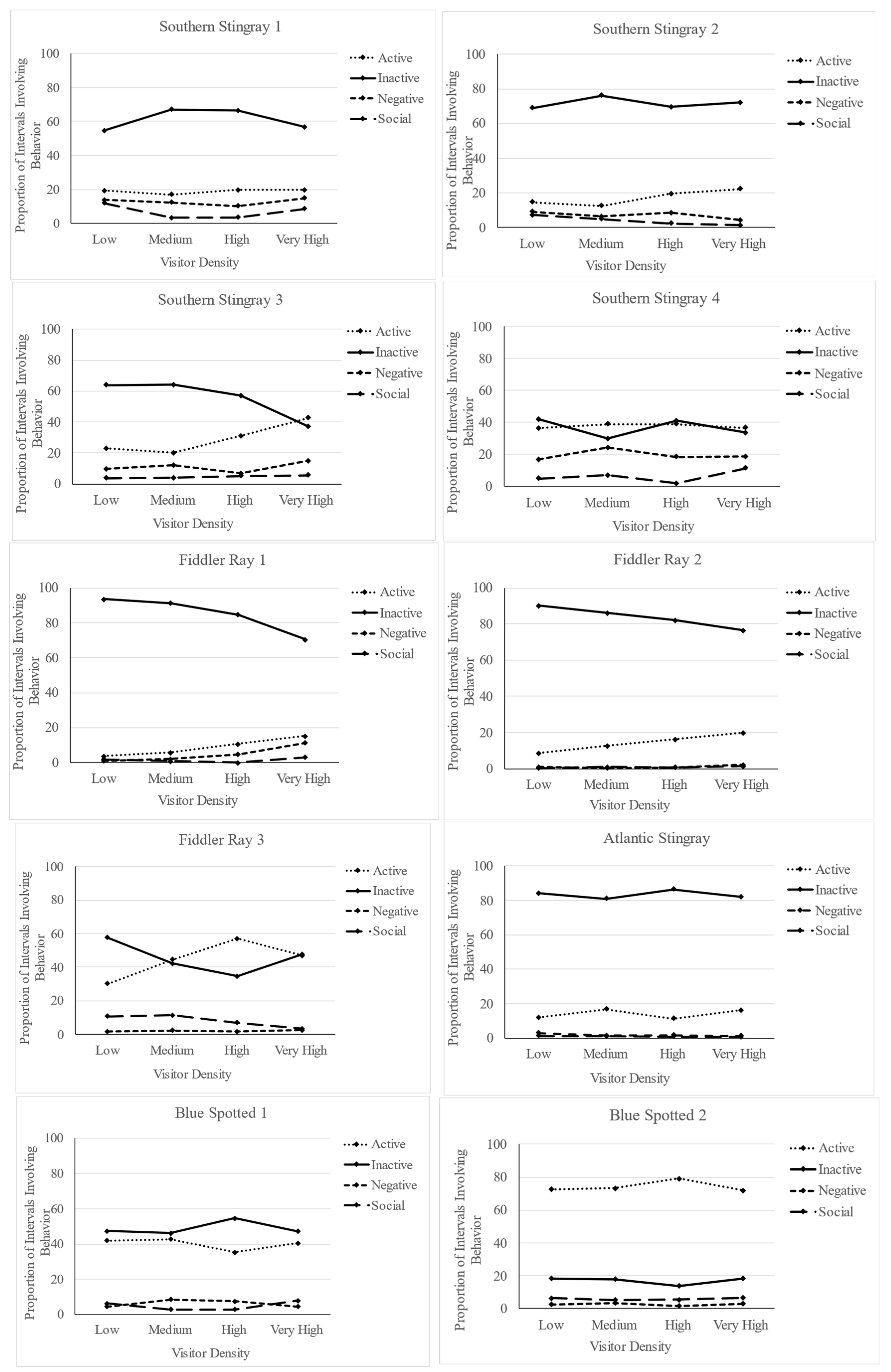
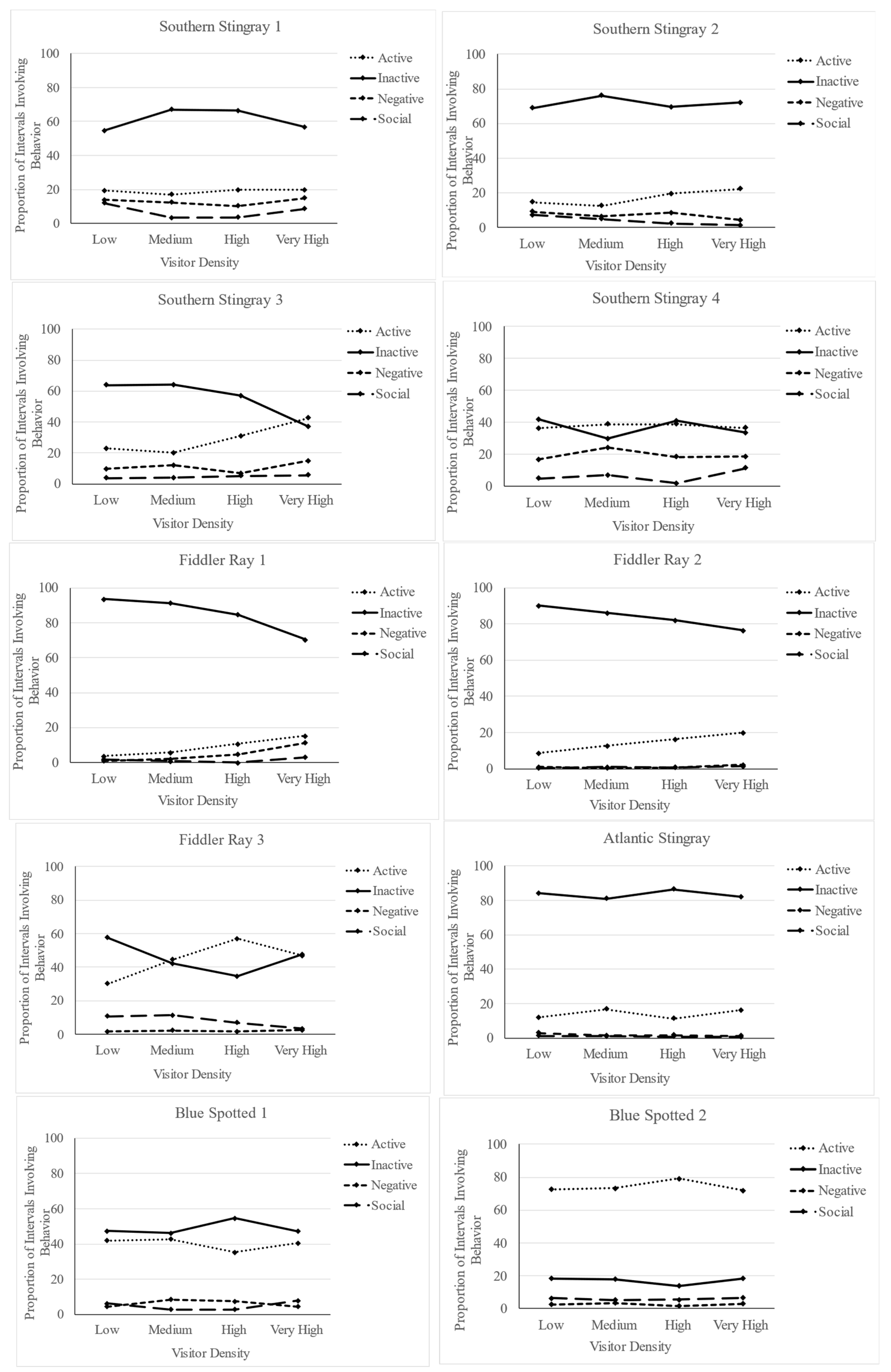
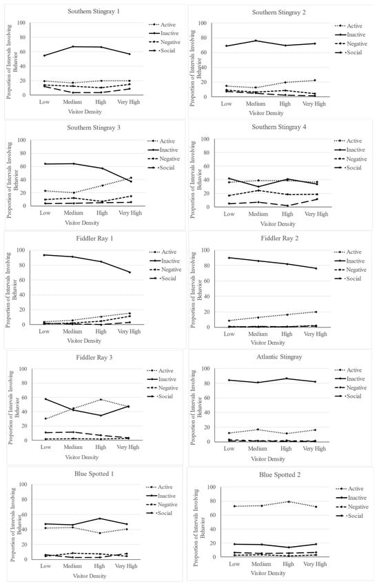
3. Results
4. Discussion
Limitations and Future Directions
5. Conclusions
Author Contributions
Funding
Institutional Review Board Statement
Informed Consent Statement
Data Availability Statement
Acknowledgments
Conflicts of Interest
References
- Anderson, U.S.; Benne, M.; Bloomsmith, M.A.; Maple, T.L. Retreat space and human visitor density moderate undesirable behavior in petting zoo animals. J. Appl. Anim. Welf. Sci. 2002, 5, 125–137. [Google Scholar] [CrossRef] [PubMed]
- Raussi, S. Human–cattle interactions in group housing. Appl. Anim. Behav. Sci. 2003, 80, 245–262. [Google Scholar] [CrossRef]
- Collins, C.; Barr, Y.; McKeown, S.; Scheun, J.; Tay, C.; O’Riordan, R. An international investigation of the prevalence of negative visitor behaviour in the zoo. Animals 2023, 13, 2661. [Google Scholar] [CrossRef] [PubMed]
- Hamilton, J.; Gartland, K.N.; Jones, M.; Fuller, G. Behavioral Assessment of Six Reptile Species during a Temporary Zoo Closure and Reopening. Animals 2022, 12, 1034. [Google Scholar] [CrossRef]
- Ross, S.R.; Lukas, K.E. Zoo visitor behavior at an African ape exhibit. Visit. Stud. Today 2005, 8, 4–12. [Google Scholar]
- Zhang, J.; Quirke, T.; Wu, S.; Li, S.; Butler, F. Impact of weather changes and human visitation on the behavior and activity level of captive humboldt penguins. Pak. J. Zoo. 2021, 53, 591. [Google Scholar] [CrossRef]
- Blanchett, M.K.; Finegan, E.; Atkinson, J. The effects of increasing visitor and noise levels on birds within a free-flight aviary examined through enclosure use and behavior. Anim. Behav. Cogn 2020, 7, 49–69. [Google Scholar] [CrossRef]
- Edes, A.N.; Baskir, E.; Bauman, K.L.; Chandrasekharan, N.; Macek, M.; Tieber, A. Effects of crowd size, composition, and noise level on pool use in a mixed-species penguin colony. Anim. Behav. Cogn. 2021, 8, 507–520. [Google Scholar] [CrossRef]
- Scott, K.; Heistermann, M.; Cant, M.A.; Vitikainen, E.I. Group size and visitor numbers predict faecal glucocorticoid concentrations in zoo meerkats. R. Soc. Open Sci. 2017, 4, 161017. [Google Scholar] [CrossRef]
- Mellor, D.J.; Beausoleil, N.J.; Littlewood, K.E.; McLean, A.N.; McGreevy, P.D.; Jones, B.; Wilkins, C. The 2020 five domains model: Including human–animal interactions in assessments of animal welfare. Animals 2020, 10, 1870. [Google Scholar] [CrossRef]
- Barrows, M. Welfare assessment in zoo animals. Vet. Rec. 2017, 181, 141–142. [Google Scholar] [CrossRef] [PubMed]
- Ramont, M.; Leahy, M.; Cronin, K.A. Domestic animal welfare at the zoo: The impact of an animal visitor interaction program on chickens. Anim. Behav. Cog. 2021, 8, 1–14. [Google Scholar] [CrossRef]
- Sherwen, S.L.; Hemsworth, L.M.; Beausoleil, N.J.; Embury, A.; Mellor, D.J. An animal welfare risk assessment process for zoos. Animals 2018, 8, 130. [Google Scholar] [CrossRef] [PubMed]
- Smith, S.A. Fish welfare in public aquariums and zoological collections. Animals 2023, 13, 2548. [Google Scholar] [CrossRef]
- Benn, A.L.; McLelland, D.J.; Whittaker, A.L. A review of welfare assessment methods in reptiles, and preliminary application of the welfare quality® protocol to the pygmy blue-tongue skink, Tiliqua adelaidensis, using animal-based measures. Animals 2019, 9, 27. [Google Scholar] [CrossRef]
- Binding, S.; Farmer, H.; Krusin, L.; Cronin, K. Status of animal welfare research in zoos and aquariums: Where are we, where to next? J. Zoo Aquar. Res. 2020, 8, 166–174. [Google Scholar]
- Rose, P.E.; Brereton, J.E.; Rowden, L.J.; de Figueiredo, R.L.; Riley, L.M. What’s new from the zoo? An analysis of ten years of zoo-themed research output. Palgrave Commun. 2019, 5, 128. [Google Scholar] [CrossRef]
- Sherwen, S.L.; Hemsworth, P.H. The visitor effect on zoo animals: Implications and opportunities for zoo animal welfare. Animals 2019, 9, 366. [Google Scholar] [CrossRef]
- Williams, E.; Hunton, V.; Hosey, G.; Ward, S.J. The impact of visitors on non-primate species in zoos: A quantitative review. Animals 2023, 13, 1178. [Google Scholar] [CrossRef]
- Oldfield, R.G.; Bonano, P.E. Psychological and social well-being of bony fishes in zoos and aquariums. Zoo Biol. 2023, 42, 185–193. [Google Scholar] [CrossRef]
- Dawkins, M.S. The science of Animal Welfare: Understanding What Animals Want; Oxford University Press: Oxford, MI, USA, 2021. [Google Scholar]
- Clegg, I.L. Cognitive bias in zoo animals: An optimistic outlook for welfare assessment. Animals 2018, 8, 104. [Google Scholar] [CrossRef] [PubMed]
- Perdue, B.M. Mechanisms underlying cognitive bias in nonhuman primates. Anim. Behav. Cog. 2017, 4, 105–118. [Google Scholar] [CrossRef][Green Version]
- Claxton, A.M. The potential of the human–animal relationship as an environmental enrichment for the welfare of zoo-housed animals. Appl. Anim. Behav. Sci. 2011, 133, 1–10. [Google Scholar] [CrossRef]
- Hosey, G.; Melfi, V. Are we ignoring neutral and negative human–animal relationships in zoos? Zoo Biol. 2014, 34, 1–8. [Google Scholar] [CrossRef] [PubMed]
- Rose, P.E.; Scales, J.S.; Brereton, J.E. Why the “visitor effect” is complicated. Unraveling individual animal, visitor number, and climatic influences on behavior, space use and interactions with keepers—A case study on captive hornbills. Front. Vet. Sci. 2020, 7, 236. [Google Scholar] [CrossRef]
- Jones, M.; Gartland, K.N.; Fuller, G. Effects of visitor presence and crowd size on zoo-housed red kangaroos (Macropus rufus) during and after a COVID-19 closure. Anim. Behav. Cogn. 2021, 8, 521–537. [Google Scholar] [CrossRef]
- Birke, L. Effects of browse, human visitors and noise on the behaviour of captive orangutans. Anim. Welf. 2002, 11, 189–202. [Google Scholar] [CrossRef]
- Collins, C.; McKeown, S.; O’Riordan, R. A comprehensive investigation of negative visitor behaviour in the zoo setting and captive animals’ behavioural response. Heliyon 2023, 9, e16879. [Google Scholar] [CrossRef]
- Wark, J.D.; Schook, M.W.; Dennis, P.M.; Lukas, K.E. Do zoo animals use off-exhibit areas to avoid noise? A case study exploring the influence of sound on the behavior, physiology, and space use of two pied tamarins (Saguinus bicolor). Am. J. Primatol. 2023, 85, e23421. [Google Scholar] [CrossRef]
- Owen, M.A.; Swaisgood, R.R.; Czekala, N.M.; Steinman, K.; Lindburg, D.G. Monitoring stress in captive giant pandas (Ailuropoda melanoleuca): Behavioral and hormonal responses to ambient noise. Zoo Biol. 2004, 23, 147–164. [Google Scholar] [CrossRef]
- Ross, S.R. Issues of choice and control in the behaviour of a pair of captive polar bears (Ursus maritimus). Behav. Process. 2006, 73, 117–120. [Google Scholar] [CrossRef] [PubMed]
- Goodenough, A.E.; McDonald, K.; Moody, K.; Wheeler, C. Are “visitor effects” overestimated? Behaviour in captive lemurs is mainly driven by co-variation with time and weather. J. Zoo Aquar. Res. 2019, 7, 59–66. [Google Scholar]
- Rose, P.; Badman-King, A.; Hurn, S.; Rice, T. Visitor presence and a changing soundscape, alongside environmental parameters, can predict enclosure usage in captive flamingos. Zoo Biol. 2021, 40, 363–375. [Google Scholar] [CrossRef] [PubMed]
- Lawrence, K.; Sherwen, S.L.; Larsen, H. Natural habitat design for zoo-housed elasmobranch and teleost fish species improves behavioural repertoire and space use in a visitor facing exhibit. Animals 2021, 11, 2979. [Google Scholar] [CrossRef]
- Boyle, S.A.; Berry, N.; Cayton, J.; Ferguson, S.; Gilgan, A.; Khan, A.; Lam, H.; Leavelle, S.; Mulder, I.; Myers, R.; et al. Widespread behavioral responses by mammals and fish to zoo visitors highlight differences between individual animals. Animals 2020, 10, 2108. [Google Scholar] [CrossRef]
- Becker, A.; Smith, J.A.; Taylor, M.D.; McLeod, J.; Lowry, M.B. Distribution of pelagic and epi-benthic fish around a multi-module artificial reef-field: Close module spacing supports a connected assemblage. Fish. Res. 2019, 209, 75–85. [Google Scholar] [CrossRef]
- Brinton, C.P.; Curran, M.C. Tidal and diel movement patterns of the Atlantic stingray (Dasyatis sabina) along a stream-order gradient. Mar. Freshw. Res. 2017, 68, 1716–1725. [Google Scholar] [CrossRef]
- Pierce, S.J.; Pardo, S.A.; Bennett, M.B. Reproduction of the blue-spotted maskray Neotrygon kuhlii (Myliobatoidei: Dasyatidae) in south-east Queensland, Australia. J. Fish Biol. 2009, 74, 1291–1308. [Google Scholar] [CrossRef]
- Shipley, O.N.; Murchie, K.J.; Frisk, M.G.; O’Shea, O.R.; Winchester, M.M.; Brooks, E.J.; Pearson, J.; Power, M. Trophic niche dynamics of three nearshore benthic predators in The Bahamas. Hydrobiologia 2018, 813, 177–188. [Google Scholar] [CrossRef]
- Corcoran, M.J.; Wetherbee, B.M.; Shivji, M.S.; Potenski, M.D.; Chapman, D.D.; Harvey, G.M. Supplemental feeding for ecotourism reverses diel activity and alters movement patterns and spatial distribution of the southern stingray, Dasyatis americana. PLoS ONE 2013, 8, e59235. [Google Scholar] [CrossRef]
- Semeniuk, C.A.; Rothley, K.D. Costs of group-living for a normally solitary forager: Effects of provisioning tourism on southern stingrays Dasyatis americana. Mar. Ecol. Prog. Ser. 2008, 357, 271–282. [Google Scholar] [CrossRef]
- Keller, K. Sydney’s Designed Artificial Reef: The Recreational Fishery and Movements of Fish. Ph.D. Thesis, University of New South Wales, Sydney, Australia, 2016. Unpublished. [Google Scholar]
- Hart, A. Behavior and Habitat Use of Elasmobranchs in Captivity As an Assessment of Animal Welfare. Bachelor’s Thesis, Oakland University, Rochester, MI, USA, 2020. [Google Scholar]
- Pini-Fitzsimmons, J.; Knott, N.A.; Brown, C. Heterarchy reveals social organization of a smooth stingray (Bathytoshia brevicaudata) population in a provisioned food context. Front. Mar. Sci. 2021, 8, 466. [Google Scholar] [CrossRef]
- Smith, M.; Warmolts, D.; Thoney, D.; Hueter, R. Captive Care of Sharks, Rays, and their relatives. In Elasmobranch Husbandry Manual; Ohio Biological Survey Inc.: Columbus, OH, USA, 2004; p. 348. [Google Scholar]
- Greenway, E.; Jones, K.S.; Cooke, G.M. Environmental enrichment in captive juvenile thornback rays, Raja clavata (Linnaeus 1758). Appl. Anim. Behav. Sci. 2016, 182, 86–93. [Google Scholar] [CrossRef]
- Jones, H.; McGregor, P.K.; Farmer, H.L.A.; Baker, K.R. The influence of visitor interaction on the behavior of captive crowned lemurs (Eulemur coronatus) and implications for welfare. Zoo Biol. 2016, 35, 222–227. [Google Scholar] [CrossRef] [PubMed]
- Stoinski, T.S.; Jaicks, H.F.; Drayton, L.A. Visitor effects on the behavior of captive western lowland gorillas: The importance of individual differences in examining welfare. Zoo Biol. 2011, 31, 586–599. [Google Scholar] [CrossRef]
- Zoo, L.P. ZooMonitor: Mobile Application Software, Version 4.1. 2022. Available online: https://zoomonitor.org (accessed on 1 December 2022).
- R Core Team. R: A Language and Environment for Stat Computing; R Foundation for Statistical Computing: Vienna, Austria, 2021; Available online: https://www.R-project.org/ (accessed on 20 October 2023).
- Pinheiro, J.; Bates, D.; Debroy, S.; Sarkar, D.; Team, R.C. nlme: Linear and Nonlinear Mixed-Effects Models. 2017. Available online: http://cran.r-project.org/package=nlme (accessed on 20 October 2023).
- Cooke, C.M.; Schillaci, M.A. Behavioral responses to the zoo environment by white handed gibbons. Appl. Anim. Behav. Sci. 2007, 106, 125–133. [Google Scholar] [CrossRef]
- Todd, P.A.; Macdonald, C.; Coleman, D. Visitor-associated variation in captive Diana monkey (Cercopithecus diana diana) behaviour. Appl. Anim. Behav. Sci. 2007, 107, 162–165. [Google Scholar] [CrossRef]
- Beaudin-Judd, J.; Weladji, R.B.; Lazure, L.; Paré, P. Activity budget and spatial distribution of Bennett’s wallabies (Macropus rufogriseus) in open versus closed exhibit designs. Zoo Biol. 2019, 38, 258–265. [Google Scholar] [CrossRef]
- Rose, P.E.; Brereton, J.E.; Croft, D.P. Measuring welfare in captive flamingos: Activity patterns and exhibit usage in zoo-housed birds. Appl. Anim. Behav. Sci. 2018, 205, 115–125. [Google Scholar] [CrossRef]
- Yamanashi, Y.; Hayashi, M. Assessing the effects of cognitive experiments on the welfare of captive chimpanzees (Pan troglodytes) by direct comparison of activity budget between wild and captive chimpanzees. Am. J. Primatol. 2011, 73, 1231–1238. [Google Scholar] [CrossRef]
- Aguiar, A.A.; Valentin, J.L.; Rosa, R.S. Habitat use by Dasyatis americana in a south-western Atlantic oceanic island. J. Mar. Biol. Assoc. United Kingd. 2009, 89, 1147–1152. [Google Scholar] [CrossRef]
- Meese, E.N.; Lowe, C.G. Finding a resting place: How environmental conditions influence the habitat selection of resting batoids. Bull. South. Calif. Acad. Sci. 2019, 118, 87–101. [Google Scholar] [CrossRef]
- Tricasa, T.C.; Michael, S.W.; Sisneros, J.A. Electrosensory optimization to conspecific phasic signals for mating. Neurosci. Lett. 1995, 202, 129–132. [Google Scholar] [CrossRef] [PubMed]
- Brando, S.; Buchanan-Smith, H.M. The 24/7 approach to promoting optimal welfare for captive wild animals. Behav. Process. 2018, 156, 83–95. [Google Scholar] [CrossRef]
- Cox, K.; Brennan, L.P.; Gerwing, T.G.; Dudas, S.E.; Juanes, F. Sound the alarm: A meta-analysis on the effect of aquatic noise on fish behavior and physiology. Glob. Chang. Biol. 2018, 24, 3105–3116. [Google Scholar] [CrossRef]
- Brand, C.M.; Boose, K.J.; Squires, E.C.; Marchant, L.F.; White, F.J.; Meinelt, A.; Snodgrass, J.J. Hair plucking, stress, and urinary cortisol among captive bonobos (Pan paniscus). Zoo Biol. 2016, 35, 415–422. [Google Scholar] [CrossRef]
- Yamanashi, Y.; Teramoto, M.; Morimura, N.; Hirata, S.; Inoue-Murayama, M.; Idani, G.I. Effects of relocation and individual and environmental factors on the long-term stress levels in captive chimpanzees (Pan troglodytes): Monitoring hair cortisol and behaviors. PLoS ONE 2016, 11, e0160029. [Google Scholar] [CrossRef]



| Category | Behavior | Description | 
|---|---|---|
| Active | Swimming | Moving through the water without touching the tank wall | 
| Eating | Actively consuming food items | |
| Inactive | Resting | Remaining stationary on the tank floor, the individual may be covered in sand or lying on top of the sand (but not on top of another individual) | 
| Hiding | Remaining stationary on the tank floor while covered in sand or in the process of covering themselves in sand | |
| Negative | Wall Flapping | Moving fin(s) back and forth in a flapping motion while the body is partially out of the water and the ventral face is touching the tank wall | 
| Abnormal Swimming | Moving through the water in an atypical fashion, including vertically (i.e., while the ventral face is parallel with the tank wall) or upside down (i.e., while the ventral face is directed toward the water surface) | |
| Aggressive Interaction | Behaving in a hostile manner toward another ray, which includes biting, chasing (i.e., swimming behind another ray at a quick speed), nose shoving (i.e., pushing its snout into another individual), and tail raising (i.e., raising tail in a defensive manner while facing another ray) | |
| Submissive Interaction | Behaving in an unassertive manner toward another ray, which includes avoiding (i.e., turning away from another ray when that individual becomes visible) and giving way (i.e., an individual moving out of the path of another ray who continues on their current path) | |
| Displacement | Moving toward another ray causing this individual to move away | |
| Social | Neutral Interaction | Behaving in a neutral manner toward another ray, which includes swimming over the top of another ray, following (i.e., swimming behind another ray at a slow speed), and parallel swimming (i.e., swimming next to another ray at the same speed). | 
| Ray Rest | Remaining stationary while on top of another ray | |
| Non-classified | Not Visible | Out of view of the observer | 
| Other | The behavior cannot be classified into the above categories | 
| Disclaimer/Publisher’s Note: The statements, opinions and data contained in all publications are solely those of the individual author(s) and contributor(s) and not of MDPI and/or the editor(s). MDPI and/or the editor(s) disclaim responsibility for any injury to people or property resulting from any ideas, methods, instructions or products referred to in the content. | 
© 2023 by the authors. Licensee MDPI, Basel, Switzerland. This article is an open access article distributed under the terms and conditions of the Creative Commons Attribution (CC BY) license (https://creativecommons.org/licenses/by/4.0/).
Share and Cite
Truax, J.; Vonk, J.; Meri, E.; Troxell-Smith, S.M. Aquarium Visitors Catch Some Rays: Rays Are More Active in the Presence of More Visitors. Animals 2023, 13, 3526. https://doi.org/10.3390/ani13223526
Truax J, Vonk J, Meri E, Troxell-Smith SM. Aquarium Visitors Catch Some Rays: Rays Are More Active in the Presence of More Visitors. Animals. 2023; 13(22):3526. https://doi.org/10.3390/ani13223526
Chicago/Turabian StyleTruax, Jordyn, Jennifer Vonk, Eness Meri, and Sandra M. Troxell-Smith. 2023. "Aquarium Visitors Catch Some Rays: Rays Are More Active in the Presence of More Visitors" Animals 13, no. 22: 3526. https://doi.org/10.3390/ani13223526
APA StyleTruax, J., Vonk, J., Meri, E., & Troxell-Smith, S. M. (2023). Aquarium Visitors Catch Some Rays: Rays Are More Active in the Presence of More Visitors. Animals, 13(22), 3526. https://doi.org/10.3390/ani13223526
 
        



 
       