Effect of Xylazine on Pharmacokinetics and Physiological Efficacy of Intravenous Carprofen in Castrated Goats Kids
Abstract
:Simple Summary
Abstract
1. Introduction
2. Materials and Methods
2.1. Chemicals
2.2. Animals
2.3. Group Assignment and Randomization Procedure
2.4. Drug Administration and Castration Prosedure
2.5. Blood Sample Collection
2.6. Analysis of Carprofen
2.7. Pharmacokinetic Analysis
2.8. Physiological Parameters
2.9. Statistical Analysis
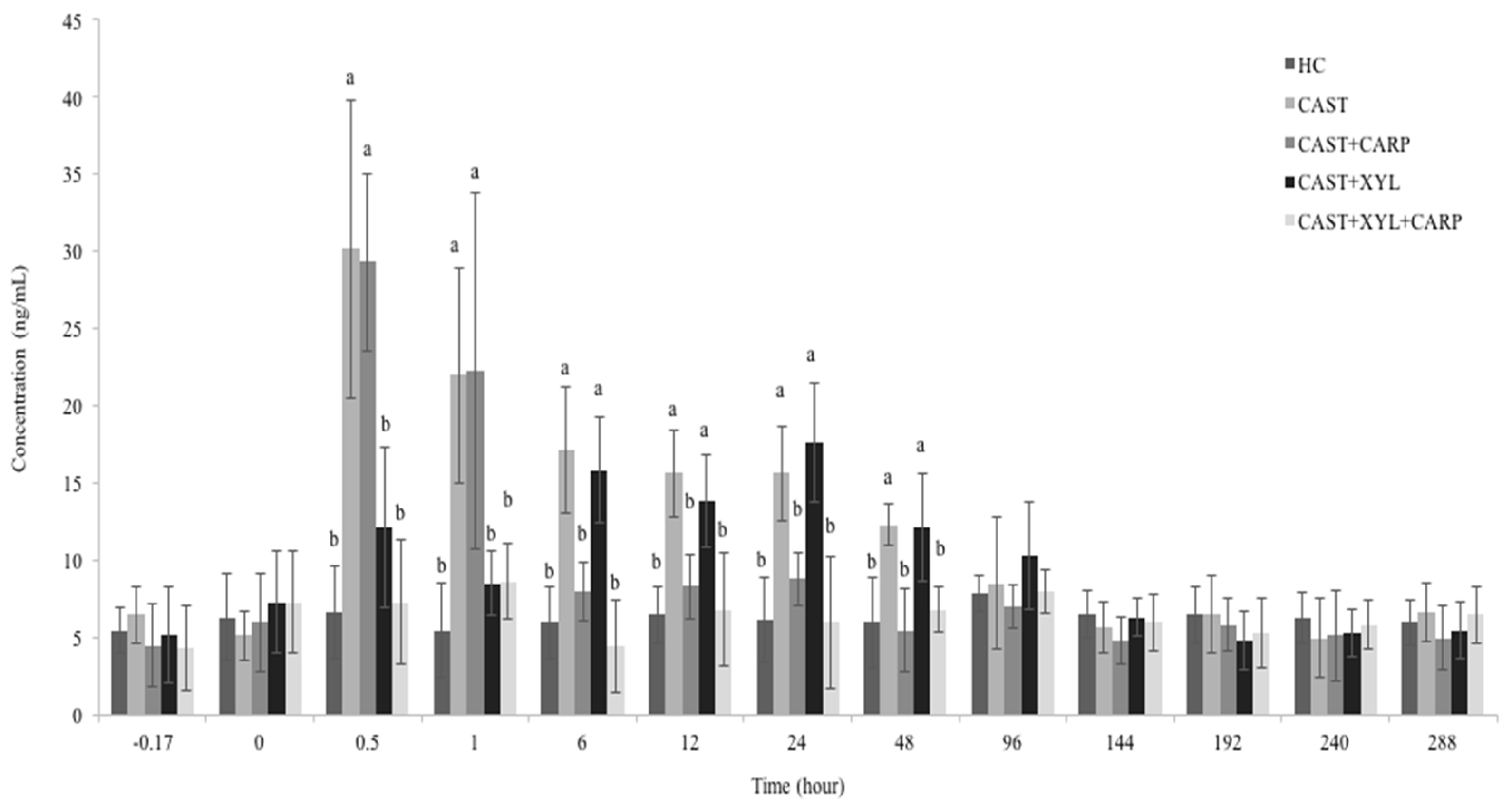
3. Results
3.1. Pharmacokinetic Parameters
3.2. Physiological Parameters
4. Discussion
5. Conclusions
Author Contributions
Funding
Institutional Review Board Statement
Informed Consent Statement
Data Availability Statement
Conflicts of Interest
References
- Yami, A. Castration of Sheep and Goats; Merkel, R.C., Dawson, L., Eds.; Technical Bulletin No.18; USAID: Addis Ababa, Ethiopia, 2004; pp. 1–9.
- Stafford, K.J.; Mellor, D.J. The welfare significance of the castration of cattle: A review. N. Z. Vet. J. 2005, 53, 271–278. [Google Scholar] [CrossRef] [PubMed]
- Coetzee, J.F. Assessment and management of pain associated with castration in cattle. Food Anim. Pract. 2013, 29, 75–101. [Google Scholar] [CrossRef]
- Pang, W.Y.; Earley, B.; Murray, M.; Sweeney, T.; Gath, V.; Crowe, M.A. Banding or burdizzo castration and carprofen administration on peripheral leukocyte inflammatory cytokine transcripts. Res. Vet. Sci. 2011, 90, 127–132. [Google Scholar] [CrossRef] [PubMed]
- Fitzpatrick, J.; Scott, M.; Nolan, A. Assessment of pain and welfare in sheep. Small Rumin. Res. 2006, 62, 55–61. [Google Scholar] [CrossRef]
- Corum, O.; Corum, D.D.; Er, A.; Yildiz, R.; Uney, K. Pharmacokinetics and bioavailability of tolfenamic acid in sheep. J. Vet. Pharmacol. Ther. 2018, 41, 871–877. [Google Scholar] [CrossRef]
- Tekeli, I.O.; Turk, E.; Durna Corum, D.; Corum, O.; Uney, K. Effect of castration procedure on the pharmacokinetics of meloxicam in goat kids. J. Vet. Pharmacol. Ther. 2020, 43, 429–434. [Google Scholar] [CrossRef]
- Mitchell, M.A. Carprofen. Semin. Avian Exot. Pet Med. 2005, 14, 61–64. [Google Scholar] [CrossRef]
- Hawkey, C.J. COX-1 and COX-2 inhibitors. Best Pract. Res. Clin. Gastroenterol. 2001, 15, 801–820. [Google Scholar] [CrossRef]
- Uney, K.; Durna Corum, D.; Terzi, E.; Corum, O. Pharmacokinetics and bioavailability of carprofen in rainbow trout (Oncorhynchus mykiss) broodstock. Pharmaceutics 2021, 13, 990. [Google Scholar] [CrossRef]
- Hunter, T.S.; Robison, C.; Gerbino, P.P. Emerging evidence in NSAID pharmacology: Important considerations for product selection. Am. J. Manag. Care 2015, 21, 139–147. [Google Scholar]
- CVMP. Carprofen Summary Report (1). European Agency for the Evaluation of Medicinal Products, EMEA/MRL/042/95-FINAL. 1995. Available online: https://www.ema.europa.eu/en/documents/mrl-report/carprofen-summary-report-1-committee-veterinary-medicinal-products_en.pdf (accessed on 15 May 2023).
- Turk, E.; Tekeli, I.O.; Durna Corum, D.; Corum, O.; Altinok Yipel, F.; Ilhan, A.; Emiroglu, S.B.; Uguz, H.; Uney, K. Pharmacokinetics of tolfenamic acid in goats after different administration routes. J. Vet. Pharmacol. Ther. 2021, 44, 367–373. [Google Scholar] [CrossRef]
- Welsh, E.M.; McKellar, Q.A.; Nolan, A.M. The pharmacokinetics of flunixin meglumine in the sheep. J. Vet. Pharmacol. Ther. 1993, 16, 181–188. [Google Scholar] [CrossRef]
- Papich, M.G. Saunders Handbook of Veterinary Drugs: Small and Large Animal, 4th ed.; Saunders Elsevier: Philadelphia, PA, USA, 2016; pp. 110–112. [Google Scholar]
- Matthews, J. Diseases of the Goat, 4th ed.; Wiley BlackWell: Hoboken, NJ, USA, 2016; pp. 384–392. [Google Scholar]
- Pawson, P.S. Small Animal Clinical Pharmacology; Maddison, J.E., Page, S., Church, D.B., Eds.; Saunders Ltd.: Edinburgh, UK, 2008; pp. 113–125. [Google Scholar]
- Paddleford, R.P.; Harvey, R.C. Alpha2 agonists and antagonists. Vet. Clin. N. Am.-Small Anim. Pract. 1999, 29, 737–745. [Google Scholar] [CrossRef]
- Kastner, S.B.R. A2-agonists in sheep: A review. Vet. Anaesth. Analg. 2006, 33, 79–96. [Google Scholar] [CrossRef]
- Searle, D.; Dart, A.J.; Dart, C.M.; Hodgson, D.R. Equine castration: Review of anatomy, approaches, techniques and complications in normal, cryptorchid and monorchid horses. Aust. Vet. J. 1999, 77, 428–434. [Google Scholar] [CrossRef]
- Steiner, B.; Kamm, A.; Bettschart-Wolfensberger, R. Influences of carprofen and the experience of the surgeon on post-castration pain in lambs and young sheep. Vet. Anaesth. Analg. 2003, 30, 87–98. [Google Scholar] [CrossRef]
- Stilwell, G.; Lima, M.S.; Broom, D.M. Effects of nonsteroidal anti-inflammatory drugs on long-term pain in calves castrated by use of an external clamping technique following epidural anesthesia. Am. J. Vet. Res. 2008, 69, 744–750. [Google Scholar] [CrossRef]
- Kinjavdekar, P.; Amarpal, G.S.; Aithal, H.P.; Pawde, A.M. Physiologic and biochemical effects of subarachnoidally administered xylazine and medetomidine in goats. Small Rumin. Res. 2000, 38, 217–228. [Google Scholar] [CrossRef]
- Galatos, A.D. Anesthesia and analgesia in sheep and goats. Vet. Clin. N. Am. Food Anim. Pract. 2011, 27, 47–59. [Google Scholar] [CrossRef]
- González, L.A.; Schwartzkopf-Genswein, K.S.; Caulkett, N.A.; Janzen, E.; McAllister, T.A.; Fierheller, E.; Schaefer, A.L.; Haley, D.B.; Stookey, J.M.; Hendrick, S. Pain miti-gation after band castration of beef calves and its effects on performance, behavior, escherichia coli, and salivary cortisol. Anim. Sci. J. 2010, 88, 802–810. [Google Scholar] [CrossRef]
- Turk, E.; Tekeli, I.O.; Corum, O.; Durna Corum, D.; Kirgiz, F.C.; Cetin, G.; Atessahin, D.A.; Uney, K. Pharmacokinetics of meloxicam, carprofen, and tolfenamic acid after intramuscular and oral administration in Japanese quails (Coturnix coturnix japonica). J. Vet. Pharmacol. Ther. 2021, 44, 388–396. [Google Scholar] [CrossRef]
- Coskun, D.; Corum, O.; Durna Corum, D.; Uney, K.; Elmas, M. Pharmacokinetics and bioavailability of carprofen in sheep. J. Vet. Pharmacol. Ther. 2022, 45, 543–549. [Google Scholar] [CrossRef]
- EMA. 2011. Guideline on Bioanalytical Method Validation. Committee for Medicinal Products for Human Use (CHMP), European Medecines Agency (EMA). July 2011. Available online: https://www.ema.europa.eu/documents/scientific-guideline/guideline-bioanalytical-method-validation_en.pdf (accessed on 20 May 2023).
- Toutain, P.L.; Bousquet-Melou, A. Plasma clearance. J. Vet. Pharmacol. Ther. 2004, 27, 415–425. [Google Scholar] [CrossRef]
- Kutter, A.P.; Kästner, S.B.R.; Bettschart-Wolfensberger, R.; Huhtinen, M. Cardiopulmonary effects of dexmedetomidine in goats and sheep anaesthetised with sevoflurane. Vet. Rec. 2006, 159, 624–629. [Google Scholar] [CrossRef] [PubMed]
- Corum, O.; Coskun, D.; Durna Corum, D.; Ider, M.; Yildiz, R.; Ok, M.; Uney, K. Pharmacokinetics of carprofen following single and repeated intravenous administrations of different doses in sheep. J. Vet. Pharmacol. Ther. 2022, 45, 481–487. [Google Scholar] [CrossRef]
- Durna Corum, D.; Yıldız, R. Effect of multiple-dose administration of carprofen on hematological and biochemical parameters in sheep. Eurasian J. Vet. Sci. 2020, 36, 166–171. [Google Scholar]
- CVMP. 1999. Available online: https://www.ema.europa.eu/en/documents/mrl-report/xylazine-hydrochloride-summary-report-1-committee-veterinary-medicinal-products_en.pdf (accessed on 10 June 2023).
- Abouelfetouh, M.M.; Liu, L.; Salah, E.; Sun, R.; Nan, S.; Ding, M.; Ding, Y. The Effect of Xylazine Premedication on the Dose and Quality of Anesthesia Induction with Alfaxalone in Goats. Animals 2021, 11, 723. [Google Scholar] [CrossRef] [PubMed]
- Delatour, P.; Foot, R.; Foster, A.P.; Baggo, D.; Lees, P. Pharmacodynamics and chiralpharmacokinetics of carprofen in calves. Br. Vet. J. 1996, 152, 183–198. [Google Scholar] [CrossRef]
- Lohuis, J.A.C.M.; Van Werven, T.; Brand, A.; Van Miert, A.S.J.P.A.M.; Rohde, E.; Ludwig, B.; Heizmann, P.; Rehm, W.F. Pharmacodynamics and pharmacokinetics of carprofen, a non-steroidal anti-inflammatory drug, in healthy cows and cows with Escherichia coli endotoxin-induced mastitis. J. Vet. Pharmacol. Ther. 1991, 14, 219–229. [Google Scholar] [CrossRef] [PubMed]
- McKellar, Q.A.; Pearson, T.; Bogan, J.A.; Gaibraith, E.A.; Lees, P.; Ludwig, B.; Tiberghien, M.P. Pharmacokinetics, tolerance and serum thromboxane inhibition of carprofen in the dog. J. Small Anim. Pract. 1990, 31, 443–448. [Google Scholar] [CrossRef]
- McKellar, Q.A.; Bogan, J.A.; von Fellenberg, R.L.; Ludwig, B.; Cawley, G.D. Pharmacokinetic, biochemical and tolerance studies on carprofen in the horse. Equine Vet. J. 1991, 23, 280–284. [Google Scholar] [CrossRef] [PubMed]
- Parton, K.; Balmer, T.V.; Boyle, J.; Whittem, T.; MacHon, R. The pharmacokinetics and effects of intravenously administered carprofen and salicylate on gastrointestinal mucosa and selected biochemical measurements in healthy cats. J. Vet. Pharmacol. Ther. 2000, 23, 73–79. [Google Scholar] [CrossRef] [PubMed]
- Welsh, E.M.; Baxter, P.; Nolan, A.M. Pharmacokinetics of carprofen administered intravenously to sheep. Res. Vet. Sci. 1992, 53, 264–266. [Google Scholar] [CrossRef] [PubMed]
- Messenger, K.M.; Wofford, J.A.; Papich, M.G. Carprofen pharmacokinetics in plasma and in control and inflamed canine tissue fluid using in vivo ultrafiltration. J. Vet. Pharmacol. Ther. 2016, 39, 32–39. [Google Scholar] [CrossRef]
- Khalil, K.A.; Mousa, Y.J.; Alzubaidy, M.H. Pharmacokinetic Criteria of Ketoprofen and its Cyclooxygenase-2 Inhibition in Mice: Influence of Xylazine Administration. Maced. Vet. Rev. 2022, 46, 27–33. [Google Scholar] [CrossRef]
- Sakai, J.B. Pharmacokinetics: The absorption, distribution, and excretion of drugs. In Practical Pharmacology for the Pharmacy Technician, 1st ed.; Sakai, J.B., Ed.; Lippincott Williams & Wilkins: Philadelphia, PA, USA, 2009; pp. 27–40. [Google Scholar]
- Ernstmeyer, K.; Christman, E. Nursing Pharmacology; The LibreTexts: Davis, CA, USA, 2023; pp. 1–452. [Google Scholar]
- Rubio, F.; Seawall, S.; Pocelinko, R.; DeBarbieri, B.; Benz, W.; Berger, L.; Morgan, L.; Pao, L.; Williams, T.H.; Koechlin, B. Metabolism of carprofen, a nonsteroidal anti-inflammatory agent, in rats, dogs, and humans. J. Pharm. Sci. 1980, 69, 1245–1253. [Google Scholar] [CrossRef]
- Nahvi, A.; Molaei, M.M.; Samimi, A.S.; Azari, O.; Mashayekhi, H.; Ebrahimzadeh, F. Evaluation of the sedative and physiological effects of xylazine, detomidine, medetomidine and dexmedetomidine in goats. Vet. Med. Sci. 2022, 8, 1205–1210. [Google Scholar] [CrossRef]
- Santonastaso, A.; Hardy, J.; Cohen, N.; Fajt, V. Pharmacokinetics and pharmacodynamics of xylazine administered by the intravenous or intra-osseous route in adult horses. J Vet. Pharmacol. Ther. 2014, 37, 565–570. [Google Scholar] [CrossRef]
- Garcia-villar, R.; Toutain, P.L.; Alvinerie, M.; Ruckebusch, Y. The pharmacokinetics of xylazine hydrochloride: An interspecific study. J. Vet. Pharmacol. Ther. 1981, 4, 87–92. [Google Scholar] [CrossRef]
- Knych, H.K.; Stanleya, S.D.; McKemiea, D.S.; Arthurc, R.M.; Kass, P.G. Pharmacokinetic and pharmacodynamics of xylazine administered to exercised thoroughbred horses. Drug Test. Anal. 2017, 9, 713–720. [Google Scholar] [CrossRef]
- Symonds, H.W. The effect of xylazine upon hepatic glucose pro- duction and blood flow rate in the lactating dairy cow. Vet. Rec. 1976, 99, 234–236. [Google Scholar] [CrossRef]
- Talke, P.O.; Traber, D.L.; Richardson, C.A.; Harper, D.D.; Traber, L.D. The effect of α2 agonist-induced sedation and its reversal with an α2 antagonist on organ blood flow in sheep. Anaesth. Analg. 2000, 90, 1060–1066. [Google Scholar] [CrossRef]
- Pang, W.Y.; Earley, B.; Sweeney, T.; Crowe, M.A. Effect of carprofen administration during banding or burdizzo castration of bulls on plasma cortisol, in vitro interferon-γ production, acute-phase proteins, feed intake, and growth. J Anim Sci. 2006, 84, 351–359. [Google Scholar] [CrossRef]
- McKellar, Q.A.; Lees, P.; Gettinby, G. Pharmacodynamics of tolfenamic acid in dogs. Evaluation of dose response relationships. Eur. J. Pharmacol. 1994, 253, 191–200. [Google Scholar] [CrossRef]
- Meléndez, D.M.; Marti, S.; Pajor, E.A.; Moya, D.; Gellatly, D.; Janzen, E.D.; Schwartzkopf-Genswein, K.S. Effect of a single dose of meloxicam prior to band or knife castration in 1-wk-old beef calves: I. Acute pain. J. Anim. Sci. 2018, 96, 1268–1280. [Google Scholar] [CrossRef] [PubMed]
- Meléndez, D.M.; Marti, S.; Pajor, E.A.; Sidhu, P.K.; Gellatly, D.; Moya, D.; Schwartzkopf-Genswein, K.S. Effect of meloxicam and lidocaine administered alone or in combination on indicators of pain and distress during and after knife castration in weaned beef calves. PLoS ONE 2018, 13, e0207289. [Google Scholar] [CrossRef] [PubMed]
- Meléndez, D.M.; Marti, S.; Pajor, E.A.; Moya, D.; Gellatly, D.; Janzen, E.D.; Schwartzkopf-Genswein, K.S. Effect of subcutaneous meloxicam on indicators of acute pain and distress after castration and branding in 2-mo-old beef calves. J. Anim. Sci. 2018, 96, 3606–3621. [Google Scholar] [CrossRef]


| Parameters | CAST+CRP | CAST+CRP+XYL |
|---|---|---|
| t1/2λz (h) | 41.59 (39.48–44.95) | 43.14 (40.90–46.01) |
| AUC0–last (h*µg/mL) | 1909.58 (1686.20–2143.96) | 2338.87 (2180.57–2472.49) * |
| AUC0–∞ (h*µg/mL) | 1925.48 (1699.32–2160.26) | 2361.32 (2198.96–2498.05) * |
| AUCextrap (%) | 0.81 (0.65–1.19) | 0.94 (0.70–1.25) |
| MRT0–∞ (h) | 56.07 (53.41–58.49) | 59.00 (54.86–65.10) |
| ClT (mL/h/kg) | 2.08 (1.89–2.35) | 1.69 (1.60–1.74) * |
| Vdss (mL/kg) | 116.49 (105.83–129.82) | 99.95 (94.43–106.71) * |
| C0.083h (µg/mL) | 60.14 (56.54–65.34) | 69.82 (63.08–76.64) * |
| Treatment | |||||||
|---|---|---|---|---|---|---|---|
| Parameters | Hour p-Value | Treatment p-Value | HC | CAST | CAST+CRP | CAST+XYL | CAST+CRP+XYL |
| Serum cortisol (ng/mL) | 0.0000000 | 0.0000001 | 6.29 ± 0.69 c | 12.08 ± 2.41 a | 9.28 ± 2.76 b | 9.62 ± 1.11 b | 6.42 ± 0.98 c |
| Rectal temperature (°C) | 0.1039768 | 0.755362 | 39.15 ± 0.27 | 39.02 ± 0.45 | 39.06 ± 0.53 | 39.05 ± 0.37 | 39.13 ± 0.41 |
| Scrotal temperature (°C) | 0.5756055 | 0.2895756 | 36.15 ± 0.25 | 36.12 ± 0.42 | 35.87 ± 0.17 | 35.89 ± 0.32 | 36.14 ± 0.48 |
| Scrotal sircumference (cm) | 0.6914008 | 0.9996859 | 18.81 ± 0.31 | 19.28 ± 0.37 | 19.09 ± 0.39 | 19.32 ± 0.66 | 18.97 ± 0.90 |
Disclaimer/Publisher’s Note: The statements, opinions and data contained in all publications are solely those of the individual author(s) and contributor(s) and not of MDPI and/or the editor(s). MDPI and/or the editor(s) disclaim responsibility for any injury to people or property resulting from any ideas, methods, instructions or products referred to in the content. |
© 2023 by the authors. Licensee MDPI, Basel, Switzerland. This article is an open access article distributed under the terms and conditions of the Creative Commons Attribution (CC BY) license (https://creativecommons.org/licenses/by/4.0/).
Share and Cite
Uney, K.; Yuksel, M.; Durna Corum, D.; Coskun, D.; Turk, E.; Dingil, H.B.; Corum, O. Effect of Xylazine on Pharmacokinetics and Physiological Efficacy of Intravenous Carprofen in Castrated Goats Kids. Animals 2023, 13, 2700. https://doi.org/10.3390/ani13172700
Uney K, Yuksel M, Durna Corum D, Coskun D, Turk E, Dingil HB, Corum O. Effect of Xylazine on Pharmacokinetics and Physiological Efficacy of Intravenous Carprofen in Castrated Goats Kids. Animals. 2023; 13(17):2700. https://doi.org/10.3390/ani13172700
Chicago/Turabian StyleUney, Kamil, Murat Yuksel, Duygu Durna Corum, Devran Coskun, Erdinc Turk, Hasan Basri Dingil, and Orhan Corum. 2023. "Effect of Xylazine on Pharmacokinetics and Physiological Efficacy of Intravenous Carprofen in Castrated Goats Kids" Animals 13, no. 17: 2700. https://doi.org/10.3390/ani13172700
APA StyleUney, K., Yuksel, M., Durna Corum, D., Coskun, D., Turk, E., Dingil, H. B., & Corum, O. (2023). Effect of Xylazine on Pharmacokinetics and Physiological Efficacy of Intravenous Carprofen in Castrated Goats Kids. Animals, 13(17), 2700. https://doi.org/10.3390/ani13172700

