Elbow Extensor Muscles in Humans and Chimpanzees: Adaptations to Different Uses of the Upper Extremity in Hominoid Primates
Abstract
Simple Summary
Abstract
1. Introduction
2. Materials and Methods
2.1. Muscle and Osteological Samples
2.2. Muscle Architecture
2.3. Expression of MHC Isoforms
2.4. Muscle Insertion Sites
2.5. Statistical Analysis
3. Results
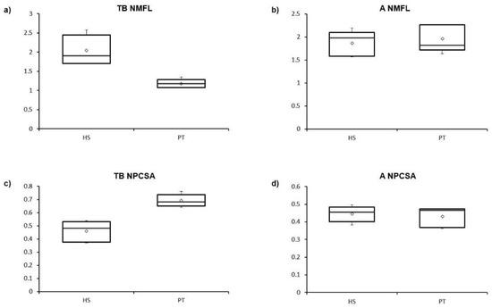
3.1. Muscle Architecture
3.2. Expression of MHC Isoforms
3.3. Muscle Insertion Sites
4. Discussion
5. Conclusions
Author Contributions
Funding
Institutional Review Board Statement
Informed Consent Statement
Data Availability Statement
Acknowledgments
Conflicts of Interest
References
- Aiello, L.; Dean, C. An Introduction to Human Evolutionary Anatomy, 1st ed.; Academic Press: Cambridge, MA, USA; Elsevier: Eastbourne, UK, 1990. [Google Scholar]
- Almécija, S.; Hammond, A.S.; Thompson, N.E.; Pugh, K.D.; Moyà-Solà, S.; Alba, D.M. Fossil apes and human evolution. Science 2021, 372, eabb4363. [Google Scholar] [CrossRef] [PubMed]
- Malagelada, F.; Dalmau-Pastor, M.; Vega, J.; Golano, P. Elbow anatomy. In Sports Injuries; Doral, M.N., Karlsson, J., Eds.; Springer: Berlin/Heidelberg, Germany, 2014; Volume 2, pp. 527–553. [Google Scholar]
- Diogo, R.; Potau, J.M.; Pastor, J.F.; de Paz, F.J.; Ferrero, E.M.; Bello, G.; Barbosa, M.; Ashraf-Aziz, M.; Burrows, A.M.; Arias-Martorell, A.; et al. Photographic and Descriptive Musculoskeletal Atlas of Chimpanzees; CRC Press: Boca Raton, FL, USA, 2013. [Google Scholar]
- Rose, M.D. Functional anatomy of the elbow and forearm in primates. In Postcranial Adaptation in Nonhuman Primates, 1st ed.; Gebo, D.L., Ed.; Northern Illinois University: DeKalb, IL, USA, 1993; pp. 70–95. [Google Scholar]
- Fornalski, S.; Gupta, R.; Lee, T.Q. Anatomy and biomechanics of the elbow joint. Sports Med. Arthrosc. Rev. 2003, 11, 1–9. [Google Scholar] [CrossRef]
- Drapeau, M.S. Functional anatomy of the olecranon process in hominoids and Plio-Pleistocene hominins. Am. J. Phys. Anthropol. 2004, 124, 297–314. [Google Scholar] [CrossRef] [PubMed]
- Coriolano, M.G.W.S.; Lins, O.G.; Amorim, M.J.A.A.L.; Amorim, A.A., Jr. Anatomy and functional architecture of the anconeus muscle. Int. J. Morphol. 2009, 27, 1009–1012. [Google Scholar] [CrossRef]
- Bergin, M.J.; Vicenzino, B.; Hodges, P.W. Functional differences between anatomical regions of the anconeus muscle in humans. J. Electromyogr. Kinesiol. 2013, 23, 1391–1397. [Google Scholar] [CrossRef]
- Capdarest-Arest, N.; Gonzalez, J.P.; Türker, T. Hypotheses for ongoing evolution of muscles of the upper extremity. Med. Hypotheses 2014, 82, 452–456. [Google Scholar] [CrossRef][Green Version]
- Zhang, L.Q.; Nuber, G.W. Moment distribution among human elbow extensor muscles during isometric and submaximal extension. J. Biomech. 2000, 33, 145–154. [Google Scholar] [CrossRef]
- Miguel-Andres, I.; Alonso-Rasgado, T.; Walmsley, A.; Watts, A.C. Effect of anconeus muscle blocking on elbow kinematics: Electromyographic, inertial sensors and finite element study. Ann. Biomed. Eng. 2017, 45, 775–788. [Google Scholar] [CrossRef]
- An, K.N.; Hui, F.C.; Morrey, B.F.; Linscheid, R.L.; Chao, E.Y. Muscles across the elbow joint: A biomechanical analysis. J. Biomech. 1981, 14, 659–669. [Google Scholar] [CrossRef]
- Le Bozec, S.; Maton, B. The activity of anconeus during voluntary elbow extension: The effect of lidocaine blocking of the muscle. Electromyogr. Clin. Neurophysiol. 1982, 22, 265–275. [Google Scholar]
- Kendall, H.O.; Kendall, F.P.; Wadsworth, G.E. Músculos Provas e Funções, 2nd ed.; Editora Manole: São Paulo, Brazil, 1980; pp. 110–111. [Google Scholar]
- Werner, S.L.; Fleisig, G.S.; Dillman, C.J.; Andrews, J.R. Biomechanics of the elbow during baseball pitching. J. Orthop. Sports Phys. Ther. 1993, 17, 274–278. [Google Scholar] [CrossRef] [PubMed]
- Buchanan, T.S.; Delp, S.L.; Solbeck, J.A. Muscular resistance to varus and valgus loads at the elbow. J. Biomech. Eng. 1998, 120, 638–639. [Google Scholar] [CrossRef] [PubMed]
- Pereira, B.P. Revisiting the anatomy and biomechanics of the anconeus muscle and its role in elbow stability. Ann. Anat. 2013, 195, 365–370. [Google Scholar] [CrossRef] [PubMed]
- Gleason, T.F.; Goldstein, W.M.; Ray, R.D. The function of the anconeus muscle. Clin. Orthop. Relat. Res. 1985, 65, 147–148. [Google Scholar] [CrossRef]
- Gebo, D.L. Primate Comparative Anatomy; Johns Hopkins University Press: Baltimore, MD, USA, 2014. [Google Scholar]
- Larson, S.G. Parallel evolution in the hominoid trunk and forelimb. Evol. Anthropol. 1998, 6, 87–99. [Google Scholar] [CrossRef]
- Ward, C.V. Postcranial and locomotor adaptations of hominoids. In Handbook of Paleoanthropology; Henke, W., Tattersall, I., Eds.; Springer: Berlin/Heidelberg, Germany, 2007; Volume 2, pp. 1011–1030. [Google Scholar]
- Myatt, J.P.; Crompton, R.H.; Payne-Davis, R.C.; Vereecke, E.E.; Isler, K.; Savage, R.; D’Août, K.; Günther, M.M.; Thorpe, S.K. Functional adaptations in the forelimb muscles of non-human great apes. J. Anat. 2012, 220, 13–28. [Google Scholar] [CrossRef]
- Langdon, J.H. The Human Strategy: An Evolutionary Perspective on Human Anatomy, 1st ed.; Oxford University Press: Oxford, UK, 2005. [Google Scholar]
- Doran, D.M. Comparison of instantaneous and locomotor bout sampling methods: A case study of adult male chimpanzee locomotor behavior and substrate use. Am. J. Phys. Anthropol. 1992, 89, 85–99. [Google Scholar] [CrossRef]
- Hunt, K.D. Positional behavior of Pan troglodytes in the Mahale mountains and Gombe stream national parks, Tanzania. Am. J. Phys. Anthropol. 1992, 87, 83–105. [Google Scholar] [CrossRef]
- Hunt, K.D. The special demands of great ape locomotion and posture. In The Evolution of Thought: Evolutionary Origins of Great Ape Intelligence, 1st ed.; Russon, A.E., Begun, D.R., Eds.; Cambridge University Press: New York, NY, USA, 2004; pp. 172–189. [Google Scholar]
- Sarringhaus, L.A.; MacLatchy, L.M.; Mitani, J.C. Locomotor and postural development of wild chimpanzees. J. Hum. Evol. 2014, 66, 29–38. [Google Scholar] [CrossRef]
- Tuttle, R.H.; Velte, M.J.; Basmajian, J.V. Electromyography of brachial muscles in Pan troglodytes and Pongo pygmaeus. Am. J. Phys. Anthropol. 1983, 61, 75–83. [Google Scholar] [CrossRef]
- Basmajian, J.V.; de Luca, C.J. Muscles Alive: Their Functions Revealed by Electromyography; Wiliams & Wilkins: Philadelphia, PA, USA, 1985. [Google Scholar]
- Michilsens, F.; Vereecke, E.E.; D’Août, K.; Aerts, P. Functional anatomy of the gibbon forelimb: Adaptations to a brachiating lifestyle. J. Anat. 2009, 215, 335–354. [Google Scholar] [CrossRef] [PubMed]
- Thorpe, S.K.; Crompton, R.H.; Gunther, M.M.; Ker, R.F.; McNeill Alexander, R. Dimensions and moment arms of the hind-and forelimb muscles of common chimpanzees (Pan troglodytes). Am. J. Phys. Anthropol. 1999, 110, 179–199. [Google Scholar] [CrossRef]
- Kikuchi, Y. Comparative analysis of muscle architecture in primate arm and forearm. Anat. Histol. Embryol. 2010, 39, 93–106. [Google Scholar] [CrossRef] [PubMed]
- Plomgaard, P.; Penkowa, M.; Leick, L.; Pedersen, B.K.; Saltin, B.; Pilegaard, H. The mRNA expression profile of metabolic genes relative to MHC isoform pattern in human skeletal muscles. J. Appl. Physiol. 2006, 101, 817–825. [Google Scholar] [CrossRef] [PubMed]
- Van Rooij, E.; Quiat, D.; Johnson, B.A.; Sutherland, L.B.; Qi, X.; Richardson, J.A.; Kelm, R.J.; Olson, E.N. A family of microRNAs encoded by myosin genes governs myosin expression and muscle performance. Dev. Cell 2009, 17, 662–673. [Google Scholar] [CrossRef] [PubMed]
- Rui, Y.; Pan, F.; Mi, J. Composition of muscle fiber types in rat rotator cuff muscles. Anat. Rec. 2016, 299, 1397–1401. [Google Scholar] [CrossRef]
- Scott, W.; Stevens, J.; Binder–Macleod, S.A. Human skeletal muscle fiber type classifications. Phys. Ther. 2001, 81, 1810–1816. [Google Scholar] [CrossRef]
- Potau, J.M.; Casado, A.; de Diego, M.; Ciurana, N.; Arias-Martorell, J.; Bello-Hellegouarch, G.; Barbosa, M.; de Paz, F.J.; Pastor, J.F.; Pérez-Pérez, A. Structural and molecular study of the supraspinatus muscle of modern humans (Homo sapiens) and common chimpanzees (Pan troglodytes). Am. J. Phys. Anthropol. 2018, 166, 934–940. [Google Scholar] [CrossRef]
- De Diego, M.; Casado, A.; Gómez, M.; Martín, J.; Pastor, J.F.; Potau, J.M. Structural and molecular analysis of elbow flexor muscles in modern humans and common chimpanzees. Zoomorphology 2020, 139, 277–290. [Google Scholar] [CrossRef]
- Harridge, S.D.R.; Bottinelli, R.; Canepari, M.; Pellegrino, M.; Reggiani, C.; Esbjornsson, M.; Balsom, P.D.; Saltin, B. Sprint training, in vitro and in vivo muscle function, and myosin heavy chain expression. J. Appl. Physiol. 1998, 84, 442–449. [Google Scholar] [CrossRef]
- Rupert, J.E.; Rose, J.A.; Organ, J.M.; Butcher, M.T. Forelimb muscle architecture and myosin isoform composition in the groundhog (Marmota monax). J. Exp. Biol. 2015, 218, 194–205. [Google Scholar] [CrossRef] [PubMed]
- Zihlman, A.L.; Underwood, C.E. Ape Anatomy and Evolution; CreateSpace Amazon: San Francisco, CA, USA, 2019. [Google Scholar]
- François, R.J.; Braun, J.; Khan, M.A. Entheses and enthesitis: A histopathologic review and relevance to spondyloarthritides. Curr. Opin. Rheumatol. 2001, 13, 255–264. [Google Scholar] [CrossRef] [PubMed]
- Fleagle, J.G. Primate Adaptation and Evolution; Academic Press: New York, NY, USA, 1999. [Google Scholar]
- Rueden, C.T.; Schindelin, J.; Hiner, M.C.; DeZonia, B.E.; Walter, A.E.; Arena, E.T.; Eliceiri, K.W. ImageJ2: ImageJ for the next generation of scientific image data. BMC Bioinform. 2017, 18, 529. [Google Scholar] [CrossRef] [PubMed]
- Kikuchi, Y.; Takemoto, H.; Kuraoka, A. Relationship between humeral geometry and shoulder muscle power among suspensory, knuckle-walking, and digitigrade/palmigrade quadrupedal primates. J. Anat. 2012, 220, 29–41. [Google Scholar] [CrossRef]
- Zihlman, A.L. Locomotion as a life history character: The contribution of anatomy. J. Hum. Evol. 1992, 22, 315–325. [Google Scholar] [CrossRef]
- Bustin, S.A.; Benes, V.; Garson, J.A.; Hellemans, J.; Huggett, J.; Kubista, M.; Mueller, R.; Nolan, T.; Pfaffl, M.W.; Shipley, G.L.; et al. The MIQE guidelines: Minimum information for publication of quantitative real-time PCR experiments. Clin. Chem. 2009, 55, 601–844. [Google Scholar] [CrossRef]
- Bahar, B.; Monahan, F.J.; Moloney, A.P.; Schmidt, O.; MacHugh, D.E.; Sweeney, T. Long-term stability of RNA in post-mortem bovine skeletal muscle, liver and subcutaneous adipose tissues. BMC Mol. Biol. 2007, 8, 1–12. [Google Scholar] [CrossRef]
- Yüzbaşıoğlu, A.; Onbaşılar, İ.; Kocaefe, C.; Özgüç, M. Assessment of housekeeping genes for use in normalization of real time PCR in skeletal muscle with chronic degenerative changes. Exp. Mol. Pathol. 2010, 88, 326–329. [Google Scholar] [CrossRef]
- Cignoni, P.; Callieri, M.; Corsini, M.; Dellepiane, M.; Ganovelli, F.; Ranzuglia, G. MeshLab: An open-source mesh processing tool. In Proceedings of the Sixth Eurographics Italian Chapter Conference, Salerno, Italy, 2–4 July 2008; Scarano, V., De Chiara, R., Erra, U., Eds.; The Eurographics Association Publisher: Pisa, Italy, 2008; pp. 129–136. [Google Scholar]
- Michilsens, F.; Vereecke, E.E.; D’Août, K.; Aerts, P. Muscle moment arms and function of the siamang forelimb during brachiation. J. Anat. 2010, 217, 521–535. [Google Scholar] [CrossRef]
- Carlson, K.J. Muscle architecture of the common chimpanzee (Pan troglodytes): Perspectives for investigating chimpanzee behavior. Primates 2016, 47, 218–229. [Google Scholar] [CrossRef]
- Oishi, M.; Ogihara, N.; Endo, H.; Ichihara, N.; Asari, M. Dimensions of forelimb muscles in orangutans and chimpanzees. J. Anat. 2009, 215, 373–382. [Google Scholar] [CrossRef] [PubMed]
- Walker, A. The strength of great apes and the speed of humans. Curr. Anthropol. 2009, 50, 229–234. [Google Scholar] [CrossRef] [PubMed]
- Aiello, L.C.; Wood, B.; Key, C.; Lewis, M. Morphological and taxonomic affinities of the Olduvai ulna (OH 36). Am. J. Phys. Anthropol. 1999, 109, 89–110. [Google Scholar] [CrossRef]
- Harridge, S.D.R.; Bottinelli, R.; Canepari, M.; Pellegrino, M.A.; Reggiani, C.; Esbjörnsson, M.; Saltin, B. Whole-muscle and single-fibre contractile properties and myosin heavy chain isoforms in humans. Pflügers Arch. 1996, 432, 913–920. [Google Scholar] [CrossRef] [PubMed]
- Tirrell, T.F.; Cook, M.S.; Carr, J.A.; Lin, E.; Ward, S.R.; Lieber, R.L. Human skeletal muscle biochemical diversity. J. Exp. Biol. 2012, 215, 2551–2559. [Google Scholar] [CrossRef] [PubMed]
- O’Neill, M.C.; Umberger, B.R.; Holowka, N.B.; Larson, S.G.; Reiser, P.J. Chimpanzee super strength and human skeletal muscle evolution. Proc. Natl. Acad. Sci. USA 2017, 114, 7343–7348. [Google Scholar] [CrossRef]
- Foster, A.; Buckley, H.; Tayles, N. Using enthesis robusticity to infer activity in the past: A review. J. Archaeol. Method Theory 2014, 21, 511–533. [Google Scholar] [CrossRef]
- Kirkendall, D.T.; Garrett, W.E. The effects of aging and training on skeletal muscle. Am. J. Sports Med. 1998, 26, 598–602. [Google Scholar] [CrossRef]
- Lexell, J. Human aging, muscle mass, and fiber type composition. J. Gerontol. A Biol. Sci. 1995, 50, 11–16. [Google Scholar]
- Short, K.R.; Vittone, J.L.; Bigelow, M.L.; Proctor, D.N.; Coenen-Schimke, J.M.; Rys, P.; Nair, K.S. Changes in myosin heavy chain mRNA and protein expression in human skeletal muscle with age and endurance exercise training. J. Appl. Physiol. 2005, 99, 95–102. [Google Scholar] [CrossRef]
- Clark, F.; Wood, B. Early hominid ulna from the Omo basin, Ethiopia. Nature 1974, 249, 174–176. [Google Scholar]
- Rein, T.; Harrison, T.; Carlson, K.; Harvati, K. Adaptation to suspensory locomotion in Australopithecus sediba. J. Hum. Evol. 2017, 104, 1–12. [Google Scholar] [CrossRef] [PubMed]
- Araiza, I.; Meyer, M.; Williams, S. Is ulna curvature in the StW 573 (‘Little Foot’) Australopithecus natural or pathological? J. Hum. Evol. 2021, 151, 102927. [Google Scholar] [CrossRef] [PubMed]




| SAMPLE | SEX | AGE (Years) | MM | %MM | MFL | NMFL | PCSA | NPCSA | MM | %MM | MFL | NMFL | PCSA | NPCSA |
|---|---|---|---|---|---|---|---|---|---|---|---|---|---|---|
| Triceps brachii | Anconeus | |||||||||||||
| HS01 | M | 91 | 138.8 | 0.22 | 9.8 | 1.90 | 13.0 | 0.48 | 5.2 | 0.008 | 3.4 | 1.98 | 1.4 | 0.47 |
| HS02 | M | 85 | 195.2 | 0.31 | 13.4 | 2.31 | 12.8 | 0.38 | 4.1 | 0.007 | 3.5 | 2.19 | 1.0 | 0.38 |
| HS03 | M | 81 | 111.8 | 0.18 | 8.2 | 1.70 | 12.0 | 0.52 | 4.7 | 0.008 | 2.6 | 1.57 | 1.4 | 0.50 |
| HS04 | M | 81 | 174.8 | 0.28 | 14.4 | 2.58 | 11.5 | 0.37 | 5.6 | 0.009 | 3.6 | 2.01 | 1.3 | 0.42 |
| HS05 | M | 91 | 206.4 | 0.33 | 10.1 | 1.71 | 18.8 | 0.54 | 7.7 | 0.012 | 3.2 | 1.60 | 1.8 | 0.45 |
| Mean | 165.4 | 0.26 | 11.2 | 2.04 | 13.6 | 0.46 | 5.5 | 0.009 | 3.3 | 1.87 | 1.4 | 0.45 | ||
| SD | 39.5 | 0.06 | 2.6 | 0.39 | 2.9 | 0.08 | 1.4 | 0.002 | 0.4 | 0.27 | 0.3 | 0.05 | ||
| PT01 | F | 26 | 521.6 | 1.14 | 9.5 | 1.18 | 45.8 | 0.71 | 2.3 | 0.005 | 2.4 | 1.80 | 0.8 | 0.48 |
| PT02 | F | 25 | 399.9 | 0.87 | 8.9 | 1.21 | 36.0 | 0.66 | 5.2 | 0.011 | 3.2 | 1.82 | 1.4 | 0.47 |
| PT03 | M | 43 | 426.3 | 0.71 | 8.1 | 1.08 | 38.4 | 0.68 | 8.7 | 0.015 | 3.4 | 1.64 | 2.0 | 0.46 |
| PT04 | F | 40 | 189.0 | 0.41 | 6.1 | 1.07 | 25.1 | 0.76 | 0.9 | 0.002 | 2.2 | 2.26 | 0.4 | 0.38 |
| PT05 | F | 28 | 350.6 | 0.77 | 9.6 | 1.35 | 31.6 | 0.64 | 7.6 | 0.017 | 4.5 | 2.27 | 1.4 | 0.36 |
| Mean | 377.5 | 0.78 | 8.4 | 1.18 | 35.4 | 0.69 | 4.9 | 0.010 | 3.1 | 1.96 | 1.2 | 0.43 | ||
| SD | 122.4 | 0.26 | 1.4 | 0.11 | 7.7 | 0.05 | 3.3 | 0.006 | 0.9 | 0.29 | 0.6 | 0.06 | ||
| p value | 0.006 * | 0.003 * | 0.072 | 0.001 * | <0.001 * | <0.001 * | 0.756 | 0.704 | 0.743 | 0.632 | 0.56 | 0.654 | ||
| SAMPLE | SEX | AGE (Years) | %MHC-I | %MHC-IIa | %MHC-IIx | %MHC-II | %MHC-I | %MHC-IIa | %MHC-IIx | %MHC-II |
|---|---|---|---|---|---|---|---|---|---|---|
| Triceps brachii | Anconeus | |||||||||
| HS01 | M | 91 | 36.6 | 28.2 | 35.2 | 63.4 | 27.7 | 50.9 | 21.4 | 72.3 |
| HS02 | M | 85 | 31.6 | 43.7 | 24.7 | 68.4 | 27.7 | 52.9 | 19.4 | 72.3 |
| HS03 | M | 81 | 36.3 | 41.5 | 22.2 | 63.7 | NA | NA | NA | NA |
| HS04 | M | 81 | 30.7 | 35.9 | 33.3 | 69.3 | 39.6 | 31.1 | 29.4 | 60.4 |
| HS05 | M | 91 | 30.1 | 35.8 | 34.0 | 69.9 | 42.5 | 50.7 | 6.8 | 57.5 |
| Mean | 33.1 | 37.0 | 29.9 | 66.9 | 34.4 | 46.4 | 19.2 | 65.6 | ||
| SD | 3.1 | 6.0 | 6.0 | 3.1 | 7.8 | 10.3 | 9.4 | 7.8 | ||
| PT01 | F | A | 18.3 | 48.2 | 33.5 | 81.7 | 29.1 | 41.7 | 29.1 | 70.9 |
| PT02 | F | A | 26.9 | 19.7 | 53.4 | 73.1 | NA | NA | NA | NA |
| PT03 | M | A | 20.8 | 29.8 | 49.4 | 79.2 | 35.4 | 51.4 | 13.2 | 64.6 |
| PT04 | F | A | 40.3 | 11.8 | 47.9 | 59.7 | 28.8 | 51.0 | 20.3 | 71.2 |
| PT05 | F | A | 29.8 | 38.2 | 32.0 | 70.2 | 36.6 | 42.7 | 20.7 | 63.4 |
| Mean | 27.2 | 29.5 | 43.2 | 72.8 | 32.5 | 46.7 | 20.8 | 67.5 | ||
| SD | 8.6 | 14.4 | 9.8 | 8.6 | 4.1 | 5.2 | 6.5 | 4.1 | ||
| p value | 0.194 | 0.316 | 0.032 * | 0.194 | 0.678 | 1.000 | 0.789 | 0.678 | ||
Publisher’s Note: MDPI stays neutral with regard to jurisdictional claims in published maps and institutional affiliations. |
© 2022 by the authors. Licensee MDPI, Basel, Switzerland. This article is an open access article distributed under the terms and conditions of the Creative Commons Attribution (CC BY) license (https://creativecommons.org/licenses/by/4.0/).
Share and Cite
de Diego, M.; Casado, A.; Gómez, M.; Ciurana, N.; Rodríguez, P.; Avià, Y.; Cuesta-Torralvo, E.; García, N.; San José, I.; Barbosa, M.; et al. Elbow Extensor Muscles in Humans and Chimpanzees: Adaptations to Different Uses of the Upper Extremity in Hominoid Primates. Animals 2022, 12, 2987. https://doi.org/10.3390/ani12212987
de Diego M, Casado A, Gómez M, Ciurana N, Rodríguez P, Avià Y, Cuesta-Torralvo E, García N, San José I, Barbosa M, et al. Elbow Extensor Muscles in Humans and Chimpanzees: Adaptations to Different Uses of the Upper Extremity in Hominoid Primates. Animals. 2022; 12(21):2987. https://doi.org/10.3390/ani12212987
Chicago/Turabian Stylede Diego, Marina, Aroa Casado, Mónica Gómez, Neus Ciurana, Patrícia Rodríguez, Yasmina Avià, Elisabeth Cuesta-Torralvo, Natividad García, Isabel San José, Mercedes Barbosa, and et al. 2022. "Elbow Extensor Muscles in Humans and Chimpanzees: Adaptations to Different Uses of the Upper Extremity in Hominoid Primates" Animals 12, no. 21: 2987. https://doi.org/10.3390/ani12212987
APA Stylede Diego, M., Casado, A., Gómez, M., Ciurana, N., Rodríguez, P., Avià, Y., Cuesta-Torralvo, E., García, N., San José, I., Barbosa, M., de Paz, F., Pastor, J. F., & Potau, J. M. (2022). Elbow Extensor Muscles in Humans and Chimpanzees: Adaptations to Different Uses of the Upper Extremity in Hominoid Primates. Animals, 12(21), 2987. https://doi.org/10.3390/ani12212987

