A Data-Driven Simulation of the Trophallactic Network and Intranidal Food Flow Dissemination in Ants
Abstract
Simple Summary
Abstract
1. Introduction
2. Materials and Methods
Model Description
3. Summary of the Behavioural Experiments
4. Model Calibration and Comparison of the Model Output with the Experimental Results
5. Statistical and Social Network Analysis
6. Results
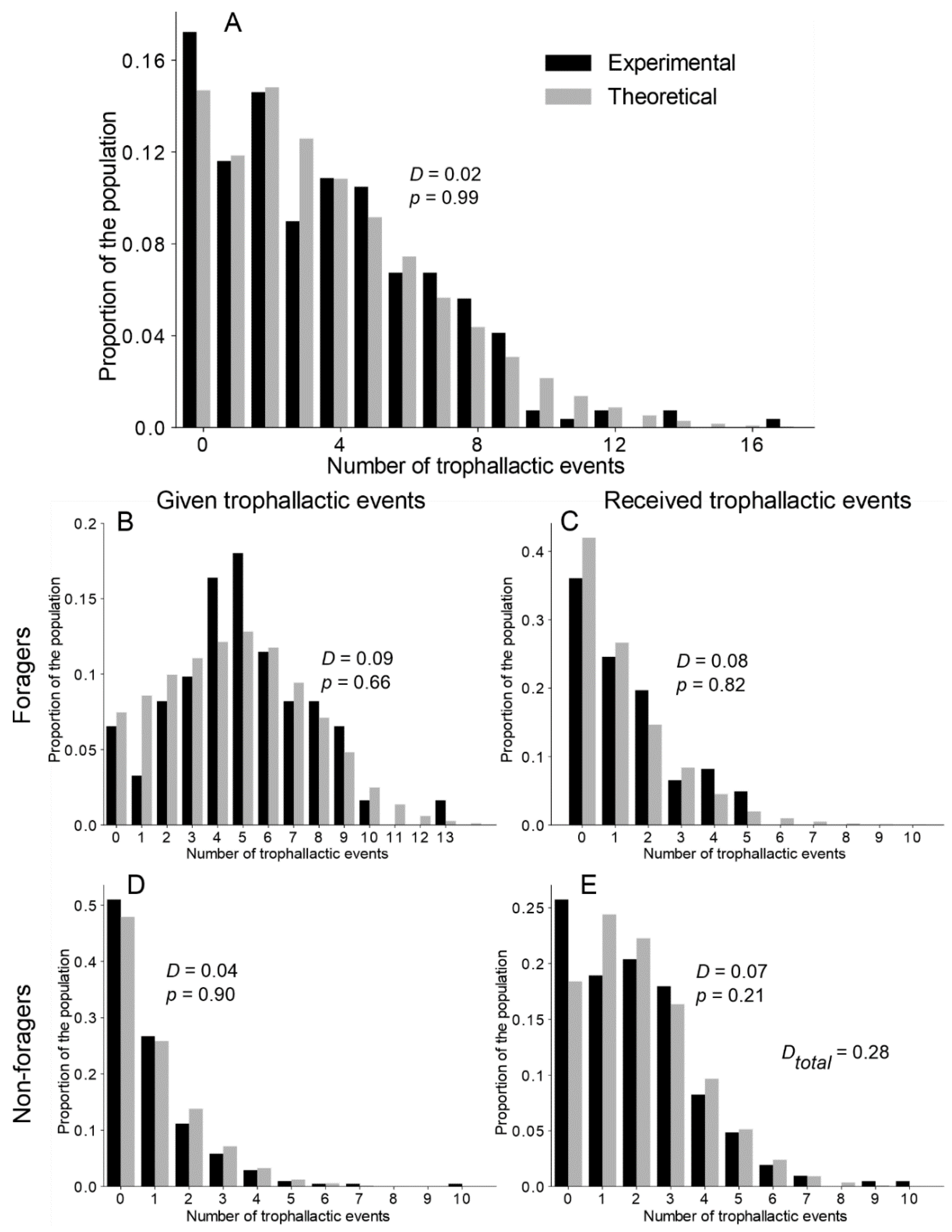
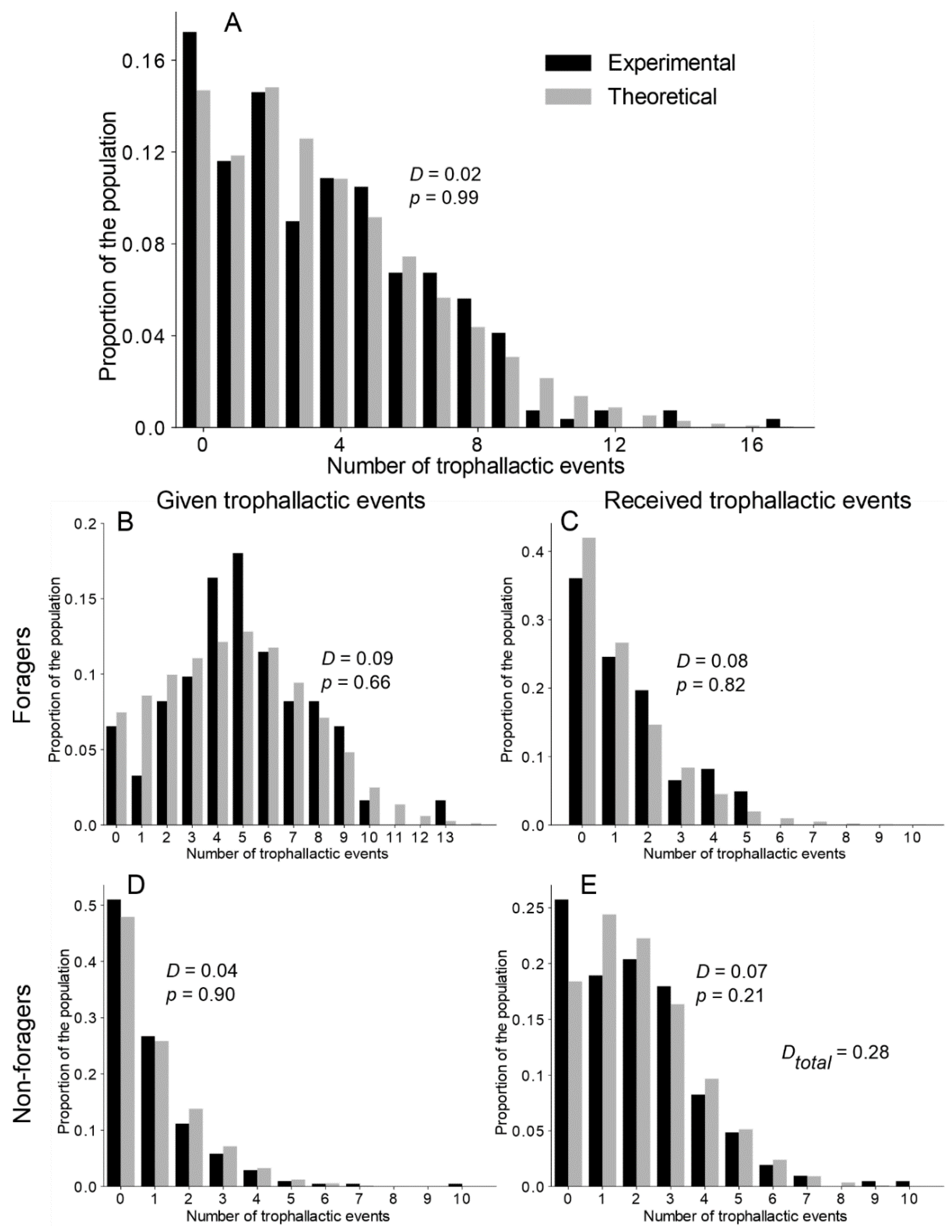
6.1. Evaluation of the Quality of the Calibration of the Models
6.2. Individual Contributions to Food Dispersion/Accumulation
6.3. Food Spreading, Heterogeneity and Social Network Analysis
7. Discussion
Supplementary Materials
Author Contributions
Funding
Institutional Review Board Statement
Informed Consent Statement
Data Availability Statement
Conflicts of Interest
References
- Isaac, G. The Food-Sharing Behavior of Protohuman Hominids. Sci. Am. 1978, 238, 90–109. [Google Scholar] [CrossRef] [PubMed]
- Kaplan, H.; Hill, K.; Cadeliña, R.V.; Hayden, B.; Hyndman, D.C.; Preston, R.J.; Smith, E.A.; Stuart, D.E.; Yesner, D.R. Food Sharing among Ache Foragers: Tests of Explanatory Hypotheses [and Comments and Reply]. Curr. Anthropol. 1985, 26, 223–246. [Google Scholar] [CrossRef]
- Stevens, J.R.; Gilby, I.C. A Conceptual Framework for Nonkin Food Sharing: Timing and Currency of Benefits. Anim. Behav. 2004, 67, 603–614. [Google Scholar] [CrossRef]
- Trivers, R.L. The Evolution of Reciprocal Altruism. Q. Rev. Biol. 1971, 46, 35–57. [Google Scholar] [CrossRef]
- Noë, R.; Hammerstein, P. Biological Markets. Trends Ecol. Evol. 1995, 10, 336–339. [Google Scholar] [CrossRef]
- Traulsen, A.; Nowak, M.A. Evolution of Cooperation by Multilevel Selection. Proc. Natl. Acad. Sci. USA 2006, 103, 10952–10955. [Google Scholar] [CrossRef]
- Anderson, M. The Evolution of Eusociality. Annu. Rev. Ecol. Syst. 1984, 15, 165–189. [Google Scholar] [CrossRef]
- Jarvis, J.U.; O’Riain, M.J.; Bennett, N.C.; Sherman, P.W. Mammalian Eusociality: A Family Affair. Trends Ecol. Evol. 1994, 9, 47–51. [Google Scholar] [CrossRef]
- Nowak, M.A.; Tarnita, C.E.; Wilson, E.O. The Evolution of Eusociality. Nature 2010, 466, 1057. [Google Scholar] [CrossRef]
- Dornhaus, A.; Powell, S.; Bengston, S. Group Size and Its Effects on Collective Organization. Annu. Rev. Entomol. 2012, 57, 123–141. [Google Scholar] [CrossRef]
- Atton, N.; Galef, B.J.; Hoppitt, W.; Webster, M.M.; Laland, K.N. Familiarity Affects Social Network Structure and Discovery of Prey Patch Locations in Foraging Stickleback Shoals. Proc. R. Soc. B Boil. Sci. 2014, 281, 20140579. [Google Scholar] [CrossRef] [PubMed]
- Aplin, L.M.; Farine, D.R.; Mann, R.P. Sheldon Individual-Level Personality Influences Social Foraging and Collective Behaviour in Wild Birds. Proc. R. Soc. B Boil. Sci. 2014, 281, 20141016. [Google Scholar] [CrossRef] [PubMed]
- Hamede, R.K.; Bashford, J.; McCallum, H.; Jones, M. Contact Networks in a Wild Tasmanian Devil (Sarcophilus Harrisii) Population: Using Social Network Analysis to Reveal Seasonal Variability in Social Behaviour and Its Implications for Transmission of Devil Facial Tumour Disease. Ecol. Lett. 2009, 12, 1147–1157. [Google Scholar] [CrossRef] [PubMed]
- VanderWaal, K.L.; Atwill, E.R.; Isbell, L.A.; McCowan, B. Linking Social and Pathogen Transmission Networks Using Microbial Genetics in Giraffe (Giraffa Camelopardalis). J. Anim. Ecol. 2014, 83, 406–414. [Google Scholar] [CrossRef] [PubMed]
- Stroeymeyt, N.; Grasse, A.V.; Crespi, A.; Mersch, D.P.; Cremer, S.; Keller, L. Social Network Plasticity Decreases Disease Transmission in a Eusocial Insect. Science 2018, 362, 941–945. [Google Scholar] [CrossRef]
- Romano, V.; MacIntosh, A.J.J.; Sueur, C. Stemming the Flow: Information, Infection, and Social Evolution. Trends Ecol. Evol. 2020, 35, 849–853. [Google Scholar] [CrossRef]
- LeBoeuf, A.C. Trophallaxis. Curr. Biol. 2017, 27, R1299–R1300. [Google Scholar] [CrossRef]
- Howard, D.F.; Tschinkel, W.R. The Flow of Food in Colonies of the Fire Ant, Solenopsis Invicta: A Multifcatorial Study. Physiol. Entomol. 1981, 6, 297–306. [Google Scholar] [CrossRef]
- Pinter-Wollman, N.; Bala, A.; Merrell, A.; Queirolo, J.; Stumpe, M.C.; Holmes, S.; Gordon, D.M. Harvester Ants Use Interactions to Regulate Forager Activation and Availability. Anim. Behav. 2013, 86, 197–207. [Google Scholar] [CrossRef]
- Cassill, D.L.; Stuy, A.; Buck, R.G. Emergent Properties of Food Distribution Among Fire Ant Larvae. J. Theor. Biol. 1998, 195, 371–381. [Google Scholar] [CrossRef]
- Dussutour, A.; Simpson, S.J. Carbohydrate Regulation in Relation to Colony Growth in Ants. J. Exp. Biol. 2008, 211, 2224–2232. [Google Scholar] [CrossRef] [PubMed]
- Seeley, T.D. Social Foraging in Honey Bees: How Nectar Foragers Assess Their Colony’s Nutritional Status. Behav. Ecol. Sociobiol. 1989, 24, 181–199. [Google Scholar] [CrossRef]
- Adler, F.R.; Gordon, D.M. Information Collection and Spread by Networks of Patrolling Ants. Am. Soc. Nat. 1992, 140, 373–400. [Google Scholar] [CrossRef]
- Delgado, M.; Miranda, M.; Alvarez, S.J.; Gurarie, E.; Fagan, W.F.; Penteriani, V.; Virgilio, A.; Morales, J.M. The Importance of Individual Variation in the Dynamics of Animal Collective Movements. Philos. Trans. R. Soc. B Biol. Sci. 2018, 373, 20170008. [Google Scholar] [CrossRef] [PubMed]
- Spaethe, J.; Weidenmüller, A. Size Variation and Foraging Rate in Bumblebees (Bombus Terrestris). Insectes Sociaux 2002, 49, 142–146. [Google Scholar] [CrossRef]
- Campos, D.; Bartumeus, F.; Mendez, V.; Andrade, J.S.; Espadaler, X. Variability in Individual Activity Bursts Improves Ant Foraging Success. J. R. Soc. Interface 2016, 13, 20160856. [Google Scholar] [CrossRef]
- Pask, G.M.; Slone, J.D.; Millar, J.G.; Das, P.; Moreira, J.A.; Zhou, X.; Bello, J.; Berger, S.L.; Bonasio, R.; Desplan, C.; et al. Specialized Odorant Receptors in Social Insects That Detect Cuticular Hydrocarbon Cues and Candidate Pheromones. Nat. Commun. 2017, 8, 297. [Google Scholar] [CrossRef]
- Dornhaus, A. Specialization Does Not Predict Individual Efficiency in an Ant. PLoS Biol. 2008, 6, 2368–2375. [Google Scholar] [CrossRef]
- Beverly, B.D.; McLendon, H.; Nacu, S.; Holmes, S.; Gordon, D.M. How Site Fidelity Leads to Individual Differences in the Foraging Activity of Harvester Ants. Behav. Ecol. 2009, 20, 633–638. [Google Scholar] [CrossRef]
- Buffin, A.; Goldman, S.; Deneubourg, J.L. Collective Regulatory Stock Management and Spatiotemporal Dynamics of the Food Flow in Ants. FASEB J. 2012, 26, 2725–2733. [Google Scholar] [CrossRef]
- Buczkowski, G.; Bennett, G. The Influence of Forager Number and Colony Size on Food Distribution in the Odorous House Ant, Tapinoma Sessile. Insectes Sociaux 2009, 56, 185–192. [Google Scholar] [CrossRef]
- Gernat, T.; Rao, V.D.; Middendorf, M.; Dankowicz, H.; Goldenfeld, N.; Robinson, G.E.; Holme, P.; Naug, D.; Sokolowski, M.B. Automated Monitoring of Behavior Reveals Bursty Interaction Patterns and Rapid Spreading Dynamics in Honeybee Social Networks. Proc. Natl. Acad. Sci. USA 2017, 115, 1433–1438. [Google Scholar] [CrossRef] [PubMed]
- Richardson, T.O.; Kay, T.; Braunschweig, R.; Journeau, O.; Ruegg, M.; McGregor, S.; De Los Rios, P.; Keller, L. Ant Behavioral Maturation Is Mediated by a Stochastic Transition between Two Fundamental States. Curr. Biol. 2020, 30, 1090–1093. [Google Scholar] [CrossRef]
- Bonavita-cougourdan, A.; Gavioli, M. Les inversions du sens du flux alimentaire au cours d’un meme contact entre deux ouvrieres chez la fourmi camponotus vagus scop (hymenoptera, formicidae). Insectes Sociaux 1981, 28, 321–340. [Google Scholar] [CrossRef]
- Buffin, A.; Denis, D.; Van Simaeys, G.; Goldman, S.; Deneubourg, J.-L. Feeding and Stocking up: Radio-Labelled Food Reveals Exchange Patterns in Ants. PLoS ONE 2009, 4, e5919. [Google Scholar] [CrossRef] [PubMed]
- Gregson, A.M.; Hart, A.G.; Holcombe, M.; Ratnieks, F.L.W. Partial Nectar Loads as a Cause of Multiple Nectar Transfer in the Honey Bee (Apis Mellifera): A Simulation Model. J. Theor. Biol. 2003, 222, 1–8. [Google Scholar] [CrossRef]
- Greenwald, E.E.; Baltiansky, L.; Feinerman, O. Individual Crop Loads Provide Local Control for Collective Food Intake in Ant Colonies. eLife 2018, 7, e31730. [Google Scholar] [CrossRef]
- Amé, J.-M.; Halloy, J.; Rivault, C.; Detrain, C.; Deneubourg, J.L. Collegial Decision Making Based on Social Amplification Leads to Optimal Group Formation. Proc. Natl. Acad. Sci. USA 2006, 103, 5835–5840. [Google Scholar] [CrossRef]
- Sueur, C.; Deneubourg, J.-L. Self-Organization in Primates: Understanding the Rules Underlying Collective Movements. Int. J. Primatol. 2011, 32, 1413–1432. [Google Scholar] [CrossRef]
- Greenwald, E.; Segre, E.; Feinerman, O. Ant Trophallactic Networks: Simultaneous Measurement of Interaction Patterns and Food Dissemination. Sci. Rep. 2015, 5, 12496. [Google Scholar] [CrossRef][Green Version]
- Mailleux, A.-C.; Deneubourg, J.-L.; Detrain, C. How Do Ants Assess Food Volume? Anim. Behav. 2000, 59, 1061–1069. [Google Scholar] [CrossRef] [PubMed]
- Quque, M.; Benhaim-Delarbre, M.; Deneubourg, J.-L.; Sueur, C.; Criscuolo, F.; Bertile, F. Division of Labour in the Black Garden Ant (Lasius Niger) Leads to Three Distinct Proteomes. J. Insect Physiol. 2019, 117, 103907. [Google Scholar] [CrossRef] [PubMed]
- Altmann, J. Observational Study of Behavior: Sampling Methods. Behaviour 1974, 49, 227–266. [Google Scholar] [CrossRef] [PubMed]
- Cassill, D.; Tschinkel, W.R. Regulation of Diet in the Fire Ant, Solenopsis Invicta. J. Insect Behav. 1999, 12, 307–328. [Google Scholar] [CrossRef]
- Planckaert, J.; Nicolis, S.C.; Deneubourg, J.-L.; Sueur, C.; Bles, O. A Spatiotemporal Analysis of the Food Dissemination Process and the Trophallactic Network in the Ant Lasius Niger. Sci. Rep. 2019, 9, 15620. [Google Scholar] [CrossRef]
- Mailleux, A.-C.; Detrain, C.; Deneubourg, J.-L. Starvation Drives a Threshold Triggering Communication. J. Exp. Biol. 2006, 209, 4224–4229. [Google Scholar] [CrossRef][Green Version]
- Wey, T.; Blumstein, D.T.; Shen, W.; Jordán, F. Social Network Analysis of Animal Behaviour: A Promising Tool for the Study of Sociality. Anim. Behav. 2008, 75, 333–344. [Google Scholar] [CrossRef]
- Mailleux, A.-C.; Buffin, A.; Detrain, C.; Deneubourg, J.-L. Recruiter or Recruit: Who Boosts the Recruitment in Starved Nests in Mass Foraging Ants? Anim. Behav. 2010, 79, 31–35. [Google Scholar] [CrossRef]
- Tenczar, P.; Lutz, C.C.; Rao, V.D.; Goldenfeld, N.; Robinson, G.E. Automated Monitoring Reveals Extreme Interindividual Variation and Plasticity in Honeybee Foraging Activity Levels. Anim. Behav. 2014, 95, 41–48. [Google Scholar] [CrossRef]
- Sosa, S.; Sueur, C.; Puga-Gonzalez, I. Network Measures in Animal Social Network Analysis: Their Strengths, Limits, Interpretations and Uses. Methods Ecol. Evol. 2021, 12, 10–21. [Google Scholar] [CrossRef]
- Dell, A.I.; Bender, J.A.; Branson, K.; Couzin, I.D.; de Polavieja, G.G.; Noldus, L.P.; Pérez-Escudero, A.; Perona, P.; Straw, A.D.; Wikelski, M.; et al. Automated Image-Based Tracking and Its Application in Ecology. Trends Ecol. Evol. 2014, 29, 417–428. [Google Scholar] [CrossRef]
- Saramäki, J.; Kivelä, M.; Onnela, J.P.; Kaski, K.; Kertész, J. Generalizations of the Clustering Coefficient to Weighted Complex Networks. Phys. Rev. E 2007, 75, 2–5. [Google Scholar] [CrossRef] [PubMed]
- Latora, V.; Marchiori, M. Efficient Behavior of Small-World Networks. Phys. Rev. Lett. 2001, 87, 198701. [Google Scholar] [CrossRef]
- Buhl, J.; Gautrais, J.; Solé, R.V.; Kuntz, P.; Valverde, S.; Deneubourg, J.-L.; Theraulaz, G. Efficiency and Robustness in Ant Networks of Galleries. Eur. Phys. J. B 2004, 129, 123–129. [Google Scholar] [CrossRef]
- Sendova-Franks, A.B.; Hayward, R.K.; Wulf, B.; Klimek, T.; James, R.; Planqué, R.; Britton, N.F.; Franks, N.R. Emergency Networking: Famine Relief in Ant Colonies. Anim. Behav. 2010, 79, 473–485. [Google Scholar] [CrossRef]
- Crall, J.D.; Gravish, N.; Mountcastle, A.M.; Kocher, S.D.; Oppenheimer, R.L.; Pierce, N.E.; Combes, S.A. Spatial Fidelity of Workers Predicts Collective Response to Disturbance in a Social Insect. Nat. Commun. 2018, 9, 1201. [Google Scholar] [CrossRef]
- Albert, R.; Barabasi, A.-L. Statistical Mechanics of Complex Networks. Rev. Mod. Phys. 2002, 74, 47–97. [Google Scholar] [CrossRef]
- Barabasi, A.-L. Linked: The New Science of Networks; Perseus Books Group: Cambridge, MA, USA, 2002. [Google Scholar]
- Grüter, C.; Schürch, R.; Farina, W.M. Task-Partitioning in Insect Societies: Non-Random Direct Material Transfers Affect Both Colony Efficiency and Information Flow. J. Theor. Biol. 2013, 327, 23–33. [Google Scholar] [CrossRef]
- Goyret, J.; Farina, W.M. Non-Random Nectar Unloading Interactions between Foragers and Their Receivers in the Honeybee Hive. Naturwissenschaften 2005, 92, 440–443. [Google Scholar] [CrossRef]
- Dussutour, A.; Simpson, S.J. Communal Nutrition in Ants. Curr. Biol. 2009, 19, 740–744. [Google Scholar] [CrossRef] [PubMed]
- Nicolis, S.C.; Detrain, C.; Demolin, D.; Deneubourg, J.L. Optimality of Collective Choices: A Stochastic Approach. Bull. Math. Biol. 2003, 65, 795–808. [Google Scholar] [CrossRef]
- Hölldobler, B.; Wilson, E.O. The Ants, 1st ed.; Belknap Press: Cambridge, MA, USA, 1990. [Google Scholar]
- Oster, G.F.; Wilson, E.O. Caste and Ecology in the Social Insects; Princeton University Press: Princeton, NJ, USA, 1978; Volume 12, pp. 1–352. [Google Scholar]
- Modlmeier, A.P.; Liebmann, J.E.; Foitzik, S. Diverse Societies Are More Productive: A Lesson from Ants. Proc. R. Soc. B Biol. Sci. 2012, 279, 2142–2150. [Google Scholar] [CrossRef] [PubMed]
- Heyman, Y.; Hefetz, A.; Shental, N.; Feinerman, O. Ants Regulate Colony Spatial Organization Using Multiple Chemical Road Signs. Nat. Commun. 2016, 8, 15414. [Google Scholar] [CrossRef] [PubMed]
- Pinter-Wollman, N.; Wollman, R.; Guetz, A.; Holmes, S.; Gordon, D.M. The Effect of Individual Variation on the Structure and Function of Interaction Networks in Harvester Ants. J. R. Soc. Interface 2011, 8, 1562–1573. [Google Scholar] [CrossRef]
- Mersch, D.P.; Crespi, A.; Keller, L. Tracking Individuals Shows Spatial Fidelity Is a Key Regulator of Ant Social Organization. Science 2013, 340, 1090–1093. [Google Scholar] [CrossRef] [PubMed]
- Gräwer, J.; Ronellenfitsch, H.; Mazza, M.G.; Katifori, E. Trophallaxis-Inspired Model for Distributed Transport between Randomly Interacting Agents. Phys. Rev. E 2017, 96, 022111. [Google Scholar] [CrossRef]
- Pamminger, T.; Foitzik, S.; Kaufmann, K.C.; Schützler, N.; Menzel, F. Worker Personality and Its Association with Spatially Structured Division of Labor. PLoS ONE 2014, 9, e79616. [Google Scholar] [CrossRef]
- Tofts, C. Algorithms for Task Allocation in Ants. (A Study of Temporal Polyethism: Theory). Bull. Math. Biol. 1993, 55, 891–918. [Google Scholar] [CrossRef]
- Cassill, D. Rules of Supply and Demand Regulate Recruitment to Food in an Ant Society. Behav. Ecol. Sociobiol. 2003, 54, 441–450. [Google Scholar] [CrossRef]
- Smith, C.R.; Toth, A.L.; Suarez, A.V.; Robinson, G.E. Genetic and Genomic Analyses of the Division of Labour in Insect Societies. Nat. Rev. Genet. 2008, 9, 735–748. [Google Scholar] [CrossRef]
- Robinson, E.J.H.; Richardson, T.O.; Sendova-Franks, A.B.; Feinerman, O.; Franks, N.R. Radio Tagging Reveals the Roles of Corpulence, Experience and Social Information in Ant Decision Making. Behav. Ecol. Sociobiol. 2008, 63, 627–636. [Google Scholar] [CrossRef]
- Middleton, E.J.; Latty, T. Resilience in Social Insect Infrastructure Systems. J. R. Soc. Interface 2016, 13, 20151022. [Google Scholar] [CrossRef] [PubMed]
- Hill, R.A.; Bentley, R.A.; Dunbar, R.I. Network Scaling Reveals Consistent Fractal Pattern in Hierarchical Mammalian Societies. Biol. Lett. 2008, 4, 748–751. [Google Scholar] [CrossRef]
- Naug, D. Structure of the Social Network and Its Influence on Transmission Dynamics in a Honeybee Colony. Behav. Ecol. Sociobiol. 2008, 62, 1719–1725. [Google Scholar] [CrossRef]
- Wild, B.; Dormagen, D.M.; Zachariae, A.; Smith, M.L.; Traynor, K.S.; Brockmann, D.; Couzin, I.D.; Landgraf, T. Social Networks Predict the Life and Death of Honey Bees. Nat. Commun. 2021, 12, 1110. [Google Scholar] [CrossRef] [PubMed]
- Ravasz, E.; Somera, A.L.; Mongru, D.A.; Oltvai, Z.N.; Barabási, A.-L. Hierarchical Organization of Modularity in Metabolic Networks. Science 2002, 297, 1551–1555. [Google Scholar] [CrossRef]
- Chatterjee, N.; Sinha, S. Understanding the Mind of a Worm: Hierarchical Network Structure Underlying Nervous System Function in C. Elegans. Prog. Brain Res. 2007, 168, 145–153. [Google Scholar]
- Clune, J.; Mouret, J.-B.; Lipson, H. The Evolutionary Origins of Modularity. Proc. R. Soc. B Biol. Sci. 2013, 280, 20122863. [Google Scholar] [CrossRef]
- Quque, M.; Bles, O.; Bénard, A.; Héraud, A.; Meunier, B.; Criscuolo, F.; Deneubourg, J.-L.; Sueur, C. Hierarchical Networks of Food Exchange in the Black Garden Ant Lasius Niger. Insect Sci. 2021, 28, 825–838. [Google Scholar] [CrossRef]
- Linksvayer, T.A.; Fewell, J.H.; Gadau, J.; Laubichler, M.D. Developmental Evolution in Social Insects: Regulatory Networks from Genes to Societies. J. Exp. Zool. Part B Mol. Dev. Evol. 2012, 318, 159–169. [Google Scholar] [CrossRef]
- Sueur, C.; King, A.J.; Pelé, M.; Petit, O. Fast and Accurate Decisions as a Result of Scale-Free Network Properties in Two Primate Species. In Proceedings of the European Conference on Complex Systems, Brussels, Belgium, 3–7 September 2012. [Google Scholar]
- Fontanari, J.F.; Rodrigues, F.A. Influence of Network Topology on Cooperative Problem-Solving Systems. Theory Biosci. 2016, 135, 101–110. [Google Scholar] [CrossRef] [PubMed]
- Sueur, C.; Romano, V.; Sosa, S.; Puga-Gonzalez, I. Mechanisms of Network Evolution: A Focus on Socioecological Factors, Intermediary Mechanisms, and Selection Pressures. Primates 2019, 60, 167–181. [Google Scholar] [CrossRef] [PubMed]





| Parameters | One Caste (OC) | Two Emergent Castes (TEC) | |||||
|---|---|---|---|---|---|---|---|
| Equal | Uniform | Exp. | Equal | Uniform | Exp. | ||
| θF | 1/11 | 1/10 | 1/6 | 1/10 | 1/11 | 1/9 | |
| θW | 1/33 | 1/32 | 1/23 | ||||
| ϒF | 1/60 | 1/50 | 1/56 | 1/11 | 1/9 | 1/9 | |
| ϒW | 1/38 | 1/28 | 1/27 | ||||
| Results | Experiments (mean ± s.d) | ||||||
| Number of trophallactic events | 99.0 ± 17.4 | 100.1 | 98.7 | 100.5 | 101.0 | 99.5 | 98.7 |
| Number of foragers | 12.2 ± 1.9 | 12.2 | 12.6 | 12.2 | 12.3 | 12.4 | 12.5 |
Publisher’s Note: MDPI stays neutral with regard to jurisdictional claims in published maps and institutional affiliations. |
© 2022 by the authors. Licensee MDPI, Basel, Switzerland. This article is an open access article distributed under the terms and conditions of the Creative Commons Attribution (CC BY) license (https://creativecommons.org/licenses/by/4.0/).
Share and Cite
Bles, O.; Deneubourg, J.-L.; Sueur, C.; Nicolis, S.C. A Data-Driven Simulation of the Trophallactic Network and Intranidal Food Flow Dissemination in Ants. Animals 2022, 12, 2963. https://doi.org/10.3390/ani12212963
Bles O, Deneubourg J-L, Sueur C, Nicolis SC. A Data-Driven Simulation of the Trophallactic Network and Intranidal Food Flow Dissemination in Ants. Animals. 2022; 12(21):2963. https://doi.org/10.3390/ani12212963
Chicago/Turabian StyleBles, Olivier, Jean-Louis Deneubourg, Cédric Sueur, and Stamatios C. Nicolis. 2022. "A Data-Driven Simulation of the Trophallactic Network and Intranidal Food Flow Dissemination in Ants" Animals 12, no. 21: 2963. https://doi.org/10.3390/ani12212963
APA StyleBles, O., Deneubourg, J.-L., Sueur, C., & Nicolis, S. C. (2022). A Data-Driven Simulation of the Trophallactic Network and Intranidal Food Flow Dissemination in Ants. Animals, 12(21), 2963. https://doi.org/10.3390/ani12212963

