Sign in to use this feature.

Years

Between: -

Subjects

remove_circle_outline
remove_circle_outline
remove_circle_outline
remove_circle_outline
remove_circle_outline
remove_circle_outline
remove_circle_outline
remove_circle_outline
remove_circle_outline

Journals

remove_circle_outline
remove_circle_outline
remove_circle_outline
remove_circle_outline
remove_circle_outline
remove_circle_outline
remove_circle_outline
remove_circle_outline
remove_circle_outline
remove_circle_outline
remove_circle_outline
remove_circle_outline
remove_circle_outline

Article Types

Countries / Regions

remove_circle_outline
remove_circle_outline
remove_circle_outline
remove_circle_outline
remove_circle_outline
remove_circle_outline

Search Results (1,395)

Search Parameters:
Keywords = starvation

Order results
Result details
Results per page
Select all
Export citation of selected articles as:
25 pages, 3540 KB  
Article
Nutrient Deprivation in Artemia franciscana: Developmental Stage, Nutritional History, and Phenotypes Linked to Conserved Pathways
by Nikola Mitovic, Milena Maya Stamatoski, Dragan Ilic, Dalia Yassin Makki, Hala Alsaadi, Darko Puflovic, Milica Milosevic, Mirjana Jovanovic, Maja Milosevic Nale and Draško Gostiljac
Int. J. Mol. Sci. 2026, 27(8), 3621; https://doi.org/10.3390/ijms27083621 (registering DOI) - 18 Apr 2026
Abstract
Starvation is a fundamental physiological stressor that triggers conserved adaptive responses across species, however, its effects are shaped by both developmental stage and prior nutritional history. This study aimed to investigate the effects of acute nutrient deprivation in Artemia franciscana, comparing newly [...] Read more.
Starvation is a fundamental physiological stressor that triggers conserved adaptive responses across species, however, its effects are shaped by both developmental stage and prior nutritional history. This study aimed to investigate the effects of acute nutrient deprivation in Artemia franciscana, comparing newly hatched nauplii and adult individuals previously exposed to reduced caloric intake during development. Organisms were subjected to starvation for 24, 48, and 72 h, and mortality, morphometric parameters, and locomotor activity were assessed, complemented by in silico analysis of starvation-related pathways. Starvation induced distinct responses between groups, with markedly higher mortality in adults compared to nauplii. While these differences reflect developmental stage-associated responses, they are also influenced by prior nutritional history. Body length was significantly reduced under starvation in both developmental stages, while antennal length remained largely unchanged. Locomotor activity, including distance travelled and swimming velocity, was consistently decreased, indicating energy-conserving behavioral adaptation. Partial recovery of locomotor performance and antennal length was observed following restoration of feeding. Bioinformatic analysis suggested the presence of conserved autophagy-related genes and enrichment of pathways associated with autophagy and TOR signaling. However, these findings should be interpreted as hypothesis-generating, given the reliance on a proxy species for pathway inference. These findings indicate that starvation responses in A. franciscana are shaped by an interaction between developmental stage and prior nutritional history, supported by conserved stress–response pathways, highlighting the potential of this model for studying metabolic stress responses. Full article
(This article belongs to the Special Issue Aquatic Organisms Models Dedicated to Disease)
19 pages, 1089 KB  
Article
Functional Characterization of the VvPHT1 Gene and Its Promoter in Vicia villosa
by Shuqin Tang, Linlin Mao, Ruili Zhu, Moli Zheng, Shaojun Qiu, Dali Song and Jingwen Sun
Agronomy 2026, 16(8), 824; https://doi.org/10.3390/agronomy16080824 - 17 Apr 2026
Abstract
Phosphorus deficiency in the environment induces phosphate (Pi) starvation responses of plants, in which the phosphate transporter is one of the most critical functional genes in this response mechanism. As a prevalent green manure crop in China, Vicia villosa plays a critical role [...] Read more.
Phosphorus deficiency in the environment induces phosphate (Pi) starvation responses of plants, in which the phosphate transporter is one of the most critical functional genes in this response mechanism. As a prevalent green manure crop in China, Vicia villosa plays a critical role in sustainable agricultural systems, and the expression of its phosphate transporter gene (VvPHT1) is modulated by soil phosphorus availability, highlighting its key adaptive function in nutrient acquisition and utilization under low-Pi conditions. Functional studies of this gene and its promoter contribute to exploring the molecular mechanisms of the tolerance of green manure crops to low phosphorus stress and to improving phosphorus-efficient V. villosa varieties. In this study, analysis of the VvPHT1 promoter sequence revealed a 1524 bp region containing multiple root-specific cis-regulatory elements, including five NODCON2GM, one NODCON1GM, six OSE2ROOTNODULE, one OSE1ROOTNODULE, and fifteen ROOTMOTIFTAPOX1 motifs. Histochemical GUS staining of transgenic Arabidopsis (Arabidopsis thaliana (L.) Heynh.) showed that the VvPHT1 promoter directed root-specific expression of the GUS reporter gene. A fusion expression vector pCAMBIA1300-VvPHT1--GFP was constructed and transformed into tobacco (Nicotiana tabacum L.) cells for subcellular localization analysis, indicating that the protein encoded by VvPHT1 was localized to the plasma membrane. To quantify its expression, VvPHT1 transcript levels in VvPHT1-overexpressing Arabidopsis (OEPHT1) lines were analyzed by quantitative real-time PCR (qRT-PCR) under different phosphorus supply conditions. The results demonstrated that under low-Pi conditions, the expression of VvPHT1 was significantly upregulated in the OEPHT1 lines compared to those of normal-Pi conditions. Furthermore, under low-Pi treatment, the OEPHT1 lines showed significantly increased fresh weight, primary root length, phosphorus content, and chlorophyll content compared to the wild-type Arabidopsis (WT), while no such differences were observed under normal-Pi conditions. In conclusion, the VvPHT1 promoter exhibits root-specific activity, and the VvPHT1 gene encodes a plasma-membrane-localized phosphate transporter that is strongly induced by phosphorus deficiency. Its overexpression enhances phosphorus uptake and plant growth under low-Pi conditions, suggesting that VvPHT1 likely functions as a high-affinity phosphate transporter involved in the adaptation to phosphorus starvation. Full article
(This article belongs to the Section Crop Breeding and Genetics)
12 pages, 1601 KB  
Communication
Death Cause of Eastern Red-Rumped Swallows (Cecropis daurica) in a Mass-Mortality Event in Autumn Migration from Southern China
by Xuemeng Zhou, Fang Fang, Junxiang Huang, Ruiling Liu and Aiwu Jiang
Birds 2026, 7(2), 25; https://doi.org/10.3390/birds7020025 - 17 Apr 2026
Viewed by 47
Abstract
Bird migration is an awe-inspiring phenomenon that causes massive global shifts in bird distributions twice a year. To understand the evolution of this phenomenon, it is crucial to know the mortality costs of these journeys. Extreme weather-related events can lead to abnormally high [...] Read more.
Bird migration is an awe-inspiring phenomenon that causes massive global shifts in bird distributions twice a year. To understand the evolution of this phenomenon, it is crucial to know the mortality costs of these journeys. Extreme weather-related events can lead to abnormally high mortality rates among migratory birds, while high mercury concentration may reduce the survival of songbirds in the field, especially for the long-distance migrant insectivores. Yet the specific vulnerability factors remain largely unknown. We collected the opportunistic dead Eastern Red-rumped Swallows (Cecropis daurica) in a mass-mortality event caused by a cold wave in autumn migration in Southern China. Mercury concentration in their tail feathers is 0.57 ± 0.37 µg g−1, lower than the established toxicity threshold for birds. The claws’ hydrogen stable isotopic (δD) values ranged from −116 to −78 ‰, with a mean of (−88.00 ± 8.22) ‰. Stable hydrogen isotopes indicated broad origins for the Eastern Red-rumped Swallows, ranging from ~30° N to ~62° N and ~10° E to ~150° E. Considering subspecies ranges, most of the dead swallows likely came from their almost furthest breeding sites. Our results indicated the primary cause of the mass-mortality event was likely fatigue or starvation resulting from long-distance flight during an extreme cold wave. Mercury exposure may not be the main direct cause of death. Full article
Show Figures

Figure 1

19 pages, 3837 KB  
Article
TRIM24 Regulates Adaptation to Glucose Deprivation in Association with Aspartate Accumulation and Impaired AMPK Signaling
by Xiaochen Yu, Duopeng An, Dadui Ren, Peng He, Yunkai Yang, Nanye Chen, Rui Wang, Shan Wu, Jun Feng and Meiqing Feng
Curr. Issues Mol. Biol. 2026, 48(4), 403; https://doi.org/10.3390/cimb48040403 - 14 Apr 2026
Viewed by 132
Abstract
Glucose deprivation is a major metabolic stress that requires coordinated adaptive responses to maintain cellular homeostasis and survival, yet the role of tripartite motif-containing 24 (TRIM24) in this process remains unclear. To address this question, we generated CRISPR-Cas9-mediated TRIM24-knockout MCF-7 and HEK293 cell [...] Read more.
Glucose deprivation is a major metabolic stress that requires coordinated adaptive responses to maintain cellular homeostasis and survival, yet the role of tripartite motif-containing 24 (TRIM24) in this process remains unclear. To address this question, we generated CRISPR-Cas9-mediated TRIM24-knockout MCF-7 and HEK293 cell lines, performed targeted metabolomic profiling and aspartate assays, used 5-aminoimidazole-4-carboxamide-1-β-D-ribofuranoside (AICAR), aminooxyacetic acid (AOA), aspartate supplementation, and glutamic-oxaloacetic transaminase 2 (GOT2) knockdown to probe AMPK signaling and aspartate metabolism, and examined starvation responses in constitutive Trim24 knockout mice on a C57BL/6 background. Loss of TRIM24 sensitized cells to glucose deprivation. Re-expression of TRIM24 partially restored cell viability under glucose deprivation in both MCF-7 and HEK293 cells. Under glucose-free conditions, TRIM24 deficiency was associated with impaired AMP-activated protein kinase (AMPK) pathway activation, increased intracellular aspartate accumulation, and altered ATP/AMP levels. Pharmacological reactivation of AMPK by AICAR improved the survival of TRIM24-deficient cells under glucose deprivation. Reducing intracellular aspartate by AOA treatment or GOT2 knockdown restored AMPK pathway activation and improved adaptation to glucose deprivation, whereas exogenous aspartate suppressed AMPK signaling and increased ATP/AMP levels. In vivo, starvation of Trim24-deficient mice was associated with reduced AMPK pathway activation and increased aspartate levels. Together, these findings support a model in which TRIM24 contributes to adaptation to glucose deprivation and in which abnormal aspartate accumulation contributes to impaired AMPK pathway activation in TRIM24-deficient cells. Full article
(This article belongs to the Collection Advancements in Molecular Biology and Pharmaceutical Science)
Show Figures

Figure 1

27 pages, 4349 KB  
Article
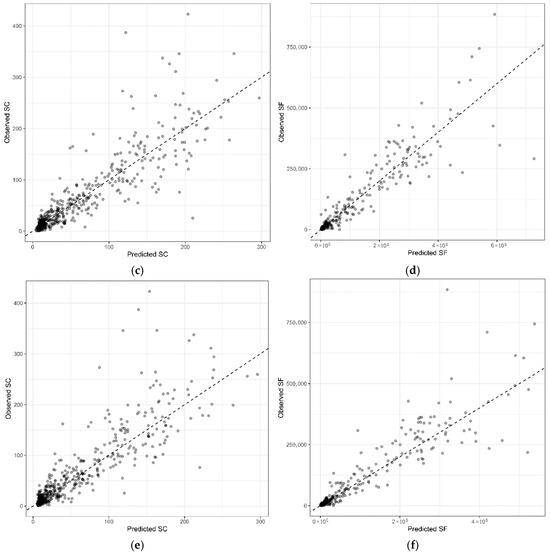
Forecasting Suspended Sediment Concentration and Sediment Flux in the Lower Mekong Delta Using Machine Learning
by Nguyen Phuoc Cong, Tran Van Hung, Phan Chi Nguyen, Nigel K. Downes, Huynh Vuong Thu Minh and Pankaj Kumar
Water 2026, 18(8), 923; https://doi.org/10.3390/w18080923 - 13 Apr 2026
Viewed by 204
Abstract
Suspended sediment concentration (SSC) and sediment flux (SF) are critical indicators of sediment delivery in the Lower Mekong and underpin deltaic geomorphic stability and ecosystem services. With recent evidence of declining sediment supply caused by upstream regulation and intensive in-channel extraction, there is [...] Read more.
Suspended sediment concentration (SSC) and sediment flux (SF) are critical indicators of sediment delivery in the Lower Mekong and underpin deltaic geomorphic stability and ecosystem services. With recent evidence of declining sediment supply caused by upstream regulation and intensive in-channel extraction, there is a pressing need for data-efficient tools to reproduce non-linear sediment dynamics and assist management in the Vietnamese Mekong Delta (VMD). This study evaluates three machine-learning algorithms—Random Forest (RF), Support Vector Machine (SVM), and Extreme Gradient Boosting (XGBoost)—for data-driven prediction of SSC (2009–2023) and SF (2009–2021) at Tan Chau (Viet Nam). The predictive models were developed using daily discharge inputs from Kratie (Cambodia) and local hydrological data, including water levels and discharge, from the Tan Chau station. Across the held-out testing dataset, all models captured substantial variability in both targets, with consistently higher performance for SF than for SSC. RF achieved the highest skill (SSC: R2 = 0.783; SF: R2 = 0.867), followed by XGBoost and then SVM. Variable-importance analysis indicates that upstream discharge at Kratie is the most influential predictor for both SSC and SF, consistent with basin-scale hydrological forcing governing downstream sediment transport capacity. The observed record at Tan Chau further suggests an attenuation of wet-season SSC peaks during 2018–2022 relative to earlier years, signalling potential sediment-starvation dynamics that warrant continued monitoring. Overall, the results demonstrate the utility of ML-based sediment prediction models as a complement to conventional monitoring and as an evidence base to inform sediment-aware river–delta management and risk mitigation in the Lower Mekong. Full article
(This article belongs to the Special Issue Soil Erosion and Sedimentation by Water)
Show Figures

Figure 1

23 pages, 4041 KB  
Article
Detection of Phosphorus Deficiency Using Hyperspectral Imaging for Early Characterization of Asymptomatic Growth and Photosynthetic Symptoms in Maize
by Sutee Kiddee, Chalongrat Daengngam, Surachet Wongarrayapanich, Jing Yi Lau, Acga Cheng and Lompong Klinnawee
Agronomy 2026, 16(8), 772; https://doi.org/10.3390/agronomy16080772 - 8 Apr 2026
Viewed by 1279
Abstract
Phosphorus (P) deficiency severely limits maize growth and yield, yet early detection remains challenging, as visible symptoms appear only after prolonged starvation. This study evaluated the capability of hyperspectral imaging (HSI) combined with machine learning to detect P deficiency in maize seedlings at [...] Read more.
Phosphorus (P) deficiency severely limits maize growth and yield, yet early detection remains challenging, as visible symptoms appear only after prolonged starvation. This study evaluated the capability of hyperspectral imaging (HSI) combined with machine learning to detect P deficiency in maize seedlings at both symptomatic and pre-symptomatic stages. Two greenhouse experiments were conducted: a long-term pot system under high and low P conditions and a short-term hydroponic experiment with three P concentrations of 500, 100, and 0 μmol/L phosphate (Pi). After long-term P deficiency, significant reductions in shoot biomass and Pi content were observed, while root biomass increased and nutrient profiles were altered. Hyperspectral signatures revealed distinct wavelength-specific differences across visible, red-edge, and near-infrared (NIR) regions, with P-deficient leaves showing lower reflectance in green and NIR regions but higher reflectance in the red band. A multilayer perceptron machine learning model achieved 99.65% accuracy in discriminating between P treatments. In the short-term experiment, P deficiency significantly reduced tissue Pi content within one week without affecting pigment composition or photosynthetic parameters. Despite the absence of visible symptoms, hyperspectral measurements detected subtle spectral changes, particularly in older leaves, enabling classification accuracies of 80.71–84.56% in the first week and 85.88–90.98% in the second week of P treatment. Conventional vegetation indices showed weak correlations with Pi content and failed to detect early P deficiency. These findings demonstrate that HSI combined with machine learning can effectively detect P deficiency before visible symptoms emerge, offering a non-destructive, rapid diagnostic tool for precision nutrient management in maize production systems. Full article
(This article belongs to the Special Issue Nutrient Enrichment and Crop Quality in Sustainable Agriculture)
Show Figures

Figure 1

22 pages, 1697 KB  
Review
From Gut to Green: Cross-Kingdom Adaptation of Human Pathogens in Plant Hosts
by Jamial Hashin Himel, Y. S. Sumaiya, Mrinmoy Kundu, Mahabuba Mostafa and Md. Motaher Hossain
Stresses 2026, 6(2), 18; https://doi.org/10.3390/stresses6020018 - 5 Apr 2026
Viewed by 405
Abstract
Cross-kingdom pathogenesis—human and animal pathogens colonizing and persisting in plants—is transforming our understanding of microbial ecology, food safety, and public health. This review translates incoming research that demonstrates plants as more than mute carriers to dynamic ecological interfaces where human and zoonotic pathogens, [...] Read more.
Cross-kingdom pathogenesis—human and animal pathogens colonizing and persisting in plants—is transforming our understanding of microbial ecology, food safety, and public health. This review translates incoming research that demonstrates plants as more than mute carriers to dynamic ecological interfaces where human and zoonotic pathogens, such as Salmonella enterica, Escherichia coli O157:H7, and Listeria monocytogenes, will adhere, internalize, and, in some cases, potentially evade host defenses. Such pathogens exploit evolutionarily conserved molecular processes like Type III secretion system 1 (TTSS), biofilm formation, quorum sensing, and small RNA-mediated immune sabotage that have allowed them to cross biological kingdom boundaries. To provide an entry point for pathogens, environmental conditions (e.g., contaminated irrigation water, manure application, wildlife access, and mechanical wounding) promote pathogen transfer to and penetration into plant tissues through stomata hydathodes above ground or roots below ground. Once inside, pathogens confront a range of plant immune responses, indigenous microbiota, and abiotic stresses such as UV radiation exposure, nutrient starvation, and osmotic fluctuations. Nonetheless, biofilm production, metabolic versatility, and virulence gene expression contribute to their persistence. Interactions with plant pathogens and microbiomes additionally shape colonization dynamics, for example, through co-survival and niche manipulation. With the acceleration of these processes due to climate change, urbanization, and intensified agriculture, cross-kingdom pathogenesis becomes a rising concern for One Health. Critical knowledge gaps, including seedborne transmission, microbiome engineering, and predictive modeling, are pointed out in the review along with emerging mitigation strategies, including point-of-care diagnostics and microbial biocontrol. In conclusion, this review advocates for interdisciplinary collaboration from microbiology, plant science, and One Health perspectives to predict and mitigate cross-kingdom threats to global food production. Full article
(This article belongs to the Section Plant and Photoautotrophic Stresses)
Show Figures

Figure 1

22 pages, 831 KB  
Article
Energy-Efficient Dual-Core RISC-V Architecture for Edge AI Acceleration with Dynamic MAC Unit Reuse
by Cristian Andy Tanase
Computers 2026, 15(4), 219; https://doi.org/10.3390/computers15040219 - 1 Apr 2026
Viewed by 588
Abstract
This paper presents a dual-core RISC-V architecture designed for energy-efficient AI acceleration at the edge, featuring dynamic MAC unit sharing, frequency scaling (DFS), and FIFO-based resource arbitration. The system comprises two RISC-V cores that compete for shared computational resources—a single Multiply–Accumulate (MAC) unit [...] Read more.
This paper presents a dual-core RISC-V architecture designed for energy-efficient AI acceleration at the edge, featuring dynamic MAC unit sharing, frequency scaling (DFS), and FIFO-based resource arbitration. The system comprises two RISC-V cores that compete for shared computational resources—a single Multiply–Accumulate (MAC) unit and a shared external memory subsystem—governed by a channel-based arbitration mechanism with CPU-priority semantics, while each core maintains private instruction and data caches. The architecture implements a tightly coupled Neural Processing Unit (NPU) with CONV, GEMM, and POOL operations that execute opportunistically in the background when the MAC unit is available. Dynamic frequency scaling (DFS) with three levels (100/200/400 MHz) is applied to the shared MAC unit, allowing the dynamic acceleration of CNN workloads. The arbitration mechanism uses SystemC sc_fifo channels with CPU-priority polling, ensuring that CPU execution is minimally impacted by background AI processing while the NPU makes progress during idle MAC slots. The NPU supports 3 × 3 convolutions, matrix multiplication (GEMM) with 10 × 10 tiles, and pooling operations. The implementation is cycle-accurate in SystemC, targeting FPGA deployment. Experimental evaluation demonstrates that the dual-core architecture achieves 1.87× speedup with 93.5% efficiency for parallel workloads, while DFS enables 70% power reduction at low frequency. The system successfully executes simultaneous CPU and AI workloads, with CPU-priority arbitration ensuring no CPU starvation under contention. The proposed design offers a practical solution for embedded AI applications requiring both general-purpose computation and neural network acceleration, validated through comprehensive SystemC simulation on modern FPGA platforms. Full article
(This article belongs to the Special Issue High-Performance Computing (HPC) and Computer Architecture)
Show Figures

Figure 1

12 pages, 1827 KB  
Article
The Phenology of Aphalara itadori in Canada: Timing of Spring Activity and the Onset of Oviposition
by Ian M. Jones, Sandy M. Smith and Robert S. Bourchier
Insects 2026, 17(4), 376; https://doi.org/10.3390/insects17040376 - 1 Apr 2026
Viewed by 463
Abstract
The timing of spring activity and oviposition in the knotweed psyllid, Aphalara itadori Shinji (Hemiptera: Psyllidae), will affect the number of generations that this biological control agent can complete across its introduced range and its impact on invasive knotweed. We conducted a controlled [...] Read more.
The timing of spring activity and oviposition in the knotweed psyllid, Aphalara itadori Shinji (Hemiptera: Psyllidae), will affect the number of generations that this biological control agent can complete across its introduced range and its impact on invasive knotweed. We conducted a controlled overwintering experiment in Ontario, Canada, to observe patterns of A. itadori activity and oviposition in spring and to explore sources of spring mortality. Aphalara itadori were observed to be active in very early spring, with the first observation of a psyllid on a sentinel leaf occurring on 23 March 2021. The first viable eggs were laid between 18 and 20 April 2021, when mean maximum daily temperatures were ~14 °C and day length was 13.36 h. Psyllid activity/survival throughout the spring was not affected positively or negatively by access to foliage. Our results suggest that, in Canada, the timing of the first spring generations of A. itadori will likely be dictated by the phenology of the host plant rather than the biology of the insect. The results also suggest that spring mortality in A. itadori, from starvation or abiotic factors, is low even when knotweed emergence is late. Full article
(This article belongs to the Section Insect Physiology, Reproduction and Development)
Show Figures

Figure 1

30 pages, 6316 KB  
Article
Transcriptomic Landscape and Regulatory Pathways of Drought Response in Rice (Oryza sativa L.): A Meta-Analysis of Microarray and RNA-Seq Data
by Maria Kampa, Konstantinos Makropoulos, Aikaterini Goule, Ioannis A. Tamposis, Panagiota I. Kontou, Pantelis G. Bagos and Georgia G. Braliou
Int. J. Mol. Sci. 2026, 27(7), 3167; https://doi.org/10.3390/ijms27073167 - 31 Mar 2026
Viewed by 357
Abstract
Drought significantly disrupts rice productivity under increasing climate volatility. Identifying robust molecular determinants for resilience remains a critical priority for crop improvement. Following the PRISMA guidelines, we performed a large-scale, dual-platform meta-analysis of RNA-Seq and microarray datasets to elucidate the robust transcriptomic landscape [...] Read more.
Drought significantly disrupts rice productivity under increasing climate volatility. Identifying robust molecular determinants for resilience remains a critical priority for crop improvement. Following the PRISMA guidelines, we performed a large-scale, dual-platform meta-analysis of RNA-Seq and microarray datasets to elucidate the robust transcriptomic landscape of Oryza sativa underwater deficit. Tissue-specific regulatory pathways were identified using STRING, g:Profiler, and PANTHER. Our analysis resolved distinct functional divergence, where shoots prioritize photosynthetic adjustment while roots emphasize transcriptional and chromatin reprogramming. Beyond validating core ABA signaling, we uncover a novel metabolic pivot: the activation of glyoxylate and dicarboxylate metabolism to mitigate drought-induced carbon starvation. We further identify specialized transport systems for ions and electrons across organelle membranes, alongside cellular reorganization driven by autophagy and actin-dependent cytoskeleton remodeling. These findings highlight a sophisticated network of survival strategies governing energy conservation and structural adaptation. By synthesizing heterogeneous transcriptomics, this study reveals robust pathways that are overlooked in single-platform investigations. This work provides a prioritized roadmap for utilizing functional validation and precision breeding to accelerate the development of climate-resilient rice cultivars. Full article
(This article belongs to the Special Issue New Insights into Plant Stress)
Show Figures

Graphical abstract

20 pages, 764 KB  
Review
Transdiagnostic Neurobiological and Nutritional Factors in Eating Disorders: Implications for Integrative Treatment Models
by Izabela Łucka, Ariadna Dobrzańska, Jolanta Góral-Półrola, Patrycja Leśnicka and Marta Kopańska
Nutrients 2026, 18(7), 1108; https://doi.org/10.3390/nu18071108 - 30 Mar 2026
Viewed by 392
Abstract
Eating disorders (EDs), including anorexia nervosa (AN), bulimia nervosa (BN), and binge-eating disorder (BED), are complex psychiatric conditions characterized by high morbidity and mortality. Increasing evidence suggests that beyond disorder-specific symptomatology, shared transdiagnostic mechanisms contribute to their onset and persistence. This narrative review [...] Read more.
Eating disorders (EDs), including anorexia nervosa (AN), bulimia nervosa (BN), and binge-eating disorder (BED), are complex psychiatric conditions characterized by high morbidity and mortality. Increasing evidence suggests that beyond disorder-specific symptomatology, shared transdiagnostic mechanisms contribute to their onset and persistence. This narrative review synthesizes current data on neurobiological and nutritional factors implicated in EDs, with particular emphasis on trait–state interactions and starvation-induced neuroadaptations. Predisposing vulnerabilities such as heightened anxiety, cognitive rigidity, and perfectionism appear to interact with state-dependent biological alterations induced by malnutrition. Chronic dietary restriction is associated with measurable alterations in serotonergic and dopaminergic systems, altered reward processing, and persistent activation of the hypothalamic–pituitary–adrenal (HPA) axis. Experimental studies suggest that acute tryptophan depletion may transiently reduce anxiety in individuals with anorexia nervosa, suggesting that, in some individuals, food restriction may function as a biologically reinforced strategy of affect regulation. Furthermore, disturbances in leptin and ghrelin signaling, along with widespread micronutrient deficiencies—including zinc, iron, selenium, and B vitamins—may exacerbate cognitive inflexibility, mood instability, and impaired decision-making. These metabolic and endocrine adaptations may contribute to a self-perpetuating cycle in which starvation-induced neurochemical changes reinforce restrictive or dysregulated eating behaviors. Importantly, several of these mechanisms extend beyond anorexia nervosa and may represent common transdiagnostic processes across eating disorders and related mental health conditions, including anxiety, depression, and addictive behaviors. Recognition of these biological and nutritional factors has significant implications for treatment. Nutritional rehabilitation should be conceptualized not solely as weight restoration, but as a neurobiological recalibration of stress regulation, reward sensitivity, and affective processing systems. An integrative treatment approach that combines behavioral stabilization with attention to underlying neurobiological and relational mechanisms may offer a more comprehensive framework for long-term recovery. Full article
Show Figures

Figure 1

20 pages, 4696 KB  
Article
CC-Type Glutaredoxin MeCEPD Functions as an Important Regulatory Component in Response to Nitrate Starvation in Cassava
by Xiaochen Liu, Bo Liu, Yunpeng Dai, Weitao Mai, Wenquan Wang, Changying Zeng and Xin Chen
Plants 2026, 15(7), 1056; https://doi.org/10.3390/plants15071056 - 30 Mar 2026
Viewed by 507
Abstract
Cassava (Manihot esculenta Crantz) is a nitrogen-efficient crop that can achieve high biomass production on poor soils. However, the mechanisms underlying the response of cassava to nitrogen-deficiency signals and the regulation of nitrogen use efficiency remain unclear. Here, we found that MeCEPD [...] Read more.
Cassava (Manihot esculenta Crantz) is a nitrogen-efficient crop that can achieve high biomass production on poor soils. However, the mechanisms underlying the response of cassava to nitrogen-deficiency signals and the regulation of nitrogen use efficiency remain unclear. Here, we found that MeCEPD (MeGRXC1) was specifically induced by CEP6 peptides and low nitrate, and showed higher expression in leaves and stems. Overexpression of MeCEPD enhanced cassava’s tolerance to nitrate deficiency by upregulating the expression of MeNRT2.1, MeNRT2.4, and MeRBCS1A, which was manifested as increased root biomass, greater lateral root number, and darker leaf coloration. In contrast, the MeCEPD-edited lines exhibited a statistically significant reduction in root length, plant height, and biomass compared to the wild-type. Additionally, nitrate deficiency accelerated leaf senescence. Furthermore, yeast two-hybrid (Y2H) assay revealed that MeCEPD interacts with the photosynthesis-related MeRBCS1A and lateral root development-related MeLHW, which may regulate nitrogen use efficiency. Unlike its Arabidopsis thaliana homologs AtCEPD1/2 and AtCEPDL2, which interact with AtTGA1/4, MeCEPD does not interact with MeTGA1 yet still upregulates MeNRT2.1 expression. These findings contribute to our understanding of the complex regulatory mechanisms underlying cassava’s adaptation to low-nitrogen conditions and could provide new information for genetic improvement in nitrogen use efficiency in cassava. Full article
Show Figures

Figure 1

14 pages, 1468 KB  
Article
Integrated Analysis of Fleet Sizing and Time Index Scheduling for Feeding Autonomous Mobile Robot-Based Manufacturing Systems
by Pınar Oğuz Ekim
Machines 2026, 14(4), 376; https://doi.org/10.3390/machines14040376 - 29 Mar 2026
Viewed by 312
Abstract
Intralogistic activities play a critical role in sustaining uninterrupted manufacturing in production systems. With the increased usage of autonomous mobile robots (AMRs) to feed the production systems; a complex problem structure has emerged that includes the simultaneous evaluation of the sizing of the [...] Read more.
Intralogistic activities play a critical role in sustaining uninterrupted manufacturing in production systems. With the increased usage of autonomous mobile robots (AMRs) to feed the production systems; a complex problem structure has emerged that includes the simultaneous evaluation of the sizing of the robotic fleet, task assignment and scheduling, as well as feasibility analysis of the investment. In this study, a complete decision-support frame is proposed to decide the minimum number of robots, plan the time index robot-line assignments and calculate the Cost Ratio for multiline manufacturing systems without starvation. In the proposed method, the total robot travel time, plant layout, operation times and safety factors are given as inputs to the time-indexed mixed-integer linear programming (MILP). In the literature, the fleet sizing and the scheduling problems are mostly handled separately. These highly related problems are integrated into one frame in this study. The method is validated by utilizing two worst case scenarios for an uninterrupted operation with changeable batteries and mandatory charging break. The results demonstrate that charging strategies have a huge impact on the number of minimum robots, operational applicability and economic performance. Full article
(This article belongs to the Section Robotics, Mechatronics and Intelligent Machines)
Show Figures

Figure 1

13 pages, 2286 KB  
Article
Identification of Yellowfin seabream (Acanthopagrus latus) Gcga and Gcgb Genes and Effects of Fasting Strategies on Their Expression
by Jiang Zhou, Baosuo Liu, Huayang Guo, Nan Zhang, Lin Xian, Qin Zhang, Kecheng Zhu and Dianchang Zhang
Fishes 2026, 11(4), 205; https://doi.org/10.3390/fishes11040205 - 28 Mar 2026
Viewed by 345
Abstract
The yellowfin seabream (Acanthopagrus latus) is an important aquaculture species, yet endocrine gene regulation during practical fasting and feeding schedules remains poorly understood. Here, we identified and characterized two duplicated proglucagon genes (Gcga and Gcgb) and examined tissue distribution [...] Read more.
The yellowfin seabream (Acanthopagrus latus) is an important aquaculture species, yet endocrine gene regulation during practical fasting and feeding schedules remains poorly understood. Here, we identified and characterized two duplicated proglucagon genes (Gcga and Gcgb) and examined tissue distribution of expression and transcriptional responses to feeding-related challenges. Sequence and phylogenetic analyses confirmed that Gcga and Gcgb cluster with teleost proglucagon paralogs and contain conserved peptide domains. Both genes were broadly expressed, with the strongest relative qRT-PCR signal detected in brain and fin, while other tissues (including intestine, gill, stomach, and liver) showed comparatively low but detectable expression. Because the liver is a central metabolic organ and displayed reproducible feeding-dependent regulation, we further quantified hepatic transcription under two paradigms. In a short-term starvation–refeeding trial, hepatic Gcga was significantly suppressed during fasting and rebounded after refeeding, whereas Gcgb showed a distinct, weaker response. In an acute peri-feeding assay, hepatic Gcga and Gcgb displayed rapid but differential regulation around meal time, and Gcgb expression differed between feeding and non-feeding groups. Together, these results support transcriptional divergence between the two proglucagon paralogs in nutritional regulation within a liver-focused metabolic-response model. Our findings provide baseline molecular information for A. latus and offer endocrine insights relevant to evaluating feeding strategies in aquaculture. Full article
(This article belongs to the Section Genetics and Biotechnology)
Show Figures

Figure 1

19 pages, 2935 KB  
Article
Lsm1 Coordinates Mitochondrial Homeostasis, TORC1 Signaling, and Virulence in Candida albicans
by Hangqi Zhu, Jianing Wang, Lin Liu, Qilin Yu and Mingchun Li
Microorganisms 2026, 14(4), 771; https://doi.org/10.3390/microorganisms14040771 - 28 Mar 2026
Viewed by 334
Abstract
The fungal pathogen Candida albicans coordinated metabolism, organelle homeostasis, and stress responses for adapting to diverse host environments and maintaining virulence. While transcriptional control of these processes has been extensively studied, the contribution of post-transcriptional regulation remains incompletely understood. Here, we identify the [...] Read more.
The fungal pathogen Candida albicans coordinated metabolism, organelle homeostasis, and stress responses for adapting to diverse host environments and maintaining virulence. While transcriptional control of these processes has been extensively studied, the contribution of post-transcriptional regulation remains incompletely understood. Here, we identify the P-body component Lsm1 as a critical factor of metabolic adaptation, mitochondrial homeostasis, and pathogenicity in C. albicans. Transcriptomic analysis revealed that loss of Lsm1 causes global transcriptional imbalance, leading to dysfunction of amino acid metabolism, mitochondrial function, endocytic trafficking, and autophagy processes. This dysfunction is accompanied by diminished TORC1 activity. Due to the aberrant TORC1 regulation caused by loss of Lsm1, ATG mRNA stability and autophagy flux was impaired under nutrient-rich condition and nitrogen starvation condition. In this context, the lsm1Δ/Δ cells established an adaptive metabolic and redox state characterized by altered NAD+/NADH and NADP+/NADPH balance, and enhanced antioxidant capacity. Moreover, the lsm1Δ/Δ cells displayed the defects in hyphal development, biofilm formation, and host cell interaction, and exhibited the attenuated virulence in a murine infection model. Together, our findings revealed that Lsm1-mediated post-transcriptional regulation is associated with the maintenance of amino acid metabolism, mitochondrial function, and TORC1 activity to fungal virulence, revealing a potential therapeutic target for C. albicans infections. Full article
Show Figures

Figure 1

Back to TopTop