Intensive Adoption as a Management Strategy for Unowned, Urban Cats: A Case Study of 25 Years of Trap–Assess–Resolve (TAR) in Auckland, New Zealand
Abstract
Simple Summary
Abstract
1. Introduction
- Where unowned cat colonies are located.
- Age structures of the trapped cats.
- Outcomes for cats, including analysis by age (kitten or adult).
- Health assessment of cats.
- Prevalence of neutering amongst unowned cats as a conservative indicator of loss or abandonment.
- The costs incurred by LM and for what purposes.
2. Materials and Methods
2.1. Context: Managing Unowned Cats in New Zealand
2.2. History of Lonely Miaow Association Inc.
2.3. Collation of Lonely Miaow and Veterinary Records
- 1.
- The site locations where stray cats were trapped (colonies in the LM records) following requests to remove them by landholders—these were classified as being situated in: residential properties, commercial premises, countryside/farms, industrial sites, other (various small categories, including restaurants, hospitals, seaside, council-subsidised housing, and schools). Data for locations were provided for the date range July 1995 to June 2020.
- 2.
- Estimated age—five categories: young kitten (<10 weeks old), older kitten (10 weeks to 6 months), young adult (6 months to 1 year), adult (1–5 years), senior cat (>5 years old).
- 3.
- Outcome—adopted (including cats adopted by private individuals, adopted by their fosterers, or taken by pet shops), euthanized, returned to the site, other (including cats found dead, transferred to other shelters, died during operations or from sickness, or escaped).
- 4.
- Costs—veterinary, food, litter, microchipping, other.
2.4. Statistical Analyses
3. Results
3.1. Colonies Resolved, Age Profiles, and Outcomes for Trapped Cats 1995–2020
3.2. Health Assessments
- Respiratory and eye infections indicative of cat influenza.
- Skin infections, mainly ringworm.
- Urinary tract infections.
- Severe worm infestations requiring repeated and intensive worming, often associated with diarrhoea and dehydration.
- Secondary bacterial infections associated with cat influenza or diarrhoea.
3.3. Estimation of Abandonment Rates
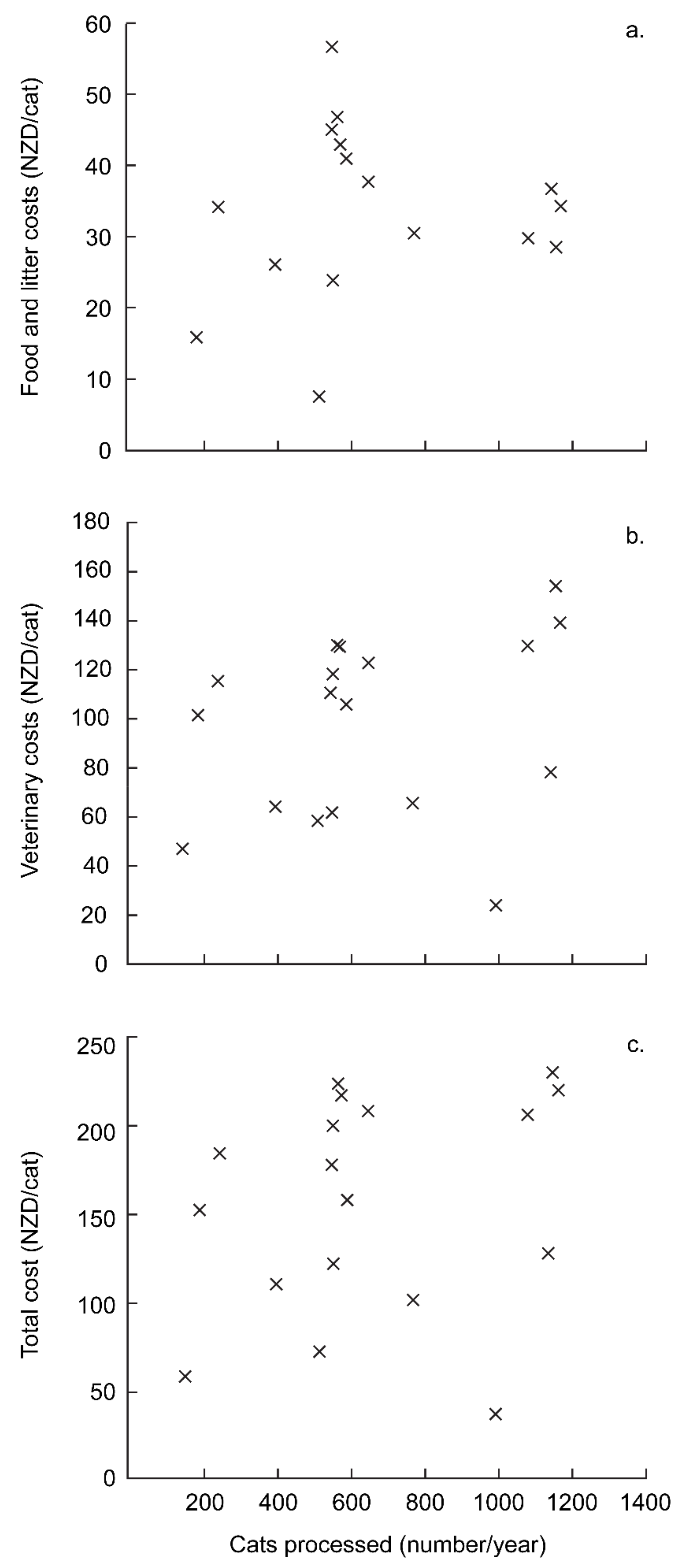
3.4. Costs
4. Discussion
4.1. Distribution of Stray Cats in Auckland
4.2. Welfare of Stray Cats in Auckland
4.3. Comparing TAR, TNR, and TE
| Feature | TE | TNR | TAR |
|---|---|---|---|
| Speed of population reduction | Rapid extirpation in closed populations but needs reapplication if abandonment or migration replenishes cats [37,87]. | Some local successes are claimed, especially where populations are closed and there is high adoption within the program (e.g., [92,93]); however, Gunther et al. [60] observed that achieving sterilization rates of at least 75% (required for population decline) is ‘almost impossible to reach and sustain on a meta-population scale.’ Gunther et al. [46] reported population reductions of approximately 7% per year following high intensity (>70% neutering) maintained across contiguous sites covering a 20 km2 urban area. | Should be rapid in a closed population because cats are removed. Needs reapplication when numbers are replenished by migration or abandonment, similar to the problems noted for TE and for TNR that are not applied across contiguous areas simultaneously [46]. |
| Addresses problems caused by stray cats | Yes, if applied at a level that reduces populations. Euthanized cats cannot breed, experience poor welfare, threaten wildlife, cause nuisance, or spread disease. | From a welfare perspective, prevents the birth of kittens likely to die young [44], but high numbers of kittens may be aborted when neutering pregnant queens [81]. May reduce disease transmission if it includes vaccination [6]. Neutered cats are less likely to fight or cause nuisances [6,63]. They still hunt, though, so that problem is unaddressed [25,26,46,94]. Some cats are adopted, gaining lasting care. | Provides veterinary care including vaccination and, for adoptable cats, provides lasting care in homes. The husbandry of the adopted cats will determine the levels of nuisances they may cause, the risk of them spreading diseases, and any threat to wildlife. Seo et al. [83,95] recommended adoption as a replacement for TNR for animal welfare and public health reasons. |
| Opportunities for citizens to be involved | None, assuming that citizens are unlikely to volunteer for trapping followed by euthanasia. | High, including trapping and transporting cats and providing food and shelter to colonies. | High, including trapping and transporting cats and fostering. |
| Euthanasia | All animals (other than pets returned to owners) are euthanized. | Greatly reduced. Only ill cats are euthanized. | Greatly reduced. Only ill or unsocialized cats are euthanized. However, there is a risk that timid cats are euthanized unnecessarily or that unsuitable cats are adopted. |
| Other ethical considerations | Fits within a utilitarian or consequentialist ethical approach, in which managers strive to achieve the best outcomes overall for all animals involved [96,97], which in this case would include the cats themselves, other organisms or people threatened with diseases, and wildlife at risk of predation. | Follows a deontological or rights approach respecting intrinsic animal rights, although ethically TNR must also justify neutering [98] and death of kittens when neutering pregnant queens [82]. TNR may also encourage dumping cats at TNR colonies [99,100]. Even when fed, cats returned to the site may have compromised welfare [7], see also this paper. TNR also values cats as a species over the wildlife they may hunt or infect with disease [101]. | Similar to TNR in following a deontological approach, as well as needing to justify neutering (including of pregnant animals) from an ethical perspective [82,98]. Adopting cats, rather than returning them to the site, should provide a high level of care. Euthanasia of unadoptable cats can be argued to be preferable to the risks associated with returning them [102]. Whether adopted cats still threaten wildlife or spread disease is dependent on their husbandry. |
| Moral distress to veterinary and animal welfare professionals | Moral distress caused by euthanasia or leaving stray cats on the streets are only addressed if populations are suppressed long-term. | Euthanasia is greatly reduced but distress over unowned cats remains. Some moral stress may arise from neutering pregnant queens [82]. | Euthanasia is greatly reduced (but not as much as TNR), while any distress over returning cats to the streets is eliminated. Some moral stress may arise from neutering pregnant queens [82]. |
| Costs per cat | USD 52–123 [38]. USD 215.82 † [37]. ~Half the cost of TNR according to comparative modelling [87]. | USD 20–97 [38]. ~Twice the cost of TE according to comparative modelling [87]. At least USD 45 [46], based on a cost of over USD 1 million for a program sustained over 9 years in a 20 km2 urban area that neutered 22,144 cats. | USD 104–550 [38]. USD 103.98 ‡ (this paper). |
4.4. Integrated Responses to Reduce Populations of Stray Cats
5. Conclusions
Supplementary Materials
Author Contributions
Funding
Institutional Review Board Statement
Informed Consent Statement
Data Availability Statement
Acknowledgments
Conflicts of Interest
References
- Spotte, S. Free-Ranging Cats: Behavior, Ecology, Management; John Wiley and Sons: Chichester, UK, 2014. [Google Scholar]
- Fraser, G.; Huang, Y.; Robinson, K.; Wilson, M.S.; Bulbulia, J.; Sibley, C.G. New Zealand pet owners’ demographic characteristics, personality, and health and wellbeing: More than just a fluff piece. Anthrozoos 2020, 33, 561–578. [Google Scholar] [CrossRef]
- Krittanawong, C.; Kumar, A.; Wang, Z.; Jneid, H.; Virani, S.S.; Levine, G.N. Pet ownership and cardiovascular health in the US general population. Am. J. Cardiol. 2020, 125, 1158–1161. [Google Scholar] [CrossRef] [PubMed]
- McKay, S.A.; Farnworth, M.J.; Waran, N.K. Current attitudes toward, and incidence of, sterilization of cats and dogs by caregivers (owners) in Auckland, New Zealand. J. Appl. Anim. Welf. Sci. 2009, 12, 331–344. [Google Scholar] [CrossRef] [PubMed]
- Peterson, M.N.; Hartis, B.; Rodriguez, S.; Green, M.; Lepczyk, C.A. Opinions from the front lines of cat colony management conflict. PLoS ONE 2012, 7, e44616. [Google Scholar] [CrossRef]
- Gunther, I.; Raz, T.; Klement, E. Association of neutering with health and welfare of urban free-roaming cat population in Israel, during 2012-2014. Prev. Vet. Med. 2018, 157, 26–33. [Google Scholar] [CrossRef]
- Crawford, H.M.; Calver, M.C.; Fleming, P.A. Subsidised by junk foods: Factors influencing body condition in stray cats (Felis catus). J. Urban Ecol. 2020, 6, juaa004. [Google Scholar] [CrossRef]
- Wolf, P.J.; Hamilton, F. Managing free-roaming cats in U.S. cities: An object lesson in public policy and citizen action. J. Urban Aff. 2020, 44, 221–242. [Google Scholar] [CrossRef]
- Zito, S.; Morton, J.; Paterson, M.; Vankan, D.; Bennett, P.C.; Rand, J.; Phillips, C.J.C. Cross-sectional study of characteristics of owners and nonowners surrendering cats to four Australian animal shelters. J. Appl. Anim. Welf. Sci. 2016, 19, 126–143. [Google Scholar] [CrossRef]
- Lepczyk, C.A.; Calver, M.C. Cat got your tongue? The misnomer of ‘community cats’ and its relevance to conservation. Biol. Invasions 2022, 24, 2313–2321. [Google Scholar] [CrossRef]
- Hamilton, F. Implementing Nonlethal solutions for free-roaming cat management in a county in the southeastern United States. Front. Vet. Sci. 2019, 6, 259. [Google Scholar] [CrossRef]
- Legge, S.; Murphy, B.P.; McGregor, H.; Woinarski, J.C.Z.; Augusteyn, J.; Ballard, G.; Baseler, M.; Buckmaster, T.; Dickman, C.R.; Doherty, T.; et al. Enumerating a continental-scale threat: How many feral cats are in Australia? Biol. Conserv. 2017, 206, 293–303. [Google Scholar] [CrossRef]
- Farnworth, M.J.; Muellner, P.; Benschop, J. A Systematic Review of the Impacts of Feral, Stray and Companion Domestic Cats (Felis catus) on Wildlife in New Zealand and Options for Their Management; Unitec Institute of Technology: Auckland, New Zealand, 2013. [Google Scholar]
- Rochlitz, I. Clinical study of cats injured and killed in road traffic accidents in Cambridgeshire. J. Small Anim. Pract. 2004, 45, 390–394. [Google Scholar] [CrossRef]
- Rochlitz, I. Feline welfare issues. In The Domestic Cat: The Biology of its Behaviour; Turner, D.C., Bateson, P., Eds.; Cambridge University Press: Cambridge UK, 2014; pp. 131–154. [Google Scholar]
- Calver, M.C.; Adams, G.; Clark, W.; Pollock, K.H. Assessing the safety of collars used to attach predation deterrent devices and ID tags to pet cats. Anim. Welf. 2013, 22, 95–105. [Google Scholar] [CrossRef]
- McDonald, J.L.; Cleasby, I.R.; Brodbelt, D.C.; Church, D.B.; O’Neill, D.G. Mortality due to trauma in cats attending veterinary practices in central and south-east England. J. Small Anim. Pract. 2017, 58, 570–576. [Google Scholar] [CrossRef] [PubMed]
- Moreau, D.; Cathelain, P.; Lacheretz, A. Comparative study of causes of death and life expectancy in carnivorous pets (II). Rev. Med. Vet. 2003, 154, 127–132. [Google Scholar]
- Gehrt, S.D.; Wilson, E.C.; Brown, J.L.; Anchor, C. Population ecology of free-roaming cats and interference competition by coyotes in urban parks. PLoS ONE 2013, 8, e75718. [Google Scholar] [CrossRef]
- Hosie, M.J.; Addie, D.; Belák, S.; Boucraut-Baralon, C.; Egberink, H.; Frymus, T.; Gruffydd-Jones, T.; Hartmann, K.; Lloret, A.; Lutz, H.; et al. Feline immunodeficiency ABCD guidelines on prevention and management. JFMS 2009, 11, 575–584. [Google Scholar] [CrossRef]
- Nation, P.N.; St. Clair, C.C. A forensic pathology investigation of dismembered domestic cats: Coyotes or cults? Vet. Pathol. 2019, 56, 444–451. [Google Scholar] [CrossRef]
- Bonnington, C.; Gaston, K.J.; Evans, K.L. Fearing the feline: Domestic cats reduce avian fecundity through trait-mediated indirect effects that increase nest predation by other species. J. Appl. Ecol. 2013, 50, 15–24. [Google Scholar] [CrossRef]
- Mori, E.; Menchetti, M.; Camporesi, A.; Cavigioli, L.; Tabarelli de Fatis, K.; Girardello, M. License to kill? Domestic cats affect a wide range of native fauna in a highly biodiverse Mediterranean country. Front. Ecol. Evol. 2019, 7, 477. [Google Scholar] [CrossRef]
- Legge, S.; Woinarski, J.; Dickman, C.; Murphy, B.P.; Woolley, L.-A.; Calver, M.C. We need to worry about Bella and Charlie: The impacts of pet cats on Australian wildlife. Wildl. Res. 2020, 47, 523–539. [Google Scholar] [CrossRef]
- Greenwell, C.N.; Calver, M.C.; Loneragan, N.R. Cat gets its tern: A case study of predation on a threatened coastal seabird. Animals 2019, 9, 445. [Google Scholar] [CrossRef] [PubMed]
- Nagata, J.; Haga, A.; Kusachi, Y.; Tokuyoshi, M.; Endo, H.; Watari, Y. Cats were responsible for the headless carcasses of shearwaters: Evidence from genetic predator identification. Mammal Study 2022, 47, 197–204. [Google Scholar] [CrossRef]
- Kristancic, A.R.; Kuehs, J.; Beal Richardson, B.; Baudains, C.; Hardy, G.E.S.; Fleming, P.A. Biodiversity conservation in urban gardens—Pets and garden design influence activity of a vulnerable digging mammal. Landsc. Urban Plan. 2022, 225, 104464. [Google Scholar] [CrossRef]
- Lepczyk, C.A.; Lohr, C.A.; Duffy, D.C. A review of cat behavior in relation to disease risk and management options. Appl. Anim. Behav. Sci 2015, 173, 29–39. [Google Scholar] [CrossRef]
- Must, K.; Lassen, B.; Jokelainen, P. Seroprevalence of and risk factors for Toxoplasma gondii infection in cats in Estonia. Vector-Borne Zoonotic Dis. 2015, 15, 597–601. [Google Scholar] [CrossRef] [PubMed]
- Brosh-Nissimov, T.; Ben-Ami, R.; Astman, N.; Malin, A.; Baruch, Y.; Galor, I. An Outbreak of Microsporum canis infection at a military base associated with stray cat exposure and person-to-person transmission. Mycoses 2018, 61, 472–476. [Google Scholar] [CrossRef]
- Halánová, M.; Petrová, L.; Halán, M.; Trbolová, A.; Babinská, I.; Weissová, T. Impact of way of life and environment on the prevalence of Chlamydia felis in cats as potentional sources of infection for humans. AAEM 2019, 26, 222–226. [Google Scholar] [CrossRef]
- Chalkowski, K.; Wilson, A.E.; Lepczyk, C.A.; Zohdy, S. Who let the cats out? A global meta-analysis on risk of parasitic infection in indoor versus outdoor domestic cats (Felis catus). Biol. Lett. 2019, 15, 20180840. [Google Scholar] [CrossRef]
- Sandøe, P.; Nørspang, A.P.; Kondrup, S.V.; Bjørnvad, C.R.; Forkman, B.; Lund, T.B. Roaming companion cats as potential causes of conflict and controversy: A representative questionnaire study of the Danish public. Anthrozoos 2018, 31, 459–473. [Google Scholar] [CrossRef]
- Robertson, S.A. A review of feral cat control. JFMS 2008, 10, 366–375. [Google Scholar] [CrossRef] [PubMed]
- Crawford, H.M.; Calver, M.C.; Fleming, P.A. A case of letting the cat out of the bag—why trap-neuter-return is not an ethical solution for stray cat (Felis catus) management. Animals 2019, 9, 171. [Google Scholar] [CrossRef]
- Calver, M.C.; Crawford, H.M.; Fleming, P.A. Response to Wolf et al.: Furthering debate over the suitability of trap-neuter-return for stray cat management. Animals 2020, 10, 362. [Google Scholar] [CrossRef] [PubMed]
- Read, J.L.; Dickman, C.R.; Boardman, W.S.J.; Lepczyk, C.A. Reply to wolf et al.: Why trap-neuter-return (TNR) is not an ethical solution for stray cat management. Animals 2020, 10, 1525. [Google Scholar] [CrossRef]
- Wolf, P.J.; Rand, J.; Swarbrick, H.; Spehar, D.D.; Norris, J. Reply to Crawford et al.: Why trap-neuter-return (TNR) is an ethical solution for stray cat management. Animals 2019, 9, 689. [Google Scholar] [CrossRef]
- Wierzbowska, I.A.; Olko, J.; Hedrzak, M.; Crooks, K.R. Free-ranging domestic cats reduce the effective protected area of a Polish national park. Mamm Biol 2012, 77, 204–210. [Google Scholar] [CrossRef]
- Galvis, J.O.A.; Baquero, O.S.; Dias, R.A.; Ferreira, F.; Chiozzotto, E.N.; Grisi-Filho, J.H.H. Monitoring techniques in the capture and adoption of dogs and cats. Geospat. Health 2015, 10, 158–162. [Google Scholar] [CrossRef]
- Gotsis, T. Feral Cats: Do Trap-Neuter-Return Programs Work? NSW Parliamentary Research Service: Sydney, NSW, Australia, 2014.
- Večerek, V.; Kubesová, K.; Voslářová, E.; Bedáňová, I. Rates of death and euthanasia for cats in no-kill shelters in the Czech Republic. Acta Vet. Brno 2017, 86, 109–115. [Google Scholar] [CrossRef]
- Sumner, C.L.; Walker, J.K.; Dale, A.R. The implications of policies on the welfare of free-roaming cats in New Zealand. Animals 2022, 12, 237. [Google Scholar] [CrossRef]
- Boone, J.D.; Miller, P.S.; Briggs, J.R.; Benka, V.A.W.; Lawler, D.F.; Slater, M.; Levy, J.K.; Zawistowski, S. A Long-Term Lens: Cumulative Impacts of free-roaming cat management strategy and intensity on preventable cat mortalities. Front. Vet. Sci. 2019, 6, 238. [Google Scholar] [CrossRef]
- Calver, M.C.; Fleming, P.A. Evidence for citation networks in studies of free-roaming cats: A case study using literature on Trap–Neuter–Return (TNR). Animals 2020, 10, 993. [Google Scholar] [CrossRef] [PubMed]
- Gunther, I.; Hawlena, H.; Azriel, L.; Gibor, D.; Berke, O.; Klement, E. Reduction of free-roaming cat population requires high-intensity neutering in spatial contiguity to mitigate compensatory effects. Proc. Natl. Acad. Sci. USA 2022, 119, e2119000119. [Google Scholar] [CrossRef] [PubMed]
- Van Heezik, Y.; Smyth, A.; Adams, A.; Gordon, J. Do domestic cats impose an unsustainable harvest on urban bird populations? Biol. Conserv. 2010, 143, 121–130. [Google Scholar] [CrossRef]
- Zito, S.; Walker, J.; Gates, C.M.; Dale, A. A preliminary description of companion cat, managed stray cat, and unmanaged stray cat welfare in Auckland, New Zealand using a 5-component assessment scale. Front. Vet. Sci. 2019, 6, 40. [Google Scholar] [CrossRef]
- Morgan, S.A.; Hansen, C.M.; Ross, J.G.; Hickling, G.J.; Ogilvie, S.C.; Paterson, A.M. Urban cat (Felis catus) movement and predation activity associated with a wetland reserve in New Zealand. Wildl. Res. 2009, 36, 574–580. [Google Scholar] [CrossRef]
- Aguilar, G.D.; Farnworth, M.J.; Winder, L. Mapping the stray domestic cat (Felis catus) population in New Zealand: Species distribution modelling with a climate change scenario and implications for protected areas. Appl. Geogr. 2015, 63, 146–154. [Google Scholar] [CrossRef]
- Industries, M.F.P. Animal Welfare Matters: New Zealand Animal Welfare Strategy. Available online: https://www.agriculture.govt.nz/dmsdocument/3963-Animal-Welfare-Matters-New-Zealand-Animal-Welfare-Strategy (accessed on 17 July 2022).
- Ministry for Primary Industries. Animal Welfare Act 1999; Parliamentary Counsel Office: Wellington, New Zealand, 1999.
- SPSS. IBM SPSS Statistics for Windows, Version 22.0; IBM Corporation: Armonk, NY, USA, 2016. [Google Scholar]
- Aguilar, G.D.; Farnworth, M.J. Distribution characteristics of unmanaged cat colonies over a 20 year period in Auckland, New Zealand. Appl. Geogr. 2013, 37, 160–167. [Google Scholar] [CrossRef]
- McLeod, L.J.; Driver, A.B.; Bengsen, A.J.; Hine, D.W. Refining online communication strategies for domestic cat management. Anthrozoos 2017, 30, 635–649. [Google Scholar] [CrossRef]
- McLeod, L.J.; Hine, D.W.; Bengsen, A.J. Born to roam? Surveying cat owners in Tasmania, Australia, to identify the drivers and barriers to cat containment. Prev. Vet. Med. 2015, 122, 339–344. [Google Scholar] [CrossRef]
- McLeod, L.J.; Hine, D.W.; Bengsen, A.J.; Driver, A.B. Assessing the impact of different persuasive messages on the intentions and behaviour of cat owners: A randomised control trial. Prev. Vet. Med. 2017, 146, 136–142. [Google Scholar] [CrossRef]
- McLeod, L.J.; Hine, D.W.; Driver, A.B. Change the humans first: Principles for improving the management of free-roaming cats. Animals 2019, 9, 555. [Google Scholar] [CrossRef] [PubMed]
- Crowley, S.L.; Cecchetti, M.; McDonald, R.A. Diverse perspectives of cat owners indicate barriers to and opportunities for managing cat predation of wildlife. Front. Ecol. Environ. 2020, 18, 544–549. [Google Scholar] [CrossRef]
- Gunther, I.; Raz, T.; Zor, Y.E.; Bachowski, Y.; Klement, E. Feeders of free-roaming cats: Personal characteristics, feeding practices, and data on cat health and welfare in an urban setting of Israel. Front. Vet. Sci. 2016, 3, 21. [Google Scholar] [CrossRef] [PubMed]
- Luria, B.J.; Levy, J.K.; Lappin, M.R.; Breitschwerdt, E.B.; Legendre, A.M.; Hernandez, J.A.; Gorman, S.P.; Lee, I.T. Prevalence of infectious diseases in feral cats in Northern Florida. JFMS 2004, 6, 287–296. [Google Scholar] [CrossRef] [PubMed]
- Kreisler, R.E.; Cornell, H.N.; Levy, J.K. Decrease in population and increase in welfare of community cats in a twenty-three year trap-neuter-return program in Key Largo, FL: The ORCAT program. Front. Vet. Sci. 2019, 6, 7. [Google Scholar] [CrossRef] [PubMed]
- Gilhofer, E.M.; Windschnurer, I.; Troxler, J.; Heizmann, V. Welfare of feral cats and potential influencing factors. J. Vet. Behav. 2019, 30, 114–123. [Google Scholar] [CrossRef]
- Gunther, I.; Raz, T.; Berke, O.; Klement, E. Nuisances and welfare of free-roaming cats in urban settings and their association with cat reproduction. Prev. Vet. Med. 2015, 119, 203–210. [Google Scholar] [CrossRef]
- Castro-Prieto, J.; Andrade-Núñez, M.J. Health and ecological aspects of stray cats in old San Juan, Puerto Rico: Baseline information to develop an effective control program. Puerto Rico Health Sci. J. 2018, 37, 110–114. [Google Scholar]
- Zito, S.; Aguilar, G.; Vigeant, S.; Dale, A. Assessment of a targeted trap-neuter-return pilot study in Auckland, New Zealand. Animals 2018, 8, 73. [Google Scholar] [CrossRef]
- Mirmovtich, V. Spatial organisation of urban feral cats (Felis catus) in Jerusalem. Wildl. Res. 1995, 22, 299–310. [Google Scholar] [CrossRef]
- Nutter, F.B.; Levine, J.F.; Stoskopf, M.K. Reproductive capacity of free-roaming domestic cats and kitten survival rate. J. Am. Vet. Med. Assoc. 2004, 225, 1399–1402. [Google Scholar] [CrossRef] [PubMed]
- Gunther, I.; Finkler, H.; Terkel, J. Demographic differences between urban feeding groups of neutered and sexually intact free-roaming cats following a trap-neuter-return procedure. J. Am. Vet. Med. Assoc. 2011, 238, 1134–1140. [Google Scholar] [CrossRef]
- Hayward, J.J.; Taylor, J.; Rodrigo, A.G. Phylogenetic analysis of feline immunodeficiency virus in feral and companion domestic cats of New Zealand. J. Virol. 2007, 81, 2999–3004. [Google Scholar] [CrossRef] [PubMed]
- Gates, M.C.; Vigeant, S.; Dale, A. Prevalence and risk factors for cats testing positive for feline immunodeficiency virus and feline leukaemia virus infection in cats entering an animal shelter in New Zealand. N. Z. Vet. J. 2017, 65, 285–291. [Google Scholar] [CrossRef] [PubMed]
- Toribio, J.A.L.M.; Norris, J.M.; White, J.D.; Dhand, N.K.; Hamilton, S.A.; Malik, R. Demographics and husbandry of pet cats living in Sydney, Australia: Results of cross-sectional survey of pet ownership. JFMS 2009, 11, 449–461. [Google Scholar] [CrossRef]
- Gates, M.C.; Hinds, H.J.; Dale, A. Preliminary description of aging cats and dogs presented to a New Zealand first-opinion veterinary clinic at end-of-life. N. Z. Vet. J. 2017, 65, 313–317. [Google Scholar] [CrossRef]
- Angel Alberto Florez, M.; Jorge Alberto Solano, M. Demographic study of the population of dogs and cats domiciled in the southeastern sector of Bucaramanga, Colombia. Rev. de Investig. Vet. Del Peru 2019, 30, 828–835. [Google Scholar] [CrossRef]
- Bruce, S.J.; Zito, S.; Gates, M.C.; Aguilar, G.; Walker, J.K.; Goldwater, N.; Dale, A. Predation and risk behaviors of free-roaming owned cats in Auckland, New Zealand via the use of animal-borne cameras. Front. Vet. Sci. 2019, 6, 205. [Google Scholar] [CrossRef]
- Finkler, H.; Hatna, E.; Terkel, J. The impact of anthropogenic factors on the behavior, reproduction, management and welfare of urban, free-roaming cat populations. Anthrozoos 2011, 24, 31–49. [Google Scholar] [CrossRef]
- Kretzer, M. Cat Found with Leg ‘Hanging on by a Hair’ Is Latest Victim of TNR. Available online: https://www.peta.org/blog/cat-found-with-severed-leg-is-latest-victim-of-tnr/ (accessed on 17 July 2022).
- PETA. Trap, Neuter, Return and Monitor Programs for Feral Cats: Doing It Right. Available online: https://www.peta.org/issues/animal-companion-issues/animal-companion-factsheets/trap-neuter-return-monitor-programs-feral-cats-right/ (accessed on 17 July 2022).
- Andersen, M.C.; Martin, B.J.; Roemer, G.W. Use of matrix population models to estimate the efficacy of euthanasia versus trap-neuter-return for management of free-roaming cats. J. Am. Vet. Med. Assoc. 2004, 225, 1871–1876. [Google Scholar] [CrossRef]
- Brunt, S.; Solomon, H.; Brown, K.; Davis, A. Feline and Canine Rabies in New York State, USA. Viruses 2021, 13, 450. [Google Scholar] [CrossRef] [PubMed]
- Cho, Y.; Kim, K.; Kim, M.S.; Lee, I. Application of a high-quality, high- volume trap-neuter-return model of community cats in Seoul, Korea. PeerJ 2020, 8, e8711. [Google Scholar] [CrossRef] [PubMed]
- Patterson, M.B.A.; Jamieson, P. Sterilizing pregnant companion animals: Ethics and law. J. Appl. Anim. Ethics Res. 2021, 3, 153–175. [Google Scholar] [CrossRef]
- Seo, A.; Ueda, Y.; Tanida, H. Health status of ‘community cats’ living in the tourist area of the old town in Onomichi City, Japan. J. Appl. Anim. Welf. Sci. 2021, 25, 338–354. [Google Scholar] [CrossRef]
- Crawford, H.M.; Fontaine, J.B.; Calver, M.C. Using free adoptions to reduce crowding and euthanasia at cat shelters: An Australian case study. Animals 2017, 7, 92. [Google Scholar] [CrossRef]
- Casey, R.A.; Vandenbussche, S.; Bradshaw, J.W.S.; Roberts, M.A. Reasons for relinquishment and return of domestic cats (Felis silvestris catus) to rescue shelters in the UK. Anthrozoos 2009, 22, 347–358. [Google Scholar] [CrossRef]
- Gates, M.C.; Mancera, K.; Dale, A.; Zito, S. Preliminary analysis of post-adoption outcomes for kittens and adult cats rehomed through a New Zealand animal shelter. N. Z. Vet. J. 2020, 68, 38–45. [Google Scholar] [CrossRef]
- Lohr, C.A.; Cox, L.J.; Lepczyk, C.A. Costs and benefits of Trap-Neuter-Release and euthanasia for removal of urban cats in Oahu, Hawaii. Conserv. Biol. 2013, 27, 64–73. [Google Scholar] [CrossRef]
- Lamb, W. Commentary on economic valuations of biodiversity. Ecol. Econ. 2013, 89, 170–173. [Google Scholar] [CrossRef]
- Legge, S.; Taggart, P.L.; Dickman, C.; Read, J.L.; Woinarski, J. Cat-dependent diseases cost Australia AU$6 billion per year through impacts on human health and livestock production. Wildl. Res. 2020, 47, 731–746. [Google Scholar] [CrossRef]
- Von Dietze, E.; Gardner, D. Euthanizing wildlife: Experiences and coping strategies among people who conduct euthanasia. Pac. Conserv. Biol. 2014, 20, 28–36. [Google Scholar] [CrossRef]
- Rohlf, V.I. Interventions for occupational stress and compassion fatigue in animal care professionals-a systematic review. Traumatology 2018, 24, 186–192. [Google Scholar] [CrossRef]
- Spehar, D.D.; Wolf, P.J. A case study in citizen science: The effectiveness of a trap-neuter-return program in a Chicago neighborhood. Animals 2018, 8, 14. [Google Scholar] [CrossRef]
- Spehar, D.D.; Wolf, P.J. The impact of targeted trap–neuter–return efforts in the San Francisco Bay area. Animals 2020, 10, 2089. [Google Scholar] [CrossRef]
- Barratt, D.G. Predation by house cats Felis catus (L.) in Canberra, Australia. II.Factors affecting the amount of prey caught and estimates of the impact on wildlife. Wildl. Res. 1998, 25, 475–487. [Google Scholar] [CrossRef]
- Seo, A.; Ueda, Y.; Tanida, H. Population Dynamics of Community Cats Living in a Tourist Area of Onomichi City, Japan, before and after the Trap-Test-Vaccinate-Alter-Return-Monitor Event. J. Appl. Anim. Welf. Sci. 2021. [Google Scholar] [CrossRef] [PubMed]
- Hampton, J.O.; Fisher, P.M.; Warburton, B. Reconsidering humaneness. Conserv. Biol. 2020, 34, 1107–1113. [Google Scholar] [CrossRef]
- Hampton, J.O.; Warburton, B.; Sandøe, P. Compassionate versus consequentialist conservation. Conserv. Biol. 2019, 33, 751–759. [Google Scholar] [CrossRef]
- Sandøe, P.; Corr, S.; Palmer, C. Companion Animal Ethics; Wiley-Blackwell: Hoboken, NJ, USA, 2015. [Google Scholar]
- Castillo, D.; Clarke, A.L. Trap/neuter/release methods ineffective in controlling domestic cat “colonies” on public lands. Nat. Areas J 2003, 23, 247–253. [Google Scholar]
- Natoli, E.; Maragliano, L.; Cariola, G.; Faini, A.; Bonanni, R.; Cafazzo, S.; Fantini, C. Management of feral domestic cats in the urban environment of Rome (Italy). Prev. Vet. Med. 2006, 77, 180–185. [Google Scholar] [CrossRef]
- Carrete, M.; Sánchez-Zapata, J.A.; Benítez, J.R.; Lobón, M.; Camiña, T.; Lekuona, J.M.; Montelío, E.; Donázar, J.A. The precautionary principle and wind-farm planning: Data scarcity does not imply absence of effects. Biol. Conserv. 2010, 143, 1829–1830. [Google Scholar] [CrossRef][Green Version]
- Read, J. Among the Pigeons: Why Our Cats Belong Indoors; Wakefield Press: Kent Town, Australia, 2019. [Google Scholar]
- ACT Government. ACT Cat Plan 2021–2031. A Plan Developed Under the 2017 ACT Animal Welfare and Management Strategy; ACT Government: Canberra, Australia, 2021.
- Welsh, P. Cat neutering: The earlier the better to tackle overpopulation. Vet. Rec. 2018, 182, 289–290. [Google Scholar] [CrossRef] [PubMed]
- Crawford, H.M.; Calver, M.C. Attitudes and practices of Australian veterinary professionals and students towards early age desexing of cats. Animals 2019, 9, 2. [Google Scholar] [CrossRef] [PubMed]
- Porters, N.; de Rooster, H.; Moons, C.P.; Duchateau, L.; Goethals, K.; Bosmans, T.; Polis, I. Prepubertal gonadectomy in cats: Different injectable anaesthetic combinations and comparison with gonadectomy at traditional age. JFMS 2015, 17, 458–467. [Google Scholar] [CrossRef] [PubMed]
- Porters, N.; de Rooster, H.; Verschueren, K.; Polis, I.; Moons, C.P.H. Development of behavior in adopted shelter kittens after gonadectomy performed at an early age or at a traditional age. J. Vet. Behav. 2014, 9, 196–206. [Google Scholar] [CrossRef]
- Porters, N.; Polis, I.; Moons, C.P.H.; Van De Maele, I.; Ducatelle, R.; Goethals, K.; Duchateau, L.; De Rooster, H. Relationship between age at gonadectomy and health problems in kittens adopted from shelters. Vet. Rec. 2015, 176, 572. [Google Scholar] [CrossRef]
- Moons, C.P.H.; Valcke, A.; Verschueren, K.; Porters, N.; Polis, I.; de Rooster, H. Effect of early-age gonadectomy on behavior in adopted shelter kittens—the sequel. J. Vet. Behav. 2018, 26, 43–47. [Google Scholar] [CrossRef]
- Marston, L.C.; Bennett, P.C. Admissions of cats to animal welfare shelters in Melbourne, Australia. J. Appl. Anim. Welf. Sci. 2009, 12, 189–213. [Google Scholar] [CrossRef]
- Johnson, J.; Calver, M. Prevalence of desexed cats in relation to age in a convenience sample of Western Australian cats. Aust. Vet. J. 2014, 92, 226–227. [Google Scholar] [CrossRef]
- Mazeau, L.; Wylie, C.; Boland, L.; Beatty, J.A. A shift towards early-age desexing of cats under veterinary care in Australia. Sci. Rep. 2021, 11, 811. [Google Scholar] [CrossRef]
- Lord, L.K.; Wittum, T.E.; Ferketich, A.K.; Funk, J.A.; Rajala-Schultz, P.J. Search methods that people use to find owners of lost pets. J. Am. Vet. Med. Assoc. 2007, 230, 1835–1840. [Google Scholar] [CrossRef] [PubMed]
- Lord, L.K.; Wittum, T.E.; Ferketich, A.K.; Funk, J.A.; Rajala-Schultz, P.J. Search and identification methods that owners use to find a lost cat. J. Am. Vet. Med. Assoc. 2007, 230, 217–220. [Google Scholar] [CrossRef] [PubMed]
- Cansdale, D. Cat and Dog Euthanasia Rates Slashed as Rescue Culture and ‘Fur Babies’ on the Rise. Available online: https://www.abc.net.au/news/2019-09-11/how-the-rise-of-rescue-culture-and-fur-babieshas-helped/11486424 (accessed on 1 July 2022).
- Ho, J.; Hussain, S.; Sparagano, O. Did the COVID-19 pandemic spark a public interest in pet adoption? Front. Vet. Sci. 2021, 8, 647308. [Google Scholar] [CrossRef]
- McDonald, J.L.; Farnworth, M.J.; Clements, J. Integrating trap-neuter-return campaigns into a social framework: Developing long-term positive behavior change toward unowned cats in urban areas. Front. Vet. Sci. 2018, 5, 258. [Google Scholar] [CrossRef] [PubMed]
- Farnworth, M.J.; Adams, N.J.; Seksel, K.; Waran, N.K.; Beausoleil, N.J.; Stafford, K.J. Veterinary attitudes towards pre-pubertal gonadectomy of cats: A comparison of samples from New Zealand, Australia and the United Kingdom. N. Z. Vet. J. 2013, 61, 226–233. [Google Scholar] [CrossRef]







| Year Range: | July 1995–December 2010 | January 2011–June 2020 | ||
|---|---|---|---|---|
| Location of Colony | Number (Percent) of Colonies | Number (Percent) of Colonies | ||
| Residential property | 1300 | (79.1%) | 1700 | (81.2%) |
| Commercial premises | 164 | (10.0%) | 154 | (7.4%) |
| Peri-urban | 69 | (4.2%) | 44 | (2.1%) |
| Industrial site | 29 | (1.8%) | 52 | (2.5%) |
| Council subsidized housing | 10 | (0.6%) | 57 | (2.7%) |
| Hospital | 15 | (0.9%) | 5 | (0.2%) |
| Other (e.g., schools, beach, restaurants) | 56 | (3.4%) | 82 | (3.9%) |
| Sub-total | 1643 | 2094 | ||
Publisher’s Note: MDPI stays neutral with regard to jurisdictional claims in published maps and institutional affiliations. |
© 2022 by the authors. Licensee MDPI, Basel, Switzerland. This article is an open access article distributed under the terms and conditions of the Creative Commons Attribution (CC BY) license (https://creativecommons.org/licenses/by/4.0/).
Share and Cite
Calver, M.C.; Crawford, H.M.; Scarff, F.R.; Bradley, J.S.; Dormon, P.; Boston, S.; Fleming, P.A. Intensive Adoption as a Management Strategy for Unowned, Urban Cats: A Case Study of 25 Years of Trap–Assess–Resolve (TAR) in Auckland, New Zealand. Animals 2022, 12, 2301. https://doi.org/10.3390/ani12172301
Calver MC, Crawford HM, Scarff FR, Bradley JS, Dormon P, Boston S, Fleming PA. Intensive Adoption as a Management Strategy for Unowned, Urban Cats: A Case Study of 25 Years of Trap–Assess–Resolve (TAR) in Auckland, New Zealand. Animals. 2022; 12(17):2301. https://doi.org/10.3390/ani12172301
Chicago/Turabian StyleCalver, Michael C., Heather M. Crawford, Fiona R. Scarff, J. Stuart Bradley, Peter Dormon, Samantha Boston, and Patricia A. Fleming. 2022. "Intensive Adoption as a Management Strategy for Unowned, Urban Cats: A Case Study of 25 Years of Trap–Assess–Resolve (TAR) in Auckland, New Zealand" Animals 12, no. 17: 2301. https://doi.org/10.3390/ani12172301
APA StyleCalver, M. C., Crawford, H. M., Scarff, F. R., Bradley, J. S., Dormon, P., Boston, S., & Fleming, P. A. (2022). Intensive Adoption as a Management Strategy for Unowned, Urban Cats: A Case Study of 25 Years of Trap–Assess–Resolve (TAR) in Auckland, New Zealand. Animals, 12(17), 2301. https://doi.org/10.3390/ani12172301

