Multi-Approach Assessment for Stress Evaluation in Rainbow Trout Females, Oncorhynchus mykiss (Walbaum, 1792) from Three Different Farms during the Summer Season
Abstract
Simple Summary
Abstract
1. Introduction
2. Materials and Methods
2.1. Ethics
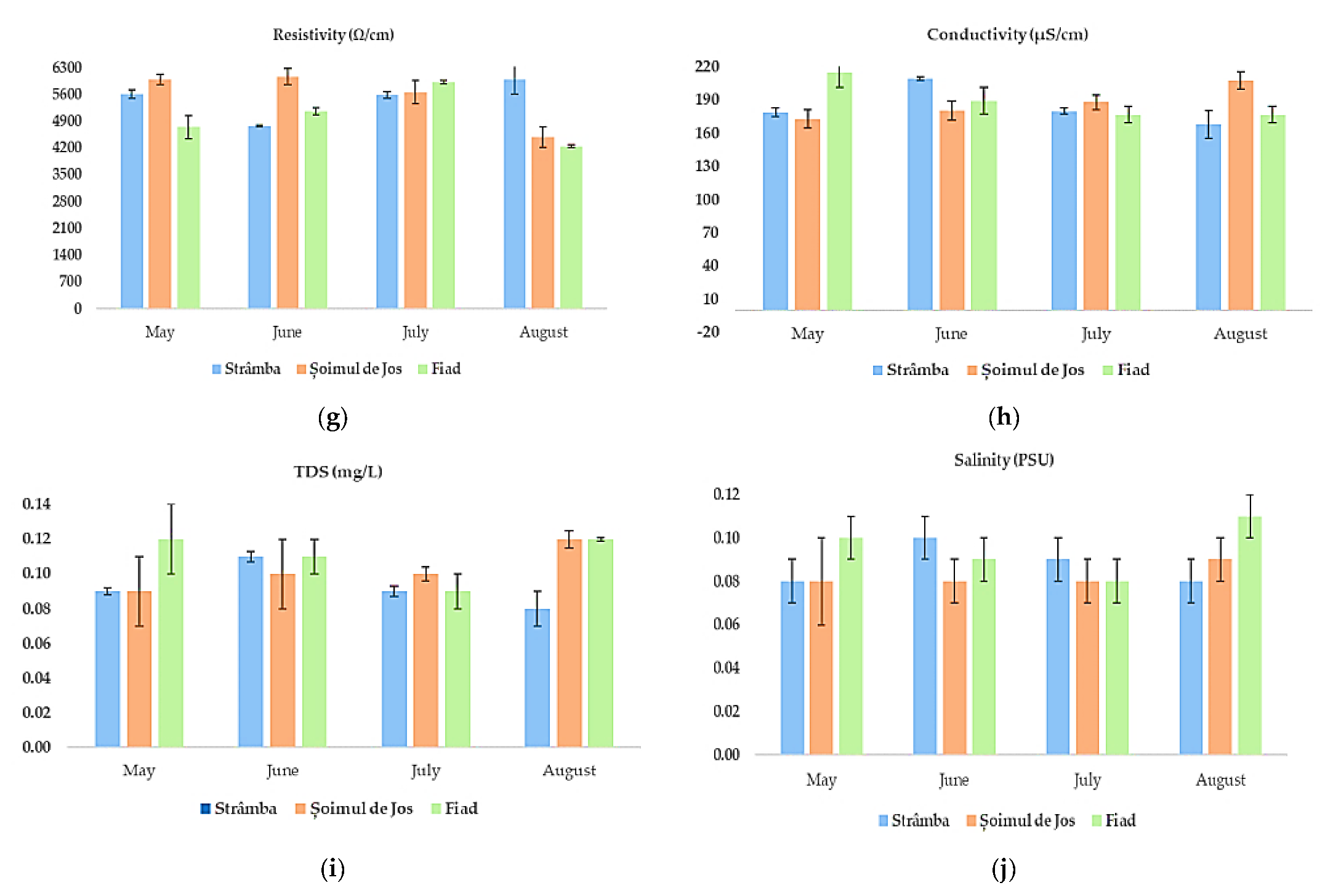
2.2. Rainbow Trout Farms Description and Physicochemical Water Parameters
2.3. Fish Sampling
2.4. Hematological and Antioxidant Enzyme Analysis
2.5. Hormonal Serum Profile Analysis (Serum Parameters)
2.6. Statistical Methods
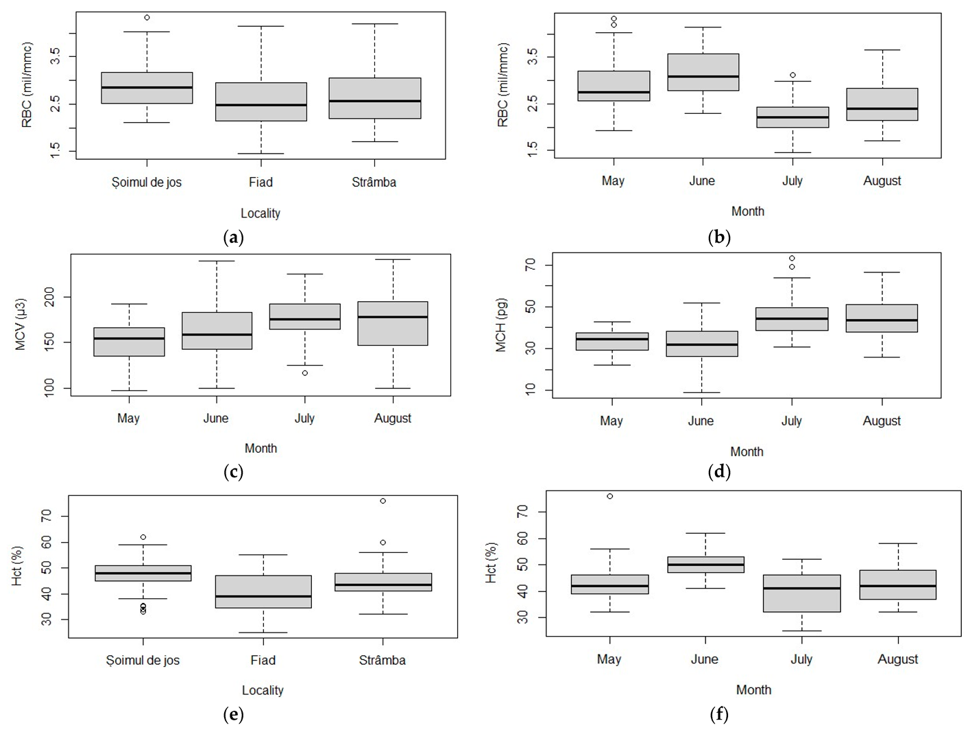
3. Results
4. Discussion
5. Conclusions
Supplementary Materials
Author Contributions
Funding
Institutional Review Board Statement
Data Availability Statement
Acknowledgments
Conflicts of Interest
References
- Food and Agriculture Organization of the United Nations. Available online: http://www.fao.org/fishery/countrysector/naso_romania/en#:~:text=In%20Romania%2C%20there%20are%20over,(mainly%20for%20inland%20waters) (accessed on 1 June 2021).
- Eurofish Magazine. Available online: https://issuu.com/eurofish/docs/eurofish_magazine_2_2019 (accessed on 1 June 2021).
- Magnoni, L.J.; Novais, S.; Eding, E.; Leguen, I.; Lemos, M.F.L.; Ozorio, R.; Geurden, I.; Prunet, P.; Schrama, J.W. Acute Stress and an Electrolyte- Imbalanced Diet, but Not Chronic Hypoxia, Increase Oxidative Stress and Hamper Innate Immune Status in a Rainbow Trout (Oncorhynchus mykiss) Isogenic Line. Front. Physiol. 2019, 10, 453. [Google Scholar] [CrossRef]
- Barton, B.A. Stress in Fishes: A Diversity of Responses with Particular Reference to Changes in Circulating Corticosteroids. Integr. Comp. Biol. 2002, 42, 517–525. [Google Scholar] [CrossRef] [PubMed]
- Berg, T.; Erikson, U.; Nordtvedt, T. Rigor Mortis Assessment of Atlantic Salmon (Salmo Salar) and Effects of Stress. J. Food Sci. 1997, 62, 439–446. [Google Scholar] [CrossRef]
- Von Herbing, I.H.; Pan, T.-C.F.; Méndez-Sánchez, F.; Gardunopaz, M.V.; Hernandezgallegos, O.; Ruiz-Gómez, M.L.; Rodríguez-Vargas, G. Chronic stress of rainbow trout Oncorhynchus mykiss at high altitude: A field study. J. Fish Biol. 2015, 87, 138–158. [Google Scholar] [CrossRef] [PubMed]
- Yonar, S.M.; Yonar, M.E.; Yöntürk, Y.; Pala, A. Effect of ellagic acid on some haematological, immunological and antioxidant parameters of rainbow trout (Oncorhynchus mykiss). J. Anim. Physiol. Anim. Nutr. 2014, 98, 936–941. [Google Scholar] [CrossRef] [PubMed]
- Řehulka, J. Haematological analyses in rainbow trout Oncorhynchus mykiss affected by viral haemorrhagic septicaemia (VHS). Dis. Aquat. Org. 2003, 56, 185–193. [Google Scholar] [CrossRef]
- Uçar, A.; Parlak, V.; Yeltekin, A.Ç.; Özgeriş, F.B.; Çağlar, Ö.; Türkez, H.; Alak, G.; Atamanalp, M. Assesment of hematotoxic, oxidative and genotoxic damage potentials of fipronil in rainbow trout Oncorhynchus mykiss, Walbaum. Toxicol. Mech. Methods 2021, 31, 73–80. [Google Scholar] [CrossRef]
- Güller, U.; Önalan, Ş.; Arabacı, M.; Karataş, B.; Yaşar, M.; Küfrevioğlu, Ö.I. Effects of different LED light spectra on rainbow trout (Oncorhynchus mykiss): In vivo evaluation of the antioxidant status. Fish Physiol. Biochem. 2020, 46, 2169–2180. [Google Scholar] [CrossRef]
- Sönmez, A.Y.; Bilen, S.; Alak, G.; Hisar, O.; Yanik, T.; Biswas, G. Growth performance and antioxidant enzyme activities in rainbow trout (Oncorhynchus mykiss) juveniles fed diets supplemented with sage, mint and thyme oils. Fish Physiol. Biochem. 2014, 41, 165–175. [Google Scholar] [CrossRef]
- Zarantoniello, M.; Bortoletti, M.; Olivotto, I.; Ratti, S.; Poltronieri, C.; Negrato, E.; Caberlotto, S.; Radaelli, G.; Bertotto, D. Salinity, Temperature and Ammonia Acute Stress Response in Seabream (Sparus aurata) Juveniles: A Multidisciplinary Study. Animals 2021, 11, 97. [Google Scholar] [CrossRef]
- Chaves-Pozo, E.; García-Ayala, A.; Cabas, I. Effects of Sex Steroids on Fish Leukocytes. Biology 2018, 7, 9. [Google Scholar] [CrossRef] [PubMed]
- Dorval, J.; Leblond, V.; Hontela, A. Oxidative stress and loss of cortisol secretion in adrenocortical cells of rainbow trout (Oncorhynchus mykiss) exposed in vitro to endosulfan, an organochlorine pesticide. Aquat. Toxicol. 2003, 63, 229–241. [Google Scholar] [CrossRef]
- Naderi, F.; Hernández-Pérez, J.; Chivite, M.; Soengas, J.L.; Míguez, J.M.; López-Patiño, M.A. Involvement of cortisol and sirtuin1 during the response to stress of hypothalamic circadian system and food intake-related peptides in rainbow trout, Oncorhynchus mykiss. Chrono Int. 2018, 35, 1–20. [Google Scholar] [CrossRef] [PubMed]
- Saulnier, R.J.; Best, C.; Kostyniuk, D.J.; Gilmour, K.M.; Lamarre, S.G. Chronic social stress alters protein metabolism in juvenile rainbow trout, Oncorhynchus mykiss. J. Comp. Physiol. B 2021, 191, 517–530. [Google Scholar] [CrossRef] [PubMed]
- Pottinger, T.; Pickering, A. The effect of cortisol administration on hepatic and plasma estradiol-binding capacity in immature female rainbow trout (Oncorhynchus mykiss). Gen. Comp. Endocrinol. 1990, 80, 264–273. [Google Scholar] [CrossRef]
- Barannikova, I.A.; Dyubin, V.P.; Bayunova, L.V.; Semenkova, T.B. Steroids in the Control of Reproductive Function in Fish. Neurosci. Behav. Physiol. 2002, 32, 141–148. [Google Scholar] [CrossRef]
- Villumsen, K.R.; Ohtani, M.; Forberg, T.; Aasum, E.; Tinsley, J.; Bojesen, A.M. Synbiotic feed supplementation significantly improves lipid utilization and shows discrete effects on disease resistance in rainbow trout (Oncorhynchus mykiss). Sci. Rep. 2020, 10, 1–12. [Google Scholar] [CrossRef]
- Yarahmadi, P.; Miandare, H.K.; Fayaz, S.; Caipang, C.M.A. Increased stocking density causes changes in expression of selected stress- and immune-related genes, humoral innate immune parameters and stress responses of rainbow trout (Oncorhynchus mykiss). Fish Shellfish Immunol. 2016, 48, 43–53. [Google Scholar] [CrossRef]
- Yousefi, M.; Paktinat, M.; Mahmoudi, N.; Pérez-Jiménez, A.; Hoseini, S.M. Serum biochemical and non-specific immune responses of rainbow trout (Oncorhynchus mykiss) to dietary nucleotide and chronic stress. Fish Physiol. Biochem. 2016, 42, 1417–1425. [Google Scholar] [CrossRef]
- Huyben, D.; Vidakovic, A.; Sundh, H.; Sundell, K.; Kiessling, A.; Lundh, T. Haematological and intestinal health parameters of rainbow trout are influenced by dietary live yeast and increased water temperature. Fish Shellfish Immunol. 2019, 89, 525–536. [Google Scholar] [CrossRef]
- Tokarz, J.; Möller, G.; de Angelis, M.H.; Adamski, J. Steroids in teleost fishes: A functional point of view. Steroids 2015, 103, 123–144. [Google Scholar] [CrossRef]
- Topal, A.; Alak, G.; Ozkaraca, M.; Yeltekin, A.C.; Comaklı, S.; Acıl, G.; Kokturk, M.; Atamanalp, M. Neurotoxic responses in brain tissues of rainbow trout exposed to imidacloprid pesticide: Assessment of 8-hydroxy-2-deoxyguanosine activity, oxidative stress and acetylcholinesterase activity. Chemosphere 2017, 175, 186–191. [Google Scholar] [CrossRef]
- Tapper, M.A.; Kolanczyk, R.C.; Lalone, C.A.; Denny, J.S.; Ankley, G.T. Conversion of Estrone to 17β-Estradiol: A Potential Confounding Factor in Assessing Risks of Environmental Estrogens to Fish. Environ. Toxicol. Chem. 2020, 39, 2028–2040. [Google Scholar] [CrossRef] [PubMed]
- Pemmasani, J.K.; Pottinger, T.G.; Cairns, M.T.; Pottinger, T. Analysis of stress-induced hepatic gene expression in rainbow trout (Oncorhynchus mykiss) selected for high- and low-responsiveness to stress. Comp. Biochem. Physiol. Part D Genom. Proteom. 2011, 6, 406–419. [Google Scholar] [CrossRef]
- Fernandes-De-Castilho, M.; Pottinger, T.G.; Volpato, G.L.; Pottinger, T. Chronic social stress in rainbow trout: Does it promote physiological habituation? Gen. Comp. Endocrinol. 2008, 155, 141–147. [Google Scholar] [CrossRef] [PubMed]
- Rebl, A.; Korytář, T.; Borchel, A.; Bochert, R.; Strzelczyk, J.E.; Goldammer, T.; Verleih, M. The synergistic interaction of thermal stress coupled with overstocking strongly modulates the transcriptomic activity and immune capacity of rainbow trout (Oncorhynchus mykiss). Sci. Rep. 2020, 10, 1–15. [Google Scholar] [CrossRef] [PubMed]
- Aller-Aqua. Available online: https://www.aller-aqua.com/species/cold-freshwater-species/rainbow-trout (accessed on 15 August 2020).
- Javahery, S.; Nekoubin, H.; Moradlu, A.H. Effect of anaesthesia with clove oil in fish (review). Fish Physiol. Biochem. 2012, 38, 1545–1552. [Google Scholar] [CrossRef]
- Sarma, P.R. Chapter 152, Red Cell Indices. In Clinical Methods: The History, Physical, and Laboratory Examinations, 3rd ed.; Walker, H.K., Hall, W.D., Hurst, J.W., Eds.; Butterworth: Boston, MA, USA, 1990. Available online: https://www.ncbi.nlm.nih.gov/books/NBK260/. (accessed on 10 August 2020).
- Lawrence, R.A.; Burk, R.F. Glutathione peroxidase activity in selenium-deficient rat liver. Biochem. Biophys. Res. Commun. 1976, 71, 952–958. [Google Scholar] [CrossRef]
- Paglia, D.E.; Valentine, W.N. Studies on the quantitative and qualitative characterization of erythrocyte glutathione peroxidase. J. Lab. Clin. Med. 1967, 70, 158–169. [Google Scholar] [CrossRef] [PubMed]
- Flohé, L.; Ötting, F. Superoxide dismutase assays. Methods Enzymol. 1984, 105, 93–104. [Google Scholar] [CrossRef] [PubMed]
- Suttle, N.F. Copper deficiency in ruminants; recent developments. Vet. Rec. 1986, 119, 519–522. [Google Scholar] [CrossRef] [PubMed]
- Wetzel, R.G. Limnology: Lake and River Ecosystems, 3rd ed.; Academic Press: San Diego, CA, USA, 2001; 1006p, ISBN 9780127447605. [Google Scholar]
- Cuculeanu, V.; Tuinea, P.; Balteanu, D. Climate change impacts in Romania: Vulnerability and adaptation options. GEOJ 2002, 57, 203–209. [Google Scholar] [CrossRef]
- Papežíková, I.; Mareš, J.; Vojtek, L.; Hyršl, P.; Marková, Z.; Šimková, A.; Bartoňková, J.; Navrátil, S.; Palíková, M. Seasonal changes in immune parameters of rainbow trout (Oncorhynchus mykiss), brook trout (Salvelinus fontinalis) and brook trout × Arctic charr hybrids (Salvelinus fontinalis × Salvelinus alpinus alpinus). Fish Shellfish Immunol. 2016, 57, 400–405. [Google Scholar] [CrossRef] [PubMed]
- Koldkjær, P.; Pottinger, T.; Perry, S.F.; Cossins, A. Seasonality of the red blood cell stress response in rainbow trout(Oncorhynchus mykiss). J. Exp. Biol. 2004, 207, 357–367. [Google Scholar] [CrossRef]
- Varol, M.; Balcı, M. Characteristics of effluents from trout farms and their impact on water quality and benthic algal assemblages of the receiving stream. Environ. Pollut. 2020, 266, 115101. [Google Scholar] [CrossRef]
- Tahar, A.; Kennedy, A.M.; Fitzgerald, R.D.; Clifford, E.; Rowan, N. Longitudinal evaluation of the impact of traditional rainbow trout farming on receiving water quality in Ireland. PeerJ 2018, 6, e5281. [Google Scholar] [CrossRef] [PubMed]
- Özdemir, N.; Demirak, A.; Keskin, F. Quality of water used during cage cultivation of rainbow trout (Oncorhynchus mykiss) in Bereket HES IV Dam Lake (Muğla, Turkey). Environ. Monit. Assess. 2014, 186, 8463–8472. [Google Scholar] [CrossRef] [PubMed]
- Lindholm-Lehto, P.; Pulkkinen, J.; Kiuru, T.; Koskela, J.; Vielma, J. Water quality in recirculating aquaculture system using woodchip denitrification and slow sand filtration. Environ. Sci. Pollut. Res. 2020, 27, 17314–17328. [Google Scholar] [CrossRef]
- Capkin, E.; Altinok, I.; Karahan, S. Water quality and fish size affect toxicity of endosulfan, an organochlorine pesticide, to rainbow trout. Chemosphere 2006, 64, 1793–1800. [Google Scholar] [CrossRef]
- Galezan, F.H.; Bayati, M.R.; Safari, O.; Rohani, A. Modeling oxygen and organic matter concentration in the intensive rainbow trout (Oncorhynchus mykiss) rearing system. Environ. Monit. Assess. 2020, 192, 223. [Google Scholar] [CrossRef] [PubMed]
- Ihuț, A.; Răducu, C.; Cocan, D.; Munteanu, C.; Luca, I.; Uiuiu, P.; Lațiu, C.; Rus, V.; Mireșan, V. Seasonal variation of blood biomarkers in huchen, Hucho hucho (Actinopterygii: Salmoniformes: Salmonidae) reared in captivity. Acta Ichthyol. Piscat. 2020, 50, 381–390. [Google Scholar] [CrossRef]
- Mumford, S.; Heidel, J.; Smith, C.; Morrison, J.; Macconnell, B.; Blazer, V. Fish Histology and Histopathology Manual, 2007 USFWS-NCTC. Available online: https://nctc.fws.gov/resources/course-resources/fish-histology/ (accessed on 22 October 2020).
- Solomon, S.G.; Okomoda, V.T. Effects of Photoperiod on the haematological parameters of Clarias gariepinus fingerlings reared in water recirculatory System. J. Stress Physio. Biochem 2012, 8, 247–253. [Google Scholar]
- Fazio, F.; Saoca, C.; Piccione, G.; Kesbiç, O.S.; Acar, Ü. Comparative study of some hematological and biochemical parameters of Italian and Turkish farmed Rainbow Trout Oncorhynchus Mykiss (Walbaum, 1792). J. Fisheries Aquatic Sci. 2016, 16, 715–721. [Google Scholar] [CrossRef]
- Lone, G.N.; Shammi, Q.J.; Mir, S.A.; Sheikh, I.A.; Chalkoo, S.R. Rainbow Trout Haematology Coinciding With Metabolic Requirement. Walailak J. Sci. Tech. 2012, 9, 309–316. [Google Scholar]
- Ihuț, A.; Raducu, C.; Laţiu, C.; Cocan, D.; Uiuiu, P.; Miresan, V. The Influence of Season Variation on Hematological Parameters and Oxidative Stress for Rainbow Trout (Oncorhynchus mykiss). Bull. Univ. Agric. Sci. Vet. Med. Cluj-Napoca. Anim. Sci. Biotechnol. 2018, 75, 11–15. [Google Scholar] [CrossRef]
- Castex, M.; Lemaire, P.; Wabete, N.; Chim, L. Effect of probiotic Pediococcus acidilactici on antioxidant defences and oxidative stress of Litopenaeus stylirostris under Vibrio nigripulchritudo challenge. Fish Shellfish Immunol. 2010, 28, 622–631. [Google Scholar] [CrossRef]
- Kim, J.-H.; Kim, S.K.; Hur, Y.B. Hematological parameters and antioxidant responses in olive flounder Paralichthys olivaceus in biofloc depend on water temperature. J. Therm. Biol. 2019, 82, 206–212. [Google Scholar] [CrossRef]
- Qiang, J.; Zhong, C.Y.; Bao, J.W.; Liang, M.; Liang, C.; Li, H.X.; He, J.; Xu, P. The effects of temperature and dissolved oxygen on the growth, survival and oxidative capacity of newly hatched hybrid yellow catfish larvae (Tachysurus fulvidraco♀ × Pseudobagrus vachellii♂). J. Therm. Biol. 2019, 86, 102436. [Google Scholar] [CrossRef]
- Sahin, K.; Yazlak, H.; Orhan, C.; Tuzcu, M.; Akdemir, F.; Sahin, N. The effect of lycopene on antioxidant status in rainbow trout (Oncorhynchus mykiss) reared under high stocking density. Aquaculture 2014, 418-419, 132–138. [Google Scholar] [CrossRef]
- Ritola, O.; Tossavainen, K.; Kiuru, T.; Lindstrom-Seppa, P.; Molsa, H. Effects of continuous and episodic hyperoxia on stress and hepatic glutathione levels in one-summer-old rainbow trout (Oncorhynchus mykiss). J. Appl. Ichthyol. 2002, 18, 159–164. [Google Scholar] [CrossRef]
- Bonga, S.E.W. The stress response in fish. Physiol. Rev. 1997, 77, 591–625. [Google Scholar] [CrossRef] [PubMed]
- Goikoetxea, A.; Todd, E.; Gemmell, N.J. Stress and sex: Does cortisol mediate sex change in fish? Reproduction 2017, 154, R149–R160. [Google Scholar] [CrossRef] [PubMed]
- Martínez-Porchas, M.; Martinez-Cordova, L.R.; Ramos-Enriquez, R. Cortisol and Glucose: Reliable indicators of fish stress? Pan-Am. J. Aquat. Sci. 2009, 4, 158–178. [Google Scholar]
- Hall, J.M.; Couse, J.F.; Korach, K. The Multifaceted Mechanisms of Estradiol and Estrogen Receptor Signaling. J. Biol. Chem. 2001, 276, 36869–36872. [Google Scholar] [CrossRef]
- Hou, Y.; Suzuki, Y.; Aida, K. Effects of steroid hormones on immunoglobulin M (IgM) in rainbow trout, Oncorhynchus mykiss. Fish Physiol. Biochem. 1999, 20, 155–162. [Google Scholar] [CrossRef]
- Pottinger, T.; Carrick, T.; Hughes, S.; Balm, P. Testosterone, 11-Ketotestosterone, and Estradiol-17β Modify Baseline and Stress-Induced Interrenal and Corticotropic Activity in Trout. Gen. Comp. Endocrinol. 1996, 104, 284–295. [Google Scholar] [CrossRef]
- Hou, Z.-S.; Wen, H.-S.; Li, J.-F.; He, F.; Li, Y.; Tao, Y.-X. Hypothalamus-pituitary-gonad axis of rainbow trout (Oncorhynchus mykiss) during early ovarian development and under dense rearing condition. Gen. Comp. Endocrinol. 2016, 236, 131–138. [Google Scholar] [CrossRef] [PubMed]
- Slater, C.H.; Schreck, C.B. Testosterone Alters the Immune Response of Chinook Salmon, Oncorhynchus tshawytscha. Gen. Comp. Endocrinol. 1993, 89, 291–298. [Google Scholar] [CrossRef] [PubMed]
- Cleveland, B.; Weber, G. Effects of steroid treatment on growth, nutrient partitioning, and expression of genes related to growth and nutrient metabolism in adult triploid rainbow trout (Oncorhynchus mykiss). Domest. Anim. Endocrinol. 2016, 56, 1–12. [Google Scholar] [CrossRef] [PubMed]






| Chemical Composition (%) | Pellet 4.5 mm |
|---|---|
| Crude protein (%) | 42–44 |
| Crude fat (%) | 28–30 |
| NFE (%) | 12.5–15.5 |
| Ash (%) | 6.0–8.0 |
| Fiber (%) | 0.7–1.9 |
| Phosphorus (%) | 0.9 |
| Gross energy (MJ) | 23.9–26.9 |
| Digestible energy (MJ) | 21.6 |
| Parameter 1 | PC1 Axis | PC2 Axis |
|---|---|---|
| Red blood cell count (RBC) | 0.43 | 0.40 |
| Cortisol (F) | 0.35 | −0.03 |
| Estradiol (E2) | 0.25 | −0.20 |
| Mean corpuscular volume (MCV) | −0.45 | −0.03 |
| Mean corpuscular hemoglobin (MCH) | −0.54 | −0.17 |
| Glutathione peroxidase (GPx) | −0.11 | 0.41 |
| Superoxide dismutase (SOD) | −0.11 | 0.43 |
| Hematocrit (Hct) | 0.03 | 0.41 |
| Testosterone (T) | −0.17 | 0.38 |
| Hemoglobin (Hb) | −0.29 | 0.22 |
| Progesterone (PROG) | −0.05 | 0.14 |
| Type of Comparison | Variables | Effect | DF | χ2 Value/F Value | p Value |
|---|---|---|---|---|---|
| Kruskal–Wallis test | Glutathione peroxidase (GPx) | farm | 2 | 7.79 | 0.020 |
| month | 3 | 150.15 | <0.001 | ||
| Cortisol (F) | farm | 2 | 19.27 | <0.001 | |
| month | 3 | 64.86 | <0.001 | ||
| Estradiol (E2) | farm | 2 | 0.08 | 0.961 | |
| month | 3 | 24.62 | <0.001 | ||
| Testosterone (T) | farm | 2 | 8.33 | 0.016 | |
| month | 3 | 63.07 | <0.001 | ||
| Red blood cells count (RBC) | farm | 2 | 12.19 | 0.002 | |
| month | 3 | 66.39 | <0.001 | ||
| Mean corpuscular hemoglobin (MCH) | farm | 2 | 0.31 | 0.856 | |
| month | 3 | 62.88 | <0.001 | ||
| Hematocrit (Hct) | farm | 2 | 30.67 | <0.001 | |
| month | 3 | 43.23 | <0.001 | ||
| Two-way ANOVA | Superoxide dismutase (SOD) | farm | 2 | 0.45 | 0.641 |
| month | 3 | 40.27 | <0.001 | ||
| Interaction | 6 | 3.83 | 0.001 | ||
| Mean corpuscular volume (MCV) | farm | 2 | 3.64 | 0.028 | |
| month | 3 | 7.45 | <0.001 | ||
| Interaction | 6 | 3.85 | 0.001 |
Publisher’s Note: MDPI stays neutral with regard to jurisdictional claims in published maps and institutional affiliations. |
© 2021 by the authors. Licensee MDPI, Basel, Switzerland. This article is an open access article distributed under the terms and conditions of the Creative Commons Attribution (CC BY) license (https://creativecommons.org/licenses/by/4.0/).
Share and Cite
Uiuiu, P.; Lațiu, C.; Păpuc, T.; Craioveanu, C.; Ihuț, A.; Sava, A.; Răducu, C.; Șonea, C.; Constantinescu, R.; Cocan, D.; et al. Multi-Approach Assessment for Stress Evaluation in Rainbow Trout Females, Oncorhynchus mykiss (Walbaum, 1792) from Three Different Farms during the Summer Season. Animals 2021, 11, 1810. https://doi.org/10.3390/ani11061810
Uiuiu P, Lațiu C, Păpuc T, Craioveanu C, Ihuț A, Sava A, Răducu C, Șonea C, Constantinescu R, Cocan D, et al. Multi-Approach Assessment for Stress Evaluation in Rainbow Trout Females, Oncorhynchus mykiss (Walbaum, 1792) from Three Different Farms during the Summer Season. Animals. 2021; 11(6):1810. https://doi.org/10.3390/ani11061810
Chicago/Turabian StyleUiuiu, Paul, Călin Lațiu, Tudor Păpuc, Cristina Craioveanu, Andrada Ihuț, Alexandru Sava, Camelia Răducu, Cosmin Șonea, Radu Constantinescu, Daniel Cocan, and et al. 2021. "Multi-Approach Assessment for Stress Evaluation in Rainbow Trout Females, Oncorhynchus mykiss (Walbaum, 1792) from Three Different Farms during the Summer Season" Animals 11, no. 6: 1810. https://doi.org/10.3390/ani11061810
APA StyleUiuiu, P., Lațiu, C., Păpuc, T., Craioveanu, C., Ihuț, A., Sava, A., Răducu, C., Șonea, C., Constantinescu, R., Cocan, D., & Mireșan, V. (2021). Multi-Approach Assessment for Stress Evaluation in Rainbow Trout Females, Oncorhynchus mykiss (Walbaum, 1792) from Three Different Farms during the Summer Season. Animals, 11(6), 1810. https://doi.org/10.3390/ani11061810

