Spatial–Temporal Distribution of Megamouth Shark, Megachasma pelagios, Inferred from over 250 Individuals Recorded in the Three Oceans
Abstract
Simple Summary
Abstract
1. Introduction
2. Materials and Methods
2.1. Data Collection and Integration
2.2. Bycatch in Taiwan Fisheries
2.3. Meristic Measurement
2.4. Maturity Stage and Distribution
2.5. Data Analysis
3. Results
3.1. Global Distribution
3.2. Size and Sex Distribution in the Three Oceans
3.3. BW–TL Relation and Conversion Equations
3.4. Spatial–Temporal Distribution
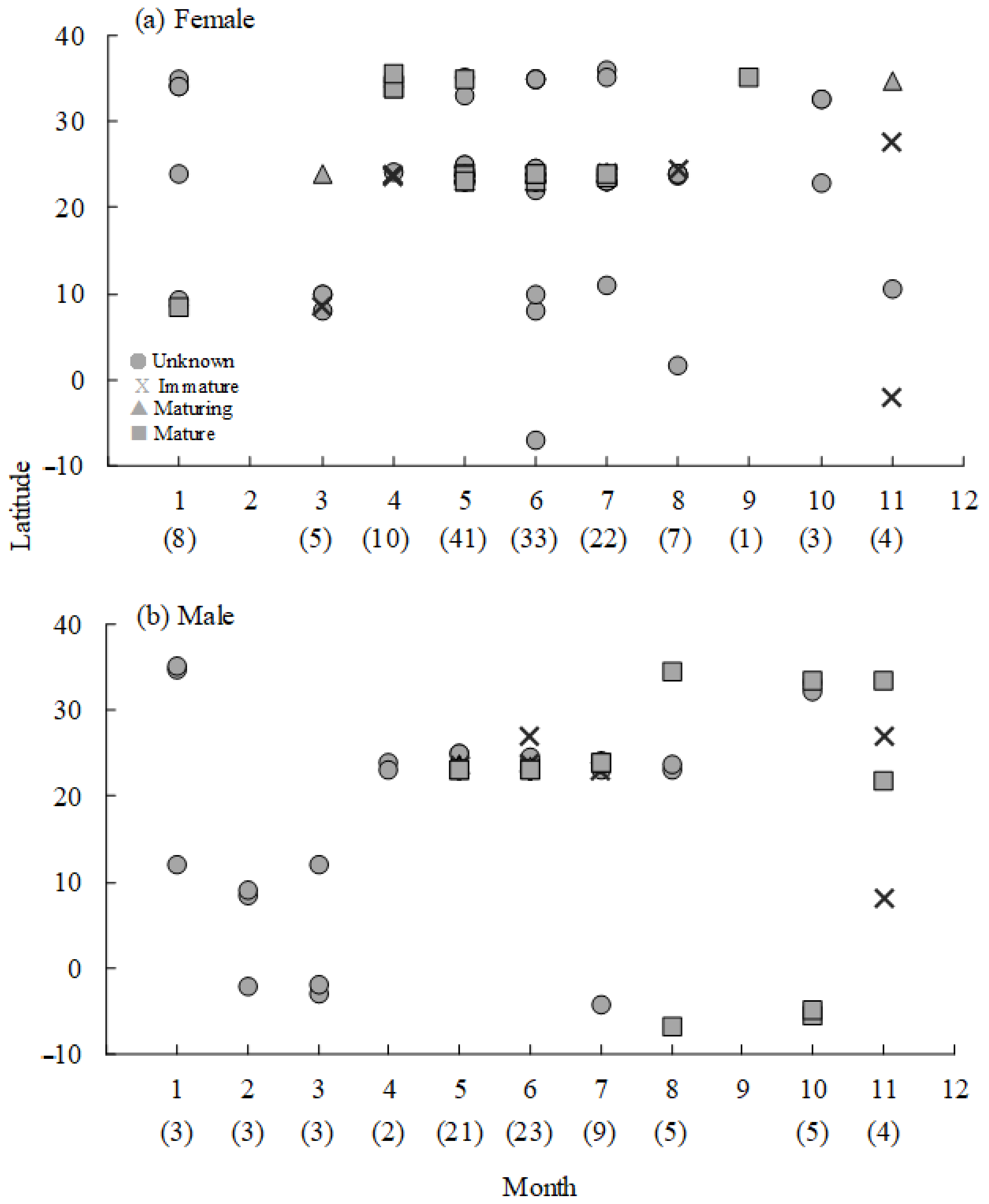
3.4.1. Horizontal Distribution
3.4.2. Vertical Distribution
4. Discussion
5. Conclusions
Supplementary Materials
Author Contributions
Funding
Acknowledgments
Conflicts of Interest
References
- Taylor, L.R.; Compagno, L.J.V.; Struhsaker, P.J. Megamouth—A new species, genus, and family of lamnoid shark (Megachasma pelagios, family Megachasmidae) from the Hawaiian Islands. Proc. Calif. Acad. Sci. 1983, 43, 87–110. [Google Scholar]
- Compagno, L.J.V. Sharks of the World: An Annotated and Illustrated Catalogue of Shark Species Known to Date: Bullhead, Mackerel and Carpet Sharks (Heterodontiformes, Lamniformes and Orectolobiformes); FAO Species Identification Guides for Fishery Purposes; Food and Agriculture Organization of the United Nations: Rome, Italy, 2001; Volume 2, p. 269. [Google Scholar]
- Nakaya, K. Biology of the megamouth shark, Megachasma pelagios (Lamniformes: Megachasmidae). In Proceedings of the International Symposium, into the Unknown, Researching Mysterious Deep-Sea Animals, Okinawa, Japan, 23–24 February 2007; pp. 69–83. [Google Scholar]
- Rodriguez-Ferrer, G.; Wetherbee, B.M.; Schärer, M.; Lilyestrom, C.; Zegarra, J.P.; Shivji, M. First record of the megamouth shark, Megachasma pelagios, (family Megachasmidae) in the tropical western North Atlantic Ocean. Mar. Biodivers. Rec. 2017, 10, 20. [Google Scholar] [CrossRef]
- Martínez-Ortiz, J.; Mendoza-Intriago, D.; Tigrero-Gonzalez, W.; Flores-Rivera, G.; López-Parraga, R. New records of megamouth shark, Megachasma pelagios off Ecuador, Eastern Pacific Ocean. Cienc. Pesq. 2017, 25, 27–30. [Google Scholar]
- Watanabe, Y.Y.; Papastamatiou, Y.P. Distribution, body size and biology of the megamouth shark Megachasma pelagios. J. Fish Biol. 2019, 95, 992–998. [Google Scholar] [CrossRef]
- Kelez, S.; Napuri, R.M.; Pfennig, A.M.; Martinez, O.C.; Carrasco, A.T. First reports of Megamouth Shark, Megachasma pelagios Taylor, Compagno & Struhsaker, 1983 (Lamniformes, Megachasmidae), in Peru. Check List 2020, 16, 1361–1367. [Google Scholar] [CrossRef]
- Acuña-Perales, N.; Córdova-Zavaleta, F.; Alfaro-Shigueto, J.; Mangel, J.C. First records of the megamouth shark Megachasma pelagios (Taylor, Compagno & Struhsaker, 1983) as bycatch in Peruvian small-scale net fisheries. Mar. Biodivers. Rec. 2021, 14, 1. [Google Scholar] [CrossRef]
- Ebert, D.A.; Dando, M.; Fowler, S. Sharks of the World: A Complete Guide; Princeton University Press: Princeton, NJ, USA, 2021; p. 607. [Google Scholar]
- Séret, B. Première capture d’un requin grande gueule (Chondrichthyes, Megachasmidae) dans l’Atlantique, au large du Sénégal. Cybium 1995, 19, 425–427. [Google Scholar]
- White, W.T.; Fahmi, M.A.; Sumadhiharga, K. A juvenile megamouth shark Megachasma pelagios (Lamniformes: Megachasmidae) from Northern Sumatra, Indonesia. Raffles Bull. Zool. 2004, 52, 603–607. [Google Scholar]
- Fernando, D.; Perera, N.; Ebert, D.A. First record of the megamouth shark, Megachasma pelagios, (Chondrichthyes: Lamniformes: Megachasmidae) from Sri Lanka, Northern Indian Ocean. Mar. Biodivers. Rec. 2015, 8, e75. [Google Scholar] [CrossRef]
- Castro, J.I.; Clark, E.; Yano, K.; Nakaya, K. The Gross anatomy of the female reproductive tract and associated organs of the Fukuoka megamouth shark (Megachasma pelagios). In Biology of the Magamouth Shark; Yano, K., Morrissey, J.F., Yabumoto, Y., Nakaya, K., Eds.; Tokai University Press: Tokyo, Japan, 1997; pp. 115–119. [Google Scholar]
- Nakaya, K.; Matsumoto, R.; Suda, K. Feeding strategy of the megamouth shark Megachasma pelagios (Lamniformes: Megachasmidae). J. Fish Biol. 2008, 73, 17–34. [Google Scholar] [CrossRef]
- Sawamoto, S.; Matsumoto, R. Stomach contents of a megamouth shark Megachasma pelagios from the Kuroshio Extension: Evidence for feeding on a euphausiid swarm. Plankton Benthos Res. 2012, 7, 203–206. [Google Scholar] [CrossRef][Green Version]
- Kyne, P.M.; Liu, K.M.; Simpfendorfer, C. Megachasma Pelagios. In The IUCN Red List of Threatened Species; IUCN Global Species Programme Red List Unit: Cambridge, UK, 2018. [Google Scholar] [CrossRef]
- Ishida, H.; Miyamoto, H.; Kajino, T.; Nakayasu, H.; Nukaya, H.; Tsuji, K. Study on the Bile Salt from Megamouth Shark. I. The Structures of a New Bile Alcohol, 7-Deoxyscymnol, and Its New Sodium Sulfates. Chem. Pharm. Bull. 1996, 44, 1289–1292. [Google Scholar] [CrossRef][Green Version]
- Martin, A.P.; Naylor, G.J. Independent origins of filter-feeding in megamouth and basking sharks (order Lamniformes) inferred from phylogenetic analysis of cytochrome b gene sequences. In Biology of the Magamouth Shark; Yano, K., Morrissey, J.F., Yabumoto, Y., Nakaya, K., Eds.; Tokai University Press: Tokyo, Japan, 1997; pp. 39–50. [Google Scholar]
- Nelson, D.R.; McKibben, J.N.; Strong, W.R.; Lowe, C.G.; Sisneros, J.; Schroeder, D.M.; Lavenberg, R.J. An acoustic tracking of a megamouth shark, Megachasma pelagios: A crepuscular vertical migrator. Environ. Boil. Fishes 1997, 49, 389–399. [Google Scholar] [CrossRef]
- Yano, K.; Toda, M.; Uchida, S.; Yasuzumi, F. Gross anatomy of the viscera and stomach contents of a megamouth shark, Megachasma pelagios, from Hakata Bay, Japan, with a comparison of the intestinal structure of other planktivorous elasmobranchs. In Biology of the Magamouth Shark; Yano, K., Morrissey, J.F., Yabumoto, Y., Nakaya, K., Eds.; Tokai University Press: Tokyo, Japan, 1997; pp. 105–113. [Google Scholar]
- Chang, C.-H.; Shao, K.-T.; Lin, Y.-S.; Chiang, W.-C.; Jang-Liaw, N.-H. Complete mitochondrial genome of the megamouth shark Megachasma pelagios (Chondrichthyes, Megachasmidae). Mitochondrial DNA 2013, 25, 185–187. [Google Scholar] [CrossRef]
- Tomita, T.; Tanaka, S.; Sato, K.; Nakaya, K. Pectoral Fin of the Megamouth Shark: Skeletal and Muscular Systems, Skin Histology, and Functional Morphology. PLoS ONE 2014, 9, e86205. [Google Scholar] [CrossRef] [PubMed]
- Liu, S.Y.V.; Joung, S.J.; Yu, C.-J.; Hsu, H.-H.; Tsai, W.-P.; Liu, K.M. Genetic diversity and connectivity of the megamouth shark (Megachasma pelagios). PeerJ 2018, 6, e4432. [Google Scholar] [CrossRef]
- Duchatelet, L.; Moris, V.C.; Tomita, T.; Mahillon, J.; Sato, K.; Behets, C.; Mallefet, J. The megamouth shark, Megachasma pelagios, is not a luminous species. PLoS ONE 2020, 15, e0242196. [Google Scholar] [CrossRef]
- Ju, Y.-R.; Chen, C.-F.; Chen, C.-W.; Wang, M.-H.; Joung, S.-J.; Yu, C.-J.; Liu, K.-M.; Tsai, W.-P.; Liu, S.Y.V.; Dong, C.-D. Profile and consumption risk assessment of trace elements in megamouth sharks (Megachasma pelagios) captured from the Pacific Ocean to the east of Taiwan. Environ. Pollut. 2020, 269, 116161. [Google Scholar] [CrossRef]
- Florida Museum. Available online: https://www.floridamuseum.ufl.edu/discover-fish/sharks/megamouths/ (accessed on 1 September 2021).
- Sharkmans-World. Available online: https://sharkmans-world.blogspot.com/ (accessed on 1 September 2021).
- Summary of Megamouth Sharks. Available online: http://elasmollet.org/Mp/Mplist.html (accessed on 1 September 2021).
- Japanese Society for Elasmobranch Studies. Available online: http://www.jses.info/index.html (accessed on 1 September 2021).
- Taiwan Fisheries Agency; Council of Agriculture. Available online: https://www.fa.gov.tw/cht/index.aspx (accessed on 1 September 2021).
- Baremore, I.E.; Hale, L.F. Reproduction of the Sandbar Shark in the Western North Atlantic Ocean and Gulf of Mexico. Mar. Coast. Fish. 2012, 4, 560–572. [Google Scholar] [CrossRef]
- Goodwin, N.B.; Dulvy, N.K.; Reynolds, J.D. Life-history correlates of the evolution of live bearing in fishes. Philos. Trans. R. Soc. Ser. B Biol. Sci. 2002, 357, 259–267. [Google Scholar] [CrossRef]
- Matthews, L.H. Reproduction in the basking shark, Cetorhinus maximus (Gunner). Philos. Trans. R. Soc. Ser. B Biol. Sci. 1950, 234, 247–316. [Google Scholar]
- Tanaka, S.; Yano, K. Histological observations on the reproductive organs of a female megamouth shark, Megachasma pelagios, from Hakata Bay, Japan. In Biology of the Magamouth Shark; Yano, K., Morrissey, J.F., Yabumoto, Y., Nakaya, K., Eds.; Tokai University Press: Tokyo, Japan, 1997; pp. 121–129. [Google Scholar]
- Wigley, S.E.; McBride, H.M.; McHugh, N.J. Length-Weight Relationships for 74 Fish Species Collected during NEFSC Research Vessel Bottom Trawl Surveys; NOAA Technical Memorandum NMFS-NE 171; Northeast Fisheries Science Center: Woods Hole, MA, USA, 2003; pp. 1992–1999. [Google Scholar]
- Hsu, H.H.; Joung, S.J.; Liu, K.M. Fisheries, management and conservation of the whale shark Rhincodon typus in Taiwan. J. Fish Biol. 2012, 80, 1595–1607. [Google Scholar] [CrossRef] [PubMed]
- Robbins, R.L. Environmental variables affecting the sexual segregation of great white sharks Carcharodon carcharias at the Neptune Islands South Australia. J. Fish Biol. 2007, 70, 1350–1364. [Google Scholar] [CrossRef]
- Borrell, A.; Aguilar, A.; Gazo, M.; Kumarran, R.P.; Cardona, L. Stable isotope profiles in whale shark (Rhincodon typus) suggest segregation and dissimilarities in the diet depending on sex and size. Environ. Boil. Fishes 2011, 92, 559–567. [Google Scholar] [CrossRef]
- Klimley, A.P. The determinants of sexual segregation in the scalloped hammerhead shark, Sphyrna lewini. Environ. Boil. Fishes 1987, 18, 27–40. [Google Scholar] [CrossRef]
- Mucientes, G.R.; Queiroz, N.; Sousa, L.L.; Tarroso, P.; Sims, D. Sexual segregation of pelagic sharks and the potential threat from fisheries. Biol. Lett. 2009, 5, 156–159. [Google Scholar] [CrossRef] [PubMed]
- Marshall, A.D.; Bennett, M.B. Reproductive ecology of the reef manta ray Manta alfredi in southern Mozambique. J. Fish Biol. 2010, 77, 169–190. [Google Scholar] [CrossRef]
- Carey, F.G.; Teal, J.M. Mako and porbeagle: Warm-bodied sharks. Comp. Biochem. Physiol. 1969, 28, 199–204. [Google Scholar] [CrossRef]
- Carey, F.G.; Casey, J.G.; Pratt, H.L.; Urquhart, D.; McCosker, J.E. Temperature, heat production, and heat exchange in lamnid sharks. Mem. South. Calif. Acad. Sci. 1985, 9, 92–108. [Google Scholar]
- Goldman, K.J.; Anderson, S.D.; Latour, R.J.; Musick, J.A. Homeothermy in adult salmon sharks, Lamna ditropis. Environ. Boil. Fishes 2004, 71, 403–411. [Google Scholar] [CrossRef]
- Carlisle, A.B.; Goldman, K.J.; Litvin, S.Y.; Madigan, D.J.; Bigman, J.S.; Swithenbank, A.M.; Thomas, C.; Kline, T.C.; Block, B.A. Stable isotope analysis of vertebrae reveals ontogenetic changes in habitat in an endothermic pelagic shark. Proc. R. Soc. Ser. B Biol. Sci. 2015, 282, 20141446. [Google Scholar] [CrossRef] [PubMed]
- Guzman, H.M.; Gomez, C.G.; Hearn, A.; Eckert, S.A. Longest recorded trans-Pacific migration of a whale shark (Rhincodon typus). Mar. Biodivers. Rec. 2018, 11, 8. [Google Scholar] [CrossRef]
- Bayliff, W.H.; Ishizuki, Y.; Deriso, R.B. Growth, movement, and attrition of northern bluefin tuna, Thunnus thynnus, in the Pacific Ocean, as determined by tagging. Inter Am. Trop. Tuna Comm. Bull. 1991, 20, 1–94. [Google Scholar]
- Dewar, H.; Thys, T.; Teo, S.L.H.; Farwell, C.; O’Sullivan, J.; Tobayama, T.; Soichi, M.; Nakatsubo, T.; Kondo, Y.; Okada, Y.; et al. Satellite tracking the world’s largest jelly predator, the ocean sunfish, Mola mola, in the Western Pacific. J. Exp. Mar. Biol. Ecol. 2010, 393, 32–42. [Google Scholar] [CrossRef]
- Teague, W.J.; Shiller, A.M.; Hallock, Z.R. Hydrographic section aeross the Kuroshio near 35° N, 143° E. J. Geophys. Res. Ocean. 1994, 99, 7639–7650. [Google Scholar] [CrossRef]
- Chen, C.-T.; Liu, K.-M.; Chang, Y.-C. Reproductive biology of the bigeye thresher shark, Alopias superciliosus (Lowe, 1839) (Chondrichthyes: Alopiidae), in the northwestern Pacific. Ichthyol. Res. 1997, 44, 227–235. [Google Scholar] [CrossRef]
- Wilson, S.G.; Taylor, J.G.; Pearce, A.F. The Seasonal Aggregation of Whale Sharks at Ningaloo Reef, Western Australia: Currents, Migrations and the El Niño/Southern Oscillation. Environ. Boil. Fishes 2001, 61, 1–11. [Google Scholar] [CrossRef]
- Tang, T.; Tai, J.-H.; Yang, Y.-J. The flow pattern north of Taiwan and the migration of the Kuroshio. Cont. Shelf Res. 2000, 20, 349–371. [Google Scholar] [CrossRef]
- Thums, M.; Meekan, M.; Stevens, J.; Wilson, S.; Polovina, J. Evidence for behavioural thermoregulation by the world’s largest fish. J. R. Soc. Interface 2013, 10, 20120477. [Google Scholar] [CrossRef]
- Gore, M.A.; Rowat, D.; Hall, J.; Gell, F.R.; Ormond, R.F. Transatlantic migration and deep mid-ocean diving by basking shark. Biol. Lett. 2008, 4, 395–398. [Google Scholar] [CrossRef] [PubMed]
- Araujo, G.; Labaja, J.; Snow, S.; Huveneers, C.; Ponzo, A. Changes in diving behaviour and habitat use of provisioned whale sharks: Implications for management. Sci. Rep. 2020, 10, 16951. [Google Scholar] [CrossRef] [PubMed]
- Amorim, A.F.; Arfelli, C.A.; Castro, J.I. Description of a Juvenile Megamouth Shark, Megachasma pelagios, Caught off Brazil. Environ. Boil. Fishes 2000, 59, 117–123. [Google Scholar] [CrossRef]
- Nakagawa, Y.; Endo, Y.; Sugisaki, H. Feeding rhythm and vertical migration of the euphausiid Euphausia pacifica in coastal waters of north-eastern Japan during fall. J. Plankton Res. 2003, 25, 633–644. [Google Scholar] [CrossRef][Green Version]
- Potter, I.F.; Howell, W.H. Vertical movement and behavior of the ocean sunfish, Mola mola, in the northwest Atlantic. J. Exp. Mar. Biol. Ecol. 2010, 396, 138–146. [Google Scholar] [CrossRef]
- Chang, C.-T.; Lin, S.-J.; Chiang, W.-C.; Musyl, M.K.; Lam, C.-H.; Hsu, H.-H.; Chang, Y.-C.; Ho, Y.-S.; Tseng, C.-T. Horizontal and vertical movement patterns of sunfish off eastern Taiwan. Deep Sea Res. Part II Top. Stud. Oceanogr. 2019, 175, 104683. [Google Scholar] [CrossRef]
- Lavenberg, R.J.; Seigel, J.A. The Pacific’s megamystery—Megamouth. Terra 1985, 23, 29–31. [Google Scholar]
- Berra, T.M.; Hutchins, J.B. A specimen of megamouth shark, Megachasma pelagios (Megachasmidae) from Western Australia. Rec. West. Aust. Mus. 1990, 14, 651–656. [Google Scholar]
- Nakaya, K. Discovery of a megamouth shark from Japan. Jpn. J. Ichthyol. 1989, 36, 144–146. [Google Scholar] [CrossRef]
- Miya, M.; Hirosawa, M.; Mochizuki, K. Occurrence of a megachasmid shark in Suruga Bay: Photographic evidence. J. Nat. Hist. Mus. Inst. 1992, 2, 41–44. [Google Scholar]
- Takada, K.; Hiruda, H.; Wakisaka, S.; Mori, T.; Nakaya, K. Capture of the first female megamouth shark, Megachasma pelagios, from Hakata Bay, Fukuoka, Japan. In Biology of the Magamouth Shark; Yano, K., Morrissey, J.F., Yabumoto, Y., Nakaya, K., Eds.; Tokai University Press: Tokyo, Japan, 1997; pp. 3–9. [Google Scholar]
- Yano, K.; Yabumoto, Y.; Tanaka, S.; Tsukada, O.; Furuta, M. Capture of a mature female megamouth shark, Megachasma pelagios, from Mie, Japan. In Proceedings of the 5th Indo-Pacific Conference, Nouméa, New Caledonia, 3–8 November 1997; pp. 335–349. [Google Scholar]
- Smale, M.J.; Compagno, L.J.V.; Human, B.A. First megamouth shark from the western Indian Ocean and South Africa: News & views. S. Afr. J. Sci. 2002, 98, 349–350. [Google Scholar]
- Lee, P.F.; Shao, K.T. Two new records of Lamniform shark from the waters adjacent to Taiwan. J. Fish. Soc. Taiwan 2009, 36, 303–311. [Google Scholar]
- Tanaka, T.; Noguchi, F.; Tanaka, S. Dentition of a male megamouth shark, Megachasma pelagios from Suruga Bay, Japan, with a comparison of the fossil shark teeth from Chile. Rep. Jpn. Soc. Elasmobranch Stud. 2004, 40, 31–37. [Google Scholar]
- Iida, M. Catch of megamouth shark by set net in Sagami Bay. Rep. Jpn. Soc. Elasmobranch Stud. 2004, 40, 38–40. [Google Scholar]
- Castillo-Géniz, J.L.; Ocampo-Torres, A.I.; Shimada, K.; Rigsby, C.K.; Nicholas, A.C. Juvenile megamouth shark, Megachasma pelagios, caught off the Pacific coast of Mexico, and its significance to chondrichthyan diversity in Mexico. Cienc. Mar. 2012, 38, 467–474. [Google Scholar] [CrossRef]
- De Moura, J.F.; Merico, A.; Montone, R.C.; Silva, J.; Seixas, T.G.; de Oliveira Godoy, J.M.; Pierre, T.D.; Hauser-Davis, R.A.; Di Beneditto, A.P.M.; Reis, E.C.; et al. Assessment of trace elements, POPs, 210Po and stable isotopes (15N and 13C) in a rare filter-feeding shark: The megamouth. Mar. Pollut. Bull. 2015, 95, 402–406. [Google Scholar] [CrossRef]
- Senou, H.; Taru, H.; Tanaka, S. Record of a megamouth shark, Megachasma pelagios (Elasmobranchii: Megachasmidae), from Sagami Bay. Rep. Jpn. Soc. Elasmobranch Stud. 2012, 48, 21–27. [Google Scholar]
- Asahi Shimbun. Available online: https://www.asahi.com/ (accessed on 1 September 2021).
- Misawa, R.; Wada, J.; Kitadani, Y.; Nishida, K.; Kai, Y.; Mizumachi, K.; Endo, H. A checklist of sharks based on voucher specimens and photographs from Kochi Prefecture (southern Shikoku Island, Japan). Rep. Jpn. Soc. Elasmobranch Stud. 2019, 55, 31–54. [Google Scholar]
- Elusive Megamouth Shark Snared in Mexico. Available online: http://weareseaborn.blogspot.com/2011/09/elusive-megamouth-shark-snared-in.html (accessed on 1 September 2021).
- Tanaka, S.; Horie, T.; Yuki, Y. Occurrence and catch records of megamouth shark, Megachasma pelagios in Japan from 2013 to 2014. Rep. Jpn. Soc. Elasmobranch Stud. 2014, 50, 35–39. [Google Scholar]
- Senou, H. The largest megamouth shark in Japan collected from Sagami Bay. Rep. Jpn. Soc. Elasmobranch Stud. 2013, 49, 18–20. [Google Scholar]
- Fujii, M. Bycatch of megamouth shark by a set net in the east coast of Izu. Rep. Jpn. Soc. Elasmobranch Stud. 2015, 51, 21–23. [Google Scholar]
- Chukyo TV. Available online: https://www.ctv.co.jp/indexmenu.html (accessed on 1 September 2021).








| Publisher’s Note: MDPI stays neutral with regard to jurisdictional claims in published maps and institutional affiliations. | 
© 2021 by the authors. Licensee MDPI, Basel, Switzerland. This article is an open access article distributed under the terms and conditions of the Creative Commons Attribution (CC BY) license (https://creativecommons.org/licenses/by/4.0/).
Share and Cite
Yu, C.-J.; Joung, S.-J.; Hsu, H.-H.; Lin, C.-Y.; Hsieh, T.-C.; Liu, K.-M.; Yamaguchi, A. Spatial–Temporal Distribution of Megamouth Shark, Megachasma pelagios, Inferred from over 250 Individuals Recorded in the Three Oceans. Animals 2021, 11, 2947. https://doi.org/10.3390/ani11102947
Yu C-J, Joung S-J, Hsu H-H, Lin C-Y, Hsieh T-C, Liu K-M, Yamaguchi A. Spatial–Temporal Distribution of Megamouth Shark, Megachasma pelagios, Inferred from over 250 Individuals Recorded in the Three Oceans. Animals. 2021; 11(10):2947. https://doi.org/10.3390/ani11102947
Chicago/Turabian StyleYu, Chi-Ju, Shoou-Jeng Joung, Hua-Hsun Hsu, Chia-Yen Lin, Tzu-Chi Hsieh, Kwang-Ming Liu, and Atsuko Yamaguchi. 2021. "Spatial–Temporal Distribution of Megamouth Shark, Megachasma pelagios, Inferred from over 250 Individuals Recorded in the Three Oceans" Animals 11, no. 10: 2947. https://doi.org/10.3390/ani11102947
APA StyleYu, C.-J., Joung, S.-J., Hsu, H.-H., Lin, C.-Y., Hsieh, T.-C., Liu, K.-M., & Yamaguchi, A. (2021). Spatial–Temporal Distribution of Megamouth Shark, Megachasma pelagios, Inferred from over 250 Individuals Recorded in the Three Oceans. Animals, 11(10), 2947. https://doi.org/10.3390/ani11102947
 
         
                                                

