A Study on the Synbiotic Composition of Bifidobacterium bifidum and Fructans from Arctium lappa Roots and Helianthus tuberosus Tubers against Staphylococcus aureus
Abstract
1. Introduction
2. Materials and Methods
2.1. Plant Raw Materials
2.2. Isolation of Fructans
2.3. Bacterial Strains and Culture Conditions
2.4. Enumeration of Bacterial Growth
2.5. Organic Acid Measurement
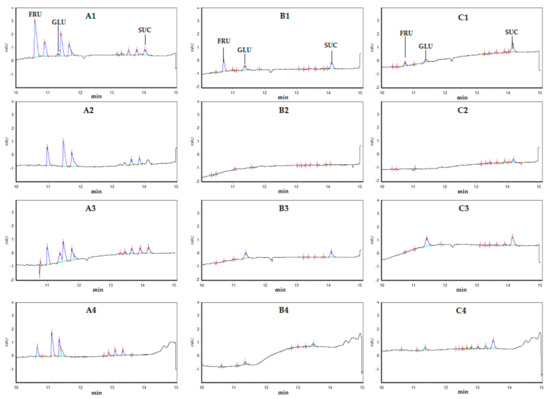
2.6. Assay of Carbohydrates (Oligosaccharides) by High-Performance Capillary Electrophoresis (HPCE)
2.7. The Quantitative Model of Probiotics and Pathogen Competition and Calculations
2.8. Statistical Analysis
3. Results
3.1. Determination of the Model Parameters for S. aureus Growth Inhibition by Lactic and Acetic Acids
3.2. Validation of the Model for the Coculture of S. aureus and B. bifidum Fermentation
3.3. Monocultures of B. bifidum and S. aureus Fermentation with Jerusalem Artichoke and Burdock Fructans
3.4. Coculture of Probiotics and Pathogen Strains on Different Fructans and Synbiotic Factor Assessment
4. Discussion
5. Conclusions
Author Contributions
Funding
Institutional Review Board Statement
Informed Consent Statement
Data Availability Statement
Acknowledgments
Conflicts of Interest
References
- Basu, S.; Mukherjee, M. Natural Products and Their Role to Combat Microbial Infection. In Reference Module in Materials Science and Materials Engineering; Elsevier: Amsterdam, The Netherlands, 2018. [Google Scholar]
- Parastan, R.; Kargar, M.; Solhjoo, K.; Kafilzadeh, F. Staphylococcus aureus biofilms: Structures, antibiotic resistance, inhibition, and vaccines. Gene Rep. 2020, 20, 100739. [Google Scholar] [CrossRef]
- Horino, T.; Hori, S. Metastatic infection during Staphylococcus aureus bacteremia. J. Infect. Chemother. 2020, 26, 162–169. [Google Scholar] [CrossRef]
- Oñatibia-Astibia, A.; Martínez-Pinilla, E.; Franco, R. The potential of methylxanthine-based therapies in pediatric respiratory tract diseases. Respir. Med. 2016, 112, 1–9. [Google Scholar] [CrossRef]
- Smelov, V.; Naber, K.; Johansen, T.E.B. Improved Classification of Urinary Tract Infection: Future Considerations. Eur. Urol. Suppl. 2016, 15, 71–80. [Google Scholar] [CrossRef]
- Lo, T.S.; Borchardt, S.M. Antibiotic-associated diarrhea due to methicillin-resistant Staphylococcus aureus. Diagn. Microbiol. Infect. Dis. 2009, 63, 388–389. [Google Scholar] [CrossRef] [PubMed]
- Gatadi, S.; Madhavi, Y.; Chopra, S.; Nanduri, S. Promising antibacterial agents against multidrug resistant Staphylococcus aureus. Bioorg. Chem. 2019, 92, 103252. [Google Scholar] [CrossRef]
- Xavier-Santos, D.; Bedani, R.; Lima, E.D.; Saad, S.M.I. Impact of probiotics and prebiotics targeting metabolic syndrome. J. Funct. Foods 2020, 64, 103666. [Google Scholar] [CrossRef]
- Romo-Araiza, A.; Ibarra, A. Prebiotics and probiotics as potential therapy for cognitive impairment. Med. Hypotheses 2020, 134, 109410. [Google Scholar] [CrossRef] [PubMed]
- Sengupta, S.; Koley, H.; Dutta, S.; Bhowal, J. Hepatoprotective effects of synbiotic soy yogurt on mice fed a high-cholesterol diet. Nutrients 2019, 63-64, 36–44. [Google Scholar] [CrossRef]
- Khangwal, I.; Shukla, P. Potential prebiotics and their transmission mechanisms: Recent approaches. J. Food Drug Anal. 2019, 27, 649–656. [Google Scholar] [CrossRef]
- Nealon, N.; Worcester, C.; Ryan, E. Lactobacillus paracaseimetabolism of rice bran reveals metabolome associated with Salmonella Typhimurium growth reduction. J. Appl. Microbiol. 2017, 122, 1639–1656. [Google Scholar] [CrossRef]
- Almasaudi, S.B.; Al-Nahari, A.A.; El-Ghany, E.S.M.A.; Barbour, E.; Al Muhayawi, S.M.; Al-Jaouni, S.; Azhar, E.; Qari, M.; Qari, Y.A.; Harakeh, S. Antimicrobial effect of different types of honey on Staphylococcus aureus. Saudi J. Biol. Sci. 2017, 24, 1255–1261. [Google Scholar] [CrossRef]
- Lee, J.M.; Jang, W.J.; Lee, E.-W.; Kong, I.-S. β-glucooligosaccharides derived from barley β-glucan promote growth of lactic acid bacteria and enhance nisin Z secretion by Lactococcus lactis. LWT 2020, 122, 109014. [Google Scholar] [CrossRef]
- Sharma, R.; Padwad, Y. Plant-polyphenols based second-generation synbiotics: Emerging concepts, challenges, and opportunities. Nutrition 2020, 77, 110785. [Google Scholar] [CrossRef]
- Sakarikou, C.; Kostoglou, D.; Simões, M.; Giaouris, E. Exploitation of plant extracts and phytochemicals against resistant Salmonella spp. in biofilms. Food Res. Int. 2020, 128, 108806. [Google Scholar] [CrossRef]
- Hou, C.; Chen, L.; Yang, L.; Ji, X. An insight into anti-inflammatory effects of natural polysaccharides. Int. J. Biol. Macromol. 2020, 153, 248–255. [Google Scholar] [CrossRef] [PubMed]
- Chan, Y.-S.; Cheng, L.-N.; Wu, J.-H.; Chan, E.; Kwan, Y.-W.; Lee, S.M.-Y.; Leung, G.P.-H.; Yu, P.H.-F.; Chan, S.-W. A review of the pharmacological effects of Arctium lappa (burdock). Inflammopharmacology 2011, 19, 245–254. [Google Scholar] [CrossRef]
- Rashmi, H.B.; Negi, P.S. Phenolic acids from vegetables: A review on processing stability and health benefits. Food Res. Int. 2020, 136, 109298. [Google Scholar] [CrossRef] [PubMed]
- Karetkin, B.A.; Guseva, E.V.; Evdokimova, S.A.; Mishchenko, A.S.; Khabibulina, N.V.; Grosheva, V.D.; Menshutina, N.V.; Panfilov, V.I. A quantitative model of Bacillus cereus ATCC 9634 growth inhibition by bifidobacteria for synbiotic effect evaluation. World J. Microbiol. Biotechnol. 2019, 35, 89. [Google Scholar] [CrossRef] [PubMed]
- Karetkin, B.A. Ultrasonic Extraction of Fructans from the Tubers of Jerusalem Artichoke: Optimization of Conditions, Purification Methods, C-13nmr Spectroscopy of the Product. In Proceedings of the 15th International Multidisciplinary Scientific GeoConference SGEM2015, Ecology, Economics, Education and Legislation, Albena, Bulgaria, 18–24 June 2015; STEF92 Technology: Sofia, Bulgaria, 2015; Volume 15, pp. 641–648. [Google Scholar]
- Wack, M.; Blaschek, W. Determination of the structure and degree of polymerisation of fructans from Echinacea purpurea roots. Carbohydr. Res. 2006, 341, 1147–1153. [Google Scholar] [CrossRef] [PubMed]
- Rossi, M.; Corradini, C.; Amaretti, A.; Nicolini, M.; Pompei, A.; Zanoni, S.; Matteuzzi, D. Fermentation of Fructooligosaccharides and Inulin by Bifidobacteria: A Comparative Study of Pure and Fecal Cultures. Appl. Environ. Microbiol. 2005, 71, 6150–6158. [Google Scholar] [CrossRef]
- Kateete, D.P.; Kimani, C.N.; Katabazi, F.A.; Okeng, A.; Okee, M.S.; Nanteza, A.; Joloba, M.L.; Najjuka, F.C. Identification of Staphylococcus aureus: DNase and Mannitol salt agar improve the efficiency of the tube coagulase test. Ann. Clin. Microbiol. Antimicrob. 2010, 341, 1147–1153. [Google Scholar] [CrossRef]
- Nebra, Y.; Blanch, A.R. A New Selective Medium for Bifidobacterium spp. Appl. Environ. Microbiol. 1999, 65, 5173–5176. [Google Scholar] [CrossRef]
- Scherer, R.; Rybka, A.C.P.; Ballus, C.A.; Meinhart, A.D.; Filho, J.T.; Godoy, H.T. Validation of a HPLC method for simultaneous determination of main organic acids in fruits and juices. Food Chem. 2012, 135, 150–154. [Google Scholar] [CrossRef]
- Andersen, K.E.; Bjergegaard, C.; Møller, P.; Sørensen, J.C.; Sørensen, H. High-Performance Capillary Electrophoresis with Indirect UV Detection for Determination of α-Galactosides in Leguminosae and Brassicaceae. J. Agric. Food Chem. 2003, 51, 6391–6397. [Google Scholar] [CrossRef] [PubMed]
- Arentoft, A.M.; Michaelsen, S.; Sørensen, H. Determination of oligosaccharides by capillary zone electrophoresis. J. Chromatogr. A 1993, 652, 517–524. [Google Scholar] [CrossRef]
- Zwietering, M.H.; Wijtzes, T.; De Wit, J.C.; Riet, K.V. A Decision Support System for Prediction of the Microbial Spoilage in Foods. J. Food Prot. 1992, 55, 973–979. [Google Scholar] [CrossRef]
- Pujol, L.; Kan-King-Yu, D.; Le Marc, Y.; Johnston, M.D.; Rama-Heuzard, F.; Guillou, S.; McClure, P.; Membré, J.-M. Establishing Equivalence for Microbial-Growth-Inhibitory Effects (“Iso-Hurdle Rules”) by Analyzing Disparate Listeria monocytogenes Data with a Gamma-Type Predictive Model. Appl. Environ. Microbiol. 2011, 78, 1069–1080. [Google Scholar] [CrossRef][Green Version]
- Monod, J. The Growth of Bacterial Cultures. Annu. Rev. Microbiol. 1949, 3, 371–394. [Google Scholar] [CrossRef]
- Biria, D.; Maghsoudi, E.; Roostaazad, R. Application of power law logistic model to growth kinetics of Bacillus licheniformis MS3 on a water-insoluble substrate. Chem. Eng. Commun. 2014, 201, 1514–1525. [Google Scholar] [CrossRef]
- Koutsoumanis, K.P.; Lianou, A.; Gougouli, M. Latest developments in foodborne pathogens modeling. Curr. Opin. Food Sci. 2016, 8, 89–98. [Google Scholar] [CrossRef]
- Buchanan, R.; Smith, J.; McColgan, C.; Marmer, B.; Golden, M.; Dell, B. Response Surface Models for the Effects of Temperature, Ph, Sodium Chloride, and Sodium Nitrite on the Aerobic and Anaerobic Growth of Staphylococcus Aureus 196e. J. Food Saf. 1993, 13, 159–175. [Google Scholar] [CrossRef]
- Davey, K.; Daughtry, B. Validation of a model for predicting the combined effect of three environmental factors on both exponential and lag phases of bacterial growth: Temperature, salt concentration and pH. Food Res. Int. 1995, 28, 233–237. [Google Scholar] [CrossRef]
- Lee, Y.J.; Jung, B.S.; Kim, K.-T.; Paik, H.-D. Predictive model for the growth kinetics of Staphylococcus aureus in raw pork developed using Integrated Pathogen Modeling Program (IPMP). Meat Sci. 2015, 107, 20–25. [Google Scholar] [CrossRef] [PubMed]
- Presser, K.A.; Ratkowsky, D.A.; Ross, T. Modelling the growth rate of Escherichia coli as a function of pH and lactic acid concentration. Appl. Environ. Microbiol. 1997, 63, 2355–2360. [Google Scholar] [CrossRef] [PubMed]
- Ross, T.; Ratkowsky, D.; Mellefont, L.; McMeekin, T. Modelling the effects of temperature, water activity, pH and lactic acid concentration on the growth rate of Escherichia coli. Int. J. Food Microbiol. 2003, 82, 33–43. [Google Scholar] [CrossRef]
- Augustin, J.-C.; Carlier, V. Mathematical modelling of the growth rate and lag time for Listeria monocytogenes. Int. J. Food Microbiol. 2000, 56, 29–51. [Google Scholar] [CrossRef]
- Augustin, J.-C.; Zuliani, V.; Cornu, M.; Guillier, L. Growth rate and growth probability of Listeria monocytogenes in dairy, meat and seafood products in suboptimal conditions. J. Appl. Microbiol. 2005, 99, 1019–1042. [Google Scholar] [CrossRef]
- Zuliani, V.; Lebert, I.; Augustin, J.-C.; Garry, P.; Vendeuvre, J.-L.; Lebert, A. Modelling the behaviour of Listeria monocytogenes in ground pork as a function of pH, water activity, nature and concentration of organic acid salts. J. Appl. Microbiol. 2007, 103, 536–550. [Google Scholar] [CrossRef]
- Pirt, S.J. Principles of Microbe and Cell Cultivation; Blackwell Scientific Publications: Oxford, UK, 1975. [Google Scholar]
- Charlier, C.; Cretenet, M.; Even, S.; Le Loir, Y. Interactions between Staphylococcus aureus and lactic acid bacteria: An old story with new perspectives. Int. J. Food Microbiol. 2009, 131, 30–39. [Google Scholar] [CrossRef]
- Ruiz, L.; Flórez, A.B.; Sánchez, B.; Moreno-Muñoz, J.A.; Rodriguez-Palmero, M.; Jiménez, J.; Gavilán, C.G.D.L.R.; Gueimonde, M.; Ruas-Madiedo, P.; Margolles, A. Bifidobacteriumlongum subsp.infantis CECT7210 (B. infantis IM-1®) Displays In Vitro Activity against Some Intestinal Pathogens. Nutrients 2020, 12, 3259. [Google Scholar] [CrossRef]
- Valdés-Varela, L.; Hernández-Barranco, A.M.; Ruas-Madiedo, P.; Gueimonde, M. Effect of Bifidobacterium upon Clostridium difficile Growth and Toxicity When Co-cultured in Different Prebiotic Substrates. Front. Microbiol. 2016, 7, 738. [Google Scholar] [CrossRef] [PubMed]
- Panebianco, F.; Giarratana, F.; Caridi, A.; Sidari, R.; De Bruno, A.; Giuffrida, A. Lactic acid bacteria isolated from traditional Italian dairy products: Activity against Listeria monocytogenes and modelling of microbial competition in soft cheese. LWT 2021, 137, 110446. [Google Scholar] [CrossRef]
- Elaheh, M.; Ali, M.S.; Elnaz, M.; Ladan, N. Prebiotic effect of Jerusalem artichoke (Helianthus tuberosus) fructans on the growth performance of Bifidobacterium bifidum and Escherichia coli. Asian Pac. J. Trop. Dis. 2016, 6, 385–389. [Google Scholar] [CrossRef]
- Li, D.; Kim, J.M.; Jin, Z.; Zhou, J. Prebiotic effectiveness of inulin extracted from edible burdock. Anaerobe 2008, 14, 29–34. [Google Scholar] [CrossRef] [PubMed]
- Moro, T.M.A.; Celegatti, C.M.; Pereira, A.P.A.; Lopes, A.S.; Barbin, D.F.; Pastore, G.M.; Clerici, M.T.P.S. Use of burdock root flour as a prebiotic ingredient in cookies. LWT 2018, 90, 540–546. [Google Scholar] [CrossRef]
- Watanabe, A.; Sasaki, H.; Miyakawa, H.; Nakayama, Y.; Lyu, Y.; Shibata, S. Effect of Dose and Timing of Burdock (Arctium lappa) Root Intake on Intestinal Microbiota of Mice. Microorganisms 2020, 8, 220. [Google Scholar] [CrossRef] [PubMed]



| Acids | MIC (mg·mL−1) | α, β | R2 |
|---|---|---|---|
| Lactic acid | 2.8 | 0.66 | 0.94 |
| Acetic acid | 2.0 | 0.55 | 0.89 |
| Substrate | Initial Count of S. aureus, log(CFU mL−1) | Acids Production, mg mL−1 | Yield, pg CFU−1 | SF | R2 | ||||
|---|---|---|---|---|---|---|---|---|---|
| Lactic Asid | Acetic Acid | Lactic Acid | Acetic Acid | ||||||
| Glucose | 6.09 ± 0.10 | 0.47 | 0.89 | 2.13 ± 0.06 | 2.24 ± 0.07 | 0.37 | 0.39 | −0.0015 | 0.93 |
| 7.04 ± 0.04 | 0.48 | 0.76 | 1.96 ± 0.04 | 2.01 ± 0.04 | 0.40 | 0.39 | −0.0016 | 0.99 | |
| FOS | 6.21 ± 0.07 | 0.48 | 1.09 | 2.52 ± 0.05 | 2.34 ± 0.05 | 0.57 | 0.53 | 0.0003 | 0.80 |
| 7.06 ± 0.05 | 0.50 | 0.81 | 2.25 ± 0.07 | 2.11 ± 0.06 | 0.60 | 0.56 | 0.0013 | 0.99 | |
| Lactulose | 6.16 ± 0.38 | 0.48 | 0.81 | 0.77 ± 0.02 | 1.27 ± 0.03 | 0.17 | 0.28 | −0.0026 | 0.86 |
| 7.07 ± 0.05 | 0.50 | 0.66 | 0.78 ± 0.03 | 1.35 ± 0.03 | 0.15 | 0.27 | 0.0062 | 0.99 | |
| Microorganisms | Substrate | Bacterial Count, log(CFU·mL−1) | Acid Production, g L−1 | Final pH | ||
|---|---|---|---|---|---|---|
| 0 h | 8 h | Lactic Acid | Acetic Acid | |||
| Bif. bifidum | JA−20 | 8.15 ± 0.06 | 9.03 ± 0.05 | 0.30 ± 0.02 | 0.96 ± 0.05 | 5.28 |
| JA−80 | 7.96 ± 0.01 | 9.21 ± 0.05 | 0.06 ± 0.00 | 0.25 ± 0.01 | 6.80 | |
| Burd−20 | 8.16 ± 0.08 | 9.11 ± 0.05 | 0.05 ± 0.00 | 1.03 ± 0.03 | 5.12 | |
| Burd−80 | 8.07 ± 0.04 | 9.47 ± 0.18 | 0.04 ± 0.00 | 0.33 ± 0.01 | 6.76 | |
| FOS | 8.17 ± 0.04 | 9.19 ± 0.05 | 0.56 ± 0.02 | 1.53 ± 0.03 | 4.57 | |
| Glu | 8.18 ± 0.04 | 8.75 ± 0.06 | 0.05 ± 0.00 | 1.06 ± 0.02 | 5.12 | |
| S. aureus | JA−20 | 5.89 ± 0.03 | 8.62 ± 0.04 | 0.74 ± 0.03 | 0.27 ± 0.01 | 6.18 |
| JA−80 | 6.10 ± 0.01 | 8.71 ± 0.07 | 0.34 ± 0.01 | 0.00 ± 0.00 | 6.78 | |
| Burd−20 | 5.82 ± 0.08 | 8.67 ± 0.07 | 1.12 ± 0.03 | 0.41 ± 0.01 | 6.05 | |
| Burd−80 | 6.19 ± 0.10 | 8.79 ± 0.05 | 0.41 ± 0.01 | 0.00 ± 0.00 | 6.74 | |
| FOS | 5.97 ± 0.03 | 8.58 ± 0.05 | 1.49 ± 0.03 | 0.32 ± 0.01 | 5.90 | |
| Glu | 6.14 ± 0.03 | 8.57 ± 0.11 | 2.11 ± 0.06 | 0.44 ± 0.02 | 5.62 | |
| Substrate | Fermentation Time, h | B. bifidum log(CFU·mL−1) | S. aureus log(CFU·mL−1) | Final pH | Acids Production, g L−1 | S. aureus Integral Specific Growth Rate, | SF | r * | SFdif | |||
|---|---|---|---|---|---|---|---|---|---|---|---|---|
| 0 h | Final | 0 h | Final | LA | AA | h−1 | ||||||
| JA−20 | 9 | 8.01 ± 0.08 | 9.12 ± 0.12 | 6.97 ± 0.12 | 7.62 ± 0.24 | 6.17 | 1.55 ± 0.03 | 0.46 ± 0.01 | 0.166 | 0.058 | −0.053 | |
| JA−80 | 7.96 ± 0.10 | 9.08 ± 0.19 | 6.89 ± 0.13 | 8.60 ± 0.23 | 6.33 | 1.22 ± 0.02 | 0.37 ± 0.01 | 0.437 | 0.112 | 0.001 | ||
| Burd−20 | 7.99 ± 0.13 | 9.34 ± 0.16 | 6.91 ± 0.13 | 7.19 ± 0.15 | 6.26 | 1.21 ± 0.02 | 0.56 ± 0.03 | 0.123 | 0.089 | 0.688 | −0.022 | |
| Burd−80 | 7.96 ± 0.11 | 9.05 ± 0.14 | 6.88 ± 0.16 | 8.29 ± 0.19 | 6.42 | 1.06 ± 0.02 | 0.35 ± 0.01 | 0.360 | 0.146 | 0.035 | ||
| FOS | 7.96 ± 0.11 | 9.06 ± 0.11 | 6.91 ± 0.17 | 8.63 ± 0.14 | 6.31 | 0.96 ± 0.04 | 0.65 ± 0.03 | 0.440 | 0.111 | 0.000 | ||
| JA−20 | 8 | 5.46 ± 0.10 | 7.51 ± 0.11 | 6.91 ± 0.15 | 8.72 ± 0.25 | 6.06 | 0.90 ± 0.03 | 0.14 ± 0.00 | 0.520 | 0.156 | 0.041 | |
| JA−80 | 5.47 ± 0.11 | 7.39 ± 0.11 | 6.90 ± 0.13 | 8.70 ± 0.20 | 5.96 | 0.90 ± 0.04 | 0.12 ± 0.00 | 0.518 | 0.143 | 0.029 | ||
| Burd−20 | 5.46 ± 0.10 | 7.53 ± 0.12 | 6.93 ± 0.18 | 8.70 ± 0.16 | 6.22 | 1.07 ± 0.03 | 0.21 ± 0.01 | 0.509 | 0.141 | 0.685 | 0.027 | |
| Burd−80 | 5.49 ± 0.17 | 7.43 ± 0.11 | 6.91 ± 0.21 | 8.76 ± 0.13 | 6.00 | 0.89 ± 0.04 | 0.16 ± 0.01 | 0.532 | 0.144 | 0.030 | ||
| FOS | 5.44 ± 0.10 | 7.53 ± 0.11 | 6.92 ± 0.11 | 8.67 ± 0.17 | 6.07 | 1.04 ± 0.02 | 0.31 ± 0.01 | 0.503 | 0.115 | 0.000 | ||
| JA−20 | 7 | 7.95 ± 0.15 | 9.45 ± 0.12 | 3.82 ± 0.33 | 6.66 ± 0.07 | 5.47 | 0.06 ± 0.00 | 0.31 ± 0.01 | 0.933 | 0.112 | 0.118 | |
| JA−80 | 7.96 ± 0.12 | 9.21 ± 0.15 | 3.70 ± 0.10 | 7.11 ± 0.03 | 5.67 | 0.06 ± 0.00 | 0.25 ± 0.01 | 1.120 | 0.176 | 0.181 | ||
| Burd−20 | 8.02 ± 0.13 | 9.49 ± 0.16 | 3.86 ± 0.16 | 6.73 ± 0.05 | 5.29 | 0.16 ± 0.01 | 0.43 ± 0.02 | 0.943 | 0.052 | 0.854 | 0.057 | |
| Burd−80 | 8.07 ± 0.10 | 9.49 ± 0.18 | 3.88 ± 0.18 | 6.48 ± 0.08 | 5.43 | 0.04 ± 0.00 | 0.33 ± 0.01 | 0.854 | 0.103 | 0.108 | ||
| FOS | 7.95 ± 0.13 | 9.70 ± 0.15 | 3.70 ± 0.26 | 6.03 ± 0.10 | 5.02 | 0.23 ± 0.01 | 0.54 ± 0.02 | 0.766 | −0.005 | 0.000 | ||
Publisher’s Note: MDPI stays neutral with regard to jurisdictional claims in published maps and institutional affiliations. |
© 2021 by the authors. Licensee MDPI, Basel, Switzerland. This article is an open access article distributed under the terms and conditions of the Creative Commons Attribution (CC BY) license (https://creativecommons.org/licenses/by/4.0/).
Share and Cite
Evdokimova, S.A.; Nokhaeva, V.S.; Karetkin, B.A.; Guseva, E.V.; Khabibulina, N.V.; Kornienko, M.A.; Grosheva, V.D.; Menshutina, N.V.; Shakir, I.V.; Panfilov, V.I. A Study on the Synbiotic Composition of Bifidobacterium bifidum and Fructans from Arctium lappa Roots and Helianthus tuberosus Tubers against Staphylococcus aureus. Microorganisms 2021, 9, 930. https://doi.org/10.3390/microorganisms9050930
Evdokimova SA, Nokhaeva VS, Karetkin BA, Guseva EV, Khabibulina NV, Kornienko MA, Grosheva VD, Menshutina NV, Shakir IV, Panfilov VI. A Study on the Synbiotic Composition of Bifidobacterium bifidum and Fructans from Arctium lappa Roots and Helianthus tuberosus Tubers against Staphylococcus aureus. Microorganisms. 2021; 9(5):930. https://doi.org/10.3390/microorganisms9050930
Chicago/Turabian StyleEvdokimova, Svetlana A., Vera S. Nokhaeva, Boris A. Karetkin, Elena V. Guseva, Natalia V. Khabibulina, Maria A. Kornienko, Veronika D. Grosheva, Natalia V. Menshutina, Irina V. Shakir, and Victor I. Panfilov. 2021. "A Study on the Synbiotic Composition of Bifidobacterium bifidum and Fructans from Arctium lappa Roots and Helianthus tuberosus Tubers against Staphylococcus aureus" Microorganisms 9, no. 5: 930. https://doi.org/10.3390/microorganisms9050930
APA StyleEvdokimova, S. A., Nokhaeva, V. S., Karetkin, B. A., Guseva, E. V., Khabibulina, N. V., Kornienko, M. A., Grosheva, V. D., Menshutina, N. V., Shakir, I. V., & Panfilov, V. I. (2021). A Study on the Synbiotic Composition of Bifidobacterium bifidum and Fructans from Arctium lappa Roots and Helianthus tuberosus Tubers against Staphylococcus aureus. Microorganisms, 9(5), 930. https://doi.org/10.3390/microorganisms9050930

