Impacts of Lead and Nanoplastic Co-Exposure on Decomposition, Microbial Diversity, and Community Assembly Mechanisms in Karst Riverine Miscanthus Litter
Abstract
1. Introduction
2. Materials and Methods
2.1. Site Description and Litter Collection
2.2. Experimental Design
2.2.1. In Situ Microbial Colonization and Low-Temperature Sample Transport Protocol
2.2.2. Laboratory Microcosm Experiment Simulating Natural Conditions for Litter Decomposition
2.3. Extracellular Enzyme Activity, Microbial Respiration and Mass Loss
2.4. DNA Extraction, PCR Amplification, and NovaSeq Sequencing
2.5. Leaf Litter Extracellular Enzyme Stoichiometry (EES)
2.6. Leaf Litter Organic Matter Quality
2.7. Statistical Analysis
2.7.1. Microbial Diversity
2.7.2. Microbial Community Assembly
2.7.3. Co-Occurrence Network Analysis
2.7.4. LEfSe Analysis
3. Results
3.1. Mass Loss, Microbial Respiration and Organic Matter Quality
3.2. Extracellular Enzyme Activity and Stoichiometry
3.3. Microbial Community Structure and Diversity
3.4. Co-Occurrence Network Analysis
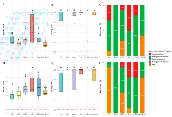
3.5. Community Assembly
4. Discussion
4.1. Litter Decomposition
4.2. Microbial Community Structure and Diversity
4.3. Microbial Co-Occurrence Network and Community Assembly
5. Conclusions
Supplementary Materials
Author Contributions
Funding
Institutional Review Board Statement
Informed Consent Statement
Data Availability Statement
Conflicts of Interest
References
- Martinez-Sanz, I.; Muñoz, I.; Viza, A.; Oliva, F.; Menéndez, M. Dual effects of drying and urban pollution on leaf litter decomposition and shredder consumption in permanent and intermittent streams. Hydrobiologia 2024, 851, 3623–3637. [Google Scholar] [CrossRef]
- Ferreira, V.; Graca, M.A.S.; Elosegi, A. A meta-analysis of drought effects on litter decomposition in streams. Hydrobiologia 2023, 850, 1715–1735. [Google Scholar] [CrossRef]
- Tiegs, S.D.; Capps, K.A.; Costello, D.M.; Schmidt, J.P.; Patrick, C.J.; Shah, J.J.F.; LeRoy, C.J.; the CELLDEX Consortium. Human activities shape global patterns of decomposition rates in rivers. Science 2024, 384, 1191–1195. [Google Scholar] [CrossRef]
- Kralj, T.; Bromberger, S.; Winkelmann, C.; Worischka, S.; Žganec, K.; Valić, D. Assessing the complex effects of the invasive amphipod Dikerogammarus villosus on leaf litter breakdown in rivers. Freshw. Biol. 2025, 70, e70006. [Google Scholar] [CrossRef]
- Battin, T.J.; Lauerwald, R.; Bernhardt, E.S.; Bertuzzo, E.; Gener, L.G.; Hall, R.O., Jr.; Hotchkiss, E.R.; Maavara, T.; Pavelsky, T.M.; Ran, L.; et al. River ecosystem metabolism and carbon biogeochemistry in a changing world. Nature 2023, 613, 449–459. [Google Scholar] [CrossRef]
- Boyero, L.; López-Rojo, N.; Tonin, A.M.; Pérez, J.; Correa-Araneda, F.; Pearson, R.G.; Bosch, J.; Albariño, R.J.; Anbalagan, S.; Barmuta, L.A.; et al. Impacts of detritivore diversity loss on instream decomposition are greatest in the tropics. Nat. Commun. 2021, 12, 3700. [Google Scholar] [CrossRef] [PubMed]
- Yang, D.; Lin, Y.; He, Z.; He, X.; Kong, X. Priority effect of endophyte community in newly fallen Leaves of Quercus acutissima Carruth. on litter decomposition and saprotrophic microbial community. Forests 2025, 16, 249. [Google Scholar] [CrossRef]
- Qin, J.Q.; Xia, B.C.; Zhao, P. Photosynthetic physiological response of two Miscanthus floridulus populations to Cd stress. Acta Ecol. Sin. 2010, 30, 0288–0299. [Google Scholar] [CrossRef]
- Oguma, A.Y.; Klerks, P.L. Evidence for mild sediment Pb contamination affecting leaf-litter decomposition in a lake. Ecotoxicology 2015, 24, 1322–1329. [Google Scholar] [CrossRef]
- Siegenthaler, A.; Buttler, A.; Bragazza, L.; van der Heijden, E.; Grosvernier, P.; Gobat, J.M.; Mithchell, E.A.D. Litter- and ecosystem-driven decomposition under elevated CO2 and enhanced N deposition in a Sphagnum peatland. Soil Biol. Biochem. 2010, 42, 968–977. [Google Scholar] [CrossRef]
- Chen, Y.P.; Liu, Q.; Liu, Y.J.; Jia, F.A.; He, X.H. Responses of soil microbial activity to cadmium pollution and elevated CO2. Sci. Rep. 2014, 4, 4287. [Google Scholar] [CrossRef]
- Pu, G.; Tong, J.; Su, A.; Ma, X.; Du, J.; Lv, Y.; Tian, X. Adaptation of microbial communities to multiple stressors associated with litter decomposition of Pterocarya stenoptera. J. Environ. Sci. 2014, 26, 1001–1013. [Google Scholar] [CrossRef]
- Xue, Y.T.; Lin, Y.H.; He, X.B.; Luo, Y.L.; Wu, X.; Xiao, J.M.; Chen, T. Efects of lead on the decomposition of Phyllostachys pubescens leaf litter in western Hu’nan province. J. Chongqing Norm. Univ. 2018, 35, 117–124. [Google Scholar] [CrossRef]
- Luo, X.; Zhang, L.; Yi, Y.; Wen, D. Elevated CO2 and nitrogen addition diminish the inhibitory effects of cadmium on leaf litter decomposition and nutrient release. Plant Soil 2023, 487, 311–324. [Google Scholar] [CrossRef]
- Chen, Q.; Feng, Y.; Ran, Z.; Zhou, Z.; Li, Q.; Luo, Y.; Cai, S.; Chen, S.; Yang, J.; Tian, X. Soil Cd increased the leaf litter Cd remains of Solanum nigrum and Solanum lycopersicum. Environ. Pollut. 2024, 4, 1–10. [Google Scholar] [CrossRef]
- Song, X.; Li, C.; Qiu, Z.; Wang, C.; Zeng, Q. Ecotoxicological effects of polyethylene microplastics and lead (Pb) on the biomass, activity, and community diversity of soil microbes. Environ. Res. 2024, 252, 119012. [Google Scholar] [CrossRef]
- Hong, W.; Li, Z.; Wu, F.; Cao, M.; Zhao, H. Toxicology of nanoplastics to aquatic and terrestrial organism: A critical review. Environ. Sci. 2024, 46, 1868–1884. [Google Scholar] [CrossRef]
- Wang, Y.; Wang, K.; Yang, J.; Dai, M.; Zeng, D.; Wang, X.; Du, J.; Pu, G. Synergistic effects of nanoplastics and graphene oxides on microbe-driven litter decomposition in streams. J. Hazard. Mater. 2025, 494, 138613. [Google Scholar] [CrossRef] [PubMed]
- Du, J.; Qv, W.; Niu, Y.; Qv, M.; Jin, K.; Xie, J.; Li, Z. Nanoplastic pollution inhibits stream leaf decomposition through modulating microbial metabolic activity and fungal community structure. J. Hazard. Mater. 2022, 424, 127392. [Google Scholar] [CrossRef] [PubMed]
- Du, J.; Tao, T.; Gao, M.; Zhang, X.; Wang, X.; Zhang, Q.; Xu, Y.; Jin, B.; Wang, L.; Cao, X. Response of a simulated aquatic fungal community to nanoplastics exposure and functional consequence on leaf decomposition. Environ. Pollut. 2024, 356, 124342. [Google Scholar] [CrossRef] [PubMed]
- Boyero, L.; Pearson, R.G.; Hui, C.; Gessner, M.O.; Pérez, J.; Alexandrou, M.A.; Graça, M.A.; Cardinale, B.J.; Albariño, R.J.; Arunachalam, M.; et al. Biotic and abiotic variables influencing plant litter breakdown in streams: A global study. Proc. R. Soc. B Biol. Sci. 2016, 283, 20152664. [Google Scholar] [CrossRef]
- Zhai, J.; Anderson, J.T.; Yan, G.; Cong, L.; Wu, Y.; Dai, L.; Liu, J.; Zhang, Z. Decomposition and nutrient dynamics responses of plant litter to interactive effects of flooding and salinity in Yellow River Delta wetland in northeastern China. Ecol. Indic. 2021, 120, 106943. [Google Scholar] [CrossRef]
- Yue, K.; De Frenne, P.; van Meerbeek, K. Litter quality and stream physicochemical properties drive global invertebrate effects on instream litter decomposition. Biol. Rev. 2022, 97, 2023–2038. [Google Scholar] [CrossRef]
- Moreirinha, C.; Duarte, S.; Pascoal, C.; Cassio, F. Effects of cadmium and phenanthrene mixtures on aquatic fungi and microbially mediated leaf litter decomposition. Arch. Environ. Contam. Toxicol. 2011, 61, 211e219. [Google Scholar] [CrossRef]
- Wang, C.; Wei, M.; Wang, S.; Wu, B.; Du, D. Cadmium influences the litter decomposition of Solidago canadensis L. and soil N-fixing bacterial communities. Chemosphere 2020, 246, 125717. [Google Scholar] [CrossRef]
- Jia, T.; Liang, X.; Guo, T.; Wu, T.; Chai, B. Bacterial community succession and influencing factors for Imperata cylindrica litter decomposition in a copper tailings area of China. Sci. Total Environ. 2022, 815, 152908. [Google Scholar] [CrossRef]
- Zeng, T.; Sha, H.; Xie, Q.; Lu, Y.; Nong, H.; Wang, L.; Tang, L. Comprehensive assessment of the microbial community structure in a typical lead–zinc mine soil. Environ. Sci. Pollut. Res. 2025, 32, 13509–13522. [Google Scholar] [CrossRef]
- Xu, X.; Zhang, Z.; Hu, S.; Ruan, Z.; Jiang, J.; Chen, C.; Shen, Z. Response of soil bacterial communities to lead and zinc pollution revealed by Illumina MiSeq sequencing investigation. Environ. Sci. Pollut. Res. 2017, 24, 666–675. [Google Scholar] [CrossRef]
- Ma, S.; Qiao, L.; Liu, X.; Zhang, S.; Zhang, L.; Qiu, Z.; Yu, C. Microbial community succession in soils under long-term heavy metal stress from community diversity-structure to KEGG function pathways. Environ. Res. 2022, 214, 113822. [Google Scholar] [CrossRef]
- Xiao, Z.; Duan, C.; Li, S.; Chen, J.; Peng, C.; Che, R.; Liu, C.E.; Huang, Y.; Mei, R.; Xu, L.; et al. The microbial mechanisms by which long-term heavy metal contamination affects soil organic carbon levels. Chemosphere 2023, 340, 139770. [Google Scholar] [CrossRef]
- Li, X.; Du, X.; Jones, D.L.; He, Z.; Liu, J.; Guo, X.; Tang, Z. Nanoplastic and phthalate induced stress responses in rhizosphere soil: Microbial communities and metabolic networks. J. Hazard. Mater. 2025, 489, 137591. [Google Scholar] [CrossRef]
- Liu, M.; Yu, X.; Yang, M.; Shu, W.; Cao, F.; Liu, Q.; Wang, J.; Jiang, Y. The co-presence of polystyrene nanoplastics and offoxacin demonstrates combined effects on the structure, assembly, and metabolic activities of marine microbial community. J. Hazard. Mater. 2023, 459, 132315. [Google Scholar] [CrossRef]
- Zhao, X.; Meng, X.; Li, Q.; Ho, S.H. Nitrogen metabolic responses of non-rhizosphere and rhizosphere microbial communities in constructed wetlands under nanoplastics disturbance. J. Hazard. Mater. 2025, 484, 136777. [Google Scholar] [CrossRef]
- Hao, Z.; He, S.; Wang, Q.; Luo, Y.; Tu, C.; Wu, W.; Jiang, H. Nanoplastics enhance the denitrification process and microbial interaction network in wetland soils. Water Res. 2024, 259, 121796. [Google Scholar] [CrossRef]
- Stegen, J.C.; Lin, X.; Fredrickson, J.K.; Chen, X.; Kennedy, D.W.; Murray, C.J.; Rockhold, M.L.; Konopka, A. Quantifying community assembly processes and identifying features that impose them. ISME J. 2013, 7, 2069–2079. [Google Scholar] [CrossRef]
- Sun, H.; Sun, F.; Deng, X.; Storn, N. Soil carbon fractions drive microbial community assembly processes during forest succession. J. Environ. Manag. 2025, 373, 123638. [Google Scholar] [CrossRef]
- Li, M.; Liu, J.; Cao, D.; Chen, X.; Shi, J.; Hu, W.; Xiao, C.; Fang, Y. Heavy metal pollution simplifies microbial networks and enhances modularity during tailings primary succession: Divergent assembly dynamics for bacterial and fungal communities. Front. Microbiol. 2025, 16, 1566627. [Google Scholar] [CrossRef]
- Wang, Z.; Deng, G.; Hu, C.; Hou, X.; Zhang, X.; Fan, Z.; Zhao, Y.; Peng, M. Microbial diversity and community assembly in heavy metal-contaminated soils: Insights from selenium-impacted mining areas. Front. Microbiol. 2025, 16, 1561678. [Google Scholar] [CrossRef]
- Guan, X.; Jia, D.; Liu, X.; Ding, C.; Guo, J.; Yao, M.; Zhang, Z.; Zhou, M.; Sun, J. Combined influence of the nanoplastics and polycyclic aromatic hydrocarbons exposure on microbial community in seawater environment. Sci. Total Environ. 2024, 945, 173772. [Google Scholar] [CrossRef]
- Chen, D.; Wei, Z.; Wang, Z.; Yang, Y.; Chen, L.; Wang, X.; Zhao, L. Long-term exposure to nanoplastics reshapes the microbial interaction network of activated sludge. Environ. Pollut. 2022, 314, 120205. [Google Scholar] [CrossRef]
- Zhang, L.; Zhang, G.; Shi, Z.; He, M.; Ma, D.; Liu, J. Effects of polypropylene micro(nano)plastics on soil bacterial and fungal community assembly in saline-alkaline wetlands. Sci. Total Environ. 2024, 945, 173890. [Google Scholar] [CrossRef]
- Yang, S.; Yuan, Z.; Li, Z.; Long, H.; Tang, W. Heavy metal contamination and bioavailability in Huayuan Manganses and Lead/Zinc Mineland, Xiangxi. Environ. Sci. 2012, 33, 1718–1724. (In Chinese) [Google Scholar] [CrossRef]
- Agnihotri, S.; Dutt, D.; Tyagi, C.H.; Kumar, A.; Upadhyaya, J.S. Production and biochemical characterization of a novel cellulose-poor alkali-thermo-tolerant xylanase from Coprinellus disseminatus SW-1 NTCC 1165. World J. Microbiol. Biotechnol. 2010, 26, 1349–1359. [Google Scholar] [CrossRef]
- Saiya-Cork, K.R.; Sinsabaugh, R.L.; Zak, D.R. The effects of long term nitrogen deposition on extracellular enzyme activity in an Acer saccharum forest soil. Soil Biol. Biochem. 2002, 34, 1309–1315. [Google Scholar] [CrossRef]
- Sinsabaugh, R.L.; Antibus, R.K.; Linkins, A.E.; McClaugherty, C.A.; Rayburn, L.; Repert, D.; Weiland, T. Wood decomposition: Nitrogen and phosphorus dynamics in relation to extracellular enzyme activity. Ecology 1993, 74, 1586–1593. [Google Scholar] [CrossRef]
- Li, X.; Wang, J.; Wang, H.; Tang, Y. Isolation, purification, and partial characterization of acid phosphatase from sweet potato leaves. Food Sci. 2015, 36, 152–157. (In Chinese). Available online: https://www.spkx.net.cn/CN/10.7506/spkx1002-6630-201503029 (accessed on 1 January 2025).
- Zhang, S.; Cai, X.; Luo, X.; Wang, S.; Guo, A.; Hou, J.; Wu, R. Molecular cloning and characterization of leucine aminopeptidase gene from Taenia pisiformis. Exp. Parasitol. 2018, 186, 1–9. [Google Scholar] [CrossRef]
- Papa, S.; Pellegrino, A.; Fioretto, A. Microbial activity and quality changes during decomposition of Quercus ilex leaf litter in three Mediterranean woods. Appl. Soil Ecol. 2008, 40, 401–410. [Google Scholar] [CrossRef]
- Zhao, Z.; Li, H.; Sun, Y.; Shao, K.; Wang, X.; Ma, X.; Hu, A.; Zhang, H.; Fan, J. How habitat heterogeneity shapes bacterial and protistan communities in temperate coastal areas near estuaries. Environ. Microbiol. 2022, 24, 1775–1789. [Google Scholar] [CrossRef]
- Sinsabaugh, R.L.; Shah, J.J.F. Ecoenzymatic stoichiometry and ecological theory. Annu. Rev. Ecol. Evol. S. 2012, 43, 313–343. [Google Scholar] [CrossRef]
- Moorhead, D.L.; Sinsabaugh, R.L.; Hill, B.H.; Weintraub, M.N. Vector analysis of ecoenzyme activities reveal constraints on coupled C, N and P dynamics. Soil Biol. Biochem. 2016, 93, 1–7. [Google Scholar] [CrossRef]
- Huang, Y.; Wu, Z.; Zong, Y.; Li, W.; Chen, F.; Wang, G.G.; Li, J.; Fang, X. Mixing with coniferous tree species alleviates rhizosphere soil phosphorus limitation of broad-leaved trees in subtropical plantations. Soil Biol. Biochem. 2022, 175, 108853. [Google Scholar] [CrossRef]
- Abay, P.; Gong, L.; Luo, Y.; Zhu, H.; Ding, Z. Soil extracellular enzyme stoichiometry reveals the nutrient limitations in soil microbial metabolism under different carbon input manipulations. Sci. Total Environ. 2024, 913, 169793. [Google Scholar] [CrossRef]
- Cui, Y.; Zhang, Y.; Duan, C.; Wang, X.; Zhang, X.; Ju, W.; Chen, H.; Yue, S.; Wang, Y.; Li, S.; et al. Ecoenzymatic stoichiometry reveals microbial phosphorus limitation decreases the nitrogen cycling potential of soils in semi-arid agricultural ecosystems. Soil Tillage Res. 2020, 197, 104463. [Google Scholar] [CrossRef]
- Margenot, A.J.; Calderón, F.J.; Bowles, T.M.; Parikh, S.J.; Jackson, L.E. Soil organic matter functional group composition in relation to organic carbon, nitrogen, and phosphorus fractions in organically managed tomato fields. Soil Sci. Soc. Am. J. 2015, 79, 772–782. [Google Scholar] [CrossRef]
- Veum, K.S.; Goyne, K.W.; Kremer, R.J.; Miles, R.J.; Sudduth, K.A. Biological indicators of soil quality and soil organic matter characteristics in an agricultural management continuum. Biogeochemistry 2014, 117, 81–99. [Google Scholar] [CrossRef]
- Liu, C.; Cui, Y.; Li, X.; Yao, M. microeco: An R package for data mining in microbial community ecology. FEMS Microbiol. Ecol. 2021, 97, fiaa255. [Google Scholar] [CrossRef]
- Zhang, Z.; Deng, Y.; Feng, K.; Cai, W.; Li, S.; Yin, H.; Xu, M.; Ning, D.; Qu, Y. Deterministic assembly and diversity gradient altered the biofilm community performances of bioreactors. Environ. Sci. Technol. 2019, 53, 1315–1324. [Google Scholar] [CrossRef]
- Stegen, J.C.; Lin, X.; Fredrickson, J.K.; Konopka, A.E. Estimating and mapping ecological processes influencing microbial community assembly. Front. Microbiol. 2015, 6, 370. [Google Scholar] [CrossRef]
- Zheng, H.; Yang, T.; Bao, Y.; He, P.; Yang, K.; Mei, X.; Wei, Z.; Xu, Y.; Shen, Q.; Banerjee, S. Network analysis and subsequent culturing reveal keystone taxa involved in microbial litter decomposition dynamics. Soil Biol. Biochem. 2021, 157, 108230. [Google Scholar] [CrossRef]
- Bastian, M.; Heymann, S.; Jacomy, M. Gephi: An open source software for exploring and manipulating networks. ICWSM 2009, 3, 361–362. [Google Scholar] [CrossRef]
- Guimerà, R.; Amaral, L.A.N. Functional cartography of complex metabolic networks. Nature 2005, 433, 895–900. [Google Scholar] [CrossRef]
- Tang, S.; Ma, Q.; Marsden, K.A.; Chadwick, D.R.; Luo, Y.; Kuzyakov, Y.; Wu, L.; Jones, D.L. Microbial community succession in soil is mainly driven by carbon and nitrogen contents rather than phosphorus and sulphur contents. Soil Biol. Biochem. 2023, 180, 109019. [Google Scholar] [CrossRef]
- Bellingeri, M.; Bevacqua, D.; Scotognella, F.; Alfieri, R.; Cassi, D. A comparative analysis of link removal strategies in real complex weighted networks. Sci. Rep. 2020, 10, 3911. [Google Scholar] [CrossRef]
- Liu, J.; Zhou, M.; Wang, S.; Liu, P. A comparative study of network robustness measures. Front. Comput. Sci. 2017, 11, 568–584. [Google Scholar] [CrossRef]
- Herren, C.M.; McMahon, K.D. Cohesion: A method for quantifying the connectivity of microbial communities. ISME J. 2017, 11, 2426–2438. [Google Scholar] [CrossRef]
- Segata, N.; Izard, J.; Waldron, L.; Gevers, D.; Miropolsky, L.; Garrett, W.S.; Huttenhower, C. Metagenomic biomarker discovery and explanation. Genome Biol. 2011, 12, R60. [Google Scholar] [CrossRef] [PubMed]
- Li, C.; Li, H.; Yao, T.; Su, M.; Ran, F.; Han, B.; Li, J.; Lan, X.; Zhang, Y.; Yang, X.; et al. Microbial inoculation influences bacterial community succession and physicochemical characteristics during pig manure composting with corn straw. Bioresour. Technol. 2019, 289, 121653. [Google Scholar] [CrossRef] [PubMed]
- Wang, Y.; Li, T.; Li, C.; Song, F. Differences in microbial community and metabolites in litter layer of plantation and original Korean pine forests in north temperate zone. Microorganisms 2020, 8, 2023. [Google Scholar] [CrossRef] [PubMed]
- Ferreira, V.; Koricheva, J.; Duarte, S.; Niyogi, D.K.; Guérold, F. Effects of anthropogenic heavy metal contamination on litter decomposition in streams—A meta-analysis. Environ. Pollut. 2016, 210, 261–270. [Google Scholar] [CrossRef]
- Liu, Y.; Du, Y.; Li, C.; Li, Y.; Wang, C.; Liu, J.; Zhang, H.; Du, D. Mono- and Co-contamination of Cu and Pb may facilitate plant invasion by slowing the decomposition of native plant litter. Biol. Invasions 2025, 27, 175. [Google Scholar] [CrossRef]
- Seena, S.; Gutiérrez, I.B.; Barros, J.; Nunes, C.; Marques, J.C.; Kumar, S.; Conçalves, A.M.M. Impacts of low concentrations of nanoplastics on leaf litter decomposition and food quality for detritivores in streams. J. Hazard. Mater. 2022, 429, 128320. [Google Scholar] [CrossRef]
- Tu, C.; Yang, Y.; Wang, D. Polystyrene nanoplastics enhance macrophyte litter decomposition via bacterial-fungal interactions in urban lake. J. Environ. Chem. Eng. 2025, 13, 117561. [Google Scholar] [CrossRef]
- Du, J.; Tao, T.; Gao, M.; Zhang, X.; Zhang, J.; Wang, M.; Zhou, X.; Qin, Y.; Ji, P.; Hu, X.; et al. Polystyrene nanoparticles intensify the algae-mediated negative priming effect on leaf litter decomposition. J. Hazard. Mater. 2025, 491, 138057. [Google Scholar] [CrossRef] [PubMed]
- Zhao, X.; Guo, M.; Wang, Y.; Jin, M.; Hou, N.; Wu, H. Toxic effects of nanoplastics on biological nitrogen removal in constructed wetlands: Evidence from iron utilization and metabolism. Water Res. 2024, 256, 121577. [Google Scholar] [CrossRef] [PubMed]
- Banerjee, S.; Schlaeppi, K.; van der Heijiden, M.G.A. Keystone taxa as drivers of microbiome structure and functioning. Nat. Rev. Microbiol. 2018, 16, 567–576. [Google Scholar] [CrossRef]
- Zhang, H.; Zheng, W.; Wu, R.; Luo, T.; Zhang, Y. Effects of polypropylene nanoplastics on nitrogen removal, microbial communities and microbial metabolic pathways in biological nitrogen removal processes. Sep. Purif. Technol. 2025, 376, 133923. [Google Scholar] [CrossRef]
- Zhang, Z.; Hu, J.; Zhang, R.; Wang, C.; Chen, N.; Ge, G. Effect of lead pollution on fungicidal diversity in yellow-cinnamon soil. J. Anhui Agric. Univ. 2022, 49, 947–954. [Google Scholar] [CrossRef]
- Yang, X.; Zhang, L.; Chen, Y.; He, Q.; Liu, T.; Zhang, G.; Yuan, L.; Peng, H.; Wang, H.; Ju, F. Micro(nano)plastic size and concentration co-differentiate nitrogen transformation, microbiota dynamics, and assembly patterns in constructed wetlands. Water Res. 2022, 220, 118636. [Google Scholar] [CrossRef]
- Velzeboer, I.; Kwadijk, C.J.A.F.; Koelmans, A.A. Strong sorption of PCBs to nanoplastics, microplastics, carbon nanotubes, and fullerenes. Environ. Sci. Technol. 2014, 48, 4869–4876. [Google Scholar] [CrossRef] [PubMed]
- Hermabessiere, L.; Dehaut, A.; Paul-Pont, I.; Lacroix, C.; Jezequel, R.; Soudant, P.; Duflos, G. Occurrence and effects of plastic additives on marine environments and organisms: A review. Chemosphere 2017, 182, 781–793. [Google Scholar] [CrossRef]
- Coyte, K.Z.; Schluter, J.; Foster, K.R. The ecology of the microbiome: Networks, competition, and stability. Science 2015, 350, 663–666. [Google Scholar] [CrossRef]
- Banerjee, S.; Walder, F.; Büchi, L.; Meyer, M.; Held, A.Y.; Gattinger, A.; Keller, T.; Charles, R.; van der Heijden, M.G.A. Agricultural intensification reduces microbial network complexity and the abundance of keystone taxa in roots. ISME J. 2019, 13, 1722–1736. [Google Scholar] [CrossRef] [PubMed]
- Yang, T.; Wang, Y.; Zhou, T.; Yang, J.; Liu, M.; Shang, Y.; Zhang, Y.; Hei, P. Modeling microbial impact on macrophyte debris decomposition in macrophyte-dominated eutrophic lakes. Sci. Total Environ. 2024, 946, 174442. [Google Scholar] [CrossRef]
- Lin, Q.; Zhang, Y.; Marrs, R.; Sekar, R.; Luo, X.; Wu, N. Evaluating ecosystem functioning following river restoration: The role of hydromorphology, bacteria, and macroinvertebrates. Sci. Total Environ. 2020, 743, 140583. [Google Scholar] [CrossRef]
- Wang, C.C.; Wei, B.; Yao, J.M.; Lin, D.M.; He, Q.; Qian, S.H.; Zhi, Y.; Han, L.; Deng, L.S.; Tan, Q.J. Response of leaf-litter decomposition in urban streams of the Three Gorges Reservoir area to different urbanization rates. Acta Ecol. Sin. 2025, 45, 2905–2917. [Google Scholar] [CrossRef]
- Chen, W.; Ren, K.; Isabwe, A.; Chen, H.; Liu, M.; Yang, J. Stochastic processes shape microeukaryotic community assembly in a subtropical river across wet and dry seasons. Microbiome 2019, 7, 138. [Google Scholar] [CrossRef]
- Zhou, X.; Lennon, J.T.; Lu, X.; Ruan, A. Anthropogenic activities mediate stratification and stability of microbial communities in freshwater sediments. Microbiome 2023, 26, 191. [Google Scholar] [CrossRef]
- Wang, X.; Liu, J.; Ren, J.; Chai, B. Biotic interaction underpins the assembly processes of the bacterial community across the sediment- water interface in a subalpine lake. Microorganisms 2024, 12, 2418. [Google Scholar] [CrossRef] [PubMed]











Disclaimer/Publisher’s Note: The statements, opinions and data contained in all publications are solely those of the individual author(s) and contributor(s) and not of MDPI and/or the editor(s). MDPI and/or the editor(s) disclaim responsibility for any injury to people or property resulting from any ideas, methods, instructions or products referred to in the content. |
© 2025 by the authors. Licensee MDPI, Basel, Switzerland. This article is an open access article distributed under the terms and conditions of the Creative Commons Attribution (CC BY) license (https://creativecommons.org/licenses/by/4.0/).
Share and Cite
Chen, P.; Mei, T.; He, X.; Lin, Y.; He, Z.; Kong, X. Impacts of Lead and Nanoplastic Co-Exposure on Decomposition, Microbial Diversity, and Community Assembly Mechanisms in Karst Riverine Miscanthus Litter. Microorganisms 2025, 13, 2172. https://doi.org/10.3390/microorganisms13092172
Chen P, Mei T, He X, Lin Y, He Z, Kong X. Impacts of Lead and Nanoplastic Co-Exposure on Decomposition, Microbial Diversity, and Community Assembly Mechanisms in Karst Riverine Miscanthus Litter. Microorganisms. 2025; 13(9):2172. https://doi.org/10.3390/microorganisms13092172
Chicago/Turabian StyleChen, Peijian, Tianjiao Mei, Xingbing He, Yonghui Lin, Zaihua He, and Xiangshi Kong. 2025. "Impacts of Lead and Nanoplastic Co-Exposure on Decomposition, Microbial Diversity, and Community Assembly Mechanisms in Karst Riverine Miscanthus Litter" Microorganisms 13, no. 9: 2172. https://doi.org/10.3390/microorganisms13092172
APA StyleChen, P., Mei, T., He, X., Lin, Y., He, Z., & Kong, X. (2025). Impacts of Lead and Nanoplastic Co-Exposure on Decomposition, Microbial Diversity, and Community Assembly Mechanisms in Karst Riverine Miscanthus Litter. Microorganisms, 13(9), 2172. https://doi.org/10.3390/microorganisms13092172

